Organocatalyzed Synthesis of [3.2.1] Bicyclooctanes
Abstract
1. Introduction
2. Non-Chiral Acids or Bases for the Synthesis of Bicyclo[3.2.1]Octanes
2.1. Synthesis of Platensimycin Core
2.2. Synthesis with Chromone Derivatives
2.3. Synthesis of the Bicyclo[3.2.1] from 1,4-Cyclohexanedione
2.4. Use of Oxo Michael Reaction for the Synthesis of the Bicyclo[3.2.1]
2.5. Use of Intramolecular Michael Reaction for the Synthesis of the Bicyclo[3.2.1]
2.6. Synthesis of the Bicyclo[3.2.1] by Isomerization of Spirocyclic Compounds
2.7. Intramolecular Diels-Alder Reaction
3. Chiral Organocatalysis for the Synthesis of Bicyclo[3.2.1]Octanes
3.1. Enatioselective Approaches to Bicyclo[3.2.1]octanes from Five-Membered Rings
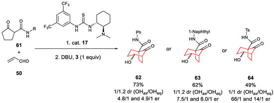
3.2. Enantioselective Approaches to Bicyclo[3.2.1]Octanes from Six-Membered Rings
4. Conclusions
Author Contributions
Acknowledgments
Conflicts of Interest
References
- Chen, X.; Duan, S.; Tao, C.; Zhai, H.; Qiu, F.G. Total synthesis of (+)-gelsemine via an organocatalytic Diels-Alder approach. Nat. Commun. 2015, 6, 7204. [Google Scholar] [CrossRef] [PubMed]
- Zhang, J.Y.; Gong, N.; Huang, J.L.; Guo, L.C.; Wang, Y.X. Gelsemine, a principal alkaloid from Gelsemium sempervirens Ait., exhibits potent and specific antinociception in chronic pain by acting at spinal alpha3 glycine receptors. Pain 2013, 154, 2452–2462. [Google Scholar] [CrossRef] [PubMed]
- Wang, J.; Soisson, S.M.; Young, K.; Shoop, W.; Kodali, S.; Galgoci, A.; Painter, R.; Parthasarathy, G.; Tang, Y.S.; Cummings, R.; et al. Platensimycin is a selective FabF inhibitor with potent antibiotic properties. Nature 2006, 441, 358–361. [Google Scholar] [CrossRef] [PubMed]
- Eey, S.T.C.; Lear, M.J. Total Synthesis of (−)-Platensimycin by Advancing Oxocarbenium- and Iminium-Mediated Catalytic Methods. Chemistry 2014, 20, 11556–11573. [Google Scholar] [CrossRef] [PubMed]
- Maity, P.; Lepore, S.D. Anion-catalyzed addition of gamma-silylallenyl esters to aldehydes: A new entry into [3.2.1] bicyclic natural products. J. Am. Chem. Soc. 2009, 131, 4196–4197. [Google Scholar] [CrossRef] [PubMed]
- Huang, Y.L.; Tsai, W.J.; Shen, C.C.; Chen, C.C. Resveratrol derivatives from the roots of Vitis thunbergii. J. Nat. Prod. 2005, 68, 217–220. [Google Scholar] [CrossRef] [PubMed]
- Grunewald, G.L.; Markovich, K.M.; Sall, D.J. Binding Orientation of Amphetamine and Norfenfluramine Analogues in the Benzonorbornene and Benzobicyclo[3.2.1]octane Ring Systems at the Active Site of Phenylethanolamine N-Methyltransferase (PNMT). J. Med. Chem. 1987, 30, 2191–2208. [Google Scholar] [CrossRef] [PubMed]
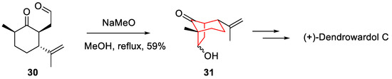
- Wolleb, H.; Carreira, E.M. Total Synthesis of (+)-Dendrowardol C. Angew. Chem. Int. Ed. 2017, 56, 10890–10893. [Google Scholar] [CrossRef] [PubMed]
- Sizemore, N.; Rychnovsky, S.D. Studies toward the Synthesis of Palhinine Lycopodium Alkaloids: A Morita–Baylis–Hillman/Intramolecular Diels–Alder Approach. Org. Lett. 2014, 16, 688–691. [Google Scholar] [CrossRef] [PubMed]
