Metajapogenins A–C, Pregnane Steroids from Shells of Metaplexis japonica
Abstract
:1. Introduction
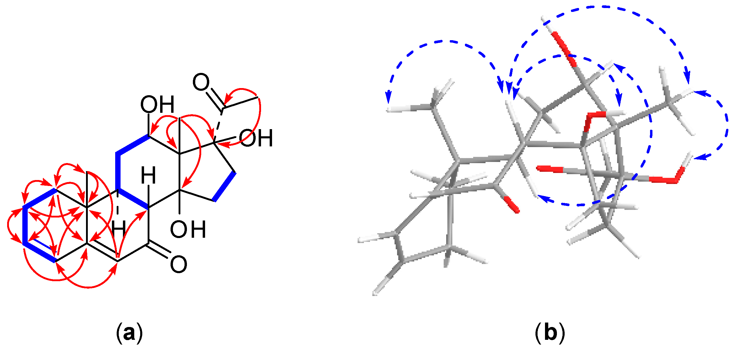
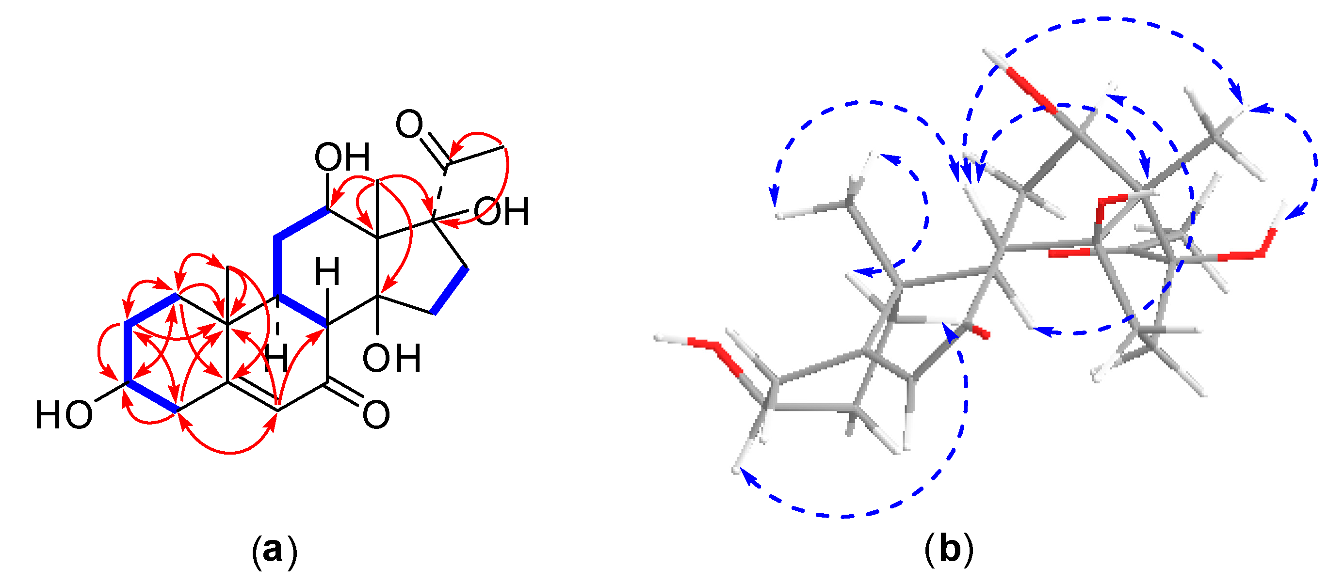
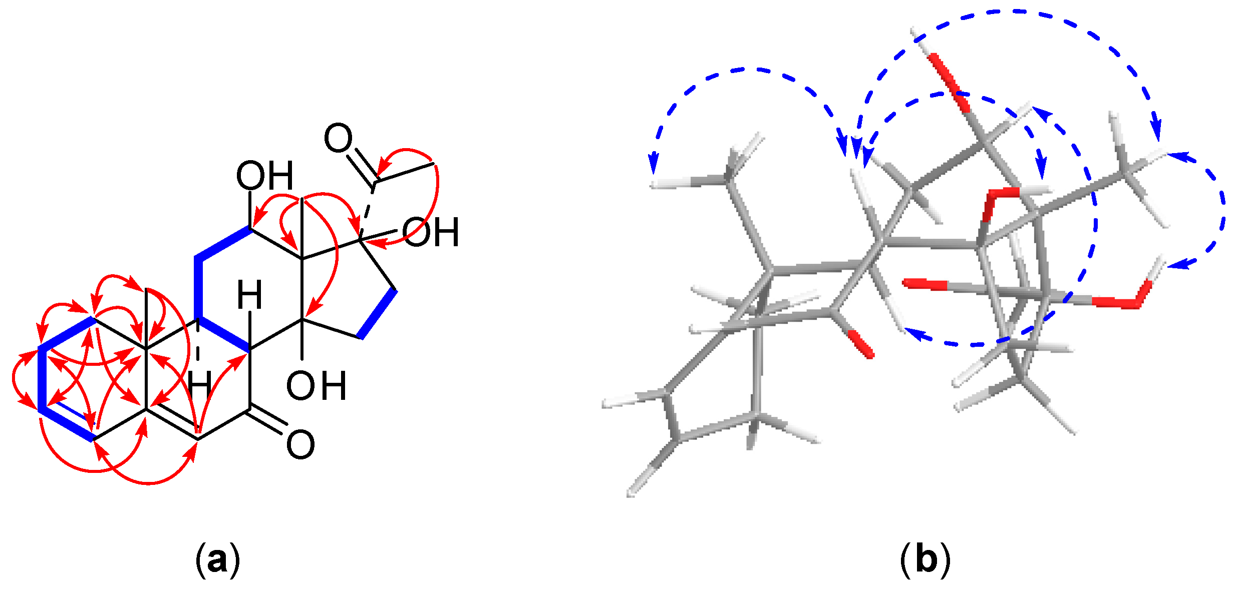
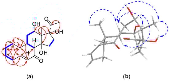
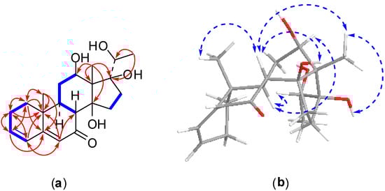
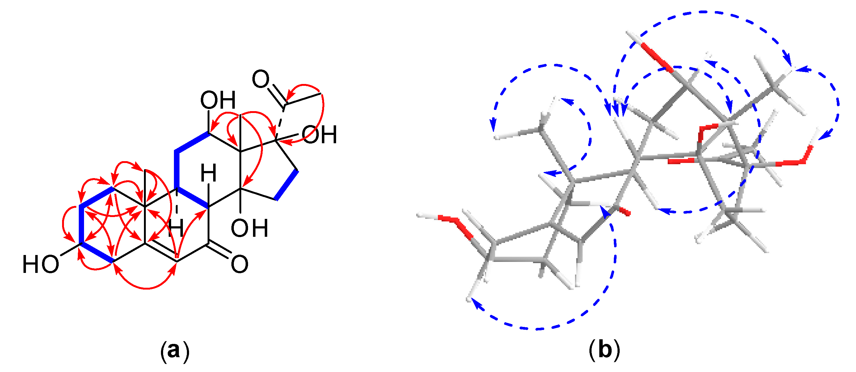
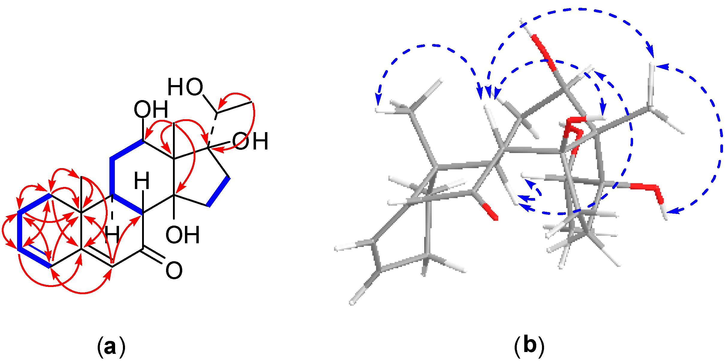
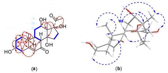
2. Results and Discussion
3. Materials and Methods
3.1. General Experimental Procedures
3.2. Plant Material
3.3. Extraction and Isolation
4. Conclusions
Acknowledgments
Author Contributions
Conflicts of Interest
References
- Jiang, Y. Asclepiadaceae. In Flora of China; Flora of China Editorial Committee, Ed.; Science Press: Beijing, China, 1977; Volume 63, pp. 403–406. [Google Scholar]
- Li, B.T.; Stevens, W.D. Asclepiadaceae. In Flora of China; Flora of China Editorial Committee, Ed.; Science Press: Beijing, China; Missouri Botanical Garden Press: St. Louis, MO, USA, 1995; Volume 16, pp. 204–205. [Google Scholar]
- Warashina, T.; Noro, T. Steroidal glycosides from the roots of Metaplexis japonica. Phytochemistry 1998, 49, 2103–2108. [Google Scholar] [CrossRef]
- Warashina, T.; Noro, T. Steroidal glycosides from the roots of Metaplexis japonica M. Part II. Chem. Pharm. Bull. 1998, 46, 1752–1757. [Google Scholar] [CrossRef]
- Nomura, T.; Fukai, T.; Kuramochi, T. Components of Metaplexis japonica Makino. Planta Med. 1981, 41, 206–207. [Google Scholar] [CrossRef] [PubMed]
- Nomura, T.; Yamada, S.; Mitsuhashi, H. Studies on the constituents of Asclepiadaceae plants. XLV. On the components of Metaplexis japonica Makino. VI. The structures of 7-oxygenated-pregnane derivatives. Chem. Pharm. Bull. 1979, 27, 508–514. [Google Scholar] [CrossRef]
