Next Article in Journal
Recent Advances in the Catalytic Asymmetric Reactions of Oxaziridines
Previous Article in Journal
1,4-β-d-Glucomannan from Dendrobium officinale Activates NF-кB via TLR4 to Regulate the Immune Response
 
 
Font Type:
Arial Georgia Verdana
Font Size:
Aa Aa Aa
Line Spacing:
Column Width:
Background:
Article

Anticancer and Anti-Inflammatory Activities of Some New Pyrazolo[3,4-b]pyrazines

1
Chemistry Department, Faculty of Science, Assiut University, 71516 Assiut, Egypt
2
LCC-CNRS Université de Toulouse, CNRS, UPS, 205 Route de Narbonne, 3107 Toulouse, France
3
Aix-Marseille Université, CNRS, Institut de Chimie Radicalaire ICR, UMR 7273, Laboratoire de Pharmaco-Chimie Radicalaire, Faculté de Pharmacie, 27 Boulevard Jean Moulin CS 30064, 13385 Marseille CEDEX 05, France
*
Author to whom correspondence should be addressed.
Molecules 2018, 23(10), 2657; https://doi.org/10.3390/molecules23102657
Submission received: 8 August 2018 / Revised: 30 August 2018 / Accepted: 3 September 2018 / Published: 16 October 2018
(This article belongs to the Section Bioorganic Chemistry)

Abstract

:
New derivatives of pyrazolo[3,4-b]pyrazines and related heterocycles were synthesized using 5-amino-3-methyl-4-nitroso-1-phenyl-pyrazole (1) as a starting material. The 5-acetyl derivative 15 was shown to be a useful key intermediate for the synthesis of several derivatives of pyrazolopyrazines. Some of the prepared compounds were evaluated for their anti-inflammatory and anti-breast cancer MCF-7 cell line activities. SAR study showed that compounds 15 and 29 exhibited remarkable anti-inflammatory activity, where 15 showed the same activity as that of the reference drug indomethacin. On the other hand, compounds 25i, 25j showed very significant inhibitory activity (p < 0.001) against MCF-7 breast cancer cell line.

Graphical Abstract

1. Introduction

Although pyrazolo[3,4-b]pyrazines are not highly sited in the literature, they proved to be an interesting class of pyrazolopyrazine heterocyles. Therapeutic importance has been reported for these heterocycles, such as their use for the treatment and/or prevention of a wide variety of diseases related to adenosine receptors, depression, anxiety, Parkinson’s disease, pain, dementia, heart failure, and cerebrovascular disease [1,2,3].
They are also used as therapeutic agents for periodontosis, hypercalcemia, osteoporosis, rheumatoid arthritis, Paget’s disease, and as bone metabolism improvers [4]. Some reports indicated their use as blood platelet aggregation inhibitors [5], anti-inflammatories [6], in controlling herbicides [7], and anticancer agents with low toxicity [8,9]. In the domain of dye chemistry, they are used as fluorescent [10] and disperse dyes [11]. Certain derivatives were reported to possess antiviral, antineoplastic, antiparasitic, and anti-fungal properties [12,13,14,15]. Others showed anticonvulsant [16] and antibacterial activities [17,18]. Certain derivatives are useful for the treatment of hematologic diseases [19], also for the prophylaxis and treatment of protein kinase-mediated diseases, including inflammation and other related diseases. They are also used for the treatment of p38 map kinase-mediated diseases including rheumatoid arthritis, psoriasis, chronic obstructive pulmonary disease, pain, and other inflammatory disorders [20]. A microwave-assisted synthesis of fused pyrazolo[3,4-b]pyrazines via the reaction of o-aminonitrosopyrazoles with cyclic β-diketones was also reported [21].
In continuation with our interest in the synthesis of pyrazolo[3,4-b]pyrazins [5,12,13,16,17,18], we report herein the synthesis of other derivatives and related heterocycles. Certain newly synthesized derivatives were screened for their anti-inflammatory and and anti-breast cancer MCF-7 cell line activities.

2. Results

2.1. Chemistry

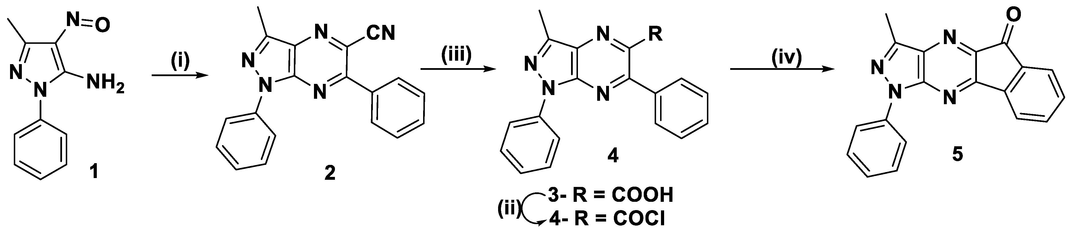
In a preceding paper of our group [18], we have described the first synthesis of 3-methyl-1-phenyl-1H-indeno[2,1-e]pyrazolo[3,4-b]pyrazin-5-one (5). The synthetic route for this compound involved the use of o-aminonitrosopyrazole 1 as a starting material, which was reacted with the active methylene benzoylacetonitrile to give 2. Hydrolysis of the cyano group of the latter compound gave the carboxylic acid 3, which was converted into the acid chloride 4, followed by intramolecular Friedel-Crafts cyclization giving 5 (Scheme 1).
In the present work, when o-aminonitrosopyrazole 1 was reacted with ethyl cyanoacetate in refluxing pyridine, the expected reaction product could be either 6a or 6b (Scheme 2). The structure 6b was immediately ruled out by examining the ir spectrum of the product, which showed no bands corresponding to -NH2 and -COOEt groups. However, the spectrum showed two bands at 3197 and 2254 cm−1 corresponding to ν OH and ν CN, respectively confirming the structure 6a. Further confirmation of this structure was obtained from the 1H-NMR spectral analysis which showed, in addition to the phenyl protons, two characteristic signals assigned to CH3 and OH protons at 2.51 and 8.43 ppm, respectively. Alternatively, compound 6a was obtained through unequivocal synthesis via diazotization of the amino group of the derivative 7 [13], followed by decomposition of the resulting diazonium salt. The alkaline hydrolysis of 6a gave the hydroxycarboxylic acid 8, which was esterified in refluxing absolute ethanol in the presence of concentrated H2SO4 to give the corresponding hydroxyester 9. Contrary to the work of Rangnekar et al. [22], all attempts to prepare the latter compound 9 directly through the reaction of 1 with diethylmalonate under various conditions were unsuccessful (Scheme 2).
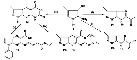
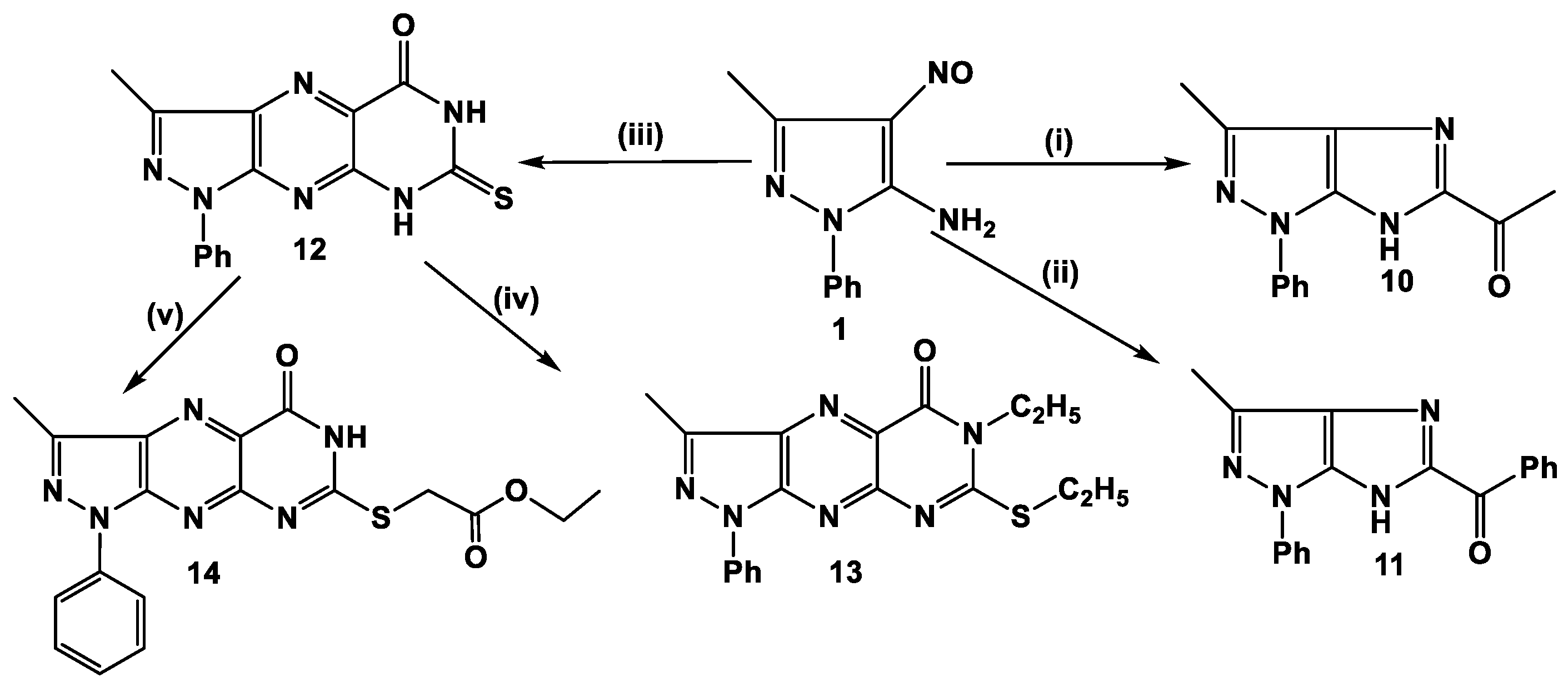
On the other hand, the interaction of 1 with α-haloketones such as chloroacetone and phenacyl bromide gave the corresponding imidazo[4,5-c]pyrazole derivative 10 and 11 respectively. When the aminonitrosopyrazole 1 was reacted with thiobarbituric acid in refluxing pyridine, the reaction product was identified as 3-methyl-1-phenyl-7-thioxo-7,8-dihydro-1H-pyrazolo[4,3-g]pteridin- 5(6H)-one (12). Alkylation of 12 with excess ethyl iodide in DMF in the presence of anhydrous K2CO3 yielded 6-ethyl-7-(ethylthio)-3-methyl-1-phenyl-1H-pyrazolo[4,3-g]pteridin-5(6H)-one (13), however when 12 was interacted with one mole of ethyl chloroacetate, the ethyl mercaptoacetate derivative 14 was obtained (Scheme 3).
The interaction of 1 with acetylacetone under the same reaction conditions, the expected product 5-acetyl-3,6-dimethyl-1-phenyl-1H-pyrazolo[3,4-b]pyrazine (15) was obtained (Scheme 4).
The acetyl derivative 15 was shown to be a useful key intermediate for the synthesis of several derivatives of the title compounds. Thus, the condensation of 15 with semicarbazide and thiosemicarbazide in boiling ethanol afforded the corresponding semicarbazone and thiosemicarbazone 16 and 17, respectively. On the other hand, when the acetyl function of 15 was interacted with hydroxyl amine the reaction product was identified as the oxime 18. The hydrazone 19 was obtained via the interaction of 15 with hydrazine hydrate. Crossed aldol condensation between 5-acetylpyrazolo[3,4-b]pyrazine 15 and isatin was carried out in the presence of diethyl amine as a basic catalyst to give the 3-hydroxy-3-(2-(3,6-dimethyl-1-phenyl-1H-pyrazolo[3,4-b] pyrazine-5-yl)-2-oxoethyl)indolin-2-one (20). Dehydration of 20 by heating its ethanolic solution under reflux in the presence of concentrated HCl afforded the corresponding chalcone 21 (Scheme 5).
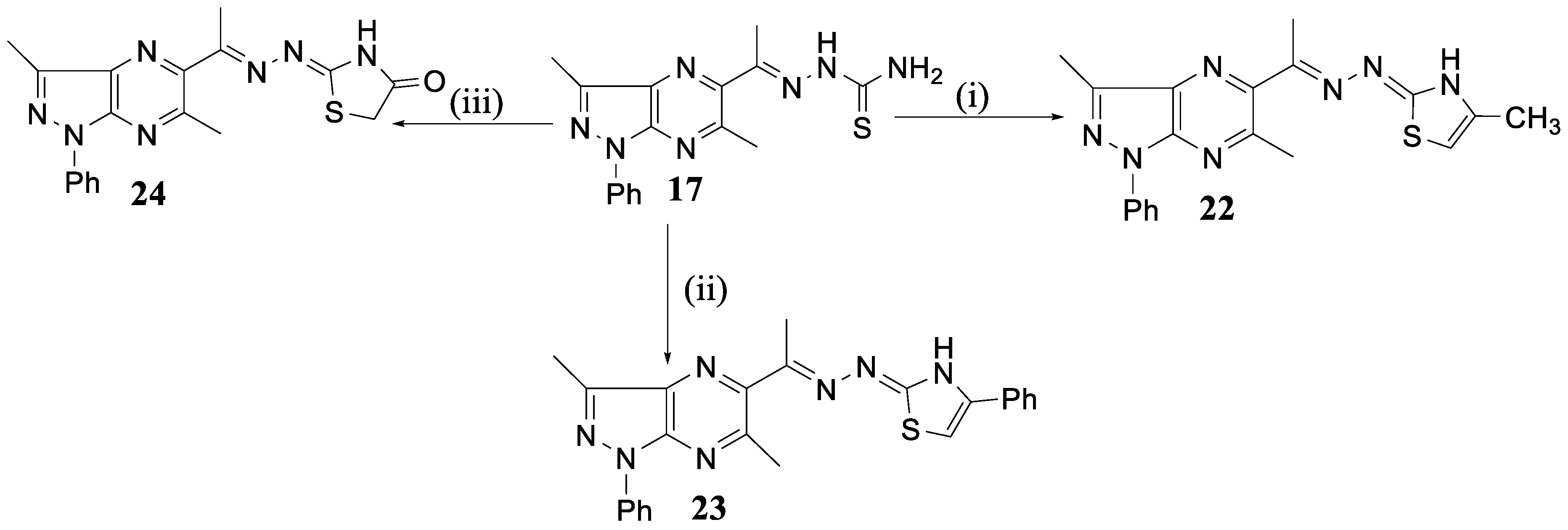
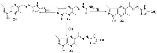
When the thiosemicarbazone 17 was allowed to react with α-haloketones, such as chloroacetone and phenacyl bromide, the corresponding thiazolines 22, 23 were obtained, while its reaction with α-chloroacetic acid gave the thiazolidinone 24 (Scheme 6).
Chalcones are known by their biological activities and in particular by their anticancer activities [23,24,25,26,27,28,29]. Accordingly, a series of chalcones 25ak was synthesized via the Claisen-Schmidt reaction of 15 with a number of aromatic aldehydes (Scheme 7) for the sake of their evaluation against MCF-7 breast cancer cells.
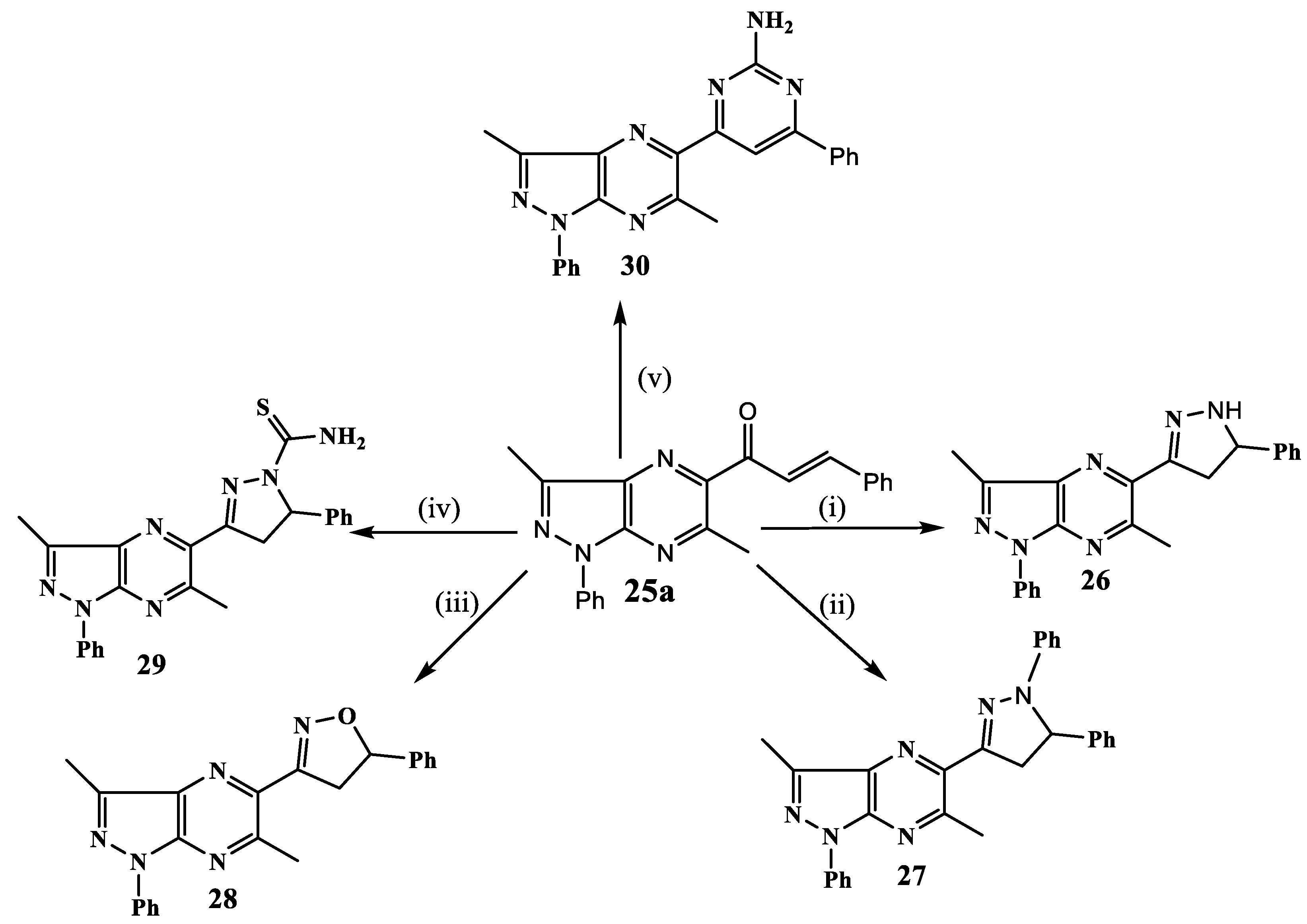
On the other hand, the α,β-unsaturated ketonic function of chalcones renders them ready to undergo reaction with bidentate nucleophiles to give five- and six-membered heterocyclic rings. Thus, the reaction of 25a with hydrazine hydrate and phenyl hydrazine in ethanol gave the corresponding pyrazolinyl derivatives 26 and 27, respectively. Also, the reaction of 25a with hydroxylamine hydrochloride in the presence of anhydrous sodium acetate led to the formation of the dihydroisoxazole 28. Moreover, the interaction of 25a with thiosemicarbazide in an ethanolic sodium hydroxide solution (25%) yielded the pyrazolylthioamide 29. Finally, the treatment of 25a with guanidine sulfate in ethanolic potassium hydroxide solution (10%) yielded the 2-aminopyrimidine 30 (Scheme 8).

