Profiling and Preparation of Metabolites from Pyragrel in Human Urine by Online Solid-Phase Extraction Coupled with High Performance Liquid Chromatography Tandem Mass Spectrometry Followed by a Macroporous Resin-Based Purification Approach
Abstract
:1. Introduction
2. Results and Discussion
2.1. Identification of Metabolites in Human Urine
2.1.1. Optimization of Online SPE-HPLC and MS Conditions
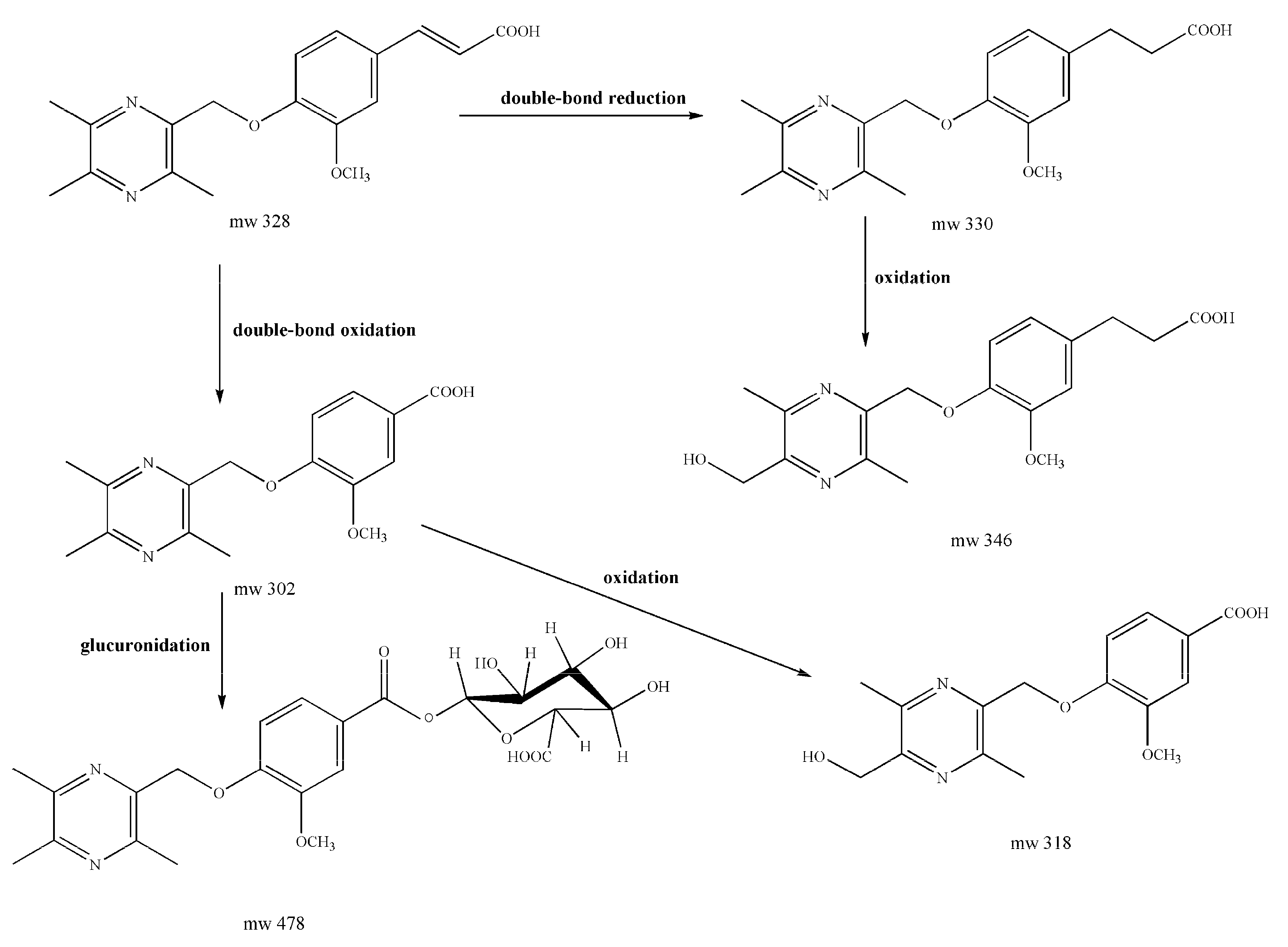
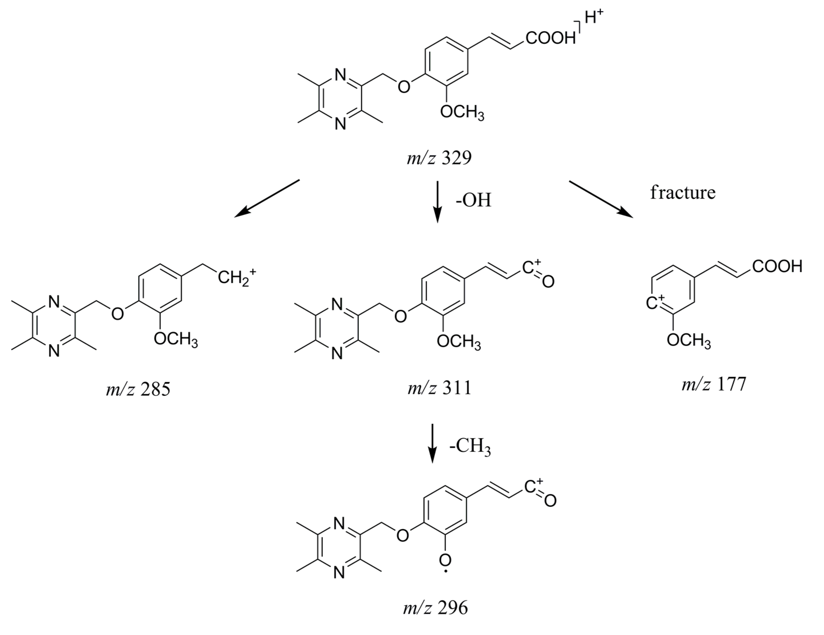
2.1.2. Identification of Pyragrel and Its Metabolites
2.2. Preparation of Major Metabolites
2.2.1. Hydrolysis Reaction
2.2.2. Macroporous Resin Purification
2.2.3. Preparative High-Performance Liquid Chromatography
3. Experimental Section
3.1. Chemicals and Reagents
3.2. Urine Samples
3.3. SPE-HPLC-MSn Instrumentation
3.4. UPLC-TOF MS Instrumentation
3.5. Preparation of Major Metabolites
3.6. Nuclear Magnetic Resonance Analysis
4. Conclusions
Supplementary Materials
Acknowledgments
Author Contributions
Conflicts of Interest
References
- Sharma, R.K.; Reddy, H.K.; Singh, V.N.; Sharma, R.; Voelker, D.J.; Bhatt, G. Aspirin and clopidogrel hyporesponsiveness and nonresponsiveness in patients with coronary artery stenting. Vasc. Health Risk Manag. 2009, 5, 965–972. [Google Scholar] [CrossRef] [PubMed]
- Jackson, L.R., 2nd; Ju, C.; Zettler, M.; Messenger, J.C.; Cohen, D.J.; Stone, G.W.; Baker, B.A.; Effron, M.; Peterson, E.D.; Wang, T.Y. Outcomes of patients with acute myocardial infarction undergoing percutaneous coronary intervention receiving an oral anticoagulant and dual antiplatelet therapy: A comparison of clopidogrel versus prasugrel from the TRANSLATE-ACS study. JACC Cardiovasc. Interv. 2015, 8, 1880–1889. [Google Scholar] [CrossRef] [PubMed]
- O’Donoghue, M.L.; Bhatt, D.L.; Stone, G.W.; Steg, P.G.; Gibson, C.M.; Hamm, C.W.; Price, M.J.; Prats, J.; Liu, T.; Deliargyris, E.N.; et al. Efficacy and safety of cangrelor in women versus men during percutaneous coronary intervention: Insights from the cangrelor versus standard therapy to achieve optimal management of platelet inhibition (CHAMPION PHOENIX) trial. Circulation 2016, 133, 248–255. [Google Scholar]
