Rapid Determination of the Oil and Moisture Contents in Camellia gauchowensis Chang and Camellia semiserrata Chi Seeds Kernels by Near-infrared Reflectance Spectroscopy
Abstract
1. Instruction
2. Materials and Methods
2.1. Materials
2.2. Soxhlet Extraction and Oven Drying
2.3. Sample Pretreatment
2.4. Spectra Measurements
2.4.1. Near Infrared Spectroscopy
2.4.2. Spectral Feature Data Acquisition
2.4.3. Calibration and Validation Model Construction
3. Results and Discussion
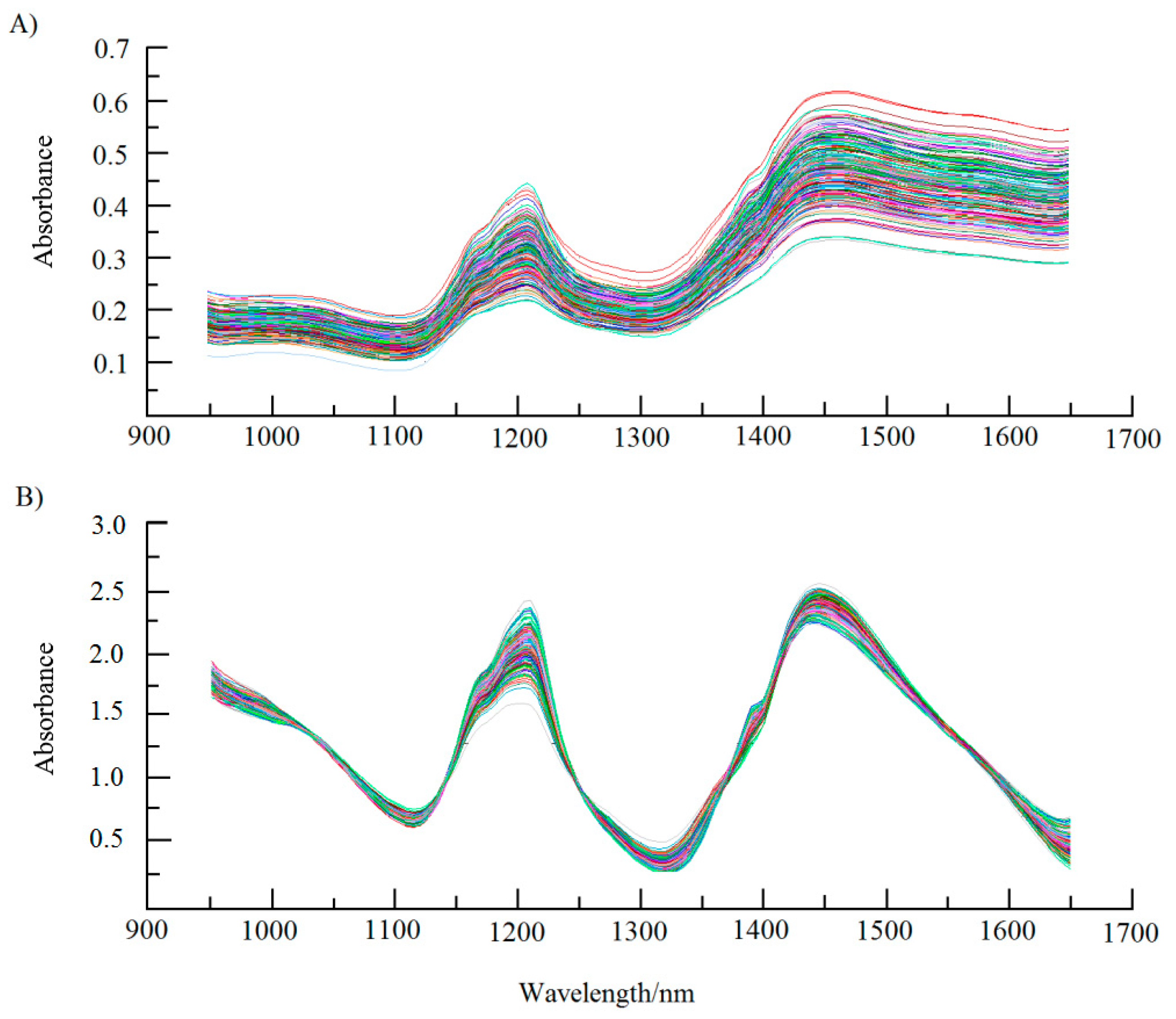
3.1. Comparison of Camellia Seeds Spectrograms between Non-Destruction and Comminution
3.2. NIRS Analysis of Camellia Seeds Kernels
3.2.1. NIRS Analysis of Camellia Oil
3.2.2. NIRS Analysis of Camellia Moisture
4. Conclusions
Author Contributions
Funding
Acknowledgments
Conflicts of Interest
References
- Zhang, W.; Jin, G. Microwave puffing-pretreated extraction of oil from Camellia oleifera seed and evaluation of its physicochemical characteristics. Int. J. Food Sci. Technol. 2011, 46, 2544–2549. [Google Scholar] [CrossRef]
- Meng, X.; Ge, H.; Ye, Q.; Peng, L.; Wang, Z.; Jiang, L. Efficient and response surface optimized aqueous enzymatic extraction of Camellia oleifera (Tea seed) oil facilitated by concurrent calcium chloride addition. J. Am. Oil Chem. Soc. 2018, 95, 29–37. [Google Scholar] [CrossRef]
- Sakata, Y.; Arisumi, K. Anthocyanins in Camellia polyodonta How, C. semiserrata Chi and C. chekiangoleosa Hu, and their phylogenetic positions in section Camellia based on the pigmentation. J. Jpn. Soc. Hort. Sci. 1992, 61, 375–381. [Google Scholar] [CrossRef]
- Song, G.; Li, X.; Du, J.; Wang, J. Preparative separation of conjugated linoleic acids (CLAs) from fermented Camellia oleifera Abel cake by β-cyclodextrin (β-CD) encapsulation using pH-zone-refining countercurrent chromatography. Food Chem. 2014, 146, 437–442. [Google Scholar] [CrossRef] [PubMed]
- Fang, X.; Fei, X.; Sun, H.; Jin, Y. Aqueous enzymatic extraction and demulsification of Camellia seed oil (Camellia oleifera Abel.) and the oil’s physicochemical properties. Eur. J. Lipid Sci. Technol. 2016, 118, 244–251. [Google Scholar] [CrossRef]
- Fu, C.G.; Zhou, P. Camellia oil: A new special type of plant oil. Food Sci. Technol. 2003, 2, 19–21. [Google Scholar]
- Yuan, J.; Wang, C.; Chen, H.; Zhou, H.; Ye, J. Prediction of fatty acid composition in Camellia oleifera oil by near infrared transmittance spectroscopy (NITS). Food Chem. 2013, 138, 1657–1662. [Google Scholar] [CrossRef] [PubMed]