- Mitsuhashi, H.; Nomura, T.; Hirano, M. Studies on the constituents of Asclepiadaceae plants. XIX. Components of Metaplexis japonica Makino. IV. Chem. Pharm. Bull. 1966, 14, 717–726. [Google Scholar] [CrossRef] [PubMed]
- Mitsuhashi, H.; Nomura, T. Studies on the constituents of Asclepiadaceae plants. XVI. On the components of Metaplexis japonica Makino. 3. The structure of benzoylramanone. Chem. Pharm. Bull. 1965, 13, 1332–1340. [Google Scholar] [CrossRef] [PubMed]
- Mitsuhashi, H.; Nomura, T. Studies on the constituents of Asclepiadaceae plants. XV. On the components of Metaplexis japonica Makino. II. Chem. Pharm. Bull. 1965, 13, 274–280. [Google Scholar] [CrossRef] [PubMed]
- Kang, S.S.; Kim, J. Flavonol glycosides from the aerial parts of Metaplexis japonica. Korean J. Pharmacogn. 2012, 43, 206–212. [Google Scholar]
- Wang, D.C.; Sun, S.H.; Shi, L.N.; Qiu, D.R.; Li, X.; Wei, D.S.; Zhang, Y.M.; Qin, J.C. Chemical composition, antibacterial and antioxidant activity of the essential oils of Metaplexis japonica and their antibacterial components. Int. J. Food Sci. Technol. 2015, 50, 449–457. [Google Scholar] [CrossRef]
- Hong, J.Y.; Shin, S.R. Study of antioxidant activities of extracts from Metaplexis japonica leaf and stem. Korean J. Food Preserv. 2015, 22, 878–885. [Google Scholar] [CrossRef]
- Wang, B.Q. In vitro antioxidant activity Metaplexis japonica Makino extract and derivatives. Adv. Mater. Res. 2014, 955–959, 387–389. [Google Scholar] [CrossRef]
- Jia, L.; Guo, B. A preliminary study of the effects of the extracts of Metaplexis japonica polysaccharides on the immune supression of the immune organs and the lymphocyte proliferation of mice. J. Liaoning Med. Univ. 2011, 32, 401–402, 412. [Google Scholar]
