Optimization of Ultrasonic-Assisted Extraction and Purification of Rhein from Cassia fistula Pod Pulp
Abstract
1. Introduction
2. Results and Discussion
2.1. Selection of the Relevant Ranges of the Independent Variables
2.1.1. Plant-Material-to-Solvent Ratio
2.1.2. Ethanol Concentration
2.1.3. Extraction Temperature
2.1.4. Extraction Time
2.2. Fitting the Model
2.3. Effect of Independent Factors on Rhein Yield
2.4. Visualization and Interpretation of the Result
2.5. Optimization of UAE for Rhein Isolation and Model Validation
2.6. UAE Compared with the Decoction Method
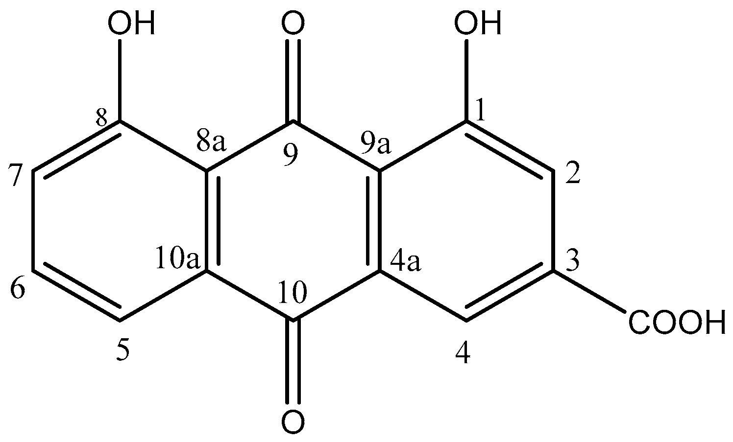
2.7. Purification and Identification of Rhein
3. Materials and Methods
3.1. Materials
3.2. UAE
3.3. Experimental Design
3.4. Quantification of Rhein
3.5. Purification and Identification of Rhein
3.6. Statistical Analysis
4. Conclusions
Author Contributions
Funding
Acknowledgments
Conflicts of Interest
References
- Hsueh, T.P.; Tsai, T.H. Preclinical pharmacokinetics of scoparone, geniposide and rhein in an herbal medicine using a validated LC-MS/MS method. Molecules 2018, 23, 2716. [Google Scholar] [CrossRef] [PubMed]
- Guo, R.; Wu, H.; Yu, X.; Xu, M.; Zhang, X.; Tang, L.; Wang, Z. Simultaneous determination of seven anthraquinone aglycones of crude and processed semen cassiae extracts in rat plasma by UPLC–MS/MS and its application to a comparative pharmacokinetic study. Molecules 2017, 22, 1803. [Google Scholar] [CrossRef]
- Jude, S.; Amalraj, A.; Kunnumakkara, A.; Divya, C.; Löffler, B.M.; Gopi, S. Development of validated methods and quantification of curcuminoids and curcumin metabolites and their pharmacokinetic study of oral administration of complete natural turmeric formulation (Cureit™) in human plasma via UPLC/ESI-Q-TOF-MS spectrometry. Molecules 2018, 23, 2415. [Google Scholar] [CrossRef] [PubMed]
- Potipiranun, T.; Adisakwattana, S.; Worawalai, W.; Ramadhan, R.; Phuwapraisirisan, P. Identification of pinocembrin as an anti-glycation agent and α-glucosidase inhibitor from fingerroot (Boesenbergia rotunda): The tentative structure–activity relationship towards MG-trapping activity. Molecules 2018, 23, 3365. [Google Scholar]
- Tan, J.; Zheng, M.; Duan, S.; Zeng, Y.; Zhang, Z.; Cui, Q.; Zhang, J.; Hong, T.; Bai, J.; Du, S. Chemical profiling and screening of the marker components in the fruit of Cassia fistula by HPLC and UHPLC/LTQ-Orbitrap MSn with chemometrics. Molecules 2018, 23, 1501. [Google Scholar] [CrossRef] [PubMed]
- Sikri, N.; Dhanda, S.; Dalal, S. Kinetics of urease inhibition by different fractions of Cassia fistula. S. Afr. J. Bot. 2019, 120, 274–279. [Google Scholar] [CrossRef]
- Sakulpanich, A.; Chewchinda, S.; Sithisarn, P.; Gritsanapan, W. Standardization and toxicity evaluation of Cassia fistula pod pulp extract for alternative source of herbal laxative drug. Pharmacogn. J. 2012, 4, 6–12. [Google Scholar] [CrossRef]
- Duraipandiyan, V.; Baskar, A.A.; Ignacimuthu, S.; Muthukumar, C.; Al-Harbi, N.A. Anticancer activity of rhein isolated from Cassia fistula L. flower. Asian Pac. J. Trop. Dis. 2012, 2, S517–S523. [Google Scholar] [CrossRef]