- Sramala, I.; Pinket, W.; Pongwan, P.; Jarussophon, S.; Kasemwong, K. Development of an in vitro system to simulate the adsorption of self-emulsifying tea (Camellia oleifera) seed oil. Molecules 2016, 21, 479. [Google Scholar] [CrossRef] [PubMed]
- Cozzolino, D.; Murray, I.; Paterson, R. Visible and near infrared reflectance spectroscopy for the determination of moisture, fat and protein in chicken breast and thigh muscle. J. Near Infrared Spectrosc. 1996, 4, 213–223. [Google Scholar] [CrossRef]
- Akkaya, M.R. Prediction of fatty acid composition of sunflower seeds by near-infrared reflectance spectroscopy. J. Food Sci. Technol. 2018. [Google Scholar] [CrossRef] [PubMed]
- Shenk, J.S.; Landa, I.; Hoover, M.R.; Westerhaus, M.O. Description and evaluation of a near infrared reflectance spectro-computer for forage and grain analysis. Crop Sci. 1981, 21, 355–358. [Google Scholar] [CrossRef]
- Liu, T.; Zhang, Q.; Chang, D.; Niu, Y.; Lu, W.; Xiao, Z. Characterization of tobacco leaves by near-infrared reflectance spectroscopy and electronic nose with support vector machine. Anal. Lett. 2018. [Google Scholar] [CrossRef]
- Lim, J.; Kim, G.; Mo, C.; Oh, K.; Kim, G.; Ham, H.; Kim, S.; Kim, M.S. Application of near infrared reflectance spectroscopy for rapid and non-destructive discrimination of hulled barley, naked barley, and wheat contaminated with Fusarium. Sensors 2018, 18, 113. [Google Scholar] [CrossRef] [PubMed]
- Dunko, A.; Dovletoglou, A. Moisture assay of an antifungal by near-infrared diffuse reflectance spectroscopy. J. Pharm. Biomed. Anal. 2002, 28, 145–154. [Google Scholar] [CrossRef]
- Davies, A.M.C.; Grant, A. Review: Near infra-red analysis of food. Int. J. Food Sci. Technol. 1987, 22, 191–207. [Google Scholar] [CrossRef]
- Sen, R.; Sharma, S.; Kaur, G.; Banga, S.S. Near-infrared reflectance spectroscopy calibrations for assessment of oil, phenols, glucosinolates and fatty acid content in the intact seeds of oilseed Brassica specice. J. Sci. Food Agric. 2018. [Google Scholar] [CrossRef] [PubMed]
- Izneid, B.A.; Fadhel, M.I.; Al-kharazi, T.; Ali, M.; Miloud, S. Design and develop a nondestructive infrared spectroscopy instrument for assessment of mango (Mangifera indica) quality. J. Food Sci. Technol. 2014, 51, 3244–3252. [Google Scholar] [CrossRef] [PubMed]
- Madalozzo, E.S.; Sauer, E.; Nagata, N. Determination of fat, protein and moisture in ricotta cheese by near infrared spectroscopy and multivariate calibration. J. Food Sci. Technol. 2015, 52, 1649–1655. [Google Scholar] [CrossRef] [PubMed]
