Identification of Onosma visianii Roots Extract and Purified Shikonin Derivatives as Potential Acaricidal Agents against Tetranychus urticae
Abstract
:1. Introduction
2. Results and Discussion
2.1. Bioactivity of Hexane Extract on T. urticae
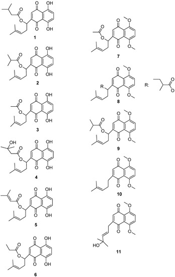
2.2. Isolation of Naphthoquinones and Structure Elucidation of Constituents
2.3. Activity of Isolated Compounds against T. urticae
3. Discussion
4. Experimentals
4.1. Plant Material
4.2. Preparation of Extracts
4.3. Isolation and Chemical Analyses
4.4. Mite Rearing
4.5. Tarsal Toxicity Tests
4.6. Effect on Oviposition
4.7. Acaricidal and Antiovipositional Effect of Compounds Isolated from the Extract
4.8. Ovicidal Effect
4.9. Statistical Analysis
5. Conclusions
Supplementary Materials
Acknowledgments
Author Contributions
Conflicts of Interest
References
- Naqqash, M.N.; Gökçe, A.; Bakhsh, A.; Salim, M. Insecticide Resistance and its Molecular Basis in Urban Insect Pests. Parasitol. Res. 2016, 115, 1363–1373. [Google Scholar] [CrossRef] [PubMed]
- Benelli, G.; Pavela, R.; Maggi, F.; Petrelli, R.; Nicoletti, M. Commentary: Making Green Pesticides Greener? The Potential of Plant Products for Nanosynthesis and Pest Control. J. Clust. Sci. 2017, 28, 3–10. [Google Scholar] [CrossRef]
- Pavela, R. History, Presence and Perspective of using Plant Extracts as Commercial Botanical Insecticides and Farm Products for Protection Against Insects—A Review. Plant Prot. Sci. 2016, 52, 229–241. [Google Scholar]
- Pavela, R.; Benelli, G. Ethnobotanical Knowledge on Botanical Repellents Employed in the African Region against Mosquito Vectors—A Review. Exp. Parasitol. 2016, 167, 103–108. [Google Scholar] [CrossRef] [PubMed]
- Pavela, R.; Benelli, G. Essential Oils as Ecofriendly Biopesticides? Challenges and Constraints. Trends Plant Sci. 2016, 21, 1000–1007. [Google Scholar] [CrossRef] [PubMed]
- Benelli, G.; Pavela, R.; Canale, A.; Nicoletti, M.; Petrelli, R.; Cappellacci, L.; Galassi, R.; Maggi, F. Isofuranodiene and Germacrone from Smyrnium olusatrum Essential Oil as Acaricides and Oviposition Inhibitors Against Tetranychus urticae: Impact of Chemical Stabilization of Isofuranodiene by Interaction with Silver Triflate. J. Pest Sci. 2017, 90, 693–699. [Google Scholar] [CrossRef]
- Zhang, Z. Mites of Greenhouses: Identification, Biology and Control; CABI Publishing: Cambridge, UK, 2003. [Google Scholar]