- Vittori, N.; Collins, M. Production of rhein and rhein derivatives. U.S. Patent 5652265, 29 Jun 1997. [Google Scholar]
- Bu, T.; Wang, C.; Meng, Q.; Huo, X.; Sun, H.; Sun, P.; Zheng, S.; Ma, X.; Liu, Z.; Liu, K. Hepatoprotective effect of rhein against methotrexate-induced liver toxicity. Eur. J. Pharmacol. 2018, 834, 266–273. [Google Scholar] [CrossRef] [PubMed]
- Choi, S.B.; Ko, B.S.; Park, S.K.; Jang, J.S.; Park, S. Insulin sensitizing and α-glucoamylase inhibitory action of sennosides, rheins and rhaponticin in Rhei rhizoma. Life Sci. 2006, 78, 934–942. [Google Scholar] [CrossRef]
- Antonisamy, P.; Agastian, P.; Kang, C.W.; Kim, N.S.; Kim, J.H. Anti-inflammatory activity of rhein isolated from the flowers of Cassia fistula L. and possible underlying mechanisms. Saudi J. Biol. Sci. 2019, 26, 96–104. [Google Scholar] [CrossRef] [PubMed]
- Sakulpanich, A.; Gritsanapan, W. Extraction method for high content of anthraquinones from Cassia fistula pods. J. Health Res. 2008, 22, 167–172. [Google Scholar]
- Han, Q.H.; Liu, W.; Li, H.Y.; He, J.L.; Guo, H.; Lin, S.; Zhao, L.; Chen, H.; Liu, Y.W.; Wu, D.T.; et al. Extraction optimization, physicochemical characteristics, and antioxidant activities of polysaccharides from kiwifruit (Actinidia chinensis Planch.). Molecules 2019, 24, 461. [Google Scholar] [CrossRef] [PubMed]
- Zhou, J.; Zhang, L.; Li, Q.; Jin, W.; Chen, W.; Han, J.; Zhang, Y. Simultaneous optimization for ultrasound-assisted extraction and antioxidant activity of flavonoids from Sophora flavescens using response surface methodology. Molecules 2019, 24, 112. [Google Scholar] [CrossRef] [PubMed]
- Fang, X.; Gu, S.; Jin, Z.; Hao, M.; Yin, Z.; Wang, J. Optimization of ultrasonic-assisted simultaneous extraction of three active compounds from the fruits of Forsythia suspensa and comparison with conventional extraction methods. Molecules 2018, 23, 2115. [Google Scholar] [CrossRef] [PubMed]
- Zhao, L.C.; Liang, J.; Li, W.; Cheng, K.M.; Xia, X.; Deng, X.; Yang, G.L. The use of response surface methodology to optimize the ultrasound-assisted extraction of five anthraquinones from Rheum palmatum L. Molecules 2011, 16, 5928–5937. [Google Scholar] [CrossRef]
- Falkova, M.; Alexovič, M.; Pushina, M.; Bulatov, A.; Moskvin, L.; Andruch, V. Fully automated on-line flow-batch based ultrasound-assisted surfactant-mediated extraction and determination of anthraquinones in medicinal plants. Microchem. J. 2014, 116, 98–106. [Google Scholar] [CrossRef]
- Duval, J.; Pecher, V.; Poujol, M.; Lesellier, E. Research advances for the extraction, analysis and uses of anthraquinones: A review. Ind. Crops Prod. 2016, 94, 812–833. [Google Scholar] [CrossRef]
- Arvindekar, A.U.; Laddha, K.S. Estimation of anthraquinones and their glycosides from rhizomes of Rheum emodi. Prod. J. 2013, 3, 172–175. [Google Scholar] [CrossRef]
- Prat, D.; Wells, A.; Hayler, J.; Sneddon, H.; McElroy, C.R.; Abou-Shehada, S.; Dunn, P.J. CHEM21 selection guide of classical-and less classical-solvents. Green Chem. 2016, 18, 288–296. [Google Scholar] [CrossRef]