- Srikham, W.; Noomhorm, A. Milling quality assessment of Khao Dok Mali 105 milled rice by near-infrared reflectance spectroscopy technique. J. Food Sci. Technol. 2015, 52, 7500–7506. [Google Scholar] [CrossRef]
- Kim, K.S.; Park, S.H.; Choung, M.G. Nondestructive determination of lignans and lignan glycosides in sesame seeds by near infrared reflectance spectroscopy. J. Agric. Food Chem. 2006, 54, 4544–4550. [Google Scholar] [CrossRef] [PubMed]
- Baye, T.M.; Pearson, T.C.; Settles, A.M. Development of a calibration to predict maize seed composition using single kernel near infrared spectroscopy. J. Cereal Sci. 2006, 43, 236–243. [Google Scholar] [CrossRef]
- Kim, Y.H.; Kang, C.S.; Lee, Y.S. Quantification of tocopherol and tocotrienol content in rice bran by near infrared reflectance spectroscopy. Korean J. Crop Sci. 2004, 49, 211–215. [Google Scholar]
- Guo, J.; You, T.; Prisecaru, V.; Costescu, D.; Nelson, R.L.; Baianu, I.C. NIR calibrations for soybean seeds and soy food composition analysis: Total carbohydrates, oil, proteins and water contents. Nat. Prec. 2011. [Google Scholar] [CrossRef]
- Fassio, A.; Cozzolino, D. Non-destructive prediction of chemical composition in sunflower seeds by near infrared spectroscopy. Ind. Crops Prod. 2004, 20, 321–329. [Google Scholar] [CrossRef]
- AOAC. Official Methods of Analysis, 15th ed.; Association of Official Analytical Chemists: Arlington, VA, USA, 1990. [Google Scholar]
- Leroy, B.; Lambotte, S.; Dotreppe, O.; Lecocq, H.; Istasse, L.; Clinquart, A. Prediction of technological and organoleptic properties of beef Longissimus thoracis from near-infrared reflectance and transmission spectra. Meat Sci. 2003, 66, 45–54. [Google Scholar] [CrossRef]
- Blanco, M.; Villarroya, I. NIR spectroscopy: A rapid response analytical tool. Trends Anal. Chem. 2002, 21, 240–250. [Google Scholar] [CrossRef]
- Acquah, G.E.; Via, B.K.; Fasina, O.O.; Eckhardt, L.G. Non-destructive prediction of the properties of forest biomass for chemical and bioenergy applications using near infrared spectroscopy. J. Near Infrared Spectrosc. 2015, 23, 93–102. [Google Scholar] [CrossRef]
- Shenk, J.S.; Westerhaus, M.O. Near Infrared Spectroscopy: The Future Waves; Davies, A.M.C., Williams, P.C., Eds.; NIR publications: Chichester, UK, 1996; pp. 198–202. [Google Scholar]
