Development of a Rapid and Simple Method for Preparing Tea-Leaf Saponins and Investigation on Their Surface Tension Differences Compared with Tea-Seed Saponins
Abstract
:1. Introduction
2. Results and Discussion
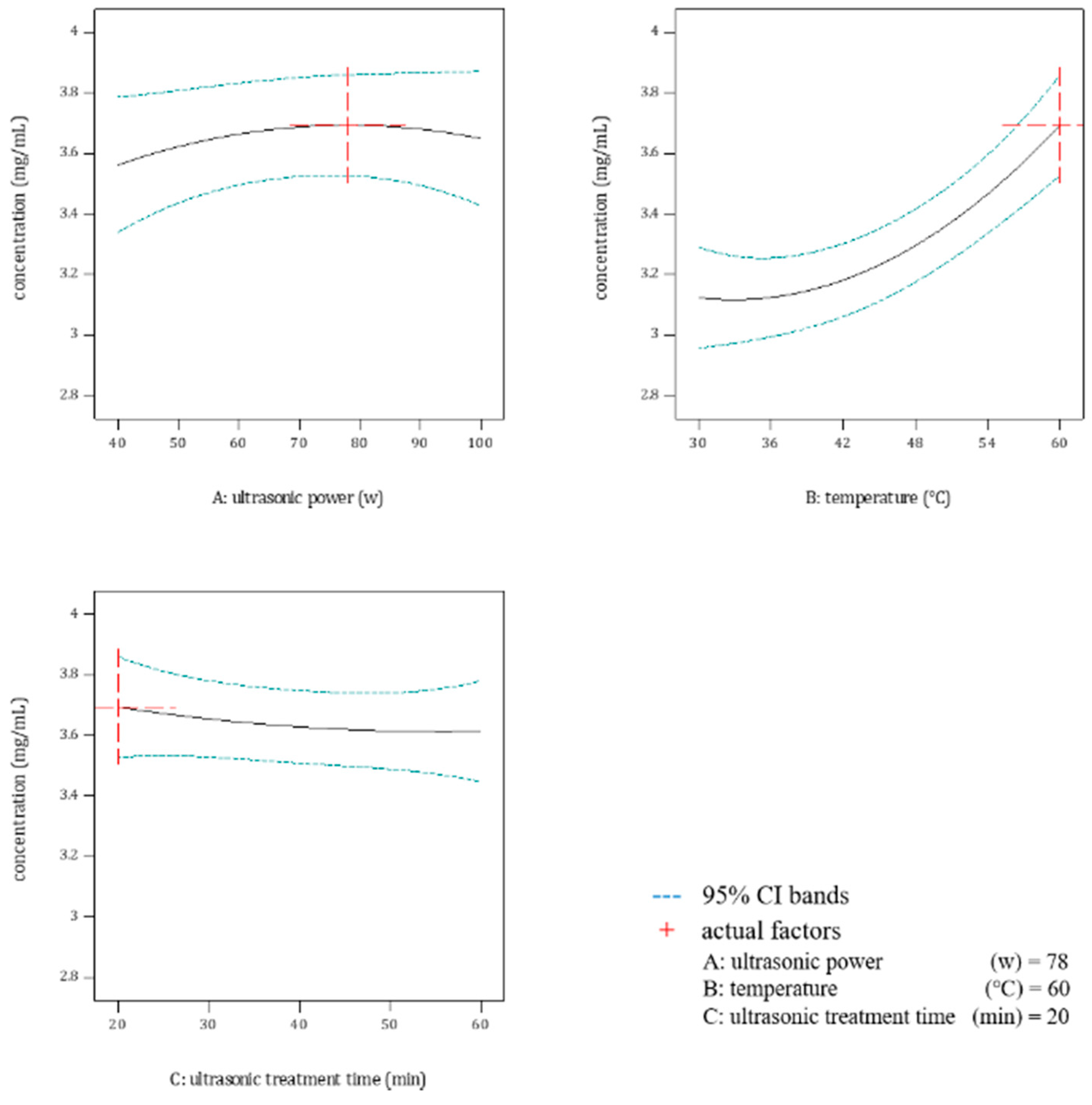
2.1. Optimizations of Ultrasonic-Assisted Water Extraction
2.2. Optimizations of Acetone Precipitation
2.3. Properties Differences Between Tea-Leaf Saponins and Tea-Seed Saponins
2.3.1. Compositions Differences Reflected in FT-IR Spectra and UV Spectra
FT-IR Spectra
UV Spectra
2.3.2. Surface Tension Differences
3. Materials and Methods
3.1. Materials
3.2. Box–Behnken Designs for Ultrasonic-Assisted Water Extraction
3.3. Single-Variable Experiments for Acetone Precipitation
3.4. Measurements of FT-IR Spectra and UV Spectra
3.5. Measurements of the Surface Tension
4. Conclusions
Author Contributions
Funding
Conflicts of Interest
References
- Ribeiro, B.D.; Coelho, M.A.Z.; Rebelo, L.P.N.; Marrucho, I.M. Ionic liquids as additives for extraction of saponins and polyphenols from mate (Ilex paraguariensis) and tea (Camellia sinensis). Ind. Eng. Chem. Res. 2013, 52, 12146–12153. [Google Scholar] [CrossRef]
- Xiong, W.; Li, X.; Fu, J.; Wang, H.; Zhu, R.; Han, X. Synchronous extraction of procyanidins and saponin from episperm of tea seeds. Food Res. Dev. 2016, 37, 28–32. [Google Scholar] [CrossRef]
- Lu, W.; Ning, J.; Fang, S.; Jiang, S.; Wei, H. Study on comprehensive extraction of tea polyphenol and tea saponin from tea flowers. Sci. Technol. Food Ind. 2012, 33, 296–300. [Google Scholar] [CrossRef]
- Hu, J.-L.; Nie, S.-P.; Huang, D.-F.; Li, C.; Xie, M.-Y. Extraction of saponin from Camellia oleifera cake and evaluation of its antioxidant activity. Int. J. Food Sci. Technol. 2012, 47, 1676–1687. [Google Scholar] [CrossRef]
- He, J.; Wu, Z.; Zhang, S.; Zhou, Y.; Zhao, F.; Peng, Z.; Hu, Z. Optimization of microwave-assisted extraction of tea saponin and its application on cleaning of historic silks. J. Surfactants Deterg. 2014, 17, 919–928. [Google Scholar] [CrossRef]
- Chen, S.; Xie, Q.; Ye, Z.; Ye, X. The extraction technology of tea saponin from Fujian Camellia leaves and stems. J. Anhui Agric. Sci. 2013, 41, 2675–2677. [Google Scholar]
- Zhan, Y.; Xie, Y. Study on the extraction technology of tea saponin from Camellia chekiang-oleosa Hu. tea seed cake. J. Anhui Agric. Sci. 2012, 40, 104–105. [Google Scholar] [CrossRef]
- Sagesaka, Y.M.; Uemura, T.; Watanabe, N.; Sakata, K.; Uzawa, J. A new glucuronide saponin from tea leaves (Camellia sinensis var. sinensis). Biosci. Biotechnol. Biochem. 1994, 58, 2036–2040. [Google Scholar] [CrossRef] [PubMed]
- Morikawa, T.; Nakamura, S.; Kato, Y.; Muraoka, O.; Matsuda, H.; Yoshikawa, M. Bioactive saponins and glycosides. XXVIII. New triterpene saponins, foliatheasaponins I, II, III, IV, and V, from Tencha (the leaves of Camellia sinensis). Chem. Pharm. Bull. 2007, 55, 293–298. [Google Scholar] [CrossRef] [PubMed]