- Yingngam, B.; Tantiraksaroj, K.; Taweetao, T.; Rungseevijitprapa, W.; Supaka, N.; Brantner, A.H. Modeling and stability study of the anthocyanin-rich maoberry fruit extract in the fast-dissolving spray-dried microparticles. Powder Technol. 2018, 325, 261–270. [Google Scholar] [CrossRef]
- Yingngam, B.; Brantner, A. Boosting the essential oil yield from the rhizomes of cassumunar ginger by an eco-friendly solvent-free microwave extraction combined with central composite design. J. Essent. Oil. Res. 2018, 30, 409–420. [Google Scholar] [CrossRef]
- Yingngam, B.; Monschein, M.; Brantner, A. Ultrasound-assisted extraction of phenolic compounds from Cratoxylum formosum ssp. formosum leaves using central composite design and evaluation of its protective ability against H2O2-induced cell death. Asian Pac. J. Trop. Med. 2014, 7, S497–S505. [Google Scholar] [CrossRef]
- Yang, F.; Zhang, T.; Xu, G.; Chou, F.E.; Ito, Y. pH-modulated stepwise elution ccc and its application to the preparative separation of hydroxyanthraquinone compounds from traditional Chinese medicinal herbs. J. Liq. Chromatogr. Relat. Technol. 2001, 24, 1617–1628. [Google Scholar] [CrossRef]
- Arvindekar, A.; More, T.; Payghan, P.V.; Laddha, K.; Ghoshal, N.; Arvindekar, A. Evaluation of anti-diabetic and alpha glucosidase inhibitory action of anthraquinones from Rheum emodi. Food Funct. 2015, 6, 2693–2700. [Google Scholar] [CrossRef]
- Sakulpanich, A.; Gritsanapan, W. Determination of anthraquinone glycoside content in Cassia fistula leaf extracts for alternative source of laxative drug. Int. J. Biomed. Pharmaceut Sci. 2009, 3, 42–45. [Google Scholar]
- Hänsel, R.; Sticher, O. Pharmakognosie-Phytopharmazie; Springer: Heidelberg, Germany, 2010; pp. 34–48, 1178–1193, 1205. [Google Scholar]
- Wagner, H.; Bladt, S.; Zgainski, E.M. Drogenanalyse–Dünnschichtchromatographische Analyse von Arzneidrogen; Springer: Heidelberg, Germany, 2010; pp. 93–94, 108–109. [Google Scholar]
- Thai Herbal Pharmacopoeia. Thai Herbal Pharmacopoeia; Department of Medical Sciences, Ministry of Public Health: Bangkok, Thailand; pp. 182–191.
- Yingngam, B.; Supaka, N.; Rungseevijitprapa, W. Optimization of process parameters for phenolics extraction of Cratoxylum formosum ssp. formosum leaves by response surface methodology. J. Food Sci. Technol. 2015, 52, 129–140. [Google Scholar] [CrossRef]
- Chewchinda, S.; Wuthi-Udomlert, M.; Gritsanapan, W. HPLC quantitative analysis of rhein and antidermatophytic activity of Cassia fistula pod pulp extracts of various storage conditions. BioMed Res. Int. 2013, 1–5. [Google Scholar] [CrossRef]
Sample Availability: Sample of the compound is not available from the authors. |












| Run | Space Type | Ethanol Concentration (X1, % v/v) | Extraction Temperature (X2, °C) | Extraction Time (X3, min) | Amount of Rhein (Y, mg/g pulp) 1 |
|---|---|---|---|---|---|
| 1 | Factorial | 10 | 45 | 10 | 6.28 ± 1.53 |
| 2 | Factorial | 40 | 75 | 10 | 11.99 ± 1.33 |
| 3 | Factorial | 40 | 45 | 40 | 9.26 ± 1.50 |
| 4 | Axial | 0 | 60 | 25 | 9.14 ± 1.57 |
| 5 | Center | 25 | 60 | 25 | 10.33 ± 2.47 |