- Filippini, M.-H.; Rodriguez, J. Synthesis of Functionalized Bicyclo[3.2.1]octanes and Their Multiple Uses in Organic Chemistry. Chem. Rev. 1999, 99, 27–76. [Google Scholar] [CrossRef] [PubMed]
- Presset, M.; Coquerel, Y.; Rodriguez, J. Syntheses and Applications of Functionalized Bicyclo[3.2.1]octanes: Thirteen Years of Progress. Chem. Rev. 2013, 113, 525–595. [Google Scholar] [CrossRef] [PubMed]
- Kaur, J.; Chauhan, P.; Singh, S.; Chimni, S.S. Journey Heading Towards Enantioselective Synthesis Assisted by Organocatalysis. Chem. Rec. 2017, 18, 137–153. [Google Scholar] [CrossRef] [PubMed]
- Garcia-Garcia, P.; Pena, J.; Diez, D. Chapter 2. Base catalysis in non-asymmetric synthesis. In Sustainable Catalysis: Without Metals or Other Endangered Elements, Part 1; North, M., Ed.; RSC: London, UK, 2016; pp. 7–37. ISBN 9781782620587. [Google Scholar] [CrossRef]
- Kerr, M.S.; Read de Alaniz, J.; Rovis, T. A highly enantioselective catalytic intramolecular Stetter reaction. J. Am. Chem. Soc. 2002, 124, 10298–10299. [Google Scholar] [CrossRef] [PubMed]
- List, B.; Lerner, R.A.; Barbas, C.F. Proline-Catalyzed Direct Asymmetric Aldol Reactions. J. Am. Chem. Soc. 2000, 122, 2395–2396. [Google Scholar] [CrossRef]
- Ahrendt, K.A.; Borths, C.J.; MacMillan, D.W.C. New Strategies for Organic Catalysis: The First Highly Enantioselective Organocatalytic Diels−Alder Reaction. J. Am. Chem. Soc. 2000, 122, 4243–4244. [Google Scholar] [CrossRef]
- Hoashi, Y.; Okino, T.; Takemoto, Y. Enantioselective Michael addition to alpha,beta-unsaturated imides catalyzed by a bifunctional organocatalyst. Angew. Chem. Int. Ed. 2005, 44, 4032–4035. [Google Scholar] [CrossRef] [PubMed]
- Hentges, S.G.; Sharpless, K.B. Asymmetric induction in the reaction of osmium tetroxide with olefins. J. Am. Chem. Soc. 1980, 102, 4263–4365. [Google Scholar] [CrossRef]
- Marcelli, T.; Hiemstra, H. Cinchona Alkaloids in Asymmetric Organocatalysis. Synthesis 2010, 2010, 1229–2179. [Google Scholar] [CrossRef]
- El Haib, A.; Benharref, A.; Parrès-Maynadié, S.; Manoury, E.; Urrutigoïty, M.; Gouygou, M. Lewis acid- and Bronsted acid-catalyzed stereoselective rearrangement of epoxides derived from himachalenes: Access to new chiral polycyclic structures. Tetrahedron Asymmetry 2011, 22, 101–108. [Google Scholar] [CrossRef]
- Su, X.; Sun, Y.; Yao, J.; Chen, H.; Chen, C. Acid-promoted bicyclization of arylacetylenes to benzobicyclo[3.2.1]octanes through cationic rearrangements. Chem. Commun. 2016, 52, 4537–4540. [Google Scholar] [CrossRef] [PubMed]
- Zhu, L.; Huang, S.-H.; Yu, J.; Hong, R. Constructive innovation of approaching bicyclo[3.2.1]octane in ent-kauranoids. Tetrahedron Lett. 2015, 56, 23–31. [Google Scholar] [CrossRef]
- Takaki, K.; Hino, M.; Ohno, A.; Komeyama, K.; Yoshida, H.; Fukuoka, H. NHC-catalyzed cleavage of vicinal diketones and triketones followed by insertion of enones and ynones. Beilstein J. Org. Chem. 2017, 13, 1816–1822. [Google Scholar] [CrossRef] [PubMed]