- Yoshikawa, M.; Morikawa, T.; Li, N.; Nagatomo, A.; Li, X.; Matsuda, H. Bioactive saponins and glycosides. XXIII. Triterpene saponins with gastroprotective effect from the seeds of Camellia sinensis—Theasaponins E3, E4, E5, E6, and E7. Chem. Pharm. Bull. 2005, 53, 1559–1564. [Google Scholar] [CrossRef] [PubMed]
- Morikawa, T.; Matsuda, H.; Li, N.; Li, X.; Yoshikawa, M. Bioactive saponins and glycosides. Part 29 Acylated oleanane-type triterpene saponins: Theasaponins A6, A7, and B5 from the seeds of Camellia sinensis. Helv. Chim. Acta 2007, 90, 2342–2348. [Google Scholar] [CrossRef]
- Yoshikawa, M.; Morikawa, T.; Nakamura, S.; Li, N.; Li, X.; Matsuda, H. Bioactive saponins and glycosides. XXV. Acylated oleanane-type triterpene saponins from the seeds of tea plant (Camellia sinensis). Chem. Pharm. Bull. 2007, 55, 57–63. [Google Scholar] [CrossRef] [PubMed]
- Wan, X. Tea Biochemistry, 3rd ed.; China Agriculture Press: Beijing, China, 2011. [Google Scholar]
- Yang, P.; Zhou, M.; Zhou, C.; Wang, Q.; Zhang, F.; Chen, J. Separation and purification of both tea seed polysaccharide and saponin from Camellia cake extract using macroporous resin. J. Sep. Sci. 2015, 38, 656–662. [Google Scholar] [CrossRef] [PubMed]
- Yu, X.-L.; He, Y. Tea saponins: Effective natural surfactants beneficial for soil remediation, from preparation to application. RSC Adv. 2018, 8, 24312–24321. [Google Scholar] [CrossRef]
- Zhao, S.; Xue, Z.; Yang, C.; Wei, M. Optimization of extraction conditions of tea saponin and its antifungi effects. China Oils Fats 2010, 35, 64–67. [Google Scholar]
- Yan, X.; Wei, J.; Xu, J.; Li, J.; Guo, X. Study on antibacterial activities of tea polyphenols and tea saponin and their blends. Sci. Technol. Food Ind. 2014, 35, 159–162. [Google Scholar] [CrossRef]
- Wen, L.; Lu, W.; Jiang, Q.; Yan, L.; Fang, D. Toxicity irritation and bacteriostasis of tea saponin. China Oils Fats 2011, 36, 58–60. [Google Scholar]
- Lv, X.; Qu, S.; Sun, X.; Li, Z. Preliminary study on the capability of antioxidantion and scavenging free radicals of sasanquasaponins. Food Sci. 2005, 26, 86–90. [Google Scholar]
- Sun, J.; Cai, C.; Liang, R.; Yang, C. Purification of tea saponin and its inhibition on tyrosinase activity. China Surfactant Deterg. Cometics 2017, 47, 312–316. [Google Scholar] [CrossRef]
- Wang, Q.; Liu, X.; Zhang, X.; Hou, Y.; Hu, X.; Liang, X.; Chen, X. Influence of tea saponin on enhancing accessibility of pyrene and cadmium phytoremediated with Lolium multiflorum in co-contaminated soils. Environ. Sci. Pollut. Res. 2016, 23, 5705–5711. [Google Scholar] [CrossRef] [PubMed]
- Cay, S. Enhancement of cadmium uptake by Amaranthus caudatus, an ornamental plant, using tea saponin. Environ. Monit. Assess. 2016, 188, 1–8. [Google Scholar] [CrossRef] [PubMed]