- Van Leeuwen, T.; Vontas, J.; Tsagkarakou, A.; Dermauw, W.; Tirry, L. Acaricide Resistance Mechanisms in the Two-Spotted Spider Mite Tetranychus urticae and Other Important Acari: A Review. Insect Biochem. Mol. Biol. 2010, 40, 563–572. [Google Scholar] [CrossRef] [PubMed]
- Kwon, D.H.; Clark, J.M.; Lee, S.H. Toxicodynamic Mechanisms and Monitoring of Acaricide Resistance in the Two-Spotted Spider Mite. Pestic. Biochem. Physiol. 2015, 121, 97–101. [Google Scholar] [CrossRef] [PubMed]
- Strid, A.; Tan, K. Mountain Flora of Greece; Edinburgh University Press: Edinburgh, UK, 1991. [Google Scholar]
- Tutin, T.G. Flora Europea; Cambridge University Press: Cambridge, UK, 1964. [Google Scholar]
- Tosun, A.; Akkol, E.K.; Bahadir, O.; Yesilada, E. Evaluation of Anti-Inflammatory and Antinociceptive Activities of some Onosma L. Species Growing in Turkey. J. Ethnopharmacol. 2008, 120, 378–381. [Google Scholar] [CrossRef] [PubMed]
- Papageorgiou, V.P.; Assimopoulou, A.N.; Couladouros, E.A.; Hepworth, D.; Nicolaou, K.C. The Chemistry and Biology of Alkannin, Shikonin, and Related Naphthazarin Natural Products. Angew. Chem. Int. Ed. 1999, 38, 270–300. [Google Scholar] [CrossRef]
- Kumar, N.; Kumar, R.; Kishore, K. Onosma L.: A Review of Phytochemistry and Ethnopharmacology. Pharmacogn. Rev. 2013, 7, 140–151. [Google Scholar] [CrossRef] [PubMed]
- Dong, M.; Liu, D.; Li, Y.; Chen, X.; Luo, K.; Zhang, Y.; Li, R. Naphthoquinones from Onosma paniculatum with Potential Anti-Inflammatory Activity. Planta Med. 2017, 83, 631–635. [Google Scholar] [CrossRef] [PubMed]
- Nikita, G.; Vivek, P.; Chhaya, G. Wound-Healing Activity of an Oligomer of alkannin/shikonin, Isolated from Root Bark of Onosma echioides. Nat. Prod. Res. 2015, 29, 1584–1588. [Google Scholar] [CrossRef] [PubMed]
- Vukic, M.D.; Vukovic, N.L.; Djelic, G.T.; Popovic, S.L.; Zaric, M.M.; Baskic, D.D.; Krstic, G.B.; Tesevic, V.V.; Kacaniova, M.M. Antibacterial and Cytotoxic Activities of Naphthoquinone Pigments from Onosma visianii Clem. EXCLI J. 2017, 16, 73–88. [Google Scholar] [PubMed]
- Babula, P.; Adam, V.; Kizek, R.; Sladký, Z.; Havel, L. Naphthoquinones as Allelochemical Triggers of Programmed Cell Death. Environ. Exp. Bot. 2009, 65, 330–337. [Google Scholar] [CrossRef]
- Akhtar, Y.; Isman, M.B.; Niehaus, L.A.; Lee, C.; Lee, H. Antifeedant and Toxic Effects of Naturally Occurring and Synthetic Quinones to the Cabbage Looper, Trichoplusia ni. Crop Prot. 2012, 31, 8–14. [Google Scholar] [CrossRef]
- Babula, P.; Adam, V.; Havel, L.; Kizek, R. Noteworthy Secondary Metabolites Naphthoquinones—Their Occurrence, Pharmacological Properties and Analysis. Curr. Pharm. Anal. 2009, 5, 47–68. [Google Scholar] [CrossRef]
