Next Article in Journal
An Introduction to Zeolite Synthesis Using Imidazolium-Based Cations as Organic Structure-Directing Agents
Previous Article in Journal
Characterization of Proanthocyanidin Oligomers of Ephedra sinica
 
 
Font Type:
Arial Georgia Verdana
Font Size:
Aa Aa Aa
Line Spacing:
Column Width:
Background:
Article

Bioactive Constituents from the Whole Plants of Gentianella acuta (Michx.) Hulten

1
Tianjin State Key Laboratory of Modern Chinese Medicine, 312 Anshanxi Road, Nankai District, Tianjin 300193, China
2
Tianjin Key Laboratory of TCM Chemistry and Analysis, Institute of Traditional Chinese Medicine, Tianjin University of Traditional Chinese Medicine, 312 Anshanxi Road, Nankai District, Tianjin 300193, China
*
Authors to whom correspondence should be addressed.
Molecules 2017, 22(8), 1309; https://doi.org/10.3390/molecules22081309
Submission received: 6 July 2017 / Revised: 1 August 2017 / Accepted: 4 August 2017 / Published: 6 August 2017

Abstract

:
As a Mongolian native medicine and Ewenki folk medicinal plant, Gentianella acuta has been widely used for the treatment of diarrhea, hepatitis, arrhythmia, and coronary heart disease. In the course of investigating efficacy compounds to treat diarrhea using a mouse isolated intestine tissue model, we found 70% EtOH extract of G. acuta whole plants had an inhibitory effect on intestine contraction tension. Here, nineteen constituents, including five new compounds, named as gentiiridosides A (1), B (2), gentilignanoside A (3), (1R)-2,2,3-trimethyl-4-hydroxymethylcyclopent-3-ene-1-methyl-O-β-d-glucopyranoside (4), and (3Z)-3-hexene-1,5-diol 1-O-α-l-arabinopyranosyl(1→6)-β-d-glucopyranoside (5) were obtained from it. The structures of them were elucidated by chemical and spectroscopic methods. Furthermore, the inhibitory effects on motility of mouse isolated intestine tissue of the above mentioned compounds and other thirteen iridoid- and secoiridoid-type monoterpenes (710, 1316, 18, 19, 21, 22, and 25) previously obtained in the plant were analyzed. As results, new compound 5, some secoiridoid-type monoterpenes 7, 10, 1214, 16, and 17, as well as 7-O-9′-type lignans 31 and 32 displayed significant inhibitory effect on contraction tension at 40 μM.

1. Introduction

Gentianella acuta (Michx.) Hulten belongs to the family Gentianaceae, distributed mainly in the north of China, Mongolia plateau, Siberia, and Far East areas of Russia [1]. As a Mongolian native medicine and Ewenki folk medicinal plant, G. acuta has been widely used for the treatment of diarrhea, hepatitis, arrhythmia, coronary heart disease, jaundice, fever, and headache [1,2,3]. In the course of investigating efficacy compounds to treat diarrhea using a mouse isolated intestine tissue model, we found that a 70% EtOH extract of G. acuta whole plants had an inhibitory effect on intestine contraction tension. Moreover, eighteen xanthones had been obtained and their inhibitory effects on the model were assayed. As results, some xanthones were found to have a significant reducing effect on intestine contraction tension [4]. Additionally, for xanthones, monoterpenes, and lignans were elucidated to be main constituents in the plant in our continuing study, among them, the spectroscopy data of thirteen iridoid- and secoiridoid-type monoterpenes had been reported [5,6] by us. Here, we obtained other nineteen constituents, including five new compounds (15) (Figure 1) and fourteen known ones (6, 11, 12, 17, 20, 23, 24, 2632) (Figure 2). Do they have an inhibitory effect on motility of mouse isolated intestine tissue, too? In this paper, we describe the isolation and structure elucidation of them, along with evaluations of their inhibitory effects on intestine contraction tension.