- Lee, D.; Pandit, N.R.; Jamarkattel, N.; Kim, J.G.; Kim, M.Y.; Song, M.; Park, J.; Lim, D.; Kim, J.Y.; Bu, Y.; et al. Neuroprotective effects of Metaplexis japonica on global and focal cerebral ischemia rat models. J. Cerebr. Blood Flow Met. 2009, 59, S435. [Google Scholar]
- Gao, H.; Wang, W.; Chu, W.X.; Liu, K.; Liu, Y.; Liu, X.H.; Yao, H.L.; Gao, Q. Paniculatumoside G, a new C21 steroidal glycoside from Cynanchum paniculatum. Rev. Bras. Farmacogn. 2017, 27, 54–58. [Google Scholar] [CrossRef]
- Chu, W.X.; Liu, X.H.; Liu, K.; Huo, L.N.; Yao, H.L.; Gao, Q.; Gao, H.; Wang, W. Chemical constituents from active fraction in roots and rhizomes of Cynanchum paniculatum with reversal activity of multdrug resistance. Chin. Tradit. Herb. Drugs 2015, 18, 2674–2679. [Google Scholar]
- Fan, M.L.; Liu, X.H.; Chu, W.X.; Guo, B.H.; Liu, K.; Wang, W. Isolation and identification of seco-pregnane-type steroids from Cynanchum ascyrifolium. Med. Plant 2014, 5, 10–13. [Google Scholar]
- Kamel, M.S.; Ohtani, K.; Hasanain, H.A.; Mohamed, M.H.; Kasai, R.; Yamasaki, K. Monoterpene and pregnane glucosides from Solenostemma argel. Phytochemistry 2000, 53, 937–940. [Google Scholar] [CrossRef]
- Bai, H.; Li, W.; Koike, K.; Staou, T.; Chen, Y.J.; Nikaido, T. Cynanosides A–J, ten novel pregnane glycosides from Cynanchum atratum. Tetrahedron 2005, 61, 5797–5811. [Google Scholar] [CrossRef]
- Zhang, J.; Liang, Y.; Wang, K.L.; Liao, X.J.; Deng, Z.; Xu, S.H. Antifouling steroids from the South China Sea gorgonian coral Subergorgia suberosa. Steroids 2014, 79, 1–6. [Google Scholar] [CrossRef] [PubMed]