- Liu, X.; Cao, L.; Wang, Q.; Zhang, X.; Hu, X. Effect of tea saponin on phytoremediation of Cd and pyrene in contaminated soils by Lolium multiflorum. Environ. Sci. Pollut. Res. 2017, 24, 18946–18952. [Google Scholar] [CrossRef] [PubMed]
- Ye, M.; Sun, M.; Wan, J.; Fang, G.; Li, H.; Hu, F.; Jiang, X.; Kengara, F.O. Evaluation of enhanced soil washing process with tea saponin in a peanut oil-water solvent system for the extraction of PBDEs/PCBs/PAHs and heavy metals from an electronic waste site followed by vetiver grass phytoremediation. J. Chem. Technol. Biotechnol. 2015, 90, 2027–2035. [Google Scholar] [CrossRef]
- Ye, M.; Sun, M.; Xie, S.; Liu, K.; Feng, Y.; Zhao, Y.; Wan, J.; Hu, F.; Li, H.; Zong, L.; et al. Feasibility of tea saponin-enhanced soil washing in a soybean oil-water solvent system to extract PAHs/Cd/Ni efficiently from a coking plant site. Pedosphere 2017, 27, 452–464. [Google Scholar] [CrossRef]
- Chen, X.; Xiao, D.; Huo, G.; Long, H.; Liu, J. Extraction and purification of tea saponin and preparation of single angeloyl theasapogenol. J. Chin. Cereals Oils Assoc. 2017, 32, 88–95, 117. [Google Scholar]
- Li, L.; Yu, W.; Liu, G.; Liu, H.; Kuai, L.; Li, L.; Chen, X. The extraction of tea saponin and its application in shampoos. Appl. Chem. Ind. 2016, 45, 78–81. [Google Scholar]
- Liu, B.; Quan, C.; Huang, X.; Chen, Y.; Zhang, Y. Optimization of ethanol extraction of tea saponin using response surface methodology. China Oils Fats 2013, 38, 84–86. [Google Scholar]
- Yu, H.; Chen, H.; Wu, B.; Ren, W. Optimization of extraction process for tea saponin from Camellia oleifera seed meal with n-propanol. Food Sci. 2013, 34, 58–62. [Google Scholar]
- Yi, X.; Liu, R.; Xiao, Z.; Wu, H.; Gu, Z.; Li, J.; Li, C. Research on tea oil and tea saponin extracted by n-butyl alcohol from pressed Camellia cake. J. Chin. Cereals Oils Assoc. 2016, 31, 67–71. [Google Scholar]
- Shi, G.; Wang, H.; Hua, R.; Zhou, B.; Xu, J.; Deng, L. Technical study on ethanol-ammonia water extraction of tea saponin from Camellia cakes. Mod. Chem. Ind. 2011, 31, 37–40. [Google Scholar]
- Peng, Y.; Zhou, J.; Guo, H. Study on extraction of tea saponin by microwave-assisted method. Cereals Oils 2009, 3, 27–29. [Google Scholar]
- Gong, Z.; Liang, D.; Zhang, Z.; Xiao, W.-J. Study on tea seed saponin extraction by microwave-assisted method. J. Tea Sci. 2013, 33, 358–363. [Google Scholar]
- Zhang, L.; Hu, J.; Li, J.; Deng, Z. Extraction of tea saponin by ultrasonic-assisted method from the tea seed residue after tea oil extraction. J. Anhui Agric. Sci. 2012, 40, 9888–9891. [Google Scholar]
- Qi, X.; Zhang, S. Study on ultrasonic assisted water extraction of tea saponin and application of its solution. J. Food Sci. Technol. 2014, 32, 59–64. [Google Scholar] [CrossRef]