2.2. Biology

2.2.1. Anti-Inflammatory Activity

Anti-inflammatory activity of compounds (15, 25a, 2630) was evaluated against the carrageenan-induced rat oedema using indomethacin as the reference drug [30]. Mean changes in paw oedema thickness of the animals pretreated with the tested compounds after 0.5, 1, 2, 3, 4, and 5 h from induction of inflammation was measured, and the inhibition percent of oedema by the tested compounds was calculated. The relative potencies % of the tested compounds compared with indomethacin at the fifth hour was also calculated (Table 1). Amongst all the tested pyrazolopyrazines, the starting compound 5-acetyl-3,6-dimethyl-1-phenyl-1H-pyrazolo[3,4-b] pyrazine (15) showed the highest anti-inflammatory activity, compared to that of indomethacin (44.44%). This activity was decreased when the acetyl derivative 15 was converted into its corresponding chalcone 25a, displaying 12.5% inhibition. An increase of this latter activity was shown by compounds 26 and 27, having pyrazolinyl substituent at 5-position of the pyrazolopyrazine nucleus (23.6%, 15.07% respectively). Substituting the 5-pyrazolinyl moiety by aminopyrimidinyl ring (compound 30) results in more increase in activity (27%). Higher activity (34%) was observed when the latter aminopyrimidinyl ring was replaced by isoxazolinyl moiety (compound 28). Noticeable increase of potency (close to that of indomethacin) was shown by the pyrazolylthioamide derivative 29 (40%).
The percent oedema inhibition was calculated from the mean effect shown by the control and treated animals according to the following equation:
Percent   oedema   inhibition = v c v t v c × 100
where vc represents the mean increase in paw volume in the control group of rats and vt represents the mean increase in paw volume in rats treated with tested compounds. The potency was calculated as the percentage of the change of the standard and tested compounds, as depicted in Table 1. All the results are expressed as the mean ± standard error of the mean (S.E.M.). Statistical evaluations were performed using graph pad prism program software version 5.00 through One-way ANOVA.

2.2.2. Cytotoxic Activity

The chalcones 25ak along with their starting compound 15 were evaluated for their cytotoxic activity against MCF-7 breast cancer cells using 3-(4,5-dimethylthiazol-2yl)-2,5-diphenyl tetrazolium bromide (MTT) cell viability assay according to literature procedure [31]. The results obtained revealed that the parent acetyl compound 15 exhibited an inhibitory activity with IC50 value of 9.42 μM (Figure 1). The chalcone 25a, with unsubstituted phenyl group in the α,β-unsaturated ketonic function, showed higher activity than that of the parent compound 15. An increase in activity was observed upon replacement of this phenyl ring by a phenyl ethen-2-yl group (25k). The effect of substitution in the phenyl group of 25a on the cytotoxic activity was studied. Thus, the introduction of an OH group in the 2-position of this phenyl group (25b) led to an improvement of the activity. On the other hand, the introduction of an NO2 group showed variable activities according to its position, where the activity was in the order 4- > 2- > 3-nitro isomer (25d, 25c, 25e). Replacement of the 4-NO2 group by a CN or OCH3 function (25f and 25g) lowered the cytotoxic activity. However, its replacement by 4-N,N-dimethylamino group (25h) resulted in higher cytotoxic activity than all the former derivatives with IC50 of 3.66 μM. A further higher activity was shown by the 4-Cl derivative (25i), while the highest activity was shown by the 3,4-dimethoxy derivative (25j) with IC50 value of 2.22 μM. The reference drug Paclitaxel showed an IC50 of 1.02 μM (Figure 2).