2. Results and Discussion

During the course of our continuous studies on bioactive constituents from a 95% EtOH eluate of D101 CC and CHCl3 layer [4,5,6], obtained from the whole plants of G. acuta, nineteen constituents, including five new compounds, named as gentiiridosides A (2), B (2), gentilignanoside A (3), (1R)-2,2,3-trimethyl-4-hydroxymethylcyclopent-3-ene-1-methyl-O-β-d-glucopyranoside (4), and (3Z)-3-hexene-1,5-diol 1-O-α-l-arabinopyranosyl(1→6)-β-d-glucopyranoside (5) (Figure 1), together with fourteen known ones, 2,3-dihydroxy-1-(4-hydroxy-3-methoxyphenyl)-propan-1-one (6) [7] (E)-aldosecologanin (11) [8], 5α-carboxystrictosidine (12) [9], trifloroside (17) [10], gentiopicroside (20) [11], loganin (23) [12], 8-epiloganin (24) [13], swertiaside (26) [14], (7R,8S)-erythro-4,7,9,9′-tetrahydroxy-3,3′-dimethoxy-8-O-4′-neolignan (27) [15,16], (7S,8R)-dehydrodiconiferyl alcohol (28) [17,18,19], plucheoside D3 (29) [17,18,20], (7S,8R)-9′-methoxy-dehydrodiconiferyl alcohol 4-O-β-d-glucopyranoside (30) [17,18,21], (–)-berchemol (31) [22,23], and berchemol-4′-O-β-d-glucoside (32) [22,24] (Figure 2), were further obtained. Among the known isolates, 6, 11, 12, 17, 23, and 2732 were isolated from the genus firstly.
This paper will elucidate the isolation and structure of the new compounds. Meanwhile, the effects of the abovementioned compounds and previously-isolated thirteen iridoid- and secoiridoid-type monoterpenes, secologanol (7) [5], secologanin [6] (8), secologanoside (9) [5], secoxyloganin (10) [5], sweroside (13) [6], swertiapunimarin (14) [5], deacetylcentapicrin (15) [6], decentapicrin A (16) [6], swertiamarin (18) [5], eustomoside (19) [5], 6′-O-β-d-glucopyranosyl gentiopicroside (21) [5], loganic acid (22) [6], 7-ketologanin (25) [6] (Figure 2) on the motility of mouse isolated intestine tissue were determined.
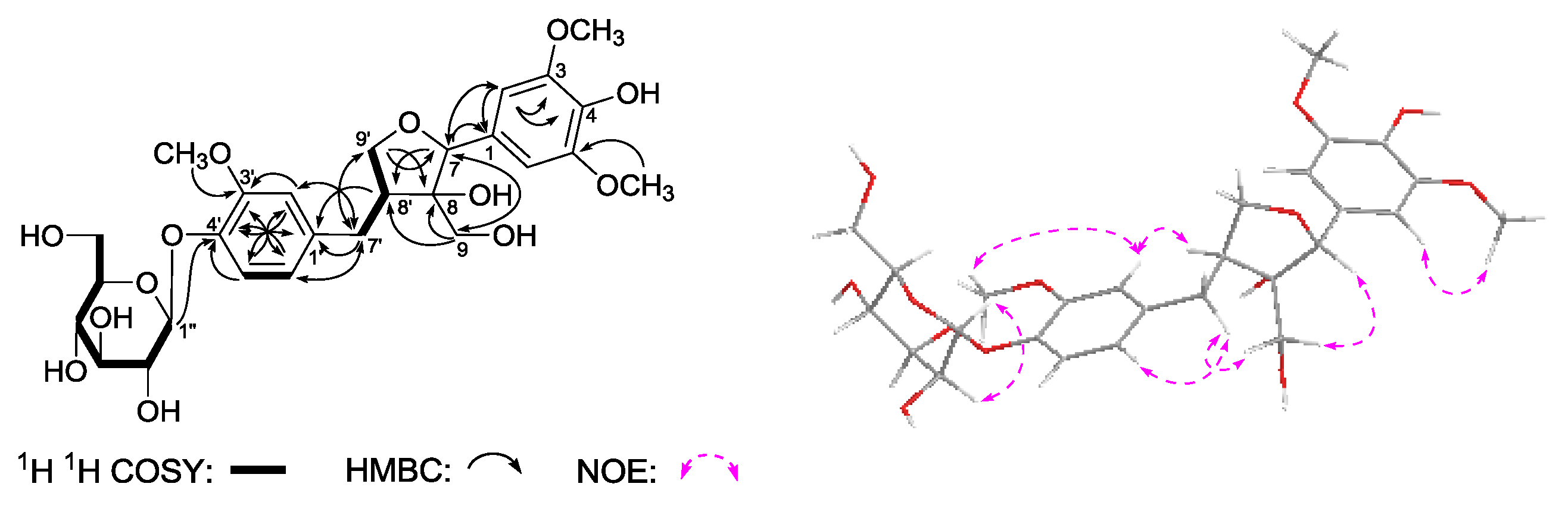
Gentiiridoside A (1) was isolated as a white powder with negative optical rotation [[α ] D 25 −90.0° (c 0.14, MeOH)]. Negative high resolution electrospray ionization-time of flight-mass spectra (HRESI-TOF-MS) afforded [M – H] at m/z 777.2261 (calcd for C36H41O19, 777.2248), supporting a molecular formula of C36H42O19 for 1. The absorption bands showed in the infrared (IR) spectrum suggested the presence of hydroxyl (3372 cm−1), α,β-unsaturated carbonyl (1712 cm−1), aromatic ring (1635, 1588, 1486 cm1), and O-glycosidic linkage (1078 cm−1). The sugars in 1 were found to be d-glucose by acid hydrolysis with 1 M HCl [4]. The 1H, 13C-nuclear magnetic resonance (NMR) spectra (Table 1) and various two-dimensional (2D) NMR spectra, including 1H 1H chemical-shift correlation spectroscopy (1H 1H COSY), heteronuclear single quantum correlation (HSQC), heteronuclear multiple bond correlation (HMBC) displayed signals assignable to two 3-hydroxy benzoyl {[δ 7.42 (1H, br. d, ca. J = 8 Hz, H-4′′), 7.48 (1H, dd, J = 7.5, 7.5 Hz, H-5′′), 7.84 (1H, br. d, ca. J = 8 Hz, H-6′′), 7.89 (1H, br. s, H-2′′); δC 166.1 (C-7′′)]; [δ 7.45 (1H, br. d, ca. J = 8 Hz, H-4′′′′), 7.54 (1H, dd, J = 7.5, 7.5 Hz, H-5′′′′), 7.82 (1H, br. s, H-2′′′′), 7.88 (1H, br. d, ca. J = 8 Hz, H-6′′′′); δC 166.8 (C-7′′′′)]}, and two β-d-glucopyranosyl [δ 4.69 (1H, d, J = 7.5 Hz, H-1′), 5.02 (1H, d, J = 8.0 Hz, H-1′′′)]. On the other hand, thirty-six carbon signals were shown in its 13C-NMR spectrum, in addition to twenty-six carbon signals occupied by the abovementioned fragments, the other 10 carbon signals, together with the relative proton signals [δ 5.50 (1H, d, J = 3.0 Hz, H-1), 7.46 (1H, s, H-3)] indicated the aglycon of 1 was iridoid. As shown in Figure 3, the 1H 1H COSY experiment on 1 suggested the existence of five partial structures. Furthermore, in the HMBC experiment, long-range correlations from δH 5.50 (H-1) to δC 152.4 (C-3); δH 7.46 (H-3) to δC 32.5 (C-5), 96.2 (C-1), 112.8 (C-4), 170.9 (C-11); δH 4.96 (H-7) to δC 166.1 (C-7′′); δH 4.69 (H-1′) to δC 96.2 (C-1); δH 7.89 (H-2′′), 7.84 (H-6′′) to δC 166.1 (C-7′′); δH 5.02 (H-1′′′) to δC 159.2 (C-3′′); δH 3.51 (H-2′′′) to δC 166.8 (C-7′′′′); δH 7.82 (H-2′′′′), 7.88 (H-6′′′′) to δC 166.8 (C-7′′′′) were observed. Therefore, the planar structure of 1 was constructed. The relative configuration of 1 was determined by a nuclear Overhauser effect spectroscopy (NOESY) experiment, and NOE correlations were observed between H-1 and H-8; H-5 and H-7; H3-10 and H-7, H-9. The 1H and 13C-NMR sepctra of 1 were found very similar to those of swertiaside (26) [14], except that a 2-(3-hydroxybenzoyl)-β-d-glucopyranosyl appeared at the 3′′-position in 1. Consequently, the structure of gentiiridoside A (1) was determined.
Gentiiridoside B (2) was obtained as a white powder with negative optical rotation [[α ] D 25 −36.7° (c 0.12, MeOH)]. HRESI-TOF-MS exhibited a molecular ion peak at m/z 679.1023 [M – H], and revealed the molecular formula C28H40O18 (calcd for C28H39O18, 679.1033) for it. Acid hydrolysis of 2 with 1 M HCl afforded d-glucose, whose absolute configuration was determined by HPLC analysis [4]. The 1H and 13C-NMR (Table 2) spectra of 2 indicated the presence of two β-d-glucopyranosyl [δ 4.27 (1H, d, J = 7.5 Hz, H-1′′), 4.49 (1H, d, J = 8.0 Hz, H-1′)], and one α-d-glucopyranosyl [δ 4.91 (1H, d, J = 3.5 Hz, H-1′′′)]. Twenty-eight carbon signals were displayed in its 13C-NMR spectrum, except for the above mentiond moieties, the other ten signals as well as their relative 1H-NMR signals [δ 5.21 (2H, m, H2-10), 5.59 (1H, d, J = 3.0 Hz, H-1), 5.72 (1H, ddd, J = 6.5, 10.5, 17.5 Hz, H-8), 7.41 (1H, s, H-3)] suggested the aglycon of 2 was the same as that of gentiopicroside (20) [11]. Finally, the long-range correlations from δH 5.59 (H-1) to δC 124.9 (C-5), 148.8 (C-3); δH 7.41 (H-3) to δC 96.4 (C-1), 103.2 (C-4), 124.9 (C-5), 162.7 (C-11); δH 5.65 (H-6) to δC 44.3 (C-9), 103.2 (C-4); δH 4.97, 5.04 (H2-7) to δC 124.9 (C-5), 162.7 (C-11); δH 5.72 (H-8) to δC 96.4 (C-1), 124.9 (C-5); δH 3.31 (H-9) to δC 103.2 (C-4), 116.1 (C-6), 124.9 (C-5); δH 4.49 (H-1′) to δC 96.4 (C-1); δH 4.27 (H-1′′) to δC 76.7 (C-1′); δH 4.91 (H-1′′′) to δC 69.9 (C-1′′) were observed in the HMBC spectrum. Then, the structure of gentiiridoside B (2) was clarified.