- He, Z.; Zhang, H.; Zhang, X. Research on extracting technology of tea saponin by ultrasonic assisting alcohol-ammonia water. Nat. Sci. J. Xiangtan Univ. 2015, 37, 80–85. [Google Scholar] [CrossRef]
- Lv, X.; Li, Z. Study on supercritical-CO2 extraction of saponin from Camellia oleifera. Food Ferment. Ind. 2005, 31, 23–26. [Google Scholar] [CrossRef]
- Wang, X. Process optimization research on aqueous enzymatic extraction of tea-seed oil with response surface analysis. J. Chin. Cereals Oils Assoc. 2013, 28, 40–43, 48. [Google Scholar]
- Zhang, Y.; Wang, L. Extraction of tea saponin by enzymatic hydrolysis method. J. Henan Univ. Technol. Nat. Sci. Ed. 2014, 35, 17–22. [Google Scholar]
- Zhou, H.; Yang, D. Enzymatic extraction technology and purification method of tea saponin. Jiangsu Agric. Sci. 2016, 44, 362–364. [Google Scholar] [CrossRef]
- Wang, W.; Chen, C.; Zhang, B.; Huang, J.; Wu, X.; Xu, Y.; Fang, W.; Wang, Y.; Lei, P.; Wu, Q. Method of abstracting tea-saponin with secondany fermemtation. Chin. Agric. Sci. Bull. 2014, 30, 296–301. [Google Scholar]
- Yu, X.-L.; He, Y. Optimization of tea-leaf saponins water extraction and relationships between their contents and tea (Camellia sinensis) tree varieties. Food Sci. Nutr. 2018, 1–8. [Google Scholar] [CrossRef]
- Feng, J.; Chen, Y.; Liu, X.; Liu, S. Efficient improvement of surface activity of tea saponin through Gemini-like modification by straightforward esterification. Food Chem. 2015, 171, 272–279. [Google Scholar] [CrossRef] [PubMed]
- Mao, L.; Qi, Y.; Sun, Z.; Zeng, Q.; Yan, F. Extraction of tea saponin and surface performance of its solutions. J. Tianjin Polytech. Univ. 2016, 35, 32–36. [Google Scholar] [CrossRef]
- Yang, L.; Fu, L.; Shen, J. Preparation of new-type tea saponin sodium sulfate and its remediation study on soil heavy metal pollution. J. Soil Water Conserv. 2012, 26, 263–266, 272. [Google Scholar]
- Liu, R.; Xia, C.; Zhu, Q. Theoretical system of tea saponin’s surface activity and its application. J. Tea 1996, 22, 10–13. [Google Scholar]
- Xie, Q.; Li, Y.; Chen, S. Preparation, purification and surface activity of crude tea saponins. Jiangsu Agric. Sci. 2014, 42, 206–208. [Google Scholar]
- Yuan, H.; Liu, R.; Zhang, N. A simple method for purification of crude tea saponin. Chin. J. Bioprocess Eng. 2008, 6, 18–20. [Google Scholar]
- Sagesaka, Y.M.; Uemura, T.; Suzuki, Y.; Sugiura, T.; Yoshida, M.; Yamaguchi, K.; Kyuki, K. Antimicrobial and anti-inflammatory actions of tea-leaf saponin. Yakugaku Zasshi 1996, 116, 238–243. [Google Scholar] [CrossRef] [PubMed]
- Sur, P.; Chaudhuri, T.; Vedasiromoni, J.R.; Gomes, A.; Ganguly, D.K. Antiinflammatory and antioxidant property of saponins of tea [Camellia sinensis (L) O. Kuntze] root extract. Phyther. Res. 2001, 15, 174–176. [Google Scholar] [CrossRef] [PubMed]