3. Experimental

3.1. Chemistry

All melting points were determined on a Stuart melting point apparatus SMP3 (Sigma-Aldrich, Saint Louise, MI, USA). IR spectra were recorded on a Nicolet iS10 FT-IR spectrometer (Thermo Fisher, Waltham, MA, USA) using KBr wafer technique. The 1H-NMR spectra were recorded on Bruker AV500 (400 MHz) (Bruker, Billerica, MA, USA) and Bruker Avance III (400 MHz) spectrometers (Bruker). 1H- and 13C-NMR chemical shifts δ were reported in parts per million (ppm) and were referenced to the solvent peak; CDCl3 (7.26 ppm for 1H and 76.90 ppm for 13C) and DMSO-d6 (2.50 ppm for 1H and 39.70 ppm for 13C). Multiplicities are represented by s (singlet), d (doublet), t (triplet), q (quartet), and m (multiplet). Coupling constants (J) are reported in Hertz (Hz). Mass spectra were taken on a Jeol JMS-600 mass spectrometer (Jeol Inc., Peabody, MA, USA). Elemental analyses were carried out using a Perkin Elmer 240 C Micro analyzer (Perkin Elmer, Waltham, MA, USA) and they were found to be within ±0.4% of the theoretical values. Their results were found in good agreement with the calculated values. Paclitaxel and 3-(4,5-dimethylthiazol-2yl)-2,5-diphenyl tetrazolium bromide (MTT) were purchased from Sigma Aldrich, more detailed IR and NMR data can be found in the Supplementary Materials.
6-Hydroxy-3-methyl-1-phenyl-1H-pyrazolo[3,4-b]pyrazine-5-carbonitrile (6a). Procedure (1): A mixture of compound 1 (3.0 g, 1.5 mmol) and ethyl cyanoacetate (1.8 mL, 1.5 mmol) in dry pyridine (20 mL) was heated under reflux for overnight. After cooling, the solid product obtained was filtered, washed with water, and dried. Recrystallization from ethanol-water mixture (2:1) gave fine yellow needles, yield 0.68 g (68%), m.p. 240–242 °C. Procedure (2): Compound 7 [13] (0.5 g, 2 mmol) was dissolved in cold H2SO4 (5 mL), then a cold sodium nitrite solution (0.4 g in 2 mL H2O) was added dropwise under stirring to the above solution during 0.5 h in an ice bath at 0–5 °C. The reaction mixture was allowed to stir at room temperature (rt) for 1 h further, then it was poured onto ice-water mixture. The solid product obtained was filtered, washed with water, and recrystallized from ethanol-water mixture (2:1) as yellow crystals, yield 0.3 g (60%), m.p. 240–242 °C. IR (ν, cm−1): 3197 (OH), 3073 (CH aromatic), 2234 (C≡N). 1H-NMR (400 MHz, DMSO-d6) δ (ppm): 2.51 (s, 3H, CH3), 7.38 (t, 1H, phenyl), 7.57 (t, 2H, phenyl), 8.08 (d, 2H, phenyl), 8.43 (s, 1H, OH). 13C-NMR (100 MHz, DMSO-d6) δ (ppm): 10.99 (CH3), 114.58 (C), 115.73 (C≡N), 120.28 (2 CH), 126.55 (CH), 129.01 (C), 129.31 (2CH), 137.89 (C), 141.84 (C), 144.48 (C), 160.40 (C) MS: m/z (251 M+). Anal. calcd. for C13H9N5O (251.24): C, 62.15; H, 3.61; N, 27.87. Found: C, 62.30; H, 3.50; N, 27.72%.
6-Hydroxy-3-methyl-1-phenyl-1H-pyrazolo[3,4-b]pyrazine-5-carboxylic acid (8): The hydroxy cyano compound 6a (0.5 g) was dissolved in EtOH (10 mL), then aqueous solution of NaOH (20%, 10 mL) was added. The reaction mixture was heated under reflux for 5 h, then it was evaporated to half of its volume. After cooling, it was neutralized with dil. HCl, giving a solid precipitate which was filtered off, washed with water, dried, and recrystallized from dioxane as yellow crystals, yield 0.4 g (80%), m.p. 190–192 °C. IR (ν, cm−1): 3493 (OH), 2969, 2920, 2862 (CH aliph.), 3350-2493 (characteristic of COOH), 1667 (C=O). 1H-NMR (400 MHz, DMSO-d6) δ (ppm): 2.57 (s, 3H, CH3), 7.33 (t, 1H, phenyl), 7.55 (t, 2H, phenyl), 8.12 (d, 2H, phenyl), 8.38 (s, 1H, OH). 13C-NMR (100 MHz, DMSO-d6): 11.76 (CH3), 119.67 (2CH, C), 125.59 (CH, C), 129.53 (2CH, C), 139.55 (2C), 144.77 (C), 165.16 (C). Anal. calcd. for C13H10N4O3 (270.24): C, 57.78; H, 3.73; N, 20.73. Found. C, 57.66; H, 3.88; N, 20.56%.
Ethyl 6-hydroxy-3-methyl-1-phenyl-1H-pyrazolo[3,4-b]pyrazine-5-carboxylate (9): To the hydroxy acid 8 (0.5 g, 1 mmol) in anhydrous ethanol (20 mL), conc. HCl (15 mL) was added, and the mixture was heated under reflux for 6 h. The reaction mixture was then cooled, poured on ice-cold solution of NaHCO3, and the solid precipitate was filtered, washed with water, and dried. Crystallization from dioxane-water mixture (2:1) gave pale brown crystals, yield 0.35 g (70%), m.p. 143–145 °C. IR (ν, cm−1): 3117 (OH), 2974 (CH aliph.), 1677 (C=O). 1H-NMR (400 MHz, CDCl3) δ (ppm): 1.57 (t, J = 7.1 Hz, 3H, CH3), 2.76 (s, 3H, CH3), 4.64 (q, J = 7.1 Hz, 2H, CH2), 7.33 (t, 1H, phenyl), 7.53 (t, 2H, phenyl), 8.25 (d, 2H, phenyl), 12.08 (s, 1H, OH),13C-NMR (100 MHz, CDCl3): 11.64 (CH3), 14.20 (CH3), 63.48 (CH2), 120.32 (2 CH), 123.05 (C) 126.37 (CH), 129.23 (2 CH), 130.58 (C), 138.39 (C), 143.09 (C), 145.8 (C), 161.27 (C), 169.07 (C=O). MS: m/z (298 M+). Anal. calcd. for C15H14N4O3 (298.30): C, 60.40; H, 4.73; N, 18.78. Found: C, 60.30; H, 4.50; N, 18.92%.
5-Acetyl-3-methyl-1-phenyl-1H,6H-imidazo[4,5-c]pyrazole (10): A mixture of compound 1 (1.0 g, 5 mmol) and chloro acetone (0.46 mL, 5 mmol) in dry pyridine (15 mL) was heated under reflux for overnight. After cooling the solid product was filtered, washed with water, and recrystallized from ethanol-dioxane mixture (2:1) as fine yellow needles, yield 0.52 g (98%), m.p. 288–290 °C. IR (ν, cm−1): 3438 (NH), 2922, 2784 (CH aliph.), 1655 (C=O). 1H-NMR (400 MHz, DMSO-d6) δ (ppm): 2.40 (s, 3H, CH3), 2.60 (s, 3H, CH3), 7.33 (t, 1H, phenyl), 7.52 (t, 2H, phenyl), 7.6 (s, 1H, NH), 8.11 (d, 2H, phenyl). 13C-NMR (100 MHz, DMSO-d6) δ (ppm): 11.26 (CH3), 21.17 (CH3), 119.87 (2CH), 125.79 (CH, C), 129.19 (2CH, C), 138.82 (2C), 155.33 (C=O). Anal. calcd. for C13H12N4O (240. 26): C, 64.99; H, 5.03; N, 23.32. Found: C, 64.60; H, 5.21; N, 23.40%.
5-Benzoyl-3-methyl-1-phenyl-1H,6H-imidazo[4,5-c]pyrazole (11): A mixture of compound 1 (1.0 g, 5 mmol) and phenacyl bromide (0.46 g, 5 mmol) in dry pyridine (15 mL) was heated under reflux for overnight. After cooling the solid product was filtered, washed with water, dried, and recrystallized from ethanol-dioxane mixture (1:1) as yellow needles, yield 0.8 g (88%), m.p. 304–306 °C. IR (ν, cm−1): 3075 (NH), 2921, 2781 (CH aliph.), 1641 (C=O). 1H-NMR (400 MHz, DMSO-d6) δ (ppm): 2.76 (s, 3H, CH3), 7.33 (t, 1H, phenyl), 7.41 (t, 1H, phenyl), 7.65–7.50 (m, 5H, phenyl), 8.12–8.31 (m, 3H, phenyl), 12.85 (s, 1H, NH). 13C-NMR (100 MHz, DMSO-d6) δ (ppm): 14.08 (CH3), 120.327 (C), 120.99 (2CH), 123.08 (CH), 126.78 (CH), 127.02 (CH), 127.96 (CH), 128.45 (CH), 129.57 (CH), 129.77 (CH), 129.88 (CH), 131.49 (C), 135.14 (C), 139.11 (C), 154.56 (C), 155.46 (C), 177.73 (C). MS: m/z (302 M+). Anal. calcd. for C18H14N4O (302.33): C, 71.51; H, 4.67; N, 18.53. Found: C, 71.62; H, 4.25; N, 18.72%.
3-Methyl-1-phenyl-7-thioxo-7,8-dihydro-1H-pyrazolo[4,3-g]pteridin-5(6H)-one (12): A mixture of amino nitroso 1 (1.01 g, 5 mmol) and thiobarbituric acid (0.72 g, 5 mmol) in dry pyridine (20 mL) was heated under reflux for overnight. After cooling, the solid product was filtered, washed with water, and recrystallized from ethanol-dioxane mixture (1:3) as fine yellow needles, yield 0.15 g (65%), m.p. 332–334 °C. IR (ν, cm−1): 3416 (NH), 3068 (CH arom.), 2891 (CH aliph.), 1693 (C=O). 1H-NMR (400 MHz, DMSO-d6), δ (ppm): 2.70 (s, 1H, CH3), 7.27 (t, 1H, phenyl), 7.45 (t, 2H, phenyl), 8.13 (d, 2H, phenyl), 11.76 (s, 1H, NH), 11.91 (s, 1H, NH), 13C-NMR (100 MHz, DMSO-d6) δ (ppm): 11.29 (s, 3H, CH3), 119.60 (2CH), 126.36 (CH), 126.99 (C), 129.37 (2CH), 132.78 (C), 138.13 (C), 142.42 (C), 145.60 (C), 147.27 (C), 158.31 (C=O), 175.95 (C=S). MS: m/z (310 M+). Anal. calcd. for C14H10N5OS (310.3): C, 54.18; H, 3.25; N, 27.08 Found: C, 54.02; H, 3.21; N, 26.82%.
6-Ethyl-7-(ethylthio)-3-methyl-1-phenyl-1H-pyrazolo[4,3-g]pteridin-5(6H)-one (13): A mixture of the thione 12 (0.25 g, 0.8 mmol), ethyl iodide (0.24 g, 1.6 mmol), and anhydrous K2CO3 (0.41 g, 3 mmol) in DMF(15 mL) was stirred at 80 °C for 5 h. After cooling the solid product was filtered, washed with water, dried, and recrystallized from ethanol-acetone mixture (2:1) to give yellow crystals, yield 0.25 g (86%), m.p. 238–240 °C. IR (ν, cm−1): 2922, 2784 (CH aliph.), 1655 (C=O). 1H-NMR (400 MHz, CDCl3) δ (ppm): 1.47 (t, J = 7.1 Hz, 3H, CH3), 1.53 (t, J = 7.4 Hz, 3H, CH3), 2.86 (s, 3H, CH3), 3.51 (q, J = 7.4 Hz, 2H, CH2), 4.34 (q, J = 7.0 Hz, 2H, CH2), 7.35 (t, J = 7.3 Hz, 1H, phenyl), 7.57 (t, J = 7.8 Hz, 2H, phenyl), 8.33 (d, J = 8.4 Hz, 2H, phenyl). 13C-NMR (100 MHz, CDCl3) δ (ppm): 11.75 (CH3), 12.93 (CH3), 13.68 (CH3), 27.05 (CH2), 40.44 (CH2), 120.25 (2CH), 125.89 (CH), 128.22 (C), 129.21 (2CH), 135.53 (C), 138.67 (C), 144.52 (C), 145.96 (C), 151.08 (C), 160.43 (C), 162.82 (C=O). MS: m/z (366 M+). Anal. calcd. for C18H18N6OS (366.44): C, 59.00; H, 4.95; N, 22.93. Found: C, 59.25; H, 4.72; N, 22.65%.