Gentilignanoside A (3) was obtained as a white powder that exhibited negative optical rotation [[α ] D 25 −36.0° (c 0.10, MeOH)]. The molecular formula, C27H34O13, of 3 was determined from Q-TOF-ESI-MS analysis (m/z 567.2083 [M – H], calcd for C27H33O13, 567.2083). Its IR spectrum showed absorption bands due to hydroxyl (3368 cm−1), aromatic ring (1613, 1513, 1463 cm−1), and O-glycosidic linkage (1073 cm−1). The 1H, 13C-NMR spectra (Table 3) and kinds of 2D NMR spectra (1H 1H COSY, HSQC, HMBC) showed signals ascribable to one ABX-type aromatic protons [δ 6.77 (1H, br. d, ca. J = 8 Hz, H-6′), 6.90 (1H, br. s, H-2′), 7.10 (1H, d, J = 8.0 Hz, H-5′)], one 1,3,4,5-symmetrical substituted phenyl group [δ 6.64 (2H, s, H-2,6)], two methylene bearing oxygen funtion {δ [3.64, 3.80 (1H each, both m, overlapped, H2-9)], [3.64 (1H, m, overlapped), 4.06 (1H, dd, J = 7.5, 7.5 Hz), H2-9′]]}, three methoxyl [δ 3.84 (6H, s, 3,5-OCH3), 3.86 (3H, s, 3′-OCH3)], and one β-d-glucopyranosyl [δ 4.88 (1H, d, J = 7.5 Hz, H-1′′)]. The planar structure of 3 was constructed by the assignment of the 1H 1H COSY and HMBC experiments as shown in Figure 4. The 1H 1H COSY experiment indicated the presence of three partial moieties. On the other hand, in the HMBC experiment, long-range correlations were found from the following proton and carbon pairs: δH 6.64 (H-2,6) to δC 129.9 (C-1), 136.2 (C-4), 148.9 (C-3,5); δH 4.84 (H-7) to δC 51.8 (C-8′), 64.6 (C-9), 106.2 (C-2,6), 129.9 (C-1); δH 3.64, 3.80 (H2-9) to δC 51.8 (C-8′), 83.3 (C-8), 85.8 (C-7); δH 6.90 (H-2′) to δC 35.1 (C-7′), 122.4 (C-6′), 146.5 (C-4′), 150.9 (C-3′); δH 7.10 (H-5′) to δC 136.9 (C-1′), 146.5 (C-4′), 150.9 (C-3′); δH 6.77 (H-6′) to δC 35.1 (C-7′), 114.4 (C-2′), 146.5 (C-4′); δH 2.54, 3.13 (H2-7′) to δC 72.0 (C-9′), 114.4 (C-2′), 122.4 (C-6′), 136.9 (C-1′); δH 2.59 (H-8′) to δC 136.9 (C-1′); δH 3.64, 4.06 (H2-9′) to δC 35.1 (C-7′), 83.3 (C-8), 85.8 (C-7); δH 3.84 (3,5-OCH3) to δC 148.9 (C-3,5); δH 3.86 (3′-OCH3) to δC 150.9 (C-3′); δH 4.88 (H-1′′) to δC 146.5 (C-4′). Furthermore, the relative configuration of 3 was determined by the NOE correlations between δH 4.84 (H-7) and δH 3.64, 3.80 (H2-9); δH 3.64, 3.80 (H2-9) and δH 2.54, 3.13 (H2-7′) observed in its NOESY spectrum. Finally, 3 showed negative Cotton effect at 278 and 232 nm, which indicated the absolute configuration of it was 7R,8S,8′S [22].
(1R)-2,2,3-Trimethyl-4-hydroxymethylcyclopent-3-ene-1-methyl-O-β-d-glucopyranoside (4), was obtained as a white powder. It had the molecular formula C16H28O7, determined by negative-ion HRESI-TOF-MS (m/z 377.1814 [M + COOH], calcd for C17H29O9, 377.1817). Its IR spectrum showed absorption bands at 3367, 1636, and 1076 cm−1 ascribable to hydroxyl, olefin, and O-glycosidic linkages, respectively. It was reated with 1 M HCl to give d-glucose [4]. The 1H, 13C-NMR (Table 4) spectra showed signals assignable to three methyl [δ 0.87, 1.09, 1.56 (3H each, all s, 2β, 2α, 3-CH3)], two methylene with oxygen function {[δ 3.66 (1H, m, overlapped), 3.95 (1H, dd, J = 6.5, 11.0 Hz), 1-CH2OH], 4.07 (2H, d, J = 9.0 Hz, 4-CH2OH)}, one β-d-glucopyranosyl [δ 4.26 (1H, d, J = 7.5 Hz, H-1′)], one methylene [δ 2.09 (1H, dd, J = 8.0, 9.0 Hz), 2.49 (1H, dd, J = 8.0, 8.0 Hz), H2-5], together with one methine [δ 2.15 (1H, m, overlapped, H-1)]. The 1H 1H COSY experiment suggested the presence of two partial fragments shown in bold lines (Figure 5). Then, the planar structure of 4 was further elucidated by the long-range correlations from δH 0.87 (2β-CH3) to δC 27.2 (2α-CH3), 49.0 (C-1), 49.3 (C-2), 143.5 (C-3); δH 1.09 (2α-CH3) to δC 20.1 (2β-CH3), 49.0 (C-1), 49.3 (C-2), 143.5 (C-3); δH 1.56 (3-CH3) to δC 49.3 (C-2), 133.1 (C-4), 143.5 (C-3); δH 4.07 (4-CH2OH) to δC 36.6 (C-5), 133.1 (C-4), 143.5 (C-3); δH 2.15, 2.48 (H2-5) to δC 49.3 (C-2), 72.1 (1-CH2OH), 133.1 (C-4), 143.5 (C-3); δH 4.26 (H-1′) to δC 72.1 (1-CH2OH) observed in the HMBC spectrum. To determine the sterostructure of it, 4 was treated with β-glucosidase, to give the aglycon, (1R)-2,2,3-trimethyl-4-hydroxymethylcyclopent-3-ene-1-methanol (4a), which was obtained with negative optical rotation ([α]D −6.5°, CHCl3) and had only one chiral carbon. Using the the same method reported in literatures [25,26], compared optical rotation of 4a with that of its simialr compound, (–)-(R)-γ-necrodol ([α]D −21.2°, CHCl3) [27], the absolute configuration of 4 was elucidated to be 1R. Finally, the chemical shift of two methyl at the 2-position was determined by NOE correlations displayed in NOESY experiment. On the basis of above mentioned evidences, the structure of 4 was identified as (1R)-2,2,3-trimethyl-4-hydroxymethylcyclopent-3-ene-1-methyl-O-β-d-glucopyranoside.
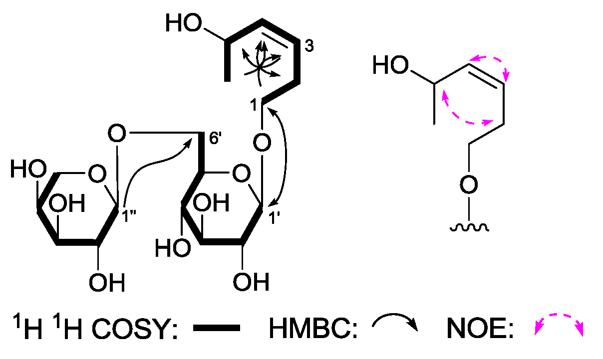
(3Z)-3-Hexene-1,5-diol 1-O-α-l-arabinopyranosyl(1→6)-β-d-glucopyranoside (5) was obtained as a white powder with negative optical rotation [[α ] D 25 −14.5° (c 0.11, MeOH)]. Its molecular formula, C17H30O11 (m/z 455.1773 [M + COOH]; calcd for C18H31O13, 455.1770), was recorded by Q-TOF-ESI-MS. Furthermore, using acid hydrolysis and HPLC analysis, the presence of d-glucose and l-arabinose in 5 was revealed [4]. The 1H, 13C-NMR spectra (Table 5) and 2D NMR (1H 1H COSY, HSQC, HMBC) spectra indicated the presence of two olefinic protons [δ 5.45, 5.47 (1H each, both m, H-3 and 4)], one methoxyl [δ 1.20 (3H, d, J = 6.0 Hz, H3-6)], one β-d-glucopyranosyl [δ 4.27 (1H, d, J = 7.5 Hz, H-1′)], along with one α-l-arabinopyranosyl [δ 4.31 (1H, d, J = 6.5 Hz, H-1′′)]. The planar structure of 5 was constructed on the basis of 1H 1H COSY and HMBC experiments. Namely, the 1H 1H COSY experiment suggested the existence of three partial structures, as shown as bold lines in Figure 6. Meanwhile, in its HMBC spectrum, long-rang correlations from δH 4.27 (H-1′) to δC 70.4 (C-1); δH 4.31 (H-1′′) to δC 69.6 (C-6′) were observed. Finally, the NOE correlation between δH 2.39, 2.46 (H2-2), and δH 4.61 (H-5); 5.45 (H-3) and δH 5.47 (H-5) found in the NOESY spectrum indicated the configuration in the 3-position was Z. Consequently, the structure of 5 was elucidated to be (3Z)-3-hexene-1,5-diol 1-O-α-l-arabinopyranosyl(1→6)-β-d-glucopyranoside.
Furthermore, inhibitory effects of all fractions obtained from 70% EtOH extract of G. acuta and the abovementioned isolates on motility of mouse isolated intestine tissue were determined by using the same method as reported previously [4,28]. As results, all of the test samples showed no significant changing on isolated intestinal tissue contraction frequency, while 70% EtOH extract of G. acut, 95% EtOH eluate from D101 macroporous resin CC, CHCl3 layer, as well as compounds 5, 7, 10, 1214, 16, 17, 31, and 32 displayed significant inhibitory effects on contraction tension (Table 6).
From the whole plants of G. acuta, two types of monoterpenes, iridoid- (1, 2226) and secoiridoid-type (721) monoterpenes were obtained. Structure-activity relationship analysis revealed that iridoid-type monoterpenes showed no significant effect on contraction tension. However, secoiridoid-type monoterpenes, such as 7, 10, 1214, 16, 17 had strong inhibitory effect. Furthermore, when an olefin functional existed between the 5- and 6-positions (2, 20, 21), or H-5 was substituted by hydroxyl (18, 19), the bioactivity disappeared.
Meanwhile, comparing the inhibitory effect on contraction tension of 8-O-4′- (27), 7-O-4′- (2830) with those of 7-O-9′-type (31, 32) lignan, we found that 7-O-9′-type (31, 32) lignan displayed strong inhibitory bioactivity on contraction tension.