- Kowalczyk, M.; Banach, M.; Mikhailidis, D.P.; Hannam, S.; Rysz, J. Ticagrelor—A new platelet aggregation inhibitor in patients with acute coronary syndromes. An improvement of other inhibitors? Med. Sci. Monit. 2009, 15, MS24–MS30. [Google Scholar] [PubMed]
- Commission, C.P. The Pharmacopoeia of People’s Republic of China; China Medical Science and Technology Press: Beijing, China, 2015. [Google Scholar]
- Alam, M.A.; Sernia, C.; Brown, L. Ferulic acid improves cardiovascular and kidney structure and function in hypertensive rats. J. Cardiovasc. Pharmacol. 2013, 61, 240–249. [Google Scholar] [CrossRef] [PubMed]
- Huang, W.; Yang, Y.; Zeng, Z.; Su, M.; Gao, Q.; Zhu, B. Effect of salvia miltiorrhiza and ligustrazine injection on myocardial ischemia/reperfusion and hypoxia/reoxygenation injury. Mol. Med. Rep. 2016, 14, 4537–4544. [Google Scholar] [CrossRef] [PubMed]
- Liu, X.; Li, X.; Ji, S.; Cui, X.; Li, M. Screening of bioactive ingredients in ligusticum chuanxiong hort for protection against myocardial ischemia. Cell. Physiol. Biochem. 2016, 40, 770–780. [Google Scholar] [CrossRef] [PubMed]
- Ran, X.; Ma, L.; Peng, C.; Zhang, H.; Qin, L.P. Ligusticum chuanxiong hort: A review of chemistry and pharmacology. Pharm. Biol. 2011, 49, 1180–1189. [Google Scholar] [CrossRef] [PubMed]
- Wang, Y.; Zhu, H.; Tong, J.; Li, Z. Ligustrazine improves blood circulation by suppressing platelet activation in a rat model of allergic asthma. Environ. Toxicol. Pharmacol. 2016, 45, 334–339. [Google Scholar] [CrossRef] [PubMed]
- Yu, T.; Guo, X.; Zhang, Z.; Liu, R.; Zou, L.; Fu, J.; Shi, Z. Meta-analysis of the clinical effectiveness and safety of ligustrazine in cerebral infarction. Evid. Based Complement. Altern. Med. 2016, 2016, 3595946. [Google Scholar] [CrossRef] [PubMed]
- Bao, X.; Li, C.H.; Xu, J.; Wu, Y.L. Vasodilation effect of MC-002 and its possible mechanisms. Chin. J. Clin. Pharmacol. Ther. 2012, 17, 1001–1006. [Google Scholar]
- Zhang, E.L.; Zhong, G.C.; Li, J.M.; He, G.W.; Huang, W.J.; Wang, J. Synthesis and anti-platelet aggregation activities of novel tetrahydrothienopyridine aromatic ether acid derivatives. Chin. J. Synth. Chem. 2015, 23, 277–283. [Google Scholar]