Ethyl 2-(3-methyl-5-oxo-1-phenyl-5,6-dihydro-1H-pyrazolo[4,3-g]pteridin-7-ylthio)acetate. (14): A mixture of the thione 12 (0.15 g, 0.4 mmol), ethyl chloroacetate (0.1 g, 0.8 mmol), and anhydrous K2CO3 (0.44 g, 3 mmol) in DMF (15 mL) was stirred at 80 °C for 5 h. After cooling the solid product was filtered, washed with water, dried, and recrystallized from dioxane-water mixture (2:1) to give yellow crystals, yield 0.10 g (71.4%), m.p. 243–245 °C. IR (ν, cm−1): 2980, 2923 (CH aliph.), 1737 (C=O), 1686 (C=O). 1H-NMR (400 MHz, CDCl3) δ (ppm): 1.28 (t, J = 17.3, 10.2 Hz, 3H, CH3), 2.78 (s, 3H, CH3), 4.34–4.11 (m, 4H, 2CH2), 7.27 (t, 1H, phenyl), 7.47 (t, 2H, phenyl), 8.23 (d, 2H, phenyl), 9.64 (s, 1H, NH). 13C-NMR (100 MHz, CDCl3) δ (ppm): 11.79 (CH3), 14.57 (CH3), 33.31 (CH2), 61.73 (CH2), 120.21 (2CH), 126.65 (CH), 129.78 (2CH), 130.09 (C), 134.73 (C), 138.76 (C), 144.31 (C), 145.79 (C), 160.60 (C), 161.41 (C), 162.100 (C=O), 168.64 (C=O). Anal. calcd. for C18H16N6O3S (396.42): C, 54.54; H, 4.07; N, 21.20. Found: C, 54.66; H, 4.12; N, 21.13%.
5-Acetyl-3,6-dimethyl-1-phenyl-1H-pyrazolo[3,4-b]pyrazine (15): A mixture of amino nitroso compound 1 (6.06 g, 30 mmol) and acetylacetone (3.0 g, 30 mmol) in dry pyridine (20 mL) was heated under reflux for 8 h. The reaction mixture was then evaporated to one-half volume and after cooling it was neutralized with dil. HCl (10%). The solid precipitate was filtered off, washed with water, and recrystallized from ethanol-water mixture (1:3) as pale brown needles, yield 6.4 g (80%), m.p. 130–132 °C. IR (ν, cm−1): 3050 (CH arom.), 2900 (CH aliph.), 1689 (C=O). 1H-NMR (400 MHz, CDCl3) δ (ppm): 2.70 (s, 3H, CH3), 2.80 (s, 3H, CH3), 3.00 (s, 3H, CH3), 7.27–7.23 (t, 1H, phenyl), 7.51–7.56 (t, 2H, phenyl), 8.23–8.31 (d, 2H, phenyl). 13C-NMR (100 MHz, CDCl3) δ (ppm): 11.32 (CH3), 25.15 (CH3), 27.79 (CH3), 120.15 (2CH), 126.16 (CH), 129.18 (2CH), 131.83 (C), 138.85 (C), 142.66 (C), 143.18 (C), 144.82 (C), 154.14 (C), 200.54 (C=O). MS: m/z (266 M+). Anal. calcd. for C15H14N4O (266. 12): C, 67.65; H, 5.30; N, 21.04. Found: C, 67.63; H, 5.32; N, 21.08%.
(3,6-Dimethyl-1-phenyl-5-acetyl-1H-pyrazolo[3,4-b]pyrazine)semicarbazone (16): A mixture of the acetyl derivative 5 (0.72 g, 3 mmol), semicarbazide hydrochloride (0.3 g, 3 mmol), and sodium acetate (0.6 g, 1 mol) in ethanol (15 mL) was heated under reflux for 8 h. After cooling, the product was filtered, washed with water, and recrystallized from dioxane-water mixture (3:1) as yellow crystals, yield 0.53 g (93%), m.p. 210–212 °C. IR (ν, cm−1): 3487, 3204 (NH2 + NH), 1739 (C=O). MS: m/z 323 (M+). Anal. calcd. for C16H17N7O (323.35): C, 59.43; H, 5.30; N, 30.32. Found: C, 59.33; H, 5.41; N, 30.26%. No numerical data could be obtained for this compound due its insolubility in deuterated solvents.
(3,6-Dimethyl-1-phenyl-5-acetyl-1H-pyrazolo[3,4-b]pyrazine)thiosemicarbazone (17): A mixture of 15 (1.0 g, 4 mmol) and thiosemicarbazide (0.34 g, 4 mmol) in ethanol (10 mL) was heated under reflux for 8 h. After cooling, the solid product was filtered, washed with water, and dried. Crystallization from dioxane-water mixture (1:1) gave yellow crystals, yield 0.28 g (87%); m.p. 230–232 °C; IR (ν, cm−1): 3434, 3237, 3152 (NH2 + NH), 1690 (C=O).1H-NMR (300 MHz, CDCl3) δ (ppm): 2.40 (CH3), 2.82 (CH3), 2.93 (CH3), 6.40 (s, 2H, NH2), 7.32–7.35 (t, 1H, phenyl), 7.51–7.56 (t, 2H, phenyl), 8.27–8.31 (d, 2H, phenyl), 8.88 (s, 1H, NH). 13C-NMR (100 MHz, CDCl3) δ (ppm): 11.49 (CH3), 25.00 (CH3), 27.96 (CH3), 120.29 (C, 2CH), 126.7 (CH), 129.7 (2CH), 131 (C), 138 (C), 142.6 (C), 143.8 (C), 144.77 (C), 153.8 (C), 200.19 (C=S). Anal. calcd. for C16H17N7S (339.42): C, 56.62; H, 5.05; N, 28.89. Found: C, 56.33; H, 5.20; N, 28.66%.
(5-Acetyl-3,6-dimethyl-1-phenyl-1H-pyrazolo[3,4-b]pyrazine)oxime (18): A mixture of 15 (0.25 g, 0.9 mmol), hydroxyl amine (0.07 g, 1 mmol), and sodium acetate (0.25 g, 3 mmol) in ethanol (10 mL ethanol) was heated under reflux for 3 h. The reaction mixture was then evaporated to half volume and after cooling it was neutralized with dil. HCl. The solid precipitate was filtered off, washed with water, and recrystallized from ethanol-water mixture (3-1) as fine buff needles, yield 0.16 g (89%), m.p. 223–225 °C, IR (ν, cm−1): 3281 broad (OH), 2900 (CH aliph.). 1H-NMR (400 MHz, DMSO-d6) δ (ppm): 2.29 (s, 3H, CH3), 2.63 (s, 3H, CH3) 2.81 (s, 3H, CH3), 7.31–7.36 (t, 1H, phenyl), 7.54–7.59 (t, 2H, phenyl), 8.20–8.23 (d, 2H, phenyl), 11.59 (s, 1H, OH). 13C-NMR (100 MHz, DMSO) δ (ppm): 11.01 (s, 3H, CH3), 13.08 (s, 3H, CH3), 25.11 (s, 3H, CH3), 119.52 (2CH), 125.81 (CH), 129.29 (2CH), 131.11 (C), 138.69 (C), 141.37 (C), 143.08 (C), 146.15 (C), 151.87 (C), 154.14 (C). MS: m/z (281 M+). Anal. calcd. for C15H15N5O (281.31): C, 64.04; H, 5.37; N, 24.90. Found: C, 64.11; H, 5.42; N, 24.97%.
(5-Acetyl-3,6-dimethyl-1-phenyl-1H-pyrazolo[3,4-b]pyrazine)hydrazone (19): A mixture of 15 (0.25 g, 0.9 mmol) and hydrazine hydrate (0.5 mL, 80%) in ethanol (10 mL) was heated under reflux for 6 h. After cooling the solid product was filtered, washed with water, and recrystallized from ethanol as buff needles, yield 0.2 g (87%), m.p. 136–138 °C. IR (ν, cm−1): 3453, 3342 (NH2), 3050 (CH arom.). 1H-NMR (400 MHz, CDCl3) δ (ppm): 2.3 (s, 3H, CH3), 2.70 (s, 3H, CH3) 2.90 (s, 3H, CH3), 5.58 (s, 2H, NH2), 7.27–7.31 (t, 1H, phenyl), 7.49–7.54 (t, 2H, phenyl), 8.20–8.31 (d, 2H, phenyl). 13C-NMR (100 MHz, CDCl3) δ (ppm): 11.36 (CH3), 12.56 (CH3), 25.65 (CH3), 120.03 (CH), 120.14 (CH), 125.60 (CH), 129.12 (CH), 129.18 (CH), 131.52 (C), 139.37 (C), 141.94 (C), 143.48 (C), 147.35 (C), 147.78 (C), 152.34 (C). MS: m/z (280 M+). Anal. calcd. for C15H16N6 (280.33): C, 64.27; H, 5.75; N, 29.98. Found: C, 64.11; H, 5.42; N, 29.93%.
5-(3-Hydroxy-2,3-dihydroindol-2-on-3-ylacetyl)-3,6-dimethyl-1-phenyl-1H-pyrazolo[3,4-b]pyrazine (20): A mixture of 15 (0.25 g, 0.9 mmol) and isatin (0.14 g, 0.9 mmol) and diethyl amine (0.5 mL) in absolute ethanol (15 mL) was stirred at rt for overnight. The solid product obtained was filtered and recrystallized from ethanol-water mixture (1:1) as buff crystals, yield 0.18 g (90%), m.p. 167–169 °C. IR (ν, cm1), 3322 (NH), 1745 (C=O), 1697 (C=O). 1H-NMR (400 MHz, CDCl3) δ (ppm): 2.77 (d, J = 9.7 Hz, 1H, CH2), 2.84 (s, 6H, 2CH3), 3.01 (d, J = 11.4 Hz, 1H, CH2), 6.90 (s, 1H, OH), 7.07 (s, 1H, NH), 7.38–7.29 (m, 2H, Ar-H), 7.44 (d, 2H, Ar-H), 7.55 (t, 2H, Ar-H), 8.34–8.24 (m, 3H, Ar-H). 13C-NMR (100 MHz, CDCl3) δ (ppm): 11.25 (CH3), 25.02 (CH3), 27.46 (CH2), 45.61 (C), 110.11 (C), 115.52 (C), 120.31 (CH), 120.40 (CH), 123.03 (CH), 124.52 (CH), 126.19 (CH), 126.41 (CH), 129.20 (2CH), 129.98 (CH), 131.45 (C), 138.65 (C), 142.78 (C), 144.86 (C), 148.28 (C), 151.96 (C), 169.03 (C), 191.12 (C=O). Anal. calcd. for C23H21N5O3 (413.4): C, 66.82; H, 4.63; N, 16.94. Found: C, 66.51; H, 5.43; N, 16.93%.
2,3-Dihydroindol-2-on-3-ylideneacetyl-3,6-dimethyl-1-phenyl-1H-pyrazolo[3,4-b]pyrazine (21): Compound 20 (0.18 g, 4 mmol) was heated in a mixture of ethanol (7.5 mL) and conc. HCl (2.5 mL) for 15 min. After cooling the solid product obtained was filtered, washed with water, and recrystallized from ethanol-dioxane mixture (1:3) as orange needles, yield 0.13 g (81%), m.p. 248–250 °C. IR (ν, cm−1), 3444 (NH), 3163, 3074 (CH arom.), 1716 (C=O), 1670 (CO-NH). 1H-NMR (300 MHz, CDCl3) δ (ppm): 2.90 (s, 3H, CH3), 3.20 (s, 3H, CH3), 6.85–6.89 (d, 1H, phenyl), 7.10 (t, 1H, phenyl), 7.34–7.37 (t, 2H, phenyl), 7.52–7.55 (t, 2H, phenyl), 7.50 (s, 1H, NH), 8.30–8.33 (d, 2H, phenyl), 8.56 (s, 1H, CH), 8.68–8.71 (d, 1H, phenyl). 13C-NMR (100 MHz, DMSO-d6) δ (ppm): 11.72 (CH3), 25.32 (CH3), 110.80 (CH), 120.43 (CH), 120.58 (2CH), 122.29 (CH), 126.73 (CH), 126.87 (CH), 128.37 (CH), 129.87 (2CH), 131.56 (C), 133.90 (C), 137.79 (C), 138.71 (C), 142.55 (C), 144.31 (C), 145.09 (C), 145.88 (C), 155.16 (C), 168.97 (C=O), 190.75 (C=O) MS: m/z (395 M+). Anal. calcd. for C23H19N5O2 (395.4): C, 69.86; H, 4.33; N, 17.71. Found: C, 69.43; H, 4.64; N, 17.83%.