- Lubbe, A.; Verpoorte, R. Cultivation of Medicinal and Aromatic Plants for Specialty Industrial Materials. Ind. Crops Prod. 2011, 34, 785–801. [Google Scholar] [CrossRef]
- Malik, S.; Bhushan, S.; Sharma, M.; Ahuja, P.S. Biotechnological Approaches to the Production of Shikonins: A Critical Review with Recent Updates. Crit. Rev. Biotechnol. 2016, 36, 327–340. [Google Scholar] [CrossRef] [PubMed]
- Lee, C.; Lee, H. Acaricidal Activity and Function of Mite Indicator using Plumbagin and its Derivatives Isolated from Diospyros kaki Thunb. Roots (Ebenaceae). J. Microbiol. Biotechnol. 2008, 18, 314–321. [Google Scholar] [PubMed]
- Akhtar, Y.; Isman, M.B.; Lee, C.-H.; Lee, S.-G.; Lee, H.-S. Toxicity of Quinones against Two-Spotted Spider Mite and Three Species of Aphids in Laboratory and Greenhouse Conditions. Ind. Crops Prod. 2012, 37, 536–541. [Google Scholar] [CrossRef]
- Tokunaga, T.; Dohmura, A.; Takada, N.; Ueda, M. Cytotoxic Antifeedant from Dionaea muscipula Ellis: A Defensive Mechanism of Carnivorous Plants against Predators. Bull. Chem. Soc. Jpn. 2004, 77, 537–541. [Google Scholar] [CrossRef]
- Khambay, B.P.S.; Batty, D.; Jewess, P.J.; Bateman, G.L.; Hollomon, D.W. Mode of Action and Pesticidal Activity of the Natural Product Dunnione and of some Analogues. Pest Manag. Sci. 2003, 59, 174–182. [Google Scholar] [CrossRef] [PubMed]
- Hari Babu, T.; Rama Subba Rao, V.; Tiwari, A.K.; Suresh Babu, K.; Srinivas, P.V.; Ali, A.Z.; Madhusudana Rao, J. Synthesis and Biological Evaluation of Novel 8-Aminomethylated Oroxylin A Analogues as α-Glucosidase Inhibitors. Bioorg. Med. Chem. Lett. 2008, 18, 1659–1662. [Google Scholar] [CrossRef] [PubMed]
- Cespedes, C.L.; Lina-Garcia, L.; Kubo, I.; Salazar, J.R.; Ariza-Castolo, A.; Alarcon, J.; Aqueveque, P.; Werner, E.; Seigler, D.S. Calceolaria Integrifolia s.l. Complex, Reduces Feeding and Growth of Acanthoscelides Obtectus, and Epilachna varivestis. A New Source of Bioactive Compounds against Dry Bean Pests. Ind. Crops Prod. 2016, 89, 257–267. [Google Scholar] [CrossRef]
- Michaelakis, A.; Strongilos, A.T.; Bouzas, E.A.; Koliopoulos, G.; Couladouros, E.A. Larvicidal Activity of Naturally Occurring Naphthoquinones and Derivatives against the West Nile Virus Vector Culex pipiens. Parasitol. Res. 2009, 104, 657–662. [Google Scholar] [CrossRef] [PubMed]
- Khambay, B.P.S.; Batty, D.; Beddie, D.G.; Denholm, I.; Cahill, M.R. A New Group of Plant-Derived Naphthoquinone Pesticides. Pestic. Sci. 1997, 50, 291–296. [Google Scholar] [CrossRef]