3. Experimental

3.1. General

Physical data was obtained by using the following instruments: UV and IR spectra were determined on a Varian Cary 50 UV-VIS (Varian, Inc., Hubbardsdon, MA, USA) and Varian 640-IR FT-IR spectrophotometer (Varian Australia Pty Ltd., Mulgrave, Australia), respectively. Optical rotations were obtained on a Rudolph Autopol® IV automatic polarimeter (l = 50 mm) (Rudolph Research Analytical, 55 Newburgh Road, Hackettstown, NJ, 07840 USA). NMR spectra were run on a Bruker 500 MHz NMR spectrometer (Bruker BioSpin AG Industriestrasse 26 CH-8117, Fällanden, Switzerland) at 500 MHz for 1H and 125 MHz for 13CNMR (internal standard: TMS). Negative-ion HRESI-TOF-MS were recorded on an Agilent 6520 Accurate-Mass Q-Tof LC/MS spectrometer (Agilent Corp., Santa Clara, CA, USA). Column chromatographies (CC) were performed on macroporous resin D101 (Haiguang Chemical Co., Ltd., Tianjin, China), silica gel (74–149 μm, Qingdao Haiyang Chemical Co., Ltd., Qingdao, China), and Sephadex LH-20 (Ge Healthcare Bio-Sciences, Uppsala, Sweden). Preparative high-performance liquid chromatography (PHPLC) column, cosmosil 5C18-MS-II (20 mm i.d. × 250 mm, Nakalai Tesque, Inc., Tokyo, Japan) were used to isolate the compounds.

3.2. Plant Material

The whole plants of Gentianella acuta (Michx.) Hulten were collected from Alxa Youqi, Inner Mongolia Autonomous region, China in September 2013, and identified by Dr. Li Tianxiang (Experiment Teaching Department, Tianjin University of Traditional Chinese Medicine). The voucher specimen was deposited at the Academy of Traditional Chinese Medicine of Tianjin University of TCM.