- Panford, J.A.; Williams, P.C.; deMan, J.M. Analysis of oilseeds for protein, oil, fiber and moisture by near-infrared reflectance spectroscopy. J. Am. Oil Chem. Soc. 1988, 65, 1627–1634. [Google Scholar] [CrossRef]
- Williams, P.; Norris, K. Near-Infrared Technology in the Agricultural and Food Industries, 1st ed.; American Association of Cereal Chemistis: St Paul, MN, USA, 1987. [Google Scholar]
- Xu, F.; Huang, X.; Dai, H.; Chen, W.; Ding, R.; Teye, E. Nondestructive determination of bamboo shoots lignificant using FT-NIR with efficient variables selection algorithms. Anal. Methods 2014, 6, 1090–1095. [Google Scholar] [CrossRef]
- Jie, D.; Xie, L.; Fu, X.; Rao, X.; Ying, Y. Variable selection for partial least squares analysis of soluble solids content in watermelon using near-infrared diffuse transmission technique. J. Food Eng. 2013, 118, 387–392. [Google Scholar] [CrossRef]
- Zhao, Q.; Lv, X.; Jia, Y.; Chen, Y.; Xu, G.; Qu, L. Rapid determination of the fat, moisture, and protein contents in homogenized chicken eggs based on near-infrared reflectance spectroscopy. Poult. Sci. 2018, 97, 2239–2245. [Google Scholar] [CrossRef] [PubMed]
- Martens, H.; Naes, T. Multivariate Calibration, 1st ed.; John Wiley and Sons Ltd.: New York, NY, USA, 1996. [Google Scholar]
- Tkachuk, R. Oil and protein analysis of whole rapeseed kernels by near infrared reflectance spectroscopy. J. Am. Oil Chem. Soc. 1981, 58, 819–822. [Google Scholar] [CrossRef]
- Nicolai, B.M.; Beullens, K.; Bobelyn, E.; Peirs, A.; Saeys, W.; Theron, K.I.; Lammertyn, J. Nondestructive measurement of fruit and vegetable quality by means of NIR spectroscopy: A. review. Postharvest Biol. Technol. 2007, 46, 99–118. [Google Scholar] [CrossRef]
- Hall, M.N.; Robertson, A.; Scotter, C.N.G. Near-infrared reflectance prediction of quality, theaflavin content and moisture content of black tea. Food Chem. 1988, 27, 61–75. [Google Scholar] [CrossRef]
Sample Availability: Samples of Camellia gauchowensis Chang and C. semiserrata Chi seeds are available from the authors. |





| Indicators | Seeds Kernels | Number | Statistics | Max 1/% | Min 2/% | Mean ± SD 3/% | CV 4 |
|---|---|---|---|---|---|---|---|
| Oil | Camellia gauchowensis Chang | 106 | Calibration set | 68.43 | 23.85 | 48.71 ± 8.94 | 0.18 |
| Validation set | 56.82 | 22.16 | 45.32 ± 7.57 | 0.17 | |||
| C. semiserrata Chi | 104 | Calibration set | 71.08 | 31.71 | 58.37 ± 7.39 | 0.13 | |
| Validation set | 70.00 | 51.71 | 62.73 ± 4.38 | 0.07 | |||