- Yamauchi, Y.; Azuma, K.; Tomita, M.; Horie, H.; Kohata, K. Development of a simple preparation method for tea-seed saponins and investigation on their antiyeast activity. JARQ 2001, 35, 185–188. [Google Scholar] [CrossRef]
- Sagesaka-Mitane, Y.; Sugiura, T.; Miwa, Y.; Yamaguchi, K.; Kyuki, K. Effect of tea-leaf saponin on blood pressure of spontaneously hypertensive rats. Yakugaku Zasshi 1996, 116, 388–395. [Google Scholar] [CrossRef] [PubMed]
- Lin, G. Isolation and biological activity of tea saponin in Camellia cake. J. Chin. Cereals Oils Assoc. 2016, 31, 76–79, 122. [Google Scholar]
- Wang, L.; Wan, X.; Hou, R.; Xu, J.; Wu, H. Control of Camellia plant extracts and its preparation against plant parasitic nematodes. J. Anhui Agric. Univ. 2013, 40, 642–648. [Google Scholar] [CrossRef]
- Jian, H.; Liao, X.; Zhu, L.; Zhang, W.; Jiang, J. Synergism and foaming properties in binary mixtures of a biosurfactant derived from Camellia oleifera Abel and synthetic surfactants. J. Colloid Interface Sci. 2011, 359, 487–492. [Google Scholar] [CrossRef] [PubMed]
- Argun, M.E.; Güclü, D.; Karatas, M. Adsorption of reactive blue 114 dye by using a new adsorbent: Pomelo peel. J. Ind. Eng. Chem. 2014, 20, 1079–1084. [Google Scholar] [CrossRef]
- Nakanshi, K.; Solomon, P.H. Infrared Absorption Spectroscopy; Holden-Day Inc.: Oakland, CA, USA, 1977. Translated by Wang Mingxu, and published by Science Press: Beijing, China, 1984. (In Chinese) [Google Scholar]
- Wang, C.; Chao, Z.; Sun, W.; Wu, X.; Ito, Y. Isolation of five glycosides from the barks of ilex rotunda by high-speed counter-current chromatography. J. Liq. Chromatogr. Relat. Technol. 2014, 37, 2363–2376. [Google Scholar] [CrossRef] [PubMed]
- Zhang, H.; Zhang, W.; Jiang, J.; Du, J.; Yang, F. Comparison of purification methods and component identification of tea saponin. China Oils Fats 2015, 40, 94–98. [Google Scholar]
- Wang, L.; Xun, X.; Wang, Y. Study on the ultraviolet absorption spectra of tea saponins. China Tea 1990, 32–33. [Google Scholar]
- Dong, J.; Jing, P.; Li, G.; Zhou, N.; Yuan, Y.; Yu, C.; Zhang, M. Effects of saponin on growth and antioxidant enzyme system of rape. Chin. J. Oil Crop Sci. 2011, 33, 185–188. [Google Scholar]
- Hou, J.; Li, N.; Lv, H.; Zeng, Q.; Wu, Q. Effects of tea saponin on seed germination, root lengths and soil enzyme activities. J. Agro-Environ. Sci. 2015, 34, 660–665. [Google Scholar] [CrossRef]
- Luo, Y. Tea Tree Cultivation, 4th ed.; China Agriculture Press: Beijing, China, 2013. [Google Scholar]
- Makkar, H.P.S.; Becker, K. Methods in Molecular Biology; Humana Press: Towota, NJ, USA, 2007. [Google Scholar]
Sample Availability: Samples of the compounds tea-leaf saponins are available from the authors. |





| Run | A (w) | B (°C) | C (min) | Y (mg/mL) |
|---|---|---|---|---|
| 1 | 70 | 45 | 40 | 3.216 |