| 6 | Center | 25 | 60 | 25 | 11.33 ± 2.48 |
| 7 | Center | 25 | 60 | 25 | 10.38 ± 1.07 |
| 8 | Axial | 25 | 60 | 50 | 12.27 ± 0.24 |
| 9 | Center | 25 | 60 | 25 | 9.09 ± 3.55 |
| 10 | Center | 25 | 60 | 25 | 10.68 ± 1.13 |
| 11 | Factorial | 10 | 45 | 40 | 7.83 ± 0.39 |
| 12 | Factorial | 40 | 75 | 40 | 13.42 ± 1.57 |
| 13 | Axial | 50 | 60 | 25 | 10.41 ± 0.59 |
| 14 | Factorial | 10 | 75 | 10 | 9.75 ± 1.07 |
| 15 | Factorial | 40 | 45 | 10 | 8.62 ± 1.32 |
| 16 | Factorial | 10 | 75 | 40 | 15.69 ± 2.24 |
| 17 | Axial | 25 | 60 | 0 | 6.28 ± 0.50 |
| 18 | Center | 25 | 60 | 25 | 10.49 ± 1.79 |
| 19 | Axial | 25 | 35 | 25 | 5.88 ± 1.00 |
| 20 | Axial | 25 | 85 | 25 | 14.49 ± 2.12 |
| Source | Sum of Squares | Degrees of Freedom | Mean Square | F-Value | p-Value Probability > F |
|---|---|---|---|---|---|
| Model | 122.09 | 9 | 13.57 | 19.56 | <0.0001 |
| X1 | 2.53 | 1 | 2.53 | 3.65 | 0.0853 |
| X2 | 81.39 | 1 | 81.39 | 117.37 | <0.0001 |
| X3 | 28.23 | 1 | 28.23 | 40.70 | <0.0001 |
| X1X2 | 1.80 | 1 | 1.80 | 2.60 | 0.1378 |
| X1X3 | 3.67 | 1 | 3.67 | 5.30 | 0.0442 |
| X2X3 | 3.35 | 1 | 3.35 | 4.84 | 0.0525 |
| X12 | 0.09 | 1 | 0.09 | 0.13 | 0.7289 |
| X22 | 0.06 | 1 | 0.06 | 0.09 | 0.7671 |
| X32 | 0.94 | 1 | 0.94 | 1.35 | 0.2721 |
| Residual | 6.93 | 10 | 0.69 | ||
| Lack of Fit | 4.26 | 5 | 0.85 | 1.60 | 0.3102 |
| Pure Error | 2.67 | 5 | 0.53 | ||
| Cor Total | 129.03 | 19 | |||
| R2 | 0.9463 | ||||
| R2adjusted | 0.8979 | ||||
| R2pred | 0.7000 |
| Variations | Extraction Method | Plant-Material-to-Solvent Ratio (g/mL) | Ethanol (% v/v) | Extraction Temp. (°C) | Extraction Time (min) | Amount of Rhein (mg/g pulp) 1 |
|---|---|---|---|---|---|---|
| A | UAE | 1:40 | 10 | 75 | 40 | 14.98 ± 0.93 |
| B | Decoction | 1:40 | 10 | 75 | 40 | 6.12 ± 0.71 |
| C | Decoction | 1:10 | 0 | 96 | 60 | 2.24 ± 0.59 |
© 2019 by the authors. Licensee MDPI, Basel, Switzerland. This article is an open access article distributed under the terms and conditions of the Creative Commons Attribution (CC BY) license (http://creativecommons.org/licenses/by/4.0/).
Share and Cite
Yingngam, B.; Zhao, H.; Baolin, B.; Pongprom, N.; Brantner, A. Optimization of Ultrasonic-Assisted Extraction and Purification of Rhein from Cassia fistula Pod Pulp. Molecules 2019, 24, 2013. https://doi.org/10.3390/molecules24102013
Yingngam B, Zhao H, Baolin B, Pongprom N, Brantner A. Optimization of Ultrasonic-Assisted Extraction and Purification of Rhein from Cassia fistula Pod Pulp. Molecules. 2019; 24(10):2013. https://doi.org/10.3390/molecules24102013
Chicago/Turabian StyleYingngam, Bancha, Haiyu Zhao, Bian Baolin, Nipawan Pongprom, and Adelheid Brantner. 2019. "Optimization of Ultrasonic-Assisted Extraction and Purification of Rhein from Cassia fistula Pod Pulp" Molecules 24, no. 10: 2013. https://doi.org/10.3390/molecules24102013
APA StyleYingngam, B., Zhao, H., Baolin, B., Pongprom, N., & Brantner, A. (2019). Optimization of Ultrasonic-Assisted Extraction and Purification of Rhein from Cassia fistula Pod Pulp. Molecules, 24(10), 2013. https://doi.org/10.3390/molecules24102013