- Chen, Z.S.; Lai, J.S.; Kuo, Y.H. A new steroidal glycoside, Cynanformoside C, from the aerial part of Cynanchum formosanum. Chem. Express 1991, 8, 559–562. [Google Scholar]
Sample Availability: Samples of the compounds are available from the authors. |




| Position | 1 | 2 | 3 |
|---|---|---|---|
| 1 | 32.6 | 32.7 | 36.4 |
| 2 | 23.5 | 23.5 | 31.8 |
| 3 | 139.4 | 139.5 | 69.8 |
| 4 | 127.5 | 127.5 | 43.0 |
| 5 | 164.2 | 164.3 | 171.0 |
| 6 | 124.0 | 123.7 | 126.0 |
| 7 | 203.0 | 203.4 | 202.5 |
| 8 | 48.5 | 48.4 | 48.0 |
| 9 | 43.4 | 43.2 | 44.0 |
| 10 | 36.2 | 36.2 | 38.3 |
| 11 | 31.8 | 30.9 | 31.8 |
| 12 | 67.2 | 69.4 | 67.3 |
| 13 | 59.3 | 57.9 | 59.2 |
| 14 | 87.8 | 87.5 | 87.7 |
| 15 | 31.6 | 30.9 | 31.9 |
| 16 | 33.6 | 31.8 | 33.6 |
| 17 | 91.7 | 87.6 | 91.7 |
| 18 | 7.8 | 9.2 | 7.8 |
| 19 | 16.5 | 16.4 | 17.4 |
| 20 | 209.1 | 73.1 | 209.1 |
| 21 | 27.7 | 18.3 | 27.8 |
| Position | 1 | 2 | 3 |
|---|---|---|---|
| 1 | 1.21 (1H, m) | 1.21 (1H, m) | 1.17 (1H, ddd, J = 13.7, 13.4, 3.5 Hz) |
| 1.80 (1H, m) | 1.81 (1H, m) | 1.86 (1H, m) | |
| 2 | 2.03 (1H, m) | 2.08 (1H, m) | 1.80 (1H, m) |
| 2.15(1H, m) | 2.14 (1H, m) | 2.18 (1H, m) | |
| 3 | 6.16 (1H, m) | 6.16 (1H, m) | 3.89 (1H, m) |
| 4 | 6.09 (1H, dd, J = 9.8, 1.9 Hz) | 6.09 (1H, br d, 9.8 Hz) | 2.60 (1H, m) |
| 2.75 (1H, m) | |||
| 6 | 5.80 (1H, s) | 5.80 (1H, s) | 5.87 (1H, s) |
| 8 | 2.82 (1H, d, J = 12.9 Hz) | 2.82 (1H, d, J = 12.9 Hz) | 2.71 (1H, d, J = 12.9 Hz) |
| 9 | 1.83 (1H, ddd, J = 12.9, 9.9, 3.0 Hz) | 1.83 (1H, ddd, J = 12.9, 9.9, 3.0 Hz) | 1.78 (1H, m) |
| 11 | 2.07 (1H, m) | 2.04 (1H, m) | 1.99 (1H, m) |
| 2.12 (1H, m) | 2.10 (1H, m) | 2.06 (1H, m) | |
| 12 | 3.78 (1H, dd, J = 11.4, 4.5 Hz) | 3.78 (1H, dd, J = 11.4, 4.5 Hz) | 3.79 (1H, m) |
| 15 | 1.72 (1H, m) | 1.75 (1H, m) | 1.75 (1H, m) |