N-(4-Methyl-2,3-dihydrothiazol-2-ylidene)-(5-acetyl-3,6-dimethyl-1-phenyl-1H-pyrazolo[3,4-b]pyrazine) hydrazine (22): A mixture of the thiosemicarbazone 17 (0.4 g, 1 mmol), chloro acetone (0.1 mL, 1 mmol), and anhydrous sodium acetate (0.5 g) in absolute ethanol was heated under reflux for 5 h. After cooling, the solid product obtained was filtered the reaction mixture was cooled, washed with water, and recrystallized from acetone-water mixture (1:1) as buff crystals, yield 0.05 g (17%), m.p. 222–224 °C, IR (ν, cm−1): 3178 (NH), 3067 (CH arom.), 2921, 2852 (CH aliph.). 1H-NMR (400 MHz, CDCl3) δ (ppm): 2.36 (s, 3H, CH3), 2.59 (s, 3H, CH3), 2.74 (s, 3H, CH3), 3.06 (s, 3H, CH3), 5.66 (s, 1H, NH), 6.29 (s, 1H, CH), 7.35–7.27 (m, 1H, phenyl), 7.54 (t, 2H, phenyl), 8.33 (d, 2H, phenyl). 13C-NMR (100 MHz, CDCl3) δ (ppm): 11.46 (CH3), 14.02 (CH3), 16.71 (CH3), 26.43 (CH3), 103.13 (CH), 120.08 (2CH), 125.76 (CH), 128.74 (2CH), 131.52 (C), 141.26 (C), 139.02 (C), 143.79 (C), 145.19 (C), 146.05 (C), 149.26 (C), 152.70 (C), 169.00 (C). Anal. calcd. for C19H19N7S (377.47): C, 60.46; H, 5.07; N, 25.98. Found: C, 60.33; H, 5.11; N, 25.21%.
N-(4-Phenyl-2,3-dihydrothiazol-2-ylidene)-(5-acetyl-3,6-dimethyl-1-phenyl-1H-pyrazolo[3,4-b]pyrazine) hydrazine (23): A mixture of thiosemicarbazide 17 (0.25 g, 0.7 mmol), phenacyl bromide (0.3 g, 1 mmol), and anhydrous sodium acetate (0.25 g) in absolute ethanol (15 mL) was heated under reflux for 5 h. After cooling, the solid product was filtered, washed with water, and recrystallized from ethanol-dioxane mixture (3:1) as brown crystals, yield 0.11 g (40%), m.p. 256–258 °C. IR (ν, cm−1): 3435 (NH), 3065 (CH arom.), 2924 (CH aliph.). 1H-NMR (400 MHz, CDCl3) δ (ppm): 2.53 (s, 3H, CH3), 2.73 (s, 3H, CH3), 3.09 (s, 3H, CH3), 6.90 (s, 1H, CH), 7.30–7.35 (t, 2H, phenyl), 7.51–7.56 (t, 2H, phenyl), 7.39–7.44 (t, 2H, phenyl), 7.82–7.84 (d, 2H, phenyl), 8.31–8.33 (d, 2H, phenyl) 8.90 (bs, 1H, NH). MS: m/z (439 M+). 13C-NMR (100 MHz, CDCl3) δ (ppm): 11.49 (CH3), 24.85 (CH3), 29.07 (CH3), 114.30 (CH), 120.23 (2CH), 121.02 (CH), 126.13 (CH), 127.81 (CH), 129.19 (2CH), 130.52 (2CH), 131.67 (C), 138.92 (C), 142.67 (C), 144.47 (2C), 144.59 (C), 144.71 (C), 154.59 (2C), 161.76 (C). Anal. calcd. for C24 H21 N7 S (439.54): C, 65.58; H, 4.82; N, 22.31%. Found: C, 65.51; H, 4.75; N, 22.21%.
N-(Thiazolidin-4-on-2-ylidene)-(5-Acetyl-3,6-dimethyl-1-phenyl-1H-pyrazolo[3,4-b]pyrazine) hydrazine (24): A mixture of 17 (0.5 g, 1 mmol), chloro acetic acid (0.1 g, 0.8 mol), and anhydrous sodium acetate (0.5 g) in absolute ethanol was heated under reflux for 5 h. After cooling, the solid product obtained was filtered, washed with water, and dried. Recrystallization from ethanol-dioxane mixture (1:3) gave buff crystals, yield 0.12 g (50%), m.p. 308–310 °C. IR (ν, cm−1): 3446 (NH), 2850 (CH aliph.), 1705 (C=O). MS: m/z (379 M+). Anal. calcd. for C18H17N7OS (379.44): C, 56.98; H, 4.52; N, 25.84. Found: C, 56.88; H, 4.65; N, 25.91%.
General procedure for the synthesis of 5-arylideneacetyl-3,6-dimethyl-1-phenyl-1H-pyrazolo[3,4-b] pyrazine (25ak): To a mixture of equimolar amounts (0.27, 1 mmol) of 5-acetyl-3,6-dimethyl-1-phenyl-1H- pyrazolo[3,4-b]pyrazine (15) and an aromatic aldehyde in ethanol (15 mL), aqueous NaOH (0.5 mL, 25%) was added. The reaction mixture was stirred at room temperature for overnight, then it was poured onto ice-cold water. The solid precipitate formed was collected by filtration, washed with water, and recrystallized from dioxane-water mixture.
5-Benzylideneacetyl-3,6-dimethyl-1-phenyl-1H-pyrazolo[3,4-b]pyrazine (25a): Yield 1.68 g (84%), m.p. 167–169 °C. IR (ν, cm−1): 3059 (CH arom.), 2900 (CH aliph.), 1670 (C=O). 1H-NMR (400 MHz, CDCl3) δ (ppm): 2.80 (s, 3H, CH3), 3.06 (s, 3H, CH3), 7.20–8.30 (m, 10H, phenyl),13C-NMR (100 MHz, CDCl3) δ (ppm): 11.49 (CH3), 24.91 (CH3), 120.34 (2CH), 123.29 (CH), 126.23 (CH), 128.74 (2CH), 128.95 (2CH), 129.23 (2CH), 130.60 (CH, C), 135.09 (2C), 142.69 (C), 144.55 (CH, C), 145.82 (2C), 190.23 (C=O). MS: m/z (354 M+). Anal. calcd. for C22H18N4O (354): C, 74.56; H, 5.12; N, 15.81. Found: C, 74.63; H, 5.14; N, 15.60%.
3,6-Dimethyl-5-(2-hydroxylbenzylideneacetyl)-1-phenyl-1H-pyrazolo[3,4-b]pyrazine (25b): Yield 0.14 g (70%), m.p. 194–196 °C. IR (ν, cm−1): 3213 (OH), 2923.40 (CH aliph.), 1657 (C=O). 1H-NMR (400 MHz, DMSO-d6) δ (ppm): 2.69 (s, 3H, CH3), 2.89 (s, 3H, CH3), 6.90 (t, 1H, Ar-H), 6.96 (d, J = 8.1 Hz, 1H, CH), 7.30 (t, 1H, Ar-H), 7.37 (t, 1H, Ar-H), 7.59 (t, 2H, Ar-H), 7.70 (d, J = 7.6 Hz, 1H, CH), 8.03 (s, 2H, Ar-H), 8.23 (d, 2H, phenyl), 10.32 (s, 1H, OH).13C-NMR (100 MHz, DMSO-d6): 11.59 (CH3), 24.68 (CH3), 116.80 (C), 120.00 (CH), 120.31(2CH), 121.73 (C), 123.33 (CH), 126.67 (CH), 129.61 (CH), 129.82 (2CH), 131.49 (CH), 132.70 (C), 138.87 (C), 140.71 (C), 142.60 (C), 144.73 (CH), 145.18 (C), 154.09 (C), 157.95 (CH), 190.71 (C=O). Anal. calcd. for C22H18N4O2 (370.40): C, 71.34; H, 4.90; N, 15.13. Found: C, 71.23; H, 4.85; N, 15.25%.
3,6-Dimethyl-5-(2-nitrobenzylideneacetyl)-1-phenyl-1H-pyrazolo[3,4-b]pyrazine (25c): Yield 0.17 g (85%), m.p. 263–265 °C. IR (ν, cm−1): 3066 (CH arom.), 1672 (C=O). 1H-NMR (400 MHz, CDCl3) δ (ppm): 2.84 (s, 3H, CH3), 3.10 (s, 3H, CH3), 7.37 (d, J = 6.5 Hz, 2H, CH, Ar-H), 7.57 (t, 2H, Ar-H), 7.90 (t, 3H, Ar-H), 8.41–8.30 (m, 4H, CH, Ar-H). 13C-NMR (100 MHz, CDCl3) δ (ppm): 11.52 (CH3), 25.11 (CH3), 120.38 (2CH), 124.20 (2CH), 126.40 (CH), 126.85 (CH), 129.18 (2CH), 129.26 (2CH, C), 138.76 (C), 140.86 (2C), 141.31 (C), 144.93 (CH, C), 155.35 (2C), 189.20 (C=O). Anal. calcd. For C22H17N5O3 (399.40): C, 66.16; H, 4.29; N, 17.53. Found: C, 66.22; H, 4.18; N, 17.41%.
3,6-Dimethyl-5-(4-nitrobenzylideneacetyl)-1-phenyl-1H-pyrazolo[3,4-b]pyrazine (25d): Yield 0.12 g (80%), m.p. 263–265 °C. IR (ν, cm−1): 3051 (CH arom.), 1672 (C=O). 1H-NMR (400 MHz, CDCl3) δ (ppm): 2.84 (s, 3H, CH3), 3.10 (s, 3H, CH3), 7.35–7.37 (t, J= 7.4 Hz, 1H, CH), 7.55–7.59 (t, 2H, Ar-H), 7.87–7.93 (t, J = 11.9 Hz, 2H, CH, Ar-H), 8.32–8.40 (m, 5H, Ar-H). 13C-NMR (100 MHz, CDCl3) δ (ppm): 11.52 (CH3), 25.11 (CH3), 120.37 (2CH), 124.21 (2CH), 126.40 (CH), 126.86 (CH), 129.18 (2CH), 129.26 (2CH), 131.89 (C), 138.75 (C), 140.86 (CH), 141.31 (C), 142.67 (C), 143.25 (C), 144.94 (C), 148.57 (C), 155.35 (C), 189.20 (C=O). Anal. calcd. for C22H17N5O3 (399.40): C, 66.16; H, 4.29; N, 17.53. Found: C, 66.11; H, 4.17; N, 17.42%.
3,6-Dimethyl-5-(3-nitrobenzylideneacetyl)-1-phenyl-1H-pyrazolo[3,4-b]pyrazine (25e): Yield 0.15 g (75%); m.p. 223–225 °C; IR (ν, cm−1): 3086 (CH arom.), 2925 (CH aliph.), 1674 (C=O); 1H-NMR (400 MHz, CDCl3) δ (ppm): 2.85 (s, 3H, CH3), 3.10 (s, 3H, CH3), 7.36 (t, 1H, Ar-H), 7.57 (t, 2H, Ar-H), 7.66 (t, 1H, Ar-H), 7.91 (d, J = 16.0 Hz, 1H, CH), 8.02 (d, J = 7.5 Hz, 1H, CH), 8.42–8.27 (m, 4H, Ar-H), 8.59 (s, 1H, Ar-H).13C-NMR (100 MHz, CDCl3) δ (ppm): 11.58 (CH3), 25.09 (CH3), 120.36 (2CH), 122.80 (CH), 124.64 (CH), 125.79 (CH), 126.35 (CH), 129.25 (2CH), 129.97 (CH), 131.89 (CH), 134.38 (C), 136.93 (C), 138.73 (C), 141.06 (C), 142.67 (C), 143.36 (C), 144.98 (C), 148.97 (C), 155.25 (C), 189.29 (C=O). Anal. calcd. For C22H17N5O3 (399.40): C, 66.16; H, 4.29; N, 17.53. Found: C, 66.24; H, 4.17; N, 17.66%.
3,6-Dimethyl-5-(4-cyanobenzylideneacetyl)-1-phenyl-1H-pyrazolo[3,4-b]pyrazine (25f): Yield 0.16 g (80%), m.p. 254–256 °C. IR (ν, cm−1): 3079 (CH arom.), 2224 (CN), 1672 (C=O). 1H-NMR (400 MHz, CDCl3) δ (ppm): 2.84 (s, 3H, CH3), 3.09 (s, 3H, CH3), 7.37 (t, 1H, Ar-H), 7.57 (d, J = 7.4 Hz, 2H, CH), 7.81 (m, 6H, Ar-H), 8.39–8.30 (d, 2H, Ar-H). 13C-NMR (100 MHz, CDCl3) δ (ppm): 11.50 (CH3), 25.10 (CH3), 113.45 (C),118.46 (C≡N), 120.32 (2CH), 126.16 (CH), 126.94 (CH), 128.94 (CH), 129.24 (2CH), 130.02 (CH), 131.85 (CH), 132.66 (CH), 138.77 (C), 139.45 (C), 140.34 (C), 141.42 (C), 142.64 (C), 143.32 (C), 144.89 (CH), 155.28 (C), 189.27 (C=O). Anal. calcd. for C23H17N5O (379.41): C, 72.81; H, 4.52; N, 18.46. Found: C, 72.76; H, 4.40; N, 18.55%.
3,6-Dimethyl-5-(4-methoxybenzylideneacetyl)-1-phenyl-1H-pyrazolo[3,4-b]pyrazine (25g): Yield 0.18 g (90%), m.p. 210–212 °C. IR (ν, cm−1): 3069 (CH arom.), 2934, 2836 (CH aliph.), 1663 (C=O); 1H-NMR (400 MHz, CDCl3) δ (ppm): 2.82 (s, 3H, CH3), 3.05 (s, 3H, CH3), 3.89 (s, 3H, CH3), 6.98 (d, 2H, Ar-H), 7.34 (t, 1H, Ar-H), 7.56 (t, 2H, Ar-H), 7.69 (d, 2H, Ar-H), 7.84 (d, 1H, CH), 8.00 (d, J = 15.9 Hz, 1H, CH), 8.34 (d, 2H, Ar-H). 13C-NMR (100 MHz, CDCl3) δ (ppm): 11.49 (CH3), 24.85 (CH3), 55.41 (CH3), 114.40 (2CH), 120.23 (2CH), 121.02 (C), 126.13 (CH), 127.81 (CH), 129.19 (2CH), 130.52 (2CH), 131 (C), 138.92 (C), 142.67 (C), 144.47 (CH), 144.59 (C), 144.71 (C), 154.59 (C), 161.76 (C), 190.26 (C=O). Anal. calcd. for C23H20N4O2 (384.43): C, 71.86; H, 5.24; N, 14.57. Found: C, 71.75; H, 5.33; N, 14.63%.