3.3. Extraction and Isolation

The whole plants of G. acuta (3.0 kg) were cut and refluxed with 70% ethanol–water. Then the 70% EtOH extract (868.5 g) was partitioned in a CHCl3–H2O mixture (1:1, v/v). The H2O layer (670.0 g) was subjected to D101 macroporous resin CC (H2O → 95% EtOH → acetone). As a result, H2O (332.4 g), 95% EtOH (294.9 g), and acetone (5.1 g) eluates were obtained.
The 95% EtOH eluate (200.0 g) was subjected to silica gel CC [CHCl3 → CHCl3-MeOH (100:1 → 100:5, v/v) → CHCl3–MeOH–H2O (10:3:1 → 7:3:1 → 6:4:1, v/v/v, lower layer)] to give 16 fractions (Fr. 1–Fr. 16). Fraction 7 (25.7 g) was centrifugated (MeOH), and two fractions (Fr. 7-1–Fr. 7-2) were yielded. Fraction 7-2 (9.8 g) was separated by PHPLC [CH3CN–H2O (18:82 → 35:65 → 42:58, v/v) + 1% HAc] to give 27 fractions (Fr. 7-2-1–Fr. 7-2-27). Fraction 7-2-2 (70.6 mg) was purified by PHPLC [MeOH–H2O (22:78, v/v)], and 2,3-dihydroxy-1-(4-hydroxy-3-methoxyphenyl)-propan-1-one (6, 5.9 mg) was given. Fraction 7-2-8 (46.3 mg) was isolated by PHPLC [CH3CN-H2O (20:80, v/v) + 1% HAc] to gain (7R,8S)-erythro-4,7,9,9′-tetrahydroxy-3,3′-dimethoxy-8-O-4′-neolignan (27, 6.0 mg). Fraction 9 (15.0 g) was subjected to Sephadex LH-20 CC [CHCl3–MeOH (1:1, v/v)] to yield seven fractions (Fr. 9-1–Fr. 9-7). Fraction 9-4 (7.3 g) was separated by PHPLC [CH3CN–H2O (22:78 → 30:70 → 45:55, v/v) + 1% HAc], as a result, 12 fractions (Fr. 9-4-1–Fr. 9-4-12) were obtained. Fraction 9-4-2 (962.8 mg) was purified by PHPLC [MeOH–H2O (23:77, v/v) + 1% HAc] to give gentiiridoside B (2, 14.8 mg). Fraction 9-4-9 (277.1 mg) was centrifuged (MeOH), and two fractions (Fr. 9-4-9-1–Fr. 9-4-9-2) were gained. Fraction 9-4-9-2 (199.7 mg) was isolated by PHPLC [MeOH–H2O (45:55, v/v) + 1% HAc] to yield plucheoside D3 (29, 8.8 mg). Fraction 11 (20.0 g) was subjected to PHPLC [CH3CN–H2O (15:85 → 25:75 → 42:58, v/v) + 1% HAc], and 29 fractions (Fr. 11-1–Fr. 11-29) were given. Fraction 11-5 (631.3 mg) was separated by PHPLC [CH3CN–H2O (10:90, v/v) + 1% HAc], and 8-epiloganin (24, 29.7 mg) was yielded. Fraction 11-6 (388.0 mg) was isolated by PHPLC [CH3CN–H2O (11:89, v/v) + 1% HAc] to yield gentilignanoside A (3, 9.2 mg), loganin (23, 143.5 mg), and berchemol-4′-O-β-d-glucoside (32, 84.5 mg). Fraction 11-12 (660.5 mg) was centrifugated (MeOH) and further purified by PHPLC [MeOH–H2O (35:65, v/v) + 1% HAc] to give (1R)-2,2,3-trimethyl-4-hydroxymethylcyclopent-3-ene-1-methyl-O-β-d-glucopyranoside (4, 11.5 mg). Fraction 11-17 (790.7 mg) was isolated by PHPLC [MeOH–H2O (42:58, v/v) + 1% HAc] to obtain six fractions (Fr. 11-17-1–Fr. 11-17-6). Fraction 11-17-1 (97.1 mg) was purified by PHPLC [CH3CN-H2O (24:76, v/v) + 1% HAc] to gain swertiaside (26, 79.0 mg). Fraction 11-21 (376.1 mg) was separated by PHPLC [MeOH–H2O (42:58, v/v) + 1% HAc] to afford (7S,8R)-9′-methoxy-dehydrodiconiferyl alcohol 4-O-β-d-glucopyranoside (30, 17.4 mg). Fraction 13 (20.0 g) was subjected to PHPLC [MeOH-H2O (35:65 → 45:55 → 55:45, v/v) + 1% HAc], and 20 fractions (Fr. 13-1–Fr. 13-20) were yielded. Fraction 13-11 (1.9 g) was centrifuged (MeOH) to obtain two fractions (Fr. 13-11-1–Fr. 13-11-2). Fraction 13-11-1 (1.0 g) was isolated by PHPLC [CH3CN–H2O (16:84, v/v) + 1% HAc], as a result, eleven fractions (Fr. 13-11-1-1–Fr. 13-11-1-11) were given. Fraction 13-11-1-9 (117.1 mg) were purified by Sephadex LH-20 CC (MeOH) and PHPLC [MeOH–H2O (35:65, v/v) + 1% HAc] to afford 5α-carboxystrictosidine (12, 26.2 mg). Fraction 13-12 (501.4 mg) was isolated by PHPLC [CH3CN–H2O (18:82, v/v) + 1% HAc] and to yield (E)-aldosecologanin (11, 38.2 mg). Fraction 13-17 (504.0 mg) was purified by PHPLC [CH3CN–H2O (22:78, v/v) + 1% HAc] to yield gentiiridoside A (1, 265.0 mg). Fraction 14 (15.3 g) was subjected to PHPLC [CH3CN–H2O (15:85 → 25:75, v/v) + 1% HAc], and 20 fractions (Fr. 14-1–Fr. 14-20) were obtained. Fraction 14-1 (1.4 g) was separated by PHPLC [CH3CN–H2O (9:91, v/v) + 1% HAc] to gain 14 fractions (Fr. 14-1-1–Fr. 14-1-14). Fraction 14-1-2 (32.1 mg) was purified by Sephadex LH-20 CC (MeOH) and finally by PHPLC [CH3CN–H2O (7:93, v/v)] to give (3Z)-3-hexene-1,5-diol 1-O-α-l-arabinopyranosyl(1→6)-β-d-glucopyranoside (5, 2.8 mg).
The CHCl3 layer (50.0 g, Fr. C) was subjected to Silica gel CC [CHCl3–MeOH (100:2 → 100:3 → 100:5, v/v) → CHCl3–MeOH–H2O (10:3:1, v/v/v, lower layer) → MeOH], and eight fractions (Fr. C-1–Fr. C-8) were yielded. Fraction C-5 (1.1 g) was separated by Sephadex LH-20 CC [MeOH–CH2Cl2 (1:1, v/v)] to gain three fractions (Fr. C-5-1–Fr. C-5-3). Fraction C-5-2 (110.0 mg) was purified by PHPLC [MeOH-H2O (45:55, v/v)] to afford (7S,8R)-dehydrodiconiferyl alcohol (28, 13.3 mg) and (–)-berchemol (31, 14.6 mg). Fraction C-7 (9.0 g) was isolated by ODS CC [MeOH–H2O (20:80 → 30:70 → 40:60 → 50:50, v/v) → MeOH], and eight fractions (Fr. C-7-1–Fr. C-7-8) were obtained. Fraction C-7-2 (351.4 mg) was purified by PHPLC [MeOH–H2O (32:68, v/v) + 1% HAc] to give gentiopicroside (20, 15.9 mg). Fraction C-7-6 (486.4 g) was subjected to Sephadex LH-20 CC [MeOH–CH2Cl2 (1:1, v/v)] and PHPLC [MeOH–H2O (50:50, v/v) + 1% HAc] to afford trifloroside (17, 16.0 mg).
Compounds 710, 1316, 18, 19, 21, 22 and 25 were obtained and identified by using the method reported previously [2,3].
Gentiiridoside A (1): White powder; [α ] D 25 −90.0° (c 0.14, MeOH); UV λmax (MeOH) nm (log ε): 229 (4.46), 285 (3.53); IR νmax (KBr): 3372, 2929, 1712, 1635, 1588, 1486, 1372, 1264, 1201, 1154, 1078, 1017, 902, 873 cm−1; 1H-NMR (CD3OD, 500 MHz) and 13C-NMR (CD3OD, 125 MHz) data, see Table 1. HRESI-TOF-MS negative-ion mode m/z 777.2261 [M – H] (calcd for C36H41O19, 777.2248).
Gentiiridoside B (2): White powder; [α ] D 25 −36.7° (c 0.12, MeOH); UV λmax (MeOH) nm (log ε): 231 (4.26, sh), 273 (4.08, sh); IR νmax (KBr) 3357, 2924, 1705, 1609, 1518, 1457, 1418, 1375, 1272, 1209, 1074, 1024 cm−1; 1H-NMR (DMSO-d6, 500 MHz) and 13C-NMR (DMSO-d6, 125 MHz) data see Table 2. HRESI-TOF-MS negative-ion mode m/z 679.1023 [M – H] (calcd for C28H39O18, 679.1033).
Gentilignanoside A (3): White powder; [α ] D 25 −36.0° (c 0.10, MeOH); CD (c 0.0018 M, MeOH) mdeg (λnm): −3.8 (278), −16.9 (232), −27.6 (206); UV λmax (MeOH) nm (log ε): 226 (4.32), 275 (3.73); IR νmax (KBr): 3368, 2937, 1613, 1514, 1463, 1425, 1324, 1266, 1224, 1158, 1115, 1073, 1026 cm−1; 1H-NMR (CD3OD, 500 MHz) and 13C-NMR (CD3OD, 125 MHz) data see Table 3. HRESI-TOF-MS negative-ion mode m/z 679.1023 [M – H] m/z 567.2083 [M – H] (calcd for C27H33O13, 567.2083).
(1R)-2,2,3-Trimethyl-4-hydroxymethylcyclopent-3-ene-1-methyl-O-β-d-glucopyranoside (4): White powder; [α ] D 25 −43.9° (c 0.12, MeOH); IR νmax (KBr): 3367, 2927, 1636, 1576, 1436, 1286, 1161, 1076, 1038 cm−1. 1H-NMR (CD3OD, 500 MHz) and 13C-NMR (CD3OD, 125 MHz) data see Table 4. HRESI-TOF-MS negative-ion mode m/z 377.1814 [M + COOH] (calcd for C17H29O9, 377.1817).
(3Z)-3-Hexene-1,5-diol 1-O-α-l-arabinopyranosyl(1→6)-β-d-glucopyranoside (5): White powder; [α ] D 25 −14.5° (c 0.11, MeOH); IR νmax (KBr): 3364, 2966, 2920, 1593, 1419, 1370, 1258, 1166, 1047, 1009 cm−1; 1H-NMR (CD3OD, 500 MHz) and 13C-NMR (CD3OD, 125 MHz) data see Table 5. HRESI-TOF-MS negative-ion mode m/z 455.1773 [M + COOH] (calcd for C18H31O13, 455.1770).
Enzymatic Hydrolysis of 4 A solution of 4 (6.0 mg) in H2O (2.0 mL) was reacted with β-glucosidase (6.0 mg, Almond, Sigma-Aldrich, Co. 3050 Spruce Street, St. Louis, MO, 63103 USA) at 37 °C for 2.5 h. Then the reaction mixture was extracted with EtOAc. And the residue from EtOAc solvent was subjected to Silica gel CC [CHCl3–MeOH (100:5, v/v)], as a result, the aglycon, (1R)-2,2,3-trimethyl-4-hydroxymethylcyclopent-3-ene-1-methanol (4a, 2.8 mg, 93.33%) was yielded.
(1R)-2,2,3-Trimethyl-4-hydroxymethylcyclopent-3-ene-1-methanol (4a): White powder; [α ] D 25 −6.5° (c 0.09, CHCl3); IR νmax (KBr): 3318, 2953, 2925, 2867, 1717, 1576, 1462, 1437, 1380, 1240, 1179, 1118, 1087, 999 cm−1; 1H-NMR (CD3OD, 500 MHz) and 13C-NMR (CD3OD, 125 MHz) data see Table 4. HRESI-TOF-MS negative-ion mode m/z 170.1423 [M – H] (calcd for C10H17O2, 170.1433).
Acid Hydrolysis of 15 The solution of compounds 15 (each 2.0 mg) in 1 M HCl (1.0 mL) was treated by using the same method as described in reference [4]: They were heated under reflux for 3 h. The reaction mixture was then analyzed by CH3CN–H2O (75:25, v/v; flow rate 0.7 mL/min). As results, d-glucose was detected from the aqueous phase of 15, and l-arabinose was found from that of 5 by comparison of its retention time and optical rotation with those of the authentic sample, d-glucose (tR 16.8 min (positive)) and l-arabinose (tR 13.1 min (positive)), respectively.

3.4. Inhibitory Effects of Fractions and Compounds 132 on the Motility of Mouse Isolated Intestine Tissue

Inhibitory effects of fractions and compounds 132 on motility of mice isolated intestine tissue were determined by using the similar method as we reported previously [4,28]: Mice were fasted for 12 h before experiments, intestinal tissue were collected immediately. The Maxwell bath was filled with 10 mL of Tyrode’s solution (one liter contains: NaCl 8.0 g, CaCl2 0.2 g, KCl 0.2 g, MgCl2 0.1 g, NaHCO3 1.0 g, KH2PO4 0.05 g, glucose 1.0 g, pH 7.4) and maintained at a constant temperature (37.0 ± 0.5°C), and bubbled with 95% O2 and 5% CO2 gas. The intestinal tissue was fixed on bottom hook in and the other end was connected to an isometric tension transducer. Samples in DMSO solution were added after 15 min to equilibrate incubation, the final DMSO concentration was 0.1%, and the final concentration of fractions and compounds was 100 μg/mL and 40 μM, respectively. The mean tension and frequency of intestine muscle contractions were recorded for 1 min before and 4 min after drug additions using isolated tissue bath systems (Radnoti Glass Technology Inc., Monrovia, CA, 159901A, USA). Loperamide hydrochloride (Xi’an Janssen Pharmaceutical Ltd., Xi’an, China) was used as a positive control, and the final concentration was 10 μM.
Values are expressed as mean ± S.D. All the grouped data were statistically performed with SPSS 11.0. Significant differences between means were evaluated by one-way analysis of variance (ANOVA) and Tukey’s Studentized range test was used for post hoc evaluations. p < 0.05 was considered to indicate statistical significance.