| 1.90 (1H, m) | 2.06 (1H, m) | 1.92 (1H, m) | |
| 16 | 2.10 (1H, m) | 1.92 (1H, m) | 2.11 (1H, m) |
| 3.42 (1H, m) | 2.08 (1H, m) | 3.43 (1H, m) | |
| 18 | 1.70 (3H, s) | 1.70 (3H, s) | 1.69 (3H, s) |
| 19 | 1.01 (3H, s) | 1.00 (3H, s) | 1.12 (3H, s) |
| 20 | 4.28 (1H, m) | ||
| 21 | 2.62 (3H, s) | 1.60 (3H, d, J = 6.4 Hz) | 2.63 (3H, s) |
| 3-OH | 6.62 (1H, br s) | ||
| 12-OH | 6.41 (1H, br s) | 6.96 (1H, br s) | 6.44 (1H, br s) |
| 14-OH | 6.04 (1H, s) | 6.25 (1H, s) | 5.88 (1H, s) |
| 17-OH | 5.18 (1H, s) | 6.53 (1H, s) | 5.23 (1H, s) |
© 2017 by the authors. Licensee MDPI, Basel, Switzerland. This article is an open access article distributed under the terms and conditions of the Creative Commons Attribution (CC BY) license (http://creativecommons.org/licenses/by/4.0/).
Share and Cite
Yao, H.-L.; Liu, Y.; Liu, X.-H.; Gao, H.; Liu, K.; Shao, Y.-L.; Fang, X.-Y.; Wang, W. Metajapogenins A–C, Pregnane Steroids from Shells of Metaplexis japonica. Molecules 2017, 22, 646. https://doi.org/10.3390/molecules22040646
Yao H-L, Liu Y, Liu X-H, Gao H, Liu K, Shao Y-L, Fang X-Y, Wang W. Metajapogenins A–C, Pregnane Steroids from Shells of Metaplexis japonica. Molecules. 2017; 22(4):646. https://doi.org/10.3390/molecules22040646
Chicago/Turabian StyleYao, Hui-Li, Yang Liu, Xiao-Hong Liu, Hua Gao, Kun Liu, Yan-Lin Shao, Xin-Yu Fang, and Wei Wang. 2017. "Metajapogenins A–C, Pregnane Steroids from Shells of Metaplexis japonica" Molecules 22, no. 4: 646. https://doi.org/10.3390/molecules22040646
APA StyleYao, H.-L., Liu, Y., Liu, X.-H., Gao, H., Liu, K., Shao, Y.-L., Fang, X.-Y., & Wang, W. (2017). Metajapogenins A–C, Pregnane Steroids from Shells of Metaplexis japonica. Molecules, 22(4), 646. https://doi.org/10.3390/molecules22040646