| 2 | 40 | 45 | 60 | 3.212 |
| 3 | 70 | 30 | 20 | 3.081 |
| 4 | 100 | 45 | 20 | 3.156 |
| 5 | 70 | 60 | 20 | 3.704 |
| 6 | 100 | 60 | 40 | 3.513 |
| 7 | 40 | 30 | 40 | 3.055 |
| 8 | 40 | 45 | 20 | 3.190 |
| 9 | 100 | 45 | 60 | 2.837 |
| 10 | 100 | 30 | 40 | 2.890 |
| 11 | 70 | 60 | 60 | 3.708 |
| 12 | 70 | 45 | 40 | 3.160 |
| 13 | 70 | 30 | 60 | 2.935 |
| 14 | 70 | 45 | 40 | 3.089 |
| 15 | 40 | 60 | 40 | 3.543 |
| Source | Sum of Squares | df | Mean Square | F-Value | p-Value |
|---|---|---|---|---|---|
| Model | 1.04 | 9 | 0.1161 | 21.51 | 0.0018 ** |
| A-ultrasonic Power | 0.0456 | 1 | 1.04 | 8.45 | 0.0335 * |
| B-Temperature | 0.7856 | 1 | 0.0456 | 145.58 | < 0.0001 ** |
| C-Ultrasonic Treatment Time | 0.0241 | 1 | 0.7856 | 4.46 | 0.0883 |
| AB | 0.0046 | 1 | 0.0241 | 0.8843 | 0.4003 |
| AC | 0.0291 | 1 | 0.0046 | 5.39 | 0.0680 |
| BC | 0.0056 | 1 | 0.0291 | 1.04 | 0.3561 |
| A2 | 0.0245 | 1 | 0.0056 | 4.54 | 0.0862 |
| B2 | 0.1153 | 1 | 0.0245 | 21.37 | 0.0057 ** |
| C2 | 0.0024 | 1 | 0.1153 | 0.4362 | 0.5382 |
| Method | Temperature °C | CMC | γ (mN/m) | Reference |
|---|---|---|---|---|
| Wilhelmy plate 1 | 30 ± 5 | pH = 6 0.11 g/L | 37.6 | [44] |
| pH = 9 0.38 g/L | 37.8 | |||
| pH = 12 1.14 g/L | 38.4 | |||
| Wilhelmy plate | 20 | 0.63 g/L | 36.99 | [43] |
| Du Nouy ring method | 20 | 1.814 g/L 2 | 43.5 | [55] |
| maximum bubble pressure method | 32 ± 0.2 | 0.5% | 48.09 | [47] |
| not mentioned | not mentioned | 0.15% | 30 3 | [45] |
| pendent drop method | 30 | 0.88 g/L | 43.80 4 44.54 4 | this study |
© 2018 by the authors. Licensee MDPI, Basel, Switzerland. This article is an open access article distributed under the terms and conditions of the Creative Commons Attribution (CC BY) license (http://creativecommons.org/licenses/by/4.0/).
Share and Cite
Yu, X.-L.; He, Y. Development of a Rapid and Simple Method for Preparing Tea-Leaf Saponins and Investigation on Their Surface Tension Differences Compared with Tea-Seed Saponins. Molecules 2018, 23, 1796. https://doi.org/10.3390/molecules23071796
Yu X-L, He Y. Development of a Rapid and Simple Method for Preparing Tea-Leaf Saponins and Investigation on Their Surface Tension Differences Compared with Tea-Seed Saponins. Molecules. 2018; 23(7):1796. https://doi.org/10.3390/molecules23071796
Chicago/Turabian StyleYu, Xiao-Lan, and Yong He. 2018. "Development of a Rapid and Simple Method for Preparing Tea-Leaf Saponins and Investigation on Their Surface Tension Differences Compared with Tea-Seed Saponins" Molecules 23, no. 7: 1796. https://doi.org/10.3390/molecules23071796
APA StyleYu, X.-L., & He, Y. (2018). Development of a Rapid and Simple Method for Preparing Tea-Leaf Saponins and Investigation on Their Surface Tension Differences Compared with Tea-Seed Saponins. Molecules, 23(7), 1796. https://doi.org/10.3390/molecules23071796