- Xie, D.; Zhang, E.L.; Li, J.M.; Wang, J.; He, G.W. Design, synthesis and anti-platelet aggregation activities of ligustrazine-tetrahydroisoquinoline derivatives. Acta Pharm. Sin. 2015, 50, 326–331. [Google Scholar]
- Zeng, S.N.; He, G.W.; Wu, Q.; Yuan, X.Y.; Wu, Y.L. Therapeutic time window of MC-002 on focal cerebral ischemia-reperfusion rats. Chin. J. Clin. Pharmacol. Ther. 2011, 16, 867–873. [Google Scholar]
- Fang, W.; Wei, J.; Han, D.; Chen, X.; He, G.; Wu, Q.; Chu, S.; Li, Y. MC-002 exhibits positive effects against platelets aggregation and endothelial dysfunction through thromboxane A2 inhibition. Thromb. Res. 2014, 133, 610–615. [Google Scholar] [CrossRef] [PubMed]
- Navarrete, A.; Martinez-Alcazar, M.P.; Duran, I.; Calvo, E.; Valenzuela, B.; Barbas, C.; Garcia, A. Simultaneous online SPE-HPLC-MS/MS analysis of docetaxel, temsirolimus and sirolimus in whole blood and human plasma. J. Chromatogr. B Anal. Technol. Biomed. Life Sci. 2013, 921–922, 35–42. [Google Scholar] [CrossRef] [PubMed]
- Li, D.Q.; Zhang, Z.Q.; Yang, X.L.; Zhou, C.H.; Qi, J.L. Online restricted-access material combined with high-performance liquid chromatography and tandem mass spectrometry for the simultaneous determination of vanillin and its vanillic acid metabolite in human plasma. J. Sep. Sci. 2016, 39, 3318–3326. [Google Scholar] [CrossRef] [PubMed]
- Ma, Q.; Ma, C.; Wu, F.; Xiong, Y.K.; Feng, Y.; Liang, S. Preparation and structural determination of four metabolites of senkyunolide I in rats using ultra performance liquid chromatography/quadrupole-time-of-flight tandem mass and nuclear magnetic resonance spectra. BMC Complement. Altern. Med. 2016, 16, 504. [Google Scholar] [CrossRef] [PubMed]
- Lautenschlager, M.; Lechtenberg, M.; Sendker, J.; Hensel, A. Effective isolation protocol for secondary metabolites from saffron: Semi-preparative scale preparation of crocin-1 and trans-crocetin. Fitoterapia 2014, 92, 290–295. [Google Scholar] [CrossRef] [PubMed]
- Wu, J.Y.; Gao, F.Y.; Ye, X.L.; Liu, H.; Fan, G.R.; He, G.W. Chuan’agelei and its flatten structure ferulic acid and ligustrazine: Mass fragmentation pathway. Acad. J. Second Mil. Med. Univ. 2012, 33, 755–758. [Google Scholar] [CrossRef]
- Sample Availability: Samples of the Pyragrel are available from the authors.