- Li, J.-L.; Zhou, S.-L.; Chen, P.-Q.; Dong, L.; Liu, T.-Y.; Chen, Y.-C. Asymmetric Diels-Alder reaction of β,β-disubstituted enals and chromone-fused dienes: Construction of collections with high molecular complexity and skeletal diversity. Chem. Sci. 2012, 3, 1879–1882. [Google Scholar] [CrossRef]
- Liu, G.; Shirley, M.E.; Van, K.N.; McFarlin, R.L.; Romo, D. Rapid assembly of complex cyclopentanes employing chiral, α,β-unsaturated acylammonium intermediates. Nat. Chem. 2013, 5, 1049–1057. [Google Scholar] [CrossRef] [PubMed]
- Tan, B.; Lu, Y.; Zeng, X.; Chua, P.J.; Zhong, G. Facile Domino Access to Chiral Bicyclo[3.2.1]octanes and Discovery of a New Catalytic Activation Mode. Org. Lett. 2010, 12, 2682–2685. [Google Scholar] [CrossRef] [PubMed]
- Donslund, B.S.; Nielsen, R.P.; Monsted, S.M.; Jorgensen, K.A. Benzofulvenes in Trienamine Catalysis: Stereoselective Spiroindene Synthesis. Angew. Chem. Int. Ed. 2016, 55, 11124–11128. [Google Scholar] [CrossRef] [PubMed]
- Jhuo, D.H.; Hong, B.C.; Chang, C.W.; Lee, G.H. One-pot organocatalytic enantioselective Michael-Michael-aldol-Henry reaction cascade. A facile entry to the steroid system with six contiguous stereogenic centers. Org. Lett. 2014, 16, 2724–2727. [Google Scholar] [CrossRef] [PubMed]
- Wang, Y.; Jaunet, A.; Geoffroy, P.; Miesch, M. Phosphine-catalyzed reactions of activated olefins tethered to cycloalkanones. Substrate- and solvent-controlled synthesis of bicyclo[3.2.1]octanones, mixed acetals, and Morita-Baylis-Hillman products. Org. Lett. 2013, 15, 6198–6201. [Google Scholar] [CrossRef] [PubMed]
- Promontorio, R.; Richard, J.-A.; Marson, C. Domino Michael-aldol annulations for the stereocontrolled synthesis of bicyclo[3.3.1]nonane and bicyclo[3.2.1]octane derivatives. RSC Adv. 2016, 6, 114412–114424. [Google Scholar] [CrossRef]
- Raimondi, W.; Sanchez Duque, M.D.M.; Goudedranche, S.; Quintard, A.; Constantieux, T.; Bugaut, X.; Bonne, D.; Rodriguez, J. Activation of 1,2- and 1,3-Ketoamides with Thiourea Organocatalyst for the Enantioselective Domino Synthesis of Functionalized Cyclohexanes. Synthesis 2013, 45, 1659–1666. [Google Scholar] [CrossRef]
- Gu, J.; Du, W.; Chen, Y.-C. Combined Asymmetric Aminocatalysis and Carbene Catalysis. Synthesis 2015, 47, 3451–3459. [Google Scholar] [CrossRef]
- Ren, Y.; Presset, M.; Godemert, J.; Vanthuyne, N.; Naubron, J.V.; Giorgi, M.; Rodriguez, J.; Coquerel, Y. A switchable dual organocatalytic system and the enantioselective total synthesis of the quadrane sesquiterpene suberosanone. Chem. Commun. 2016, 52, 6565–6568. [Google Scholar] [CrossRef] [PubMed]
- Lefranc, A.; Guénée, L.; Goncalves-Contal, S.; Alexakis, A. Direct Organocatalytic Construction of Bicyclo[3.2.1]octanes by Domino Michael/Aldol Reaction with β,γ-Unsaturated 1,2-Keto Amides. Synlett 2014, 25, 2947–2952. [Google Scholar] [CrossRef]