3,6-Dimethyl-5-(4-N,N-dimethylaminobenzylideneacetyl)-1-phenyl-1H-pyrazolo[3,4-b]pyrazine (25h): Yield 0.14 g (70%), m.p. 227–229 °C. IR (ν, cm−1): 2921 (CH aliph.), 1659 (C=O); 1H-NMR (400 MHz, CDCl3) δ (ppm): 2.81 (s, 3H, CH3), 3.03 (s, 3H, CH3), 3.08 (s, 6H, 2CH3), 6.79 (d, 2H, Ar-H), 7.38–7.25 (t, 1H, Ar-H), 7.69–7.50 (m, 4H, CH, Ar-H), 7.83 (s, 2H, Ar-H), 8.34 (d, 2H, phenyl). 13C-NMR (100 MHz, CDCl3) δ (ppm): 11.48 (CH3), 24.64 (CH3), 40.08 (2CH3), 111.78 (2C), 118.36 (C), 120.17 (2CH), 122.77 (CH), 126.02 (CH), 129.16 (2CH), 130.75 (2CH), 131.57 (C), 139.06 (C), 142.81 (C), 144.61 (C), 146.06 (2C), 152.12 (CH), 154.100 (C), 190.60 (C=O). Anal. calcd. For C24H23N5O (397.47): C, 72.52; H, 5.83; N, 17.62. Found: C, 72.63; H, 5.94; N, 17.45%.
3,6-Dimethyl-5-(4-chlorobenzylideneacetyl)-1-phenyl-1H-pyrazolo[3,4-b]pyrazine (25i): Yield 0.23 g (92%), m.p. 228–230 °C; IR (ν, cm−1): 3081 (CH arom.), 1669 (C=O); 1H-NMR (400 MHz, CDCl3) δ (ppm): 2.82 (s, 3H, CH3), 3.07 (s, 3H, CH3), 7.33–7.37 (t, 1H, Ar-H), 7.43–7.45 (d, 2H, Ar-H), 7.54–7.58 (t, 2H, Ar-H), 7.65–7.67 (d, 2H, Ar-H), 7.81–7.85 (d, J = 16.0 Hz, 1H, CH), 8.14–8.18 (d, J = 16.0 Hz, 1H, CH), 8.32–8.34 (d, 2H, Ar-H).13C-NMR (100 MHz, CDCl3) δ (ppm): 11.50 (CH3), 24.98 (CH3), 120.31 (2CH), 123.61 (CH), 126.26 (CH), 129.23 (2CH), 129.63 (2CH), 129.86 (2CH), 131.77 (C), 133.60 (C), 136.46 (C), 138.85 (C), 142.67 (C), 142.85 (C), 43.92 (C), 144.82 (CH), 154.96 (C), 189.83 (C). Anal. calcd. for C22H17ClN4O (388.85): C, 67.95; H, 4.41; Cl, 9.12; N, 14.41. Found: C, 67.8; H, 4.55; Cl, 9.07; N, 14.54%.
3,6-Dimethyl-5-(3,4-Dimethoxybenzylideneacetyl)-1-phenyl-1H-pyrazolo[3,4-b]pyrazine (25j): Yield 0.17 g (85%), m.p. 199–201 °C. IR (ν, cm−1): 3078 (CH arom.), 2988, 2837 (CH aliph.), 1663 (C=O); 1H-NMR (400 MHz, CDCl3) δ (ppm): 2.82 (s, 3H, CH3), 3.05 (s, 3H, CH3), 3.98 (d, J = 9.8 Hz, 6H, 2CH3), 6.95 (d, J = 8.2 Hz, 1H, CH), 7.40–7.24 (m, 3H, CH, Ar-H), 7.56 (t, 2H, Ar-H), 7.82 (d, 1H, Ar-H), 7.96 (d, 1H, Ar-H), 8.34 (d, 2H, Ar-H). Anal. calcd. for C24H22N4O3 (414.46): C, 69.55; H, 5.35; N, 13.52. Found: C, 69.43; H, 5.47; N, 13.67%. No 13C-NMR data could be obtained due to the precipitation of the compound while running the measurement.
3,6-Dimethyl-5-(Ethene-2-ylbenzylideneacetyl)-1-phenyl-1H-pyrazolo[3,4-b]pyrazine (25k): Yield 0.17 g (85%), m.p. 211–213 °C, IR (ν, cm−1): 2922 (CH aliph.), 1662 (C=O); 1H-NMR (400 MHz, CDCl3) δ (ppm): 2.81 (s, 3H, CH3), 3.05 (s, 3H, CH), 7.13 (m, 2H, CH, Ar-H), 7.43–7.33 (m, 4H, CH, Ar-H), 7.55 (d, 4H, CH, Ar-H), 7.70 (t, 2H, Ar-H), 8.33 (d, 2H, Ar-H). 13C-NMR (100 MHz, CDCl3) δ (ppm): 11.45 (CH3), 24.88 (CH3), 120.32 (2CH), 126.20 (CH), 126.84 (CH), 127.35 (2CH), 128.86 (2CH), 129.22 (2CH), 136.20 (CH), 138.90 (C), 142.02 (CH, C), 144.29 (2C), 144.58 (CH, C),144.78 (CH, C), 154.72 (C), 189.32 (C=O). Anal. calcd. for C24H20N4O for (380.44): C, 75.77; H, 5.30; N, 14.73. Found: C, 75.83; H, 5.18; N, 14.66%.
3,6-Dimethyl-5-(5-phenyl-4,5-dihydro-1H-pyrazol-3-yl)-1-phenyl-1H-pyrazolo[3,4-b]pyrazine (26): A mixture of chalcone 25a (0.25 g, 7 mmol), hydrazine hydrate (80%, 0.3 mL), in ethanol (15 mL) was heated under reflux for 10 h. After cooling the solid product obtained was filtered, washed with water, and recrystallized from dioxane-water mixture (3:1) as yellow crystals, yield 0.23 g (50%), m.p. 146–148 °C. IR (ν, cm−1): 3351 (NH), 2921 (CH aliph.). 1H-NMR (400 MHz, CDCl3) δ (ppm): 2.63 (s, 3H, CH3), 3.10 (s, 3H, CH3), 3.73 (s, 3H, CH, CH2), 5.08 (s, 1H, NH), 7.33 (m, 3H, phenyl), 7.45–7.37 (m, 3H, phenyl), 7.55 (t, 2H, phenyl), 8.32 (d, 2H, phenyl). 13C-NMR (100 MHz, CDCl3) δ (ppm): 11.27 (CH3), 25.00 (CH3), 43.00 (CH2), 67.10 (CH), 120.04 (2CH), 125.69 (2CH), 126.3 (2CH), 128.86 (2CH), 129.1 (2CH), 129.8 (C), 131 (C), 139.7 (C), 142 (C), 143.3 (C), 143.5 (C), 144.5 (C), 154 (C). Anal. calcd. for C22H20N6 (368.43): C, 71.72; H, 5.47; N, 22.81. Found: C, 71.63; H, 5.53; N, 22.60%.
3,6-Dimethyl-5-(5-phenyl-4,5-dihydro-1-phenyl-1H-pyrazol-3-yl)-1-phenyl-1H-pyrazolo[3,4-b]pyrazine (27): A mixture of chalcone 25a (0.25 g, 7 mmol), phenyl hydrazine (0.1 g, 7 mmol) in ethanol (15 mL) was heated under reflux for 15 min. After cooling, the reaction mixture was filtered, washed with water, and recrystallized from ethanol as yellow crystals, yield 0.15 g (62%), m.p. 162–164 °C. IR (ν, cm−1): 2900 (CH aliph.); 1H-NMR (400 MHz, CDCl3) δ (ppm): 2.81 (s, 3H, CH3), 3.06 (s, 3H, CH3), 3.70 (t, 1H, CH), 7.34–7.44 (d, 2H, phenyl), 7.45–7.46 (t, 2H, phenyl), 7.52–7.58 (t, 2H, phenyl), 7.71–7.74 (m, 6H, phenyl), 7.85 (d, 1H, CH2), 8.15 (d, 1H, CH2), 8.30–8.33 (d, 3H, phenyl). 13C-NMR (100 MHz, CDCl3) δ (ppm): 11.50 (CH3), 24.93 (CH3), 38.13 (CH2), 59.51 (CH), 102.18 (C), 120.33 (2CH), 123.25 (2CH), 126.23 (2CH), 128.73 (2CH), 128.94 (2CH), 129.23 (2CH), 130.60 (2CH), 131.75 (CH), 135.06 (C), 138.86 (C), 142.68 (C), 144.20 (C), 144.55 (2C), 144.82 (C), 154.82 (C). MS: m/z (443 M+-1). Anal. calcd. for C28H24N6 (444.5): C, 75.65; H, 5.44; N, 18.91. Found: C, 75.41; H, 5.21; N, 19.20%.
3,6-Dimethyl-5-(5-phenyl-4,5-dihydro[1,2]oxazol-3-yl)-1-phenyl-1H-pyrazolo[3,4-b]pyrazine (28): A mixture of chalcone 25a (0.25 g, 7 mmol), hydroxylamine hydrochloride (0.1 g, 7 mmol), and sodium acetate (0.3 g, 2 mmol) in ethanol (10 mL) was heated under reflux for 6 h. The reaction mixture was then evaporated to half of its volume. After cooling, it was neutralized with dil. HCl and the solid precipitate was filtered off, washed with water, and recrystallized from ethanol-water mixture (1:1), yield 0.17 g (74%), m.p. 200–202 °C. IR (ν, cm−1): 2926 (CH aliph.). 1H-NMR (400 MHz, CDCl3) δ (ppm): 2.69 (s, 3H, CH3), 2.73 (s, 3H, CH3), 2.79 (d, 1H, CH2), 3.14 (d, 1H, CH2), 3.72–3.77 (t, 1H, CH), 7.28–8.33 (m, 10H, Ar-H). 13C-NMR (100 MHz, CDCl3) δ (ppm): 11.38 (CH3), 23.15 (CH3), 46.08 (CH2), 102.88 (CH cyclic), 106.66 (C), 120.33 (2CH), 123 (CH), 125.95 (CH), 126.17 (CH), 126.95 (CH), 128.71 (CH), 128.92 (CH), 129.00 (CH), 129.19 (CH), 130 (C), 139.01 (C), 144.53 (C), 151.42 (C), 156.52 (C), 162.43 (C), 169.64 (C). Anal. calcd. for C22H19N5O (369.42): C, 71.53; H, 5.18; N, 18.96. Found: C, 71.41; H, 5.21; N, 18.91%.
5-Phenyl-4,5-dihydro-3-(3,6-dimethyl-1-phenyl-1H-pyrazolo[3,4-b]pyrazine-5-yl) pyrazole-1-carbothioamide (29): A mixture of compound 25a (0.25 g, 7 mmol) and thiosemicarbazide (0.1 g, 7 mmol) in ethanolic NaOH (25%, 10 mL) was heated under reflux for 3 h. After cooling, the reaction mixture was filtered, washed with water, and recrystallized from ethanol-dioxane mixture (1:1) as yellow crystals, yield 0.08 g (50%), m.p. 234–236 °C. IR (ν, cm−1): 3407, 3280 (NH2), 3165 (CH arom.), 2851 (CH aliph.). 1H-NMR (400 MHz, CDCl3) δ (ppm): 2.67 (s, 3H, CH3), 2.70 (s, 3H, CH3), 3.09–3.22 (dd, J = 27.5, 21.8 Hz, 2H), 7.03 (s, 1H, CH), 7.31–7.39 (m, 6H, phenyl), 7.52–7.60 (m, 2H, phenyl), 8.30–8.40 (d, 2H, phenyl), 9.06 (2H, NH2). 13C-NMR (100 MHz, CDCl3) δ (ppm): 11.48 (CH3), 26.86 (CH3), 44.7(cyclic CH2), 66.85 (CH cyclic), 120.25 (2CH), 125.7 (CH, C), 126.5 (2CH), 127.4 (CH, C), 129.02 (2CH), 129.8 (2CH), 131 (C), 138 (C), 141.60 (C), 155.80 (C), 156.27 (C), 165 (C), 178 (C=S). Anal. calcd. for C23H19N7S (425.5): C, 64.92; H, 4.50; N, 23.04. Found: C, 64.94; H, 4.44; N, 23.30%.
2-Amino-4-(4-phenyl)-6-(3,6-dimethyl-1-phenyl-1H-pyrazolo[3,4-b]pyrazine-5-yl)pyrimidine (30): A mixture of chalcone 25a (7 mmol), guanidine sulfate (0.12 g, 7 mmol) in ethanolic KOH (30%, 5 mL) was heated under reflux for 3–4 h. The reaction mixture was then evaporated to half volume and after cooling it was neutralized with dil. HCl. The solid precipitate was filtered off, washed with water, and recrystallized from dioxane-acetone mixture (1:3) as yellow crystals, yield 0.1 g (40%), m.p. 150–152 °C. IR (ν, cm−1): 3302, 3182 (NH2), 3061.37 (CH arom.), 2919, 2849 (CH aliph.).1H-NMR (400 MHz, CDCl3) δ (ppm): 2.77 (s, 3H, CH3), 2.99 (s, 3H, CH3), 5.27 (d, 2H, NH2), 7.34 (t, 3H, phenyl), 7.53 (t, 3H, phenyl), 7.67 (s, 1H, CH), 8.23 (d, 2H, phenyl), 8.34–8.36 (d, 2H, phenyl). 13C-NMR (100 MHz, CDCl3) δ (ppm): 11.11 (CH3), 24.58 (CH3), 107.81 (C), 119.92 (CH), 120.21 (2CH), 125.86 (CH), 127.22 (2CH), 128.77 (2CH), 129.14 (2CH), 130.66 (CH), 132.31 (C), 137.40 (C), 139.23 (C), 142.91 (C), 144.02 (C), 146.52 (C), 152.54 (C), 162.87 (C), 166.64 (C). Anal. calcd. for C23H21N7 (395): C, 69.85; H, 5.35; N, 24.79. Found: C, 69.63; H, 5.44; N, 24.60%.