4. Conclusions

In summary, nineteen constituents, including five new ones, gentiiridosides A (1), B (2), gentilignanoside A (3), (1R)-2,2,3-trimethyl-4-hydroxymethylcyclopent-3-ene-1-methyl-O-β-d-glucopyranoside (4), and (3Z)-3-hexene-1,5-diol 1-O-α-l-arabinopyranosyl(1→6)-β-d-glucopyranoside (5) were obtained from the whole plants of G. acuta in our on-going program of screening the phytochemical and bioactive constituents. Among the known isolates, 6, 11, 12, 17, 23, and 2732 were isolated from the genus firstly. The structures of them were elucidated by chemical and spectroscopic methods.
Furthermore, the inhibitory effects on motility of mouse isolated intestine tissue of the above mentioned compounds and other thirteen isolates (710, 1316, 18, 19, 21, 22 and 25) previously obtained in the plant were analyzed. Resultingly, 5, 7, 10, 12, 14, 16, 17, 31, and 32 displayed significant inhibitory effects on contraction tension. On the other hand, structure-activity relationship analysis revealed that the inhibitory effect of secoiridoid-type monoterpenes was stronger than that of iridoid-type monoterpenes, and 7-O-9′-type lignan displayed stronger inhibitory bioactivity than 8-O-4′- and 7-O-4′-type lignan.
Our previous [4,5,6] and present research results suggested that the chemical constituents in G. acuta were xanthones, monoterpenes, lignans, and phenolic acids. Among them, xanthones and part of the monoterpenes were major bioactivity substances of G. acuta. These results suggested that G. acuta and its constituents have potential value in discovering new medicines for abnormal intestinal motility.

Acknowledgments

This work was financially supported by programs for National Natural Science Foundation of China (21405113, 81673688), Important Drug Development Fund, Ministry of Science and Technology of China (2017ZX09305002-002).

Author Contributions

Yi Zhang and Tao Wang designed the research and wrote the manuscript; Zhijuan Ding and Yanxia Liu performed the experimental work; Jingya Ruan and Shengcai Yang retrieved the literature; and Haiyang Yu and Meiling Chen perfected the language. All authors discussed, edited, and approved the final version.

Conflicts of Interest

The authors declare no conflicts of interest.