- Pavela, R. Efficacy of Naphthoquinones as Insecticides against the House Fly, Musca domestica L. Ind. Crops Prod. 2013, 43, 745–750. [Google Scholar] [CrossRef]
- Wakasa, F.; Watanabe, S. Kanemite (Acequinocyl, AKD-2023)—A New Acaricide for Control of various Species of Mites. Agrochem. Jpn. 2000, 17–20. [Google Scholar]
- Dekeyser, M.A. Acaricide Mode of Action. Pest Manag. Sci. 2005, 61, 103–110. [Google Scholar] [CrossRef] [PubMed]
- Meazza, G.; Dayan, F.E.; Wedge, D.E. Activity of Quinones on Colletotrichum Species. J. Agric. Food Chem. 2003, 51, 3824–3828. [Google Scholar] [CrossRef] [PubMed]
- Vennerstrom, J.L.; Eaton, J.W. Oxidants, Oxidant Drugs, and Malaria. J. Med. Chem. 1988, 31, 1269–1277. [Google Scholar] [CrossRef] [PubMed]
- Ferraz, P.A.L.; De Abreu, F.C.; Pinto, A.V.; Glezer, V.; Tonholo, J.; Goulart, M.O.F. Electrochemical Aspects of the Reduction of Biologically Active 2-Hydroxy-3-Alkyl-1,4-Naphthoquinones. J. Electroanal. Chem. 2001, 507, 275–286. [Google Scholar] [CrossRef]
- Monks, T.J.; Hanzlik, R.P.; Cohen, G.M.; Ross, D.; Graham, D.G. Quinone Chemistry and Toxicity. Toxicol. Appl. Pharmacol. 1992, 112, 2–16. [Google Scholar] [CrossRef]
- Koura, Y.; Kinoshita, S.; Takasuka, K.; Koura, S.; Osaki, N.; Matsumoto, S.; Miyoshi, H. Respiratory Inhibition of Acaricide AKD-2023 and its Deacetyl Metabolite. J. Pestic. Sci. 1998, 23, 18–21. [Google Scholar] [CrossRef]
- Nauen, R.; Bretschneider, T. New Modes of Action of Insecticides. Pestic. Outlook 2002, 13, 241–245. [Google Scholar] [CrossRef]
- Comai, S.; Dall’Acqua, S.; Grillo, A.; Castagliuolo, I.; Gurung, K.; Innocenti, G. Essential Oil of Lindera neesiana Fruit: Chemical Analysis and its Potential use in Topical Applications. Fitoterapia 2010, 81, 11–16. [Google Scholar] [CrossRef] [PubMed]
- Chaouche, T.; Haddouchi, F.; Bekkara, F.A. Identification of Shikonin from the Roots of Echium Pycnanthum Pomel. Asian J. Pharm. Clin. Res. 2012, 5, 30–32. [Google Scholar]
- Ito, Y.; Onobori, K.; Yamazaki, T.; Kawamura, Y. Tigloylshikonin, a New Minor Shikonin Derivative, from the Roots and the Commercial Root Extract of Lithospermum Erythrorhizon. Chem. Pharm. Bull. 2011, 59, 117–119. [Google Scholar] [CrossRef] [PubMed]
- Kim, J.Y.; Jeong, H.J.; Park, J.Y.; Kim, Y.M.; Park, S.J.; Cho, J.K.; Park, K.H.; Ryu, Y.B.; Lee, W.S. Selective and Slow-Binding Inhibition of Shikonin Derivatives Isolated from Lithospermum Erythrorhizon on Glycosyl Hydrolase 33 and 34 Sialidases. Bioorg. Med. Chem. 2012, 20, 1740–1748. [Google Scholar] [CrossRef] [PubMed]