3.2. Biological Evaluations

3.2.1. Anti-Inflammatory Assay

Adult albino rats, weighing 150–200 g, were divided into ten groups, each of three animals. The animals were allowed food and water ad libitum, except during the experiment. They were housed in a room at 23 ± 2C with a 12 h light/dark cycle. All the compounds under test and the indomethacin reference drug [30], in 3% Tween 80 solution in normal saline as a vehicle, were administered at a dose of 28 μM/kg bodyweight, while control group received only a vehicle. The difference between the thicknesses of the paw at zero time and different time intervals after injection was taken as a measure of edema. The measurement was carried out at 0.5, 1, 2, 3, and 4 h after injection of the tested compounds, reference drug, and control. The right paw volume was measured using a digital plethysmometer (Model 7150, Ugo Basile, Varese, Italy), directly before and after carrageenan injection to detect the carrageenan induced inflammation.

3.2.2. Cytotoxicassay

A number of 1 × 104 cells/well were cultured in 96-well plates and then incubated at 37 °C, under conditions of 5% CO2 and 95% air for 24 h. On the following day, the compounds under test, diluted to the desired concentrations, were added to the wells with the respective negative control and then the cells were incubated for 24 h. Next, 50 μL of MTT (3-(4,5-dimethylthiazol-2yl)-2,5-diphenyl tetrazolium bromide) solution (2 mg/mL of MTT in PBS) was added to each well and left for 3–4 h. Formazan crystals formed after incubation were dissolved in 150 μL DMSO were added to each well. The 96-well plates were shaken for 10 min and then were read at A570 with reference filter at A650 using Elisa plate reader. Paclitaxel was used as a positive control.

4. Conclusions

In conclusion, several new derivatives of pyrazolo[3,4-b]pyrazines and related heterocycles were prepared and evaluated for their anti-inflammatory and anti-breast cancer MCF-7 cell line activities. Compounds 15 and 29 showed the higher anti-inflammatory activity, where the potency of the former compound was comparable to that of the indomethacin reference drug (cf. Table 1). On the other hand, compounds 25i, 25j exhibited very significant anticancer activity against MCF-7 breast cancer cell line with respect to the positive control Paclitaxel (cf. Figure 1 and Figure 2).

Supplementary Materials

The spectral data are available online Figures S1–S111.

Author Contributions

Conceptualization, H.E.-K., T.E.-E., P.V. (Pierre Verhaeghe) and P.V. (Patrice Vanelle); Data curation, H.E.-K., P.V. (Pierre Verhaeghe) and P.V. (Patrice Vanelle); Formal analysis, T.E.-E.; Investigation, M.S.; Methodology, H.E.-K. and P.V. (Pierre Verhaeghe); Supervision, H.E.-K. and T.E.-E.; Validation, H.E.-K., P.V. (Pierre Verhraeghe) and P.V. (Patrice Vanelle); Writing–original draft, M.S.; Writing–review & editing, H.E.-K. All authors have read and approved the final manuscript.

Funding

This research received no external funding.

Conflicts of Interest

The authors declare no conflict of interest.