- Lefranc, A.; Gremaud, L.; Alexakis, A. Construction of bicyclo[3.2.1]octanes with four stereogenic centers by organocatalytic domino Michael/Aldol reaction. Org. Lett. 2014, 16, 5242–5245. [Google Scholar] [CrossRef] [PubMed]
- Du, H.; Rodriguez, J.; Bugaut, X.; Constantieux, T. Michael Addition Initiated Substrate- or Catalyst-Controlled Chemodivergent Three-Component Construction of Fused and Bridged Polycyclic Heterocycles. Synthesis 2015, 47, 2188–2198. [Google Scholar] [CrossRef]
- Mose, R.; Preegel, G.; Larsen, J.; Jakobsen, S.; Iversen, E.H.; Jorgensen, K.A. Organocatalytic stereoselective [8 + 2] and [6 + 4] cycloadditions. Nat. Chem. 2017, 9, 487–492. [Google Scholar] [CrossRef] [PubMed]
- Cookson, R.C.; Drake, B.V.; Hudec, J.; Morrison, A. The adduct of tropone and cyclopentadiene: A new type of cyclic reaction. Chem. Commun. 1966, 15. [Google Scholar] [CrossRef]
- Tsakos, M.; Elsegood, M.R.J.; Kokotos, C.G. Organocatalytic asymmetric domino Michael-Henry reaction for the synthesis of substituted bicyclo[3.2.1]octan-2-ones. Chem. Commun. 2013, 49, 2219–2221. [Google Scholar] [CrossRef] [PubMed]
- Kaplaneris, N.; Koutoulogenis, G.; Raftopoulou, M.; Kokotos, C.G. 4-Fluoro and 4-Hydroxy Pyrrolidine-thioxotetrahydropyrimidinones: Organocatalysts for Green Asymmetric Transformations in Brine. J. Org. Chem. 2015, 80, 5464–5473. [Google Scholar] [CrossRef] [PubMed]
- Ramachary, D.B.; Anif Pasha, M.; Thirupathi, G. Organocatalytic Asymmetric Formal [3 + 2] Cycloaddition as a Versatile Platform to Access Methanobenzo[7]annulenes. Angew. Chem. Int. Ed. 2017, 56, 12930–12934. [Google Scholar] [CrossRef] [PubMed]
- Huang, H.; Abbaraju, S.; Zhao, J.C.G. Enantioselective β-Alkylation of Aldehydes through an Organocatalyzed C–C Bond-Scission Reaction. Synlett 2016, 27, 1379–1382. [Google Scholar] [CrossRef]




























© 2018 by the authors. Licensee MDPI, Basel, Switzerland. This article is an open access article distributed under the terms and conditions of the Creative Commons Attribution (CC BY) license (http://creativecommons.org/licenses/by/4.0/).
Share and Cite
Tobal, I.E.; Roncero, A.M.; Garrido, N.M.; Marcos, I.S.; Díez, D. Organocatalyzed Synthesis of [3.2.1] Bicyclooctanes. Molecules 2018, 23, 1039. https://doi.org/10.3390/molecules23051039
Tobal IE, Roncero AM, Garrido NM, Marcos IS, Díez D. Organocatalyzed Synthesis of [3.2.1] Bicyclooctanes. Molecules. 2018; 23(5):1039. https://doi.org/10.3390/molecules23051039
Chicago/Turabian StyleTobal, Ignacio E., Alejandro M. Roncero, Narciso M. Garrido, Isidro S. Marcos, and David Díez. 2018. "Organocatalyzed Synthesis of [3.2.1] Bicyclooctanes" Molecules 23, no. 5: 1039. https://doi.org/10.3390/molecules23051039
APA StyleTobal, I. E., Roncero, A. M., Garrido, N. M., Marcos, I. S., & Díez, D. (2018). Organocatalyzed Synthesis of [3.2.1] Bicyclooctanes. Molecules, 23(5), 1039. https://doi.org/10.3390/molecules23051039