| No. | tR (min) | Parent Ions ([M + H]+, m/z) | MSn (m/z) | Accurate Ion (m/z) and Deduced Molecular Formula by TOF MS | Reaction Type |
|---|---|---|---|---|---|
| M1 | 4.23 | 479 | MS2: 303(100) MS3: 285, 259, 136 | 479.1666; C22H26N2O10 | glucuronidation |
| M2 | 5.53 | 319 | MS2: 301(100), 275, 151 MS3: 283, 260, 151 | 319.1293; C16H18N2O5 | oxidation |
| M3 | 11.57 | 347 | MS2: 329(100), 311 MS3: 311, 269 | 347.1605; C18H22N2O5 | oxidation |
| M4 | 14.03 | 303 | MS2: 285, 259, 151, 136(100) MS3(285): 257, 244 | 303.1350; C16H18N2O4 | double-bond oxidation |
| M5 | 19.59 | 331 | MS2: 313(100) MS3: 298, 271, 191, 135 | 331.1659 C18H22N2O4 | double-bond reduction |
| Pyragrel | 20.10 | 329 | MS2: 311(100), 285, 177 MS3: 296 | 329.1501 C18H20N2O4 |
| SPE Pump (Left Pump) | Analytical Pump (Right Pump) | Valve | |||||||
|---|---|---|---|---|---|---|---|---|---|
| Time (min) | Flow rate (mL/min) | Solvent A a (%) | Solvent B b (%) | Time (min) | Flow Rate (mL/min) | Solvent A a (%) | Solvent B b (%) | Switch Time (min) | Valve State |
| 0 | 1 | 100 | 0 | 0 | 1 | 85 | 15 | 0 | 1-2 |
| 0.5 | 1 | 85 | 15 | 5 | 1 | 85 | 15 | 0.5 | 6-1 |
| 1 | 0.3 | 10 | 90 | 15 | 1 | 80 | 20 | 1 | 1-2 |
| 25 | 0.3 | 10 | 90 | 20 | 1 | 70 | 30 | ||
| 26 | 1 | 100 | 0 | 25 | 1 | 70 | 30 | ||
| 30 | 1 | 100 | 0 | 25.1 | 1 | 85 | 15 | ||
| 30 | 1 | 85 | 15 | ||||||
© 2017 by the authors. Licensee MDPI, Basel, Switzerland. This article is an open access article distributed under the terms and conditions of the Creative Commons Attribution (CC BY) license ( http://creativecommons.org/licenses/by/4.0/).
Share and Cite
Zhao, X.; Jiang, J.; Yang, G.; Huang, J.; Yang, G.; He, G.; Chu, Z.; Hang, T.; Fan, G. Profiling and Preparation of Metabolites from Pyragrel in Human Urine by Online Solid-Phase Extraction Coupled with High Performance Liquid Chromatography Tandem Mass Spectrometry Followed by a Macroporous Resin-Based Purification Approach. Molecules 2017, 22, 494. https://doi.org/10.3390/molecules22030494
Zhao X, Jiang J, Yang G, Huang J, Yang G, He G, Chu Z, Hang T, Fan G. Profiling and Preparation of Metabolites from Pyragrel in Human Urine by Online Solid-Phase Extraction Coupled with High Performance Liquid Chromatography Tandem Mass Spectrometry Followed by a Macroporous Resin-Based Purification Approach. Molecules. 2017; 22(3):494. https://doi.org/10.3390/molecules22030494
Chicago/Turabian StyleZhao, Xin, Jingjing Jiang, Guang Yang, Jie Huang, Guoping Yang, Guangwei He, Zhaoxing Chu, Taijun Hang, and Guorong Fan. 2017. "Profiling and Preparation of Metabolites from Pyragrel in Human Urine by Online Solid-Phase Extraction Coupled with High Performance Liquid Chromatography Tandem Mass Spectrometry Followed by a Macroporous Resin-Based Purification Approach" Molecules 22, no. 3: 494. https://doi.org/10.3390/molecules22030494
APA StyleZhao, X., Jiang, J., Yang, