Design, Synthesis, and Bioactive Screen In Vitro of Cyclohexyl (E)-4-(Hydroxyimino)-4-Phenylbutanoates and Their Ethers for Anti-Hepatitis B Virus Agents
Abstract
1. Introduction
2. Results and Discussion
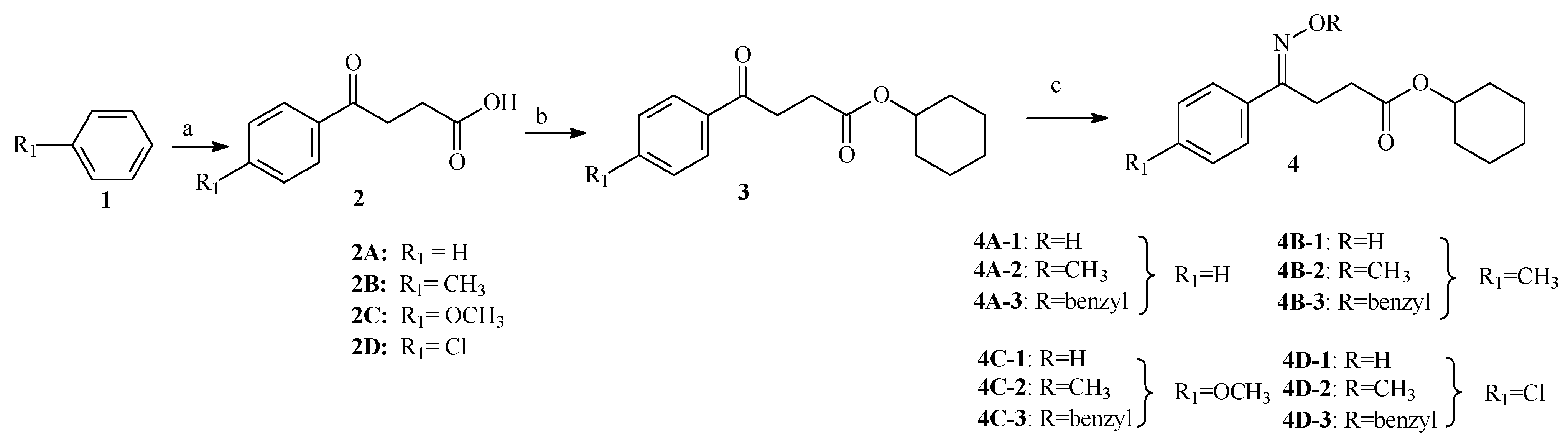
2.1. Chemistry
2.2. Anti-HBV Activities In Vitro
2.3. Molecular Docking Study
2.4. Structure-Activity Relationship (SAR)
3. Materials and Methods
3.1. Chemistry
3.1.1. Preparation of 4- oxo-4-(substituted phenyl) Butanoic Acids (2) and Their Esters (3)
3.1.2. Preparation of Oximes and Their Ethers
3.1.3. Evaluation of Compounds for Biological Activity in vitro
Cytotoxicity of Compounds In Vitro
3.2. Statistical Analysis
4. Conclusions
Author Contributions
Funding
Acknowledgments
Conflicts of Interest
References
- World Health Organization (WHO). Hepatitis B, Fact Sheet; World Health Organization: Geneva, Switzerland, 2017. [Google Scholar]
- Lok, A.S. Chronic hepatitis B. N. Engl. J. Med. 2002, 346, 1682–1683. [Google Scholar] [CrossRef] [PubMed]
- Block, T.M.; Rawat, S.; Brosgart, C.L. Chronic hepatitis B: A wave of new therapies on the horizon. Antivir. Res. 2015, 121, 69–81. [Google Scholar] [CrossRef] [PubMed]
- Scaglione, S.J.; Lok, A.S. Effectiveness of hepatitis B treatment in clinical practice. Gastroenterology 2012, 142, 1360–1368. [Google Scholar] [CrossRef] [PubMed]
- Clercq, D.E.; Ferir, G.; Kaptein, S.; Neyts, J. Antiviral treatment of chronic hepatitis B virus (HBV) infections. Viruses 2010, 2, 1279–1305. [Google Scholar] [CrossRef] [PubMed]
- Pradere, U.; Ethel, C.; Steven, J.C.; Franck, A.; Raymond, F.S. Synthesis of nucleoside phosphate and phosphonate prodrugs. Chem. Rev. 2014, 114, 9154–9218. [Google Scholar] [CrossRef] [PubMed]
- Wong, D.K.; Cheung, A.M.; O’Rourke, K.; Naylor, C.D.; Detsky, A.S.; Heathcote, J. Effect of alpha-interferon treatment in patients with hepatitis B e antigen-positive chronic hepatitis B: A meta-analysis. Ann. Intern. Med. 1993, 4, 312–323. [Google Scholar] [CrossRef]
- Zarski, J.P.; Causse, X.; Cohard, M.; Cougnard, J.; Trepo, C. A randomized, controlled trial of interferon alfa-2b alone and after prednisone withdrawal for the treatment of chronic hepatitis B. N. Engl. J. Med. 1990, 5, 295–301. [Google Scholar]
- Dusheiko, G.; Bertoletti, A. Resistance to lamivudine therapy: Is there more than meets the eye. Gut 2011, 1, 4–6. [Google Scholar] [CrossRef][Green Version]
- Gao, L.M.; Han, Y.X.; Wang, Y.P.; Li, Y.H.; Shan, Y.Q.; Li, X.; Peng, Z.G.; Bi, C.W.; Zhang, T.; Du, N.N.; et al. Design and Synthesis of Oxymatrine Analogues Overcoming Drug Resistance in Hepatitis B Virus through Targeting Host Heat Stress Cognate 7. J. Med. Chem. 2011, 54, 869–876. [Google Scholar] [CrossRef]
- Huang, T.-J.; Chuang, H.; Liang, Y.-C.; Lin, H.-H.; Horng, J.-C.; Kuo, Y.-C.; Chen, W.; Tsai, F.-Y.; Yen, S.-C.; Chou, S.-C.; et al. Design, Synthesis, and Bioevaluation of Paeonol Derivatives as Potential Anti-HBV Agents. Eur. J. Med. Chem. 2015, 90, 428–435. [Google Scholar] [CrossRef] [PubMed]
- Lv, J.-J.; Yu, S.; Wang, Y.-F.; Wang, D.; Zhu, H.-T.; Cheng, R.-R.; Yang, C.-R.; Xu, M.; Zhang, Y.-J. Anti-Hepatitis B Virus Norbisabolane Sesquiterpenoids from Phyllanthus acidus and the Establishment of Their Absolute Configurations Using Theoretical Calculations. J. Org. Chem. 2014, 79, 5432–5447. [Google Scholar] [CrossRef] [PubMed]
- Liu, S.; Wei, W.X.; Li, Y.B.; Lin, X.; Shi, K.C.; Cao, X.; Zhou, M. In vitro and in vivo anti-hepatitis B virus activities of the lignan nirtetralin B isolated from Phyllanthus niruri L. J. Ethnopharmacol. 2014, 157, 62–68. [Google Scholar] [CrossRef]
- Yan, M.H.; Cheng, P.; Jiang, Z.Y.; Chen, J.J. Periglaucines A-D, Anti-HBV and –HIV-1 Alkaloids from Pericampylus glaucus. J. Nat. Prod. 2008, 71, 760–763. [Google Scholar] [CrossRef] [PubMed]
- de Niet, A.; Stelma, F.; Jansen, L.; Sinnige, M.J.; Remmerswaal, E.B.M.; Takkenberg, R.B.; Kootstra, N.A.; Reesink, H.W.; van Lier, R.A.W.; van Leeuwen, E.M.M. Restoration of T cell function in chronic hepatitis B patients upon treatment with interferon based combination therapy. J. Hepatol. 2015, 3, 539–546. [Google Scholar]
- Liu, J.X.; Chen, K.Y.; Ren, E.C. Structural insights into the binding of hepatitis B virus core peptide to HLA-A2 alleles: Towards designing better vaccines. Eur. J. Immunol. 2011, 41, 2097–2106. [Google Scholar] [CrossRef]
- Liu, Q.; Zheng, Y.; Yu, Y.; Tan, Q.; Huang, X. Identification of HLA-A*0201-restricted CD8+ T-cell epitope C64–72 from hepatitis B virus core protein. Int. Immunopharmacol. 2012, 13, 141–147. [Google Scholar] [CrossRef]
- Sun, L.; Zhang, Y.; Zhao, B.; Deng, M.-M.; Liu, J.; Li, X.; Hou, J.-W.; Gui, M.-M.; Zhang, S.-J.; Li, X.-D.; et al. A new unconventional HLA-A2-restricted epitope from HBV core protein elicits antiviral cytotoxic T lymphocytes. Protein Cell 2014, 4, 317–327. [Google Scholar] [CrossRef]
- Xu, W.; Chu, Y.W.; Zhang, R.H.; Xu, H.B.; Wang, Y.; Xiong, S.D. Endoplasmic reticulum targeting sequence enhances HBV-specific cytotoxic T lymphocytes induced by a CTL epitope-based DNA vaccine. Virology 2005, 334, 255–263. [Google Scholar] [CrossRef]
- Yu, D.B.; Liu, H.; Shi, S.; Dong, L.W.; Wang, H.G.; Wu, N.T.; Gao, H.; Cheng, Z.J.; Zheng, Q.; Cai, J.J.; et al. A novel dendritic-cell-targeting DNA vaccine for hepatitis B induces T cell and humoral immune responses and potentiates the antivirus activity in HBV transgenic mic. Immunol. Lett. 2015, 2, 293–299. [Google Scholar] [CrossRef]
- Li, J.Q.; Ge, J.; Ren, S.L.; Zhou, T.; Sun, Y.; Sun, H.L.; Gu, Y.; Huang, H.Y.; Xu, Z.X.; Chen, X.X.; et al. Hepatitis B surface antigen (HBsAg) and core antigen (HBcAg) combine CpG oligodeoxynucletides as a novel therapeutic vaccine for chronic hepatitis B infection. Vaccine 2015, 35, 4247–4254. [Google Scholar] [CrossRef]
- Liu, S.; Wei, W.X.; Li, Y.B.; Liu, X.; Cao, X.J.; Lei, K.C.; Zhou, M. Design, synthesis, biological evaluation and molecular docking studies of phenylpropanoid derivatives as potent anti-hepatitis B virus agents. Eur. J. Med. Chem. 2015, 95, 473–482. [Google Scholar] [CrossRef]
- Liu, S.; Li, Y.B.; Wei, W.X.; Wei, J.C. Design, Synthesis, Molecular Docking Studies and Anti-HBV Activity of Phenylpropanoid Derivatives. Chem.-Biol. Interact. 2016, 251, 1–9. [Google Scholar] [CrossRef] [PubMed]
- Liu, S.; Li, Y.B.; Wei, W.X.; Wang, K.W.; Wang, L.S.; Wang, J.Y. Synthesis and biological evaluation of phenylpropanoid derivatives. Med. Chem. Res. 2016, 6, 1074–1086. [Google Scholar]
- Tan, J.; Zhou, M.; Cui, X.H.; Wei, Z.C.; Wei, W.X. Discovery of Oxime Ethers as Hepatitis B Virus (HBV) Inhibitors by Docking, Screening and In Vitro Investigation. Molecules 2018, 23, 637. [Google Scholar] [CrossRef]
- Ikawa, T.; Sajiki, H.; Hirota, K. Highly chemoselective hydrogenation method using novel finely dispersed palladium catalyst on silk-fibroin: Its preparation and activity. Tetrahedron 2005, 8, 2217–2231. [Google Scholar] [CrossRef]
- Ali, Y.; Alam, M.S.; Hamid, H.; Husain, A.; Dhulap, A.; Bano, S.; Kharbanda, C.; Nazreen, S.; Haider, S. Design and synthesis of butenolide-based amide derivatives as anti-inflammatory agents. Med. Chem. Res. 2015, 11, 3775–3784. [Google Scholar] [CrossRef]
- Iftime, G.; Kazmaier, P.M.; Norsten, T.B. Inkless Reimageable Printing Paper and Method. U.S. Patent 7582398, 1 September 2009. [Google Scholar]
- Wei, W.X.; Zhou, M.; Cui, X.H.; Tan, J. Oxime and Oxime Ether compounds with Anti-Hepatitis B virus activity. China Patent CN201610718025.4, 24 August 2016. [Google Scholar]
- Sells, M.A.; Chen, M.-L.; Acs, G. Production of hepatitis B virus particles in Hep G2 cells transfected with cloned hepatitis B virus DNA. PNAS 1987, 4, 1005–1009. [Google Scholar] [CrossRef]
| Sample Availability: Samples of the compounds are available from the authors. | 





| Compounds | CC50 a (μM) | HBsAg b | HBeAg c | ||
|---|---|---|---|---|---|
| IC50 d (μM) | SI e | IC50 (μM) | SI | ||
| 4A-1 | 527.9 | 505.7 ± 28.64 * | 1.04 | 375.0 ± 36.20 * | 1.41 | 
| 4A-2 | 659.6 | 109.3 ± 16.05 | 6.03 | 118.9 ± 13.22 | 5.55 | 
| 4A-3 | 974.3 | 113.5 ± 6.15 | 8.58 | 129.4 ± 13.64 | 7.53 | 
| 4B-1 | 443.8 | 257.4 ± 16.48 * | 1.72 | 283.7 ± 26.73 ** | 1.56 | 
| 4B-2 | 856.2 | 63.85 ± 6.26 | 13.41 | 49.39 ± 4.17 | 17.34 | 
| 4B-3 | 859.5 | 78.46 ± 9.87 | 10.95 | 84.57 ± 6.60 | 10.16 | 
| 4C-1 | 481.1 | 489.3 ± 11.21 | 0.98 | 404.7 ± 4.80 | 1.19 | 
| 4C-2 | 629.5 | 106.0 ± 8.67 | 5.94 | 127.9 ± 34.57 * | 4.92 | 
| 4C-3 | 678.1 | 111.5 ± 7.25 | 6.08 | 130.4 ± 21.48 * | 5.20 | 
| 4D-1 | 396.5 | 352.4 ± 11.03 | 1.13 | 373.4 ± 16.86 | 1.06 | 
| 4D-2 | 581.3 | 67.65 ± 8.81 | 8.59 | 85.10 ± 11.92 | 6.83 | 
| 4D-3 | 604.3 | 92.60 ± 4.94 | 6.53 | 96.76 ± 5.13 | 6.25 | 
| 3TCf | 516.4 | 234.2 ± 17.17 | 2.20 | 249.9 ± 21.51 * | 2.07 | 
| Ligands | ΔG (kcal/mol) a | H-Bonds b | Distance (Å) c | Amino Acid Involved d | Atoms in Ligands Involved e | 
|---|---|---|---|---|---|
| 4A-1 | −18.4244 | 2 | 2.54 | Tyr27 | O of -ON | 
| 2.94 | Tyr63 | O of -ON | |||
| 4A-2 | −18.7876 | 1 | 2.99 | Ser52 | O of –C=O | 
| 4A-3 | −22.8858 | 2 | 2.29 | Tyr27 | N of -ON | 
| 2.58 | Tyr63 | N of -ON | |||
| 4B-1 | −18.5535 | 1 | 2.48 | Tyr27 | O of -ON | 
| 4B-2 | −19.3046 | 2 | 2.23 | Tyr27 | O of –C=O | 
| 2.47 | Tyr63 | O of –C=O | |||
| 4B-3 | −21.0658 | 1 | 2.24 | Tyr26 | O of –C=O | 
| 4C-1 | −19.7639 | 1 | 2.59 | Asp29 | O of -ON | 
| 4C-2 | −20.5549 | 1 | 1.75 | Tyr63 | O of –C=O | 
| 4C-3 | −20.4506 | 2 | 2.44 | Tyr27 | O of –OCH3 | 
| 2.93 | Tyr63 | O of –OCH3 | |||
| 4D-1 | −17.6096 | 1 | 2.70 | Tyr27 | N of -ON | 
| 4D-2 | −21.0504 | 2 | 1.76 | Tyr27 | N of -ON | 
| 2.69 | Tyr63 | N of -ON | |||
| 4D-3 | −21.2040 | 1 | 2.70 | Gln32 | N of -ON | 
© 2019 by the authors. Licensee MDPI, Basel, Switzerland. This article is an open access article distributed under the terms and conditions of the Creative Commons Attribution (CC BY) license (http://creativecommons.org/licenses/by/4.0/).
Share and Cite
Cui, X.; Zhou, M.; Tan, J.; Wei, Z.; Wei, W.; Luo, P.; Lin, C. Design, Synthesis, and Bioactive Screen In Vitro of Cyclohexyl (E)-4-(Hydroxyimino)-4-Phenylbutanoates and Their Ethers for Anti-Hepatitis B Virus Agents. Molecules 2019, 24, 2063. https://doi.org/10.3390/molecules24112063
Cui X, Zhou M, Tan J, Wei Z, Wei W, Luo P, Lin C. Design, Synthesis, and Bioactive Screen In Vitro of Cyclohexyl (E)-4-(Hydroxyimino)-4-Phenylbutanoates and Their Ethers for Anti-Hepatitis B Virus Agents. Molecules. 2019; 24(11):2063. https://doi.org/10.3390/molecules24112063
Chicago/Turabian StyleCui, Xinhua, Min Zhou, Jie Tan, Zhuocai Wei, Wanxing Wei, Peng Luo, and Cuiwu Lin. 2019. "Design, Synthesis, and Bioactive Screen In Vitro of Cyclohexyl (E)-4-(Hydroxyimino)-4-Phenylbutanoates and Their Ethers for Anti-Hepatitis B Virus Agents" Molecules 24, no. 11: 2063. https://doi.org/10.3390/molecules24112063
APA StyleCui, X., Zhou, M., Tan, J., Wei, Z., Wei, W., Luo, P., & Lin, C. (2019). Design, Synthesis, and Bioactive Screen In Vitro of Cyclohexyl (E)-4-(Hydroxyimino)-4-Phenylbutanoates and Their Ethers for Anti-Hepatitis B Virus Agents. Molecules, 24(11), 2063. https://doi.org/10.3390/molecules24112063
 
        

 
       