| Moisture | C. gauchowensis Chang | 106 | Calibration set | 9.02 | 2.40 | 4.39 ± 1.08 | 0.25 |
| Validation set | 9.00 | 2.74 | 4.62 ± 0.84 | 0.18 | |||
| C. semiserrata Chi | 104 | Calibration set | 6.37 | 2.32 | 3.49 ± 0.71 | 0.20 | |
| Validation set | 5.14 | 0.71 | 3.19 ± 0.84 | 0.26 |
| Indicators | Seeds Kernels | Rc 1 | SEC 2 | SEP 3 | Offset | Bias | Slop | RPD 4 |
|---|---|---|---|---|---|---|---|---|
| Oil | Camellia gauchowensis Chang | 0.98 | 1.57 | 1.73 | 1.59 | 1.99 × 10−6 | 0.97 | 5.94 |
| C. semiserrata Chi | 0.95 | 1.72 | 1.92 | 5.26 | 1.26 × 10−6 | 0.91 | 4.92 | |
| Moisture | C. gauchowensis Chang | 0.92 | 0.26 | 0.29 | 0.61 | 2.21 × 10−7 | 0.86 | 4.22 |
| C. semiserrata Chi | 0.89 | 0.27 | 0.30 | 0.70 | 4.87 × 10−8 | 0.80 | 2.77 |
© 2018 by the authors. Licensee MDPI, Basel, Switzerland. This article is an open access article distributed under the terms and conditions of the Creative Commons Attribution (CC BY) license (http://creativecommons.org/licenses/by/4.0/).
Share and Cite
Zhang, Y.; Zhang, L.; Wang, J.; Tang, X.; Wu, H.; Wang, M.; Zeng, W.; Mo, Q.; Li, Y.; Li, J.; et al. Rapid Determination of the Oil and Moisture Contents in Camellia gauchowensis Chang and Camellia semiserrata Chi Seeds Kernels by Near-infrared Reflectance Spectroscopy. Molecules 2018, 23, 2332. https://doi.org/10.3390/molecules23092332
Zhang Y, Zhang L, Wang J, Tang X, Wu H, Wang M, Zeng W, Mo Q, Li Y, Li J, et al. Rapid Determination of the Oil and Moisture Contents in Camellia gauchowensis Chang and Camellia semiserrata Chi Seeds Kernels by Near-infrared Reflectance Spectroscopy. Molecules. 2018; 23(9):2332. https://doi.org/10.3390/molecules23092332
Chicago/Turabian StyleZhang, Yingzhong, Liangbo Zhang, Jing Wang, Xuxiao Tang, Hong Wu, Minghuai Wang, Wu Zeng, Qihui Mo, Yongquan Li, Jianwei Li, and et al. 2018. "Rapid Determination of the Oil and Moisture Contents in Camellia gauchowensis Chang and Camellia semiserrata Chi Seeds Kernels by Near-infrared Reflectance Spectroscopy" Molecules 23, no. 9: 2332. https://doi.org/10.3390/molecules23092332
APA StyleZhang, Y., Zhang, L., Wang, J., Tang, X., Wu, H., Wang, M., Zeng, W., Mo, Q., Li, Y., Li, J., Huang, Y., Xu, B., & Zhang, M. (2018). Rapid Determination of the Oil and Moisture Contents in Camellia gauchowensis Chang and Camellia semiserrata Chi Seeds Kernels by Near-infrared Reflectance Spectroscopy. Molecules, 23(9), 2332. https://doi.org/10.3390/molecules23092332