- Spyros, A.; Assimopoulou, A.N.; Papageorgiou, V.P. Structure Determination of Oligomeric Alkannin and Shikonin Derivatives. Biomed. Chromatogr. 2005, 19, 498–505. [Google Scholar] [CrossRef] [PubMed]
- Pavela, R. Acaricidal Properties of Extracts and Major Furanochromenes from the Seeds of Ammi visnaga Linn. against Tetranychus urticae Koch. Ind. Crops Prod. 2015, 67, 108–113. [Google Scholar] [CrossRef]
- Abbott, W.S. A Method of Computing the Effectiveness of an Insecticide. 1925. J. Am. Mosq. Control Assoc. 1987, 3, 302–303. [Google Scholar] [PubMed]
- Finney, D. Probit Analysis; Cambridge University Press: London, UK, 1971. [Google Scholar]
Sample Availability: Samples of the compounds are available from the authors. |


| Activity | LD50 (CI95) a | LD90 (CI95) a | Chi b |
|---|---|---|---|
| Acute toxicity (tarsal test, after 24 h, μg·cm−2) | 83.2 (79.8–89.5) | 112.6 (101.5–121.8) | 0.158 |
| Chronic toxicity (tarsal test, after 5 days, μg·cm−3) | 2.6 (1.7–3.5) | 9.4 (6.2–15.5) | 0.634 |
| Oviposition inhibition (μg·cm−3) | 2.4 (2.2–3.9) | 43.5 (41.8–45.9) | 0.525 |
| Position | 8 | 11 | ||
|---|---|---|---|---|
| δH | δC | δH | δC | |
| 1 | - | 184.7 | - | 182.8 |
| 2 | - | 148.3 | - | 147.5 |
| 3 | 7.21 s | 118.9 | 6.60 t, J = 1.22 | 133.6 |
| 4 | - | 184.7 | - | 182.8 |
| 5 | - | 153.1 | - | 153.4 |
| 6 | 7.31 s | 121.1 | 7.32 s | 120.8 |
| 7 | 7.31 s | 121.1 | 7.32 s | 120.8 |
| 8 | - | 153.1 | - | 153.4 |
| 9 | - | 121.2 | - | 120.9 |
| 10 | - | 121.2 | - | 120.9 |
| OCH3 | 3.95 s | 57.3 | 3.96 s | 57.8 |
| 1′ | 3.25 d, J = 5.68 | 32.0 | 5.94 m | 70.0 |
| 2′ | 5.73 dt, J = 15.85; 5.68 | 121.8 | 2.45–2.60 m | 31.1 |
| 3′ | 5.80 d, J = 15.85 | 142.1 | 5.11 m | 117.1 |
| 4′ | - | 69.9 | - | 134.9 |
| 5′ | 1.35 s | 30.4 | 1.57 brs | 14.9 |
| 6′ | 1.27 s | 26.9 | 1.64 brs | 27.1 |
| 1′′ | - | 175.0 | ||
| 2′′ | 2.42 m | 42.4 | ||
| 3′′ | 2.25 m | 44.8 | ||
| 4′′ | 0.92 t, J = 7.32 | 12.7 | ||
| 5′′ | 1.15 d, J = 7.02 | 17.6 | ||
| 1′′′ | - | 170.0 | ||
| 2′′′ | 2.28 m | 44.9 | ||
| 3′′′ | 2.14 m | 27.1 | ||
| 4′′′ | 0.96 d, J = 6.71 | 23.9 | ||
| 5′′′ | 0.97 d, J = 6.71 | 23.9 | ||
| Compound No. | Mortality a (%) | Inhibition of Oviposition a (%) | ||||
|---|---|---|---|---|---|---|
| Adults | Nymphs | |||||
| 2nd Day | 5th Day | 2nd Day | 5th Day | 2nd Day | 5th Day | |
| 1 | 48.1 ± 5.3 | 100.0 ± 0.0 | 28.2 ± 5.1 | 100.0 ± 0.0 | 78.7 ± 8.7 | 94.5 ± 8.6 |
| 2 | 84.1±6.9 | 100.0 ± 0.0 | 84.6 ± 5.8 | 100.0 ± 0.0 | 90.3 ± 3.3 | 97.4 ± 3.5 |