References

  1. Wang, Z.; Wu, Q.; Yu, Y.; Yang, C.; Jiang, H.; Wang, Q.; Yang, B.; Kuang, H. Determination and pharmacokinetic study of four xanthones in rat plasma after oral administration of Gentianella acuta extract by UHPLC-ESI-MS/MS. J. Ethnopharmacol. 2015, 174, 261–269. [Google Scholar] [CrossRef] [PubMed]
  2. Lv, L.J.; Wang, Y.F.; Yan, T.; Han, H.R.; Li, M.H. Preparation of swertianolin from Gentianella acuta and its effects on arrhythmia induced by aconitine in mice. Chin. J. New Drugs Clin. Rem. 2015, 34, 630–635. [Google Scholar]
  3. Wang, Z.; Wu, G.; Liu, H.; Xing, N.; Sun, Y.; Zhai, Y.; Yang, B.; Kong, A.T.; Kuang, H.; Wang, Q. Cardioprotective effect of the xanthones from Gentianella acuta against myocardial ischemia/reperfusion injury in isolated rat heart. Biomed. Pharmacother. 2017, 93, 626–635. [Google Scholar] [CrossRef] [PubMed]
  4. Liu, Y.; Ni, Y.; Ruan, J.; Qu, L.; Yu, H.; Han, L.; Zhang, Y.; Wang, T. Bioactive gentixanthone and gentichromone from the whole plants of Gentianella acuta (Michx.) Hulten. Fitoterapia 2016, 113, 164–169. [Google Scholar] [CrossRef] [PubMed]
  5. Ni, Y.; Liu, Y.; Ruan, J.; Han, L.; Wang, T.; Zhang, Y. Isolation and identification of iridoidal glycosides from the whole plant of Gentianella acuta (II). Zhongguo Yaowuhuaxue Zazhi 2017, 27, 133–137. [Google Scholar]
  6. Liu, Y.; Shi, W.; Ni, Y.; Chao, L.; Wang, T.; Zhang, Y. Isolation and identification of iridoidal glycosides from the whole plant of Gentianella acuta. J. Shenyang Pharma. Univ. 2016, 33, 702–705. [Google Scholar]
  7. Baderschneider, B.; Winterhalter, P. Isolation and characterization of novel benzoates, cinnamates, flavonoids, and lignans from riesling wine and screening for antioxidant activity. J. Agric. Food Chem. 2001, 49, 2788–2798. [Google Scholar] [CrossRef] [PubMed]
  8. Machida, K.; Sasaki, H.; Iijima, T.; Kikuchi, M. Studies on the constituents of Lonicera species. XVII. New iridoid glycosides of the stems and leaves of Lonicera japonica Thunb. Chem. Pharm. Bull. 2002, 50, 1041–1044. [Google Scholar] [CrossRef] [PubMed]
  9. Ferrari, F.; Messana, I.; Botta, B.; De Mello, J.F. Constituents of Guettarda platypoda. J. Nat. Prod. 1986, 49, 1150–1151. [Google Scholar] [CrossRef]
  10. Kim, J.A.; Son, N.S.; Son, J.K.; Jahng, Y.; Chang, H.W.; Jang, T.S.; Na, M.K.; Lee, S.H. Two new secoiridoid glycosides from the rhizomes of Gentiana scabra Bunge. Arch. Pharm. Res. 2009, 32, 863–867. [Google Scholar] [CrossRef] [PubMed]
  11. Rho, T.; Jung, M.; Lee, M.W.; Chin, Y.W.; Yoon, K.D. Efficient methods for isolating five phytochemicals from Gentiana macrophylla using high-performance countercurrent chromatography. J. Sep. Sci. 2016, 39, 4723–4731. [Google Scholar] [CrossRef] [PubMed]
  12. Calis, I.; Lahloub, M.F.; Sticher, O. Loganin, loganic acid and periclymenoside, a new biosidic ester iridoid glucoside from Loniceva peviclymenum L. (Capvifoliaceae). Helv. Chim. Acta 1984, 67, 160–165. [Google Scholar] [CrossRef]
  13. Balázs, B.; Tóth, G.; Duddeck, H.; Soliman, H.S. Iridoid and lignan glycosides from Citharexylum spinosum L. Nat. Prod. Res. 2006, 20, 201–205. [Google Scholar] [CrossRef] [PubMed]
  14. Ikeshiro, Y.; Tomita, Y. A new iridoid glucoside of Swertia japonica. Planta Med. 1984, 50, 485–488. [Google Scholar] [CrossRef] [PubMed]
  15. Huo, C.H.; Liang, H.; Zhao, Y.Y.; Wang, B.; Zhang, Q.Y. Neolignan glycosides from Symplocos caudata. Phytochemistry 2008, 69, 788–795. [Google Scholar] [CrossRef] [PubMed]
  16. Della, G.M.; Molinaro, A.; Monaco, P.; Previtera, L. Neolignans from Arum ztalzcum. Phytochemistry 1994, 35, 777–779. [Google Scholar]
  17. Iida, N.; Inatomi, Y.; Murata, H.; Murata, J.; Lang, F.A.; Tanaka, T.; Nakanishi, T.; Inada, A. New phenylpropanoid glycosides from Juniperus communis var. Depressa. Chem. Pharm. Bull. 2010, 58, 742–746. [Google Scholar] [CrossRef] [PubMed]
  18. Xiao, H.H.; Dai, Y.; Wong, M.S.; Yao, X.S. New lignans from the bioactive fraction of Sambucus williamsii Hance and proliferation activities on osteoblastic-like UMR106 cells. Fitoterapia 2010, 94, 29–35. [Google Scholar] [CrossRef] [PubMed]
  19. In, S.J.; Seo, K.H.; Song, N.Y.; Lee, D.S.; Kim, Y.C.; Baek, N.I. Lignans and neolignans from the stems of Vibrunum erosum and their neuroprotective and anti-inflammatory activity. Arch. Pharm. Res. 2015, 338, 26–34. [Google Scholar] [CrossRef] [PubMed]
  20. Uchiyama, T.; Miyase, T.; Ueno, A.; Usmanghani, K. Terpene and lignan glycosides from Pluchea indica. Phytochemistry 1991, 30, 655–657. [Google Scholar] [CrossRef]
  21. Iizuka, M.; Warashina, T.; Noro, T. Bufadienolides and a new lignan from the bulbs of Urginea maritima. Chem. Pharm. Bull. 2001, 49, 282–286. [Google Scholar] [CrossRef] [PubMed]
  22. Sakurai, N.; Nagashima, S.; Kawai, K.; Inoue, T. A new lignan, (–)-berchemol, from Berchemia racemosa. Chem. Pharm. Bull. 1989, 37, 3311–3315. [Google Scholar] [CrossRef]
  23. Ando, H.; Hirai, Y.; Fujii, M.; Hori, Y.; Fukumura, M.; Niiho, Y.; Nakajima, Y.; Shibata, T.; Toriizuka, K.; Ida, Y. The chemical constituents of fresh Gentian root. J. Nat. Med. 2007, 61, 269–279. [Google Scholar] [CrossRef]
  24. Schumacher, B.; Scholle, S.; Hoelzl, J.; Khudeir, N.; Hess, S.; Mueller, C.E. Lignans isolated from Valerian: Identification and characterization of a new olivil derivative with partial agonistic activity at A1 adenosine receptors. J. Nat. Prod. 2002, 65, 1479–1485. [Google Scholar] [CrossRef] [PubMed]
  25. Ngan, N.T.; Quang, T.H.; Tai, B.H.; Song, S.B.; Lee, D.; Kim, Y.H. Anti-inflammatory and PPAR transactivational effects of components from the stem bark of Ginkgo biloba. J. Agric. Food Chem. 2012, 60, 2815–2824. [Google Scholar] [CrossRef] [PubMed]
  26. Baba, H.; Yaoita, Y.; Kikuchi, M. Constituents of the roots of Ligularia dentata Hara. J. Nat. Med. 2007, 61, 472–473. [Google Scholar] [CrossRef]
  27. Pamingle, H.; Snowden, R.L.; Schulte-Elte, K.H. Stereoselective conversion of campholene- to necrodane-type monoterpenes. Novel access to (–)-(R,R)- and (R,S)-α-necrodol and the enantiomeric γ-necrodols. Helv. Chim. Acta 1991, 74, 543–548. [Google Scholar] [CrossRef]
  28. Lei, X.; Sui, P.H. Effect of the ginsenoside Rb1 on the spontaneous contraction of intestinal smooth muscle in mice. World J. Gastroenterol. 2012, 18, 5462–5469. [Google Scholar]
Sample Availability: Samples of all the compounds are available from the authors.
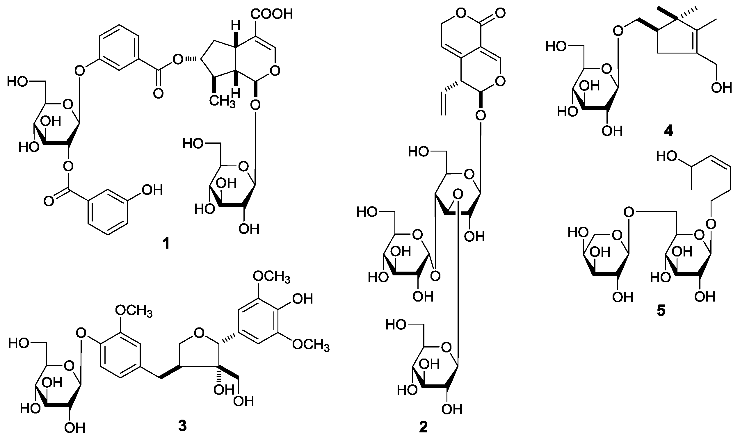
Figure 1. The new compounds 15 obtained from the whole plant of G. acuta.
Figure 1. The new compounds 15 obtained from the whole plant of G. acuta.
Molecules 22 01309 g001
Figure 2. The known compounds (632) obtained from the whole plant of G. acuta.
Figure 2. The known compounds (632) obtained from the whole plant of G. acuta.
Molecules 22 01309 g002
Figure 3. The main 1H 1H COSY, HMBC correlations of 1 and 2, and NOE correlations of 1.
Figure 3. The main 1H 1H COSY, HMBC correlations of 1 and 2, and NOE correlations of 1.
Molecules 22 01309 g003
Figure 4. The main 1H 1H COSY, HMBC, and NOE correlations of 3.
Figure 4. The main 1H 1H COSY, HMBC, and NOE correlations of 3.
Molecules 22 01309 g004
Figure 5. The main 1H 1H COSY, HMBC correlations of 4 and 4a.
Figure 5. The main 1H 1H COSY, HMBC correlations of 4 and 4a.
Molecules 22 01309 g005
Figure 6. The main 1H 1H COSY, HMBC, and NOE correlations of 5.
Figure 6. The main 1H 1H COSY, HMBC, and NOE correlations of 5.
Molecules 22 01309 g006
Table 1. 1H and 13C-NMR data for 1 in CD3OD.
Table 1. 1H and 13C-NMR data for 1 in CD3OD.
No.δCδH (J in Hz)No.δCδH (J in Hz)
196.25.50 (d, 3.0)3′′159.2-
3152.47.46 (s)4′′123.57.42 (br. d, ca. 8)
4112.8-5′′131.07.48 (dd, 7.5, 7.5)
532.53.05 (q like, ca. 7)6′′125.17.84 (br. d, ca. 8)
638.02.00 (m)7′′166.1-
2.55 (ddd, 6.5, 7.0, 13.5)1′′′102.35.02 (d, 8.0)
783.74.96 (ddd, 4.5, 7.0, 10.5)2′′′77.93.51 (m, overlapped)
843.02.12 (m)3′′′74.83.53 (m, overlapped)
948.72.00 (m, overlapped)4′′′71.43.32 (m, overlapped)
1018.41.23 (d, 7.0)5′′′78.13.33 (m, overlapped)
11170.9-6′′′62.63.66 (dd, 4.0, 11.5)
1′100.24.69 (d, 7.5) 3.84 (br. d, ca. 12)
2′74.63.22 (dd, 7.5, 8.5)1′′′′133.1-
3′77.83.40 (dd, 8.5, 8.5)2′′′′123.97.82 (br. s)
4′71.33.46 (dd, 8.5, 8.5)3′′′′152.3-
5′78.23.51 (m, overlapped)4′′′′127.77.45 (br. d, ca. 8)
6′62.43.75 (dd, 5.0, 11.5)5′′′′130.87.54 (dd, 7.5, 7.5)
3.92 (br. d, ca. 12)6′′′′128.17.88 (br. d, ca. 8)
1′′131.7-7′′′′166.8-
2′′119.37.89 (br. s)
Table 2. 1H and 13C-NMR data for 2 in DMSO-d6.
Table 2. 1H and 13C-NMR data for 2 in DMSO-d6.
No.δCδH (J in Hz)No.δCδH (J in Hz)
196.45.59 (d, 3.0)6′61.03.44 (m, overlapped)
3148.87.41 (s) 3.68 (br. d, ca. 12)
4103.2-1′′96.84.27 (d, 7.5)
5124.9-2′′74.72.90 (dd, 7.5, 8.5)
6116.15.65 (m)3′′76.63.12 (m, overlapped)
769.14.97 (dd, 3.0, 18.0)4′′70.23.05 (m, overlapped)
5.04 (br. d, ca. 18)5′′76.73.03 (m, overlapped)
8134.05.72 (ddd, 6.5, 10.5, 17.5)6′′61.13.44 (m, overlapped)
944.33.31 (m) 3.66 (br. d, ca. 12)
10117.95.21 (m)1′′′92.14.91 (d, 3.5)
11162.7-2′′′72.33.12 (m, overlapped)
1′98.74.49 (d, 8.0)3′′′72.73.42 (m, overlapped)
2′73.02.95 (dd, 8.0, 8.5)4′′′70.53.05 (m, overlapped)
3′76.73.15 (m, overlapped)5′′′71.93.57 (m)
4′69.93.03 (m, overlapped)6′′′61.13.44 (m, overlapped)
5′77.33.15 (m, overlapped)
Table 3. 1H and 13C-NMR data for 3 in CD3OD.
Table 3. 1H and 13C-NMR data for 3 in CD3OD.
No.δCδH (J in Hz)No.δCδH (J in Hz)
1129.9-7′35.12.54 (dd, 12.5, 12.5)
2,6106.26.64 (s) 3.13 (br. d, ca. 13)
3,5148.9-8′51.82.59 (m)
4136.2-9′72.03.64 (m, overlapped)
785.84.84 (s) 4.06 (dd, 7.5, 7.5)
883.3-3,5-OCH356.83.84 (s)
964.63.64 (m, overlapped)3′-OCH356.83.86 (s)
3.80 (m, overlapped)1′′103.14.88 (d, 7.5)
1′136.9-2′′75.03.49 (dd, 7.5, 8.5)
2′114.46.90 (br. s)3′′77.93.45 (m)
3′150.9-4′′71.43.40 (m, overlapped)
4′146.5-5′′78.23.40 (m, overlapped)
5′118.37.10 (d, 8.0)6′′62.63.68 (dd, 5.0, 11.5)
6′122.46.77 (br. d, ca. 8) 3.89 (m, overlapped)
Table 4. 1H and 13C-NMR data for 4 and 4a in CD3OD.
Table 4. 1H and 13C-NMR data for 4 and 4a in CD3OD.
44a
No.δCδH (J in Hz)δCδH (J in Hz)
149.02.15 (m, overlapped)51.72.00 (m)
249.3-49.0-
3143.5-143.7-
4133.1-133.2-
36.62.15 (dd, 8.0, 9.0)36.52.09 (dd, 8.0, 9.0)
2.48 (dd, 8.0, 8.0) 2.49 (dd, 8.0, 8.0)
1-CH2OH72.13.66 (m, overlapped)64.23.54 (dd, 8.5, 11.0)
3.95 (dd, 6.5, 11.0) 3.72 (dd, 6.5, 11.0)
2α-CH327.21.09 (s)27.31.08 (s)
2β-CH320.10.87 (s)19.90.85 (s)
3-CH39.41.56 (s)9.41.56 (s)
4-CH2OH59.44.07 (m)59.44.06, 4.10 (both d, 12.0)
1′104.54.26 (d, 7.5)
2′75.23.17 (dd, 7.5, 8.0)
3′78.33.34 (dd, 8.0, 8.0)
4′71.73.29 (m, overlapped)
5′78.03.29 (m, overlapped)
6′62.83.66 (m, overlapped)
3.87 (br. d, ca. 12)
Table 5. 1H and 13C-NMR data for 5 in CD3OD.
Table 5. 1H and 13C-NMR data for 5 in CD3OD.
No.δCδH (J in Hz)No.δCδH (J in Hz)
170.43.61 (dd, 6.5, 11.5)4′71.73.33 (dd, 8.0, 8.0)
3.86 (m, overlapped)5′76.93.43 (m)
229.32.39 (m)6′69.63.72 (dd, 5.5, 11.0)
2.46 (m) 4.09 (dd, 2.0, 11.0)
3127.45.45 (m)1′′105.24.31 (d, 6.5)
4137.05.47 (m)2′′72.43.58 (dd, 6.5, 9.0)
564.44.61 (m)3′′74.23.52 (dd, 3.5, 9.0)
623.91.20 (d, 6.0)4′′69.53.80 (m)
1′104.44.27 (d, 7.5)5′′66.73.53 (dd, 2.0, 12.5)
2′75.13.17 (dd, 7.5, 8.0) 3.86 (m, overlapped)
3′78.03.34 (dd, 8.0, 8.0)
Table 6. Inhibitory effects of fractions and compounds 132 on motility of mouse isolated intestine tissue.
Table 6. Inhibitory effects of fractions and compounds 132 on motility of mouse isolated intestine tissue.
Intestine Motility (%) Intestine Motility (%)
Relative TensionRelative FrequencyRelative TensionRelative Frequency
N100.0 ± 4.0100.0 ± 7.31490.1 ± 2.6 *102.1 ± 1.9
P74.1 ± 9.3 *82.7 ± 5.3 *1588.9 ± 5.0104.7 ± 2.3
A83.1 ± 3.4 *97.5 ± 3.61680.5 ± 6.1 *102.1 ± 5.8
B93.9 ± 4.2103.2 ± 3.11764.9 ± 7.1 **94.3 ± 2.0
C74.5 ± 3.8 ***99.3 ± 5.31888.2 ± 4.986.4 ± 8.8
D78.4 ± 3.5 ***103.2 ± 4.41993.7 ± 7.1100.3 ± 2.4
193.2 ± 3.5102.0 ± 3.72085.8 ± 5.098.2 ± 1.4
288.2 ± 3.497.7 ± 4.92186.8 ± 4.6102.2 ± 3.2
388.8 ± 5.1113.0 ± 14.02289.6 ± 4.4112.0 ± 8.1
4100.4 ± 2.0100.4 ± 2.02391.2 ± 2.7103.6 ± 7.4
581.6 ± 2.9 **98.5 ± 0.92491.0 ± 3.5101.0 ± 4.4
689.5 ± 7.0100.9 ± 5.52591.0 ± 3.8102.1 ± 2.6
782.9 ± 7.0 *100.8 ± 2.62684.8 ± 4.7105.9 ± 1.6
886.6 ± 4.685.2 ± 3.02777.4 ± 7.4100.8 ± 5.6
991.8 ± 3.3100.7 ± 2.32876.7 ± 10.197.4 ± 3.5
1075.5 ± 6.4 **99.7 ± 1.42990.4 ± 9.0102.6 ± 1.0
1188.9 ± 5.098.4 ± 3.33091.0 ± 6.395.9 ± 3.3
1275.7 ± 9.1 *96.6 ± 4.63179.1 ± 3.7 **102.3 ± 5.2
1384.9 ± 4.0 *100.3 ± 1.43282.4 ± 4.7 *92.2 ± 1.3
Values are the means ± standard error of measurement, significantly different from the control group, * p < 0.05, ** p < 0.01, *** p < 0.001, n = 6. Normal (N): isolated intestine tissue; Positive control (P): Loperamide hydrochloride, final concentration was 10 μM. A: G. acuta 70% EtOH extract; B: H2O eluate from D101 resin for extract; C: 95% EtOH eluate from D101 resin for extract; D: CHCl3 layer for extract, and their final concentration was 100 μg/mL. Compounds 132: final concentration was 40 μM. Tension and frequency of normal group was set as 100%, relative tension, and frequency were calculated as: (sample/normal) × 100%.