References

  1. Akahane, A.; Kuroda, S.; Itani, H.; Tabuchi, S.; Sato, Y.; Matsuoka, N.; Tada, M.; Matsuoka, H.; Oku Tanaka, T.A. Pyrazolopyrazines and Their Use as Adenosine Antagonists. Chem. Abstr. 2001, 135, 33489a. [Google Scholar]
  2. Matsuoka, N.; Moriguchi, A.; Tada, M.; Mihara, T. Novel Use of Adenosine A1A2a Receptor Dual Antagonists. Chem. Abstr. 2000, 134, 533m. [Google Scholar]
  3. Akahane, A.; Tanaka, A. Pyrazolopyrazine Compound and Pharmaceutical Use Thereof. Chem. Abstr. 2003, 138, 24732a. [Google Scholar]
  4. Imaizumi, K.; Sado, T. Bone Metabolism Improvers Containing Pyrazolopyrazine. Chem. Abstr. 1994, 121, 91797. [Google Scholar]
  5. Sado, T.; Inoue, A. Preparation of 1H-pyrazolo[3,4-blpyrazines as blood platelet aggregation inhibitors and anti-inflammatories. Chem. Abstr. 1990, 113, 78422k. [Google Scholar]
  6. Abdelmohsen, S.A.; El-Emary, T.I.; El-Kashef, H. Synthesis, anti-inflammatory and antibacterial activities of novel pyrazolo[4,3-g]pteridines. Chem. Pharm. Bull. 2016, 64, 476–482. [Google Scholar] [CrossRef] [PubMed]
  7. Takabe, F.; Shibayama, A.; Yanaguchi, M.; Yamaji, M.; Hanai, R.; Sadohara, H. Preparation of pyrazolopyridinones and analogs as herbicides. Chem. Abstr. 1997, 126, 277477a. [Google Scholar]
  8. Suzuki, S.; Inoue, A. Anticancer agents containing 1H-pyrazolo[3,4-b]pyrazines. Chem. Abstr. 1990, 113, 218276t. [Google Scholar]
  9. Suzuki, S. Preparation of 1,5-disubstituted-lH-pyrazolo[3,4-b]pyrazines as anticancer agents. Chem. Abstr. 1991, 114, 178382m. [Google Scholar]
  10. Hofmann, J.; Sickerand, D.; Mann, G. Preparation of 1,3,5-trisubstituted-6-hydroxypyrazolo [3,4-b]pyrazines. Chem. Abstr. 1990, 113, 231409h. [Google Scholar]
  11. Rangnekar, D.W.; Dhamnaskar, S.V. Synthesis of pyrazolo[4’,3’:5,6]pyrazino[2,3-c] pyrazoles and pyrazolo[4’,3’:5,6]pyrazino[2,3-d]pyrimidines and their application to polyester fibres. J. Chem. Technol. Biotechnol. 1990, 49, 311–320. [Google Scholar] [CrossRef]
  12. El-Emary, T.I.; Kamal El-Dean, A.M.; El-Kashef, H.S. Facile synthesis of some new pyrazolo [3,4-b]pyrazines and their antifungal activity. Il Farmaco 1998, 53, 383–388. [Google Scholar] [CrossRef]
  13. El-Kashef, H.S.; El-Emary, T.I.; Gasquet, M.; Timon-David, P.; Maldonado, J.; Vanelle, P. New pyrazolo[3,4-b]pyrazines: Synthesis and biological activity. Pharmazie 2000, 55, 572–576. [Google Scholar] [PubMed]
  14. Suzuki, S.; Suzuki, K.; Honda, H. 1-Phenyl-1H-pyrazolo[3,4-b]pyrazine derivatives. Chem. Abstr. 1984, 100, 68319z. [Google Scholar]
  15. Svetlik, J. New condensed tri- and tetracyclic pyrazole ring system. Heterocycles 1984, 22, 2513–2516. [Google Scholar] [CrossRef]
  16. Farghaly, A.R.; Esmail, S.; Abdel-Zaher, A.; Hafez, A.A.; El-Kashef, H. Synthesis and anticonvulsant activity of some new pyrazolo[3,4-b]pyrazines and related heterocycles. Bioorg. Med. Chem. 2014, 22, 2166–2175. [Google Scholar] [CrossRef] [PubMed]
  17. El-Emary, T.I. Synthesis and biological activity of some new pyrazolo[3,4-b] pyrazines. J. Chin. Chem. Soc. 2006, 53, 391–401. [Google Scholar] [CrossRef]
  18. El-Emary, T.; El-Kashef, H. First synthesis and biological evaluation of indeno[2,1-e]pyrazolo[3,4-b]pyrazin-5-one and related derivatives. Eur. J. Med. Chem. 2013, 62, 478–485. [Google Scholar] [CrossRef] [PubMed]
  19. Siegel, S.; Wilmen, A.; Roehrig, S.; Svenstrup, N.; Gnoth, N.; Heitmeier, M.J.; Rester, S. Preparation of Imidazopyrazines, Pyrazolopyrazines, and Imidazotriazines for Treatment of Hematologic Diseases. DE Patent 102007032349A1, 15 January 2009. [Google Scholar]
  20. Tasker, A.; Pettus, L.H.; Wurz, R. Pyrazolo[3,4-b]pyrazine Compounds as p38 Modulators and Methods of Use as Anti-Inflamatory Agents. U.S. Patent 8367671B2, 5 February 2013. [Google Scholar]
  21. Quiroga, J.; Sanchez, N.E.; Acosta, P.; Insuasty, B.; Abonia, R. Microwave-assisted synthesis of fused pyrazolo[3,4-b]pyrazines by the reaction of ortho-aminonitrosopyrazoles and cyclic β-diketones. Tetrahedron Lett. 2012, 53, 3181–3187. [Google Scholar] [CrossRef]
  22. Rangnekar, D.W.; Dhamnaskar, S.V. Synthesis of 5-hetarylpyrazolo[3,4-b]pyrazines and their use as disperse dyes for polyester fibres. Dyes Pigment. 1990, 13, 241–250. [Google Scholar] [CrossRef]
  23. Gomes, M.N.; Muratov, E.N.; Pereira, M.; Peixoto, J.C.; Rosseto, L.P.; Cravo, P.V.L.; Andrade, C.H.; Neves, B.J. Chalcone derivatives: Promising starting points for drug design. Molecules 2017, 22, 1210. [Google Scholar] [CrossRef] [PubMed]
  24. Mirossay, L.; Varinská, L.; Mojžiš, J. Antiangiogenic effect of flavonoids and chalcones: An update. Int. J. Mol. Sci. 2018, 19, 27. [Google Scholar] [CrossRef] [PubMed]
  25. Kotha, R.R.; Kulkarni, R.G.; Garige, A.K.; Nerella, S.G.; Garlapati1, A. Synthesis and cytotoxic activity of new chalcones and their flavonol derivatives. Med. Chem. 2017, 7, 353–360. [Google Scholar] [CrossRef]
  26. Champelovier, P.; Chauchet, X.; Hazane-Puch, F.; Vergnaud, S.; Garrel, C.; Laporte, F.; Boutonnat, J.; Boumendjel, A. Cellular and molecular mechanisms activating the cell death processes by chalcones: Critical structural effects. Toxicol. In Vitro 2013, 27, 2305–2315. [Google Scholar] [CrossRef] [PubMed]
  27. Lipinski, C.F.; Oliveira, A.A.; Honorio, K.M.; Oliveira, P.R.; Ferreira da Silva, A.B. A molecular modeling study of combretastatin-like chalcones as anticancer agents using PLS, ANN and consensus models. Struct. Chem. 2018, 29, 957–965. [Google Scholar] [CrossRef]
  28. Bhale, P.S.; Chavan, H.V.; Dongare, S.B.; Shringare, S.N.; Mule, Y.B.; Nagane, S.S.; Bandgar, B.P. Synthesis of extended conjugated indolyl chalcones as potent anti-breast cancer, anti-inflammatory and antioxidant agents. Bioorg. Med. Chem. 2017, 27, 1502–1507. [Google Scholar] [CrossRef] [PubMed]
  29. Karthikeyan, C.; Moorthy, N.S.H.N.; Ramasamy, S.; Vanam, U.; Manivann, E.; Karunagaran, D.; Trivedi, P. Recent Patents on Anti-Cancer. Drug Discov. 2015, 10, 97–115. [Google Scholar]
  30. Winter, C.A.; Risly, E.A.; Nuss, G.W. Carrageenin-induced edema in hind paw of the rat as an assay for antiinflammatory drugs. Proc. Soc. Exp. Biol. Med. 1962, 111, 544–547. [Google Scholar] [CrossRef] [PubMed]
  31. Ismail, I.A.; Kang, H.S.; Lee, H.-J.; Chang, H.; Yun, J.; Lee, C.W.; Kim, N.H.; Kim, H.S.; Yook, J.I.; Hong, S.-H.; Kwon, B.-M. 2-Hydroxycinnamaldehyde inhibits the epithelial-mesenchymal transition in breast cancer cells. Breast Cancer Res. Treat. 2013, 137, 697–708. [Google Scholar] [CrossRef] [PubMed]
Sample Availability: Samples of the compounds 25ak are available from the authors.
Scheme 1. Synthesis of compound 5. Reagents and conditions: (i) Benzoylacetonitrile, pyridine, reflux 3 h; (ii) NaOH 20%, reflux 6 h; (iii) SOCl2, reflux 2 h; and (iv) AlCl3, CS2, reflux 6 h.
Scheme 1. Synthesis of compound 5. Reagents and conditions: (i) Benzoylacetonitrile, pyridine, reflux 3 h; (ii) NaOH 20%, reflux 6 h; (iii) SOCl2, reflux 2 h; and (iv) AlCl3, CS2, reflux 6 h.
Molecules 23 02657 sch001
Scheme 2. Synthesis of compounds 69. Reagents and conditions: (i) CH2(CN)(COOC2H5), pyridine, reflux overnight; (ii) NaNO2, H2SO4, room temperature (rt) at 0 °C; (iii) NaOH 20%, reflux 5 h; (iv) EtOH, HCl, reflux 6 h; and (v) CH2(COOC2H5)2, pyridine, reflux overnight.
Scheme 2. Synthesis of compounds 69. Reagents and conditions: (i) CH2(CN)(COOC2H5), pyridine, reflux overnight; (ii) NaNO2, H2SO4, room temperature (rt) at 0 °C; (iii) NaOH 20%, reflux 5 h; (iv) EtOH, HCl, reflux 6 h; and (v) CH2(COOC2H5)2, pyridine, reflux overnight.
Molecules 23 02657 sch002
Scheme 3. Synthesis of compounds 1014. Reagents and conditions: (i) CH3COCH2Cl, pyridine, reflux overnight; (ii) PhCOCH2Br, pyridine, reflux overnight; (iii) thiobarbituric acid, pyridine, reflux overnight; (iv) C2H5I, DMF, rt 5 h; and (v) ClCH2COOC2H5, DMF, rt 5 h.
Scheme 3. Synthesis of compounds 1014. Reagents and conditions: (i) CH3COCH2Cl, pyridine, reflux overnight; (ii) PhCOCH2Br, pyridine, reflux overnight; (iii) thiobarbituric acid, pyridine, reflux overnight; (iv) C2H5I, DMF, rt 5 h; and (v) ClCH2COOC2H5, DMF, rt 5 h.
Molecules 23 02657 sch003
Scheme 4. Synthesis of compound 15. Reagents and conditions: (i) CH2(COCH3)2, dry pyridine, reflux 8 h.
Scheme 4. Synthesis of compound 15. Reagents and conditions: (i) CH2(COCH3)2, dry pyridine, reflux 8 h.
Molecules 23 02657 sch004
Scheme 5. Synthesis of compound 1621. Reagents and conditions: (i) NH2NHCONH2·HCl, EtOH, reflux 8 h; (ii) NH2NHCSNH2, EtOH, reflux 8 h; (iii) NH2OH·HCl, sodium acetate, EtOH, reflux 3–4 h; (iv) NH2NH2, reflux 6 h; (v) isatin, (C2H5)2NH, EtOH, reflux overnight; and (v) EtOH, HCl, reflux 15 min.
Scheme 5. Synthesis of compound 1621. Reagents and conditions: (i) NH2NHCONH2·HCl, EtOH, reflux 8 h; (ii) NH2NHCSNH2, EtOH, reflux 8 h; (iii) NH2OH·HCl, sodium acetate, EtOH, reflux 3–4 h; (iv) NH2NH2, reflux 6 h; (v) isatin, (C2H5)2NH, EtOH, reflux overnight; and (v) EtOH, HCl, reflux 15 min.
Molecules 23 02657 sch005
Scheme 6. Synthesis of compound 2224. Reagents and conditions: (i) ClCH2COCH3, anhyd. CH3COONa, EtOH reflux 5 h; (ii) PhCOCH2Br, anhyd. CH3COONa, EtOH, reflux 5 h; and (iii) ClCH2COOH, anhyd. CH3COONa, EtOH, reflux 5 h.
Scheme 6. Synthesis of compound 2224. Reagents and conditions: (i) ClCH2COCH3, anhyd. CH3COONa, EtOH reflux 5 h; (ii) PhCOCH2Br, anhyd. CH3COONa, EtOH, reflux 5 h; and (iii) ClCH2COOH, anhyd. CH3COONa, EtOH, reflux 5 h.
Molecules 23 02657 sch006
Scheme 7. Synthesis of chalcones 25ak. Reagents and conditions: (i) ArCHO, EtOH, 25% aq. NaOH, rt overnight. a, Ar = C6H5; b, Ar = 2-OHC6H4; c, Ar = 2-NO2C6H4; d, Ar = 4-NO2C6H4; e, Ar = 3-NO2C6H4; f, Ar = 4-CNC6H4; g, Ar = 4(CH3O)C6H4; h, Ar = 4-N(CH3)2C6H4; i, Ar = 4-ClC6H4; j, Ar = 3,4-(CH3O)2C6H3; and k, Ar = CH=CH-C6H4.
Scheme 7. Synthesis of chalcones 25ak. Reagents and conditions: (i) ArCHO, EtOH, 25% aq. NaOH, rt overnight. a, Ar = C6H5; b, Ar = 2-OHC6H4; c, Ar = 2-NO2C6H4; d, Ar = 4-NO2C6H4; e, Ar = 3-NO2C6H4; f, Ar = 4-CNC6H4; g, Ar = 4(CH3O)C6H4; h, Ar = 4-N(CH3)2C6H4; i, Ar = 4-ClC6H4; j, Ar = 3,4-(CH3O)2C6H3; and k, Ar = CH=CH-C6H4.
Molecules 23 02657 sch007
Scheme 8. Synthesis of compounds 2630. Reagents and conditions: (i) NHNH2·H2O, EtOH, reflux 10 h; (ii) PhNHNH2, EtOH, reflux 15 min; (iii) NH2OH·HCl, CH3COONa, EtOH, reflux 6 h; (iv) NH2NHCSNH2, ethanolic NaOH (25%), reflux 3 h; and (v) NH2C=NHNH2·H2SO4, ethanolic KOH (25%), reflux 3–4 h.
Scheme 8. Synthesis of compounds 2630. Reagents and conditions: (i) NHNH2·H2O, EtOH, reflux 10 h; (ii) PhNHNH2, EtOH, reflux 15 min; (iii) NH2OH·HCl, CH3COONa, EtOH, reflux 6 h; (iv) NH2NHCSNH2, ethanolic NaOH (25%), reflux 3 h; and (v) NH2C=NHNH2·H2SO4, ethanolic KOH (25%), reflux 3–4 h.
Molecules 23 02657 sch008
Figure 1. Effect of compounds (15, 25ak) on the proliferation of MCF-7 breast cancer cells using 3-(4,5-dimethylthiazol-2yl)-2,5-diphenyl tetrazolium bromide (MTT) cell viability assay. The IC50 of the tested compounds was calculated after 24 h.
Figure 1. Effect of compounds (15, 25ak) on the proliferation of MCF-7 breast cancer cells using 3-(4,5-dimethylthiazol-2yl)-2,5-diphenyl tetrazolium bromide (MTT) cell viability assay. The IC50 of the tested compounds was calculated after 24 h.
Molecules 23 02657 g001
Figure 2. Cytotoxic effect of compounds 25i, 25j against the proliferation of MCF-7 breast cancer cells. Cells were treated with the indicated doses and cell viability was obtained using MTT cell viability assay. *** p < 0.001 calculated by comparing each concentration with the control. The data were normally distributed and were expressed as the mean ± standard error of the mean (SEM). Two-tailed paired student test p-values as determined by Graphpad Prism software is indicated as *** p < 0.001.
Figure 2. Cytotoxic effect of compounds 25i, 25j against the proliferation of MCF-7 breast cancer cells. Cells were treated with the indicated doses and cell viability was obtained using MTT cell viability assay. *** p < 0.001 calculated by comparing each concentration with the control. The data were normally distributed and were expressed as the mean ± standard error of the mean (SEM). Two-tailed paired student test p-values as determined by Graphpad Prism software is indicated as *** p < 0.001.
Molecules 23 02657 g002
Table 1. Anti-inflammatory Activity of Tested Compounds (15, 25a, 2630) against Acute Carrageenan-Induced Paw Oedema in Rats (Statistical analysis).
Table 1. Anti-inflammatory Activity of Tested Compounds (15, 25a, 2630) against Acute Carrageenan-Induced Paw Oedema in Rats (Statistical analysis).
Compound a Paw Oedema Inhibition (Swell ± S.E.M.) a,b,c (%)
30 min1 (h)2 (h)3 (h)4 (h)5 (h)Potency d
Edema Induced by Carrageenan (% Edema Inhibition Relative to Control)
150.40 ± 0.000.55 ± 0.030.48 ± 0.020.42 ± 0.020.38 ± 0.020.40 ± 0.0044.44
25a0.63 ± 0.030.66 ± 0.030.65 ± 0.030.66 ± 0.020.63 ± 0.020.63 ± 0.0312.50
260.55 ± 0.030.68 ± 0.020.66 ± 0.020.62 ± 0.020.62 ± 0.020.55 ± 0.0323.61
270.61 ± 0.020.68 ± 0.020.60 ± 0.030.60 ± 0.030.63 ± 0.020.62 ± 0.0215.07
280.46 ± 0.020.63 ± 0.020.63 ± 0.020.60 ± 0.030.48 ± 0.020.47 ± 0.0234.72
290.43 ± 0.000.45 ± 0.030.43 ± 0.020.42 ± 0.020.38 ± 0.030.43 ± 0.0240.27
300.51 ± 0.020.61 ± 0.020.55 ± 0.050.45 ± 0.030.45 ± 0.030.52 ± 0.0227.77
Drug *0.40 ± 0.000.45 ± 0.030.42 ± 0.020.38 ± 0.00.37 ± 0.020.40 ± 0.0044.44
Negative Control0.72 ± 0.020.73 ± 0.020.73 ± 0.020.72 ± 0.020.73 ± 0.020.72 ± 0.02-
(a) Dose 28 μM/kg. (b) n = 6. (c) Statistically significant from the indomethacin at p < 0.05. (d) Potency was expressed as % oedema inhibition of the tested compounds relative to % oedema inhibition of indomethacin (reference drug). * Drug = indomethacin (28 μM/kg).

Share and Cite

MDPI and ACS Style

El-Kashef, H.; El-Emary, T.; Verhaeghe, P.; Vanelle, P.; Samy, M. Anticancer and Anti-Inflammatory Activities of Some New Pyrazolo[3,4-b]pyrazines. Molecules 2018, 23, 2657. https://doi.org/10.3390/molecules23102657

AMA Style

El-Kashef H, El-Emary T, Verhaeghe P, Vanelle P, Samy M. Anticancer and Anti-Inflammatory Activities of Some New Pyrazolo[3,4-b]pyrazines. Molecules. 2018; 23(10):2657. https://doi.org/10.3390/molecules23102657

Chicago/Turabian Style

El-Kashef, Hussein, Talaat El-Emary, Pierre Verhaeghe, Patrice Vanelle, and Maha Samy. 2018. "Anticancer and Anti-Inflammatory Activities of Some New Pyrazolo[3,4-b]pyrazines" Molecules 23, no. 10: 2657. https://doi.org/10.3390/molecules23102657

APA Style

El-Kashef, H., El-Emary, T., Verhaeghe, P., Vanelle, P., & Samy, M. (2018). Anticancer and Anti-Inflammatory Activities of Some New Pyrazolo[3,4-b]pyrazines. Molecules, 23(10), 2657. https://doi.org/10.3390/molecules23102657

Article Metrics

Back to TopTop