| 3 | 80.1 ± 7.2 | 91.7 ± 5.8 | 58.9 ± 7.4 | 74.3 ± 5.8 | 81.8 ± 5.8 | 94.8 ± 7.1 |
| 4 | 32.1 ± 3.9 | 62.5 ± 5.2 | 58.8 ± 4.6 | 67.9 ± 4.8 | 25.4 ± 5.4 | 52.8 ± 4.9 |
| 5 | 20.1 ± 3.5 | 41.7 ± 2.5 | 57.9 ± 6.2 | 80.7 ± 5.3 | 0.8 ± 0.3 | 33.1 ± 9.1 |
| 6 | 68.2 ± 5.3 | 89.7 ± 5.2 | 69.2 ± 7.1 | 80.7 ± 5.4 | 64.8 ± 4.8 | 91.5 ± 9.5 |
| 7 | 52.3 ± 4.8 | 58.4 ± 4.3 | 84.6 ± 5.3 | 87.1 ± 7.9 | 7.2 ± 2.7 | 48.7 ± 5.7 |
| 8 | 40.3 ± 3.7 | 50.1 ± 3.9 | 67.2 ± 3.7 | 69.2 ± 4.8 | 18.1 ± 8.2 | 50.1 ± 4.2 |
| 9 | 68.2 ± 7.9 | 79.9 ± 3.8 | 74.3 ± 5.8 | 75.3 ± 5.5 | 66.1 ± 6.1 | 80.7 ± 6.9 |
| 10 | 20.6± 3.9 | 41.7 ± 3.9 | 61.5 ± 3.9 | 68.8 ± 7.2 | 9.1 ± 1.5 | 49.5 ± 7.2 |
| 11 | 44.4 ± 4.7 | 66.7 ± 4.8 | 35.8 ± 7.2 | 36.4 ± 4.6 | 34.5 ± 4.5 | 54.7 ± 8.5 |
| Dose (μg·cm−2) | Adults | Nymphs | ||||||||
|---|---|---|---|---|---|---|---|---|---|---|
| 2nd Day a | 5th Day a | LD50 b (CI95) | LD90 b (CI95) | Chi c | 2nd Day a | 5th Day a | LD50 b (CI95) | LD90 b (CI95) | Chi c | |
| 13.5 | 37.9 ± 5.8 | 92.8 ± 7.3 | 2.69 (2.25–3.17) | 15.55 (11.67–18.93) | 5.362 | 20.8 ± 7.5 | 94.4 ± 3.8 | 6.65 (3.95–8.12) | 13.16 (12.97–15.89) | 2.555 |
| 6.8 | 24.1 ± 7.2 | 67.8 ± 5.9 | 12.9 ± 3.2 | 33.6 ± 7.2 | ||||||
| 3.4 | 31.1 ± 5.9 | 57.1 ± 3.9 | 15.1 ± 4.4 | 21.3 ± 5.9 | ||||||
| 1.7 | 6.9 ± 3.8 | 35.6 ± 4.9 | 2.1 ± 0.8 | 3.3 ± 2.1 | ||||||
| 0.8 | 10.3 ± 5.5 | 21.4 ± 5.2 | 0.0 ± 0.0 | 0.0 ± 0.0 | ||||||
| Control | 9.6 ± 0.2 | 9.6 ± 0.2 | 16.6 ± 3.3 | 18.5 ± 1.3 | ||||||
| Dose (μg·cm−2) | Adults | Nymphs | ||||||||
|---|---|---|---|---|---|---|---|---|---|---|
| 2nd Day a | 5th Day a | LD50 b (CI95) | LD90 b (CI95) | Chi c | 2nd Day a | 5th Day a | LD50 b (CI95) | LD90 b (CI95) | Chi c | |
| 13.5 | 75.8 ± 5.8 | 100.0 ± 0.0 | 1.06 (0.89–1.26) | 4.15 (3.43–5.32) | 3.121 | 20.8 ± 7.5 | 100.0 ± 0.0 | 1.65 (0.61–2.82) | 6.67 (5.98–8.16) | 1.292 |
| 6.8 | 44.9 ± 5.2 | 96.4 ± 2.6 | 12.9 ± 3.2 | 94.4 ± 3.5 | ||||||
| 3.4 | 24.2 ± 3.9 | 82.1 ± 6.2 | 15.1 ± 4.4 | 61.8 ± 3.2 | ||||||
| 1.7 | 20.7 ± 5.1 | 71.4 ± 5.5 | 2.1 ± 0.8 | 48.7 ± 2.1 | ||||||
| 0.8 | 1.1 ± 0.1 | 39.2 ± 4.9 | 0.0 ± 0.0 | 32.2 ± 2.5 | ||||||
| Control | 9.6 ± 0.2 | 9.6 ± 0.2 | 16.6 ± 3.3 | 18.5 ± 1.3 | ||||||
| Dose (μg·cm−2) | Isobutyrylshikonin | Isovalerylshikonin | ||||||||
|---|---|---|---|---|---|---|---|---|---|---|
| Eggs/Female ± SD a | Inhibition Oviposition (% ± SD) b | ED50 (CI95) c | ED90 (CI95) c | Chi d | Eggs/Female ± SD a | Inhibition Oviposition (% ± SD) b | ED50 (CI95) c | ED90 (CI95) c | Chi d | |
| 13.5 | 2.6 ± 0.3 | 91.1 ± 3.2 | 2.71 (1.79–3.96) | 9.31 (8.97–15.56) | 2.524 | 0.3 ± 0.1 | 98.8 ± 2.1 | 1.15 (0.02–1.29) | 2.75 (2.38–3.34) | 2.253 |