Share and Cite

MDPI and ACS Style

Ding, Z.; Liu, Y.; Ruan, J.; Yang, S.; Yu, H.; Chen, M.; Zhang, Y.; Wang, T. Bioactive Constituents from the Whole Plants of Gentianella acuta (Michx.) Hulten. Molecules 2017, 22, 1309. https://doi.org/10.3390/molecules22081309

AMA Style

Ding Z, Liu Y, Ruan J, Yang S, Yu H, Chen M, Zhang Y, Wang T. Bioactive Constituents from the Whole Plants of Gentianella acuta (Michx.) Hulten. Molecules. 2017; 22(8):1309. https://doi.org/10.3390/molecules22081309

Chicago/Turabian Style

Ding, Zhijuan, Yanxia Liu, Jingya Ruan, Shengcai Yang, Haiyang Yu, Meiling Chen, Yi Zhang, and Tao Wang. 2017. "Bioactive Constituents from the Whole Plants of Gentianella acuta (Michx.) Hulten" Molecules 22, no. 8: 1309. https://doi.org/10.3390/molecules22081309

APA Style

Ding, Z., Liu, Y., Ruan, J., Yang, S., Yu, H., Chen, M., Zhang, Y., & Wang, T. (2017). Bioactive Constituents from the Whole Plants of Gentianella acuta (Michx.) Hulten. Molecules, 22(8), 1309. https://doi.org/10.3390/molecules22081309

Article Metrics

Back to TopTop