| 6.8 | 4.3 ± 1.1 | 85.9 ± 5.5 | 0.9 ± 0.2 | 97.0 ± 3.5 | ||||||
| 3.4 | 11.2 ± 0.9 | 62.7 ± 4.3 | 2.5 ± 0.8 | 91.7 ± 2.8 | ||||||
| 1.7 | 19.3 ± 1.1 | 36.1 ± 4.6 | 7.5 ± 0.8 | 75.1 ± 3.1 | ||||||
| 0.8 | 28.4 ± 2.1 | 5.4 ± 0.9 | 21.6 ± 1.8 | 28.1 ± 1.7 | ||||||
| Control | 30.1 ± 4.5 | - | 30.1 ± 4.5 | - | ||||||
| Dose μg·cm−2 | Isobutyrylshikonin | Isovalerylshikonin | ||||||
|---|---|---|---|---|---|---|---|---|
| Mortality of Eggs (%) a | ED50 b (CI95) | ED90 b (CI95) | Chi c | Mortality of Eggs (%) a | ED50 b (CI95) | ED90 b (CI95) | Chi c | |
| 13.5 | 58.9 ± 6.5 | 9.7 (7.8–12.8) | 60.6 (58.9–92.2) | 1.546 | 100.0 ± 0.0 | 2.1 (1.7–2.3) | 5.4 (4.5–7.6) | 1.478 |
| 6.8 | 43.3 ± 5.5 | 95.6 ± 7.6 | ||||||
| 3.4 | 18.6 ± 3.9 | 70.7 ± 3.8 | ||||||
| 1.7 | 10.5 ± 3.6 | 42.3 ± 5.2 | ||||||
| 0.8 | 5.3 ± 0.8 | 27.3 ± 5.9 | ||||||
| Control | 1.2 ± 0.2 | 1.2 ± 0.2 | ||||||
© 2017 by the authors. Licensee MDPI, Basel, Switzerland. This article is an open access article distributed under the terms and conditions of the Creative Commons Attribution (CC BY) license (http://creativecommons.org/licenses/by/4.0/).
Share and Cite
Sut, S.; Pavela, R.; Kolarčik, V.; Cappellacci, L.; Petrelli, R.; Maggi, F.; Dall’Acqua, S.; Benelli, G. Identification of Onosma visianii Roots Extract and Purified Shikonin Derivatives as Potential Acaricidal Agents against Tetranychus urticae. Molecules 2017, 22, 1002. https://doi.org/10.3390/molecules22061002
Sut S, Pavela R, Kolarčik V, Cappellacci L, Petrelli R, Maggi F, Dall’Acqua S, Benelli G. Identification of Onosma visianii Roots Extract and Purified Shikonin Derivatives as Potential Acaricidal Agents against Tetranychus urticae. Molecules. 2017; 22(6):1002. https://doi.org/10.3390/molecules22061002
Chicago/Turabian StyleSut, Stefania, Roman Pavela, Vladislav Kolarčik, Loredana Cappellacci, Riccardo Petrelli, Filippo Maggi, Stefano Dall’Acqua, and Giovanni Benelli. 2017. "Identification of Onosma visianii Roots Extract and Purified Shikonin Derivatives as Potential Acaricidal Agents against Tetranychus urticae" Molecules 22, no. 6: 1002. https://doi.org/10.3390/molecules22061002
APA StyleSut, S., Pavela, R., Kolarčik, V., Cappellacci, L., Petrelli, R., Maggi, F., Dall’Acqua, S., & Benelli, G. (2017). Identification of Onosma visianii Roots Extract and Purified Shikonin Derivatives as Potential Acaricidal Agents against Tetranychus urticae. Molecules, 22(6), 1002. https://doi.org/10.3390/molecules22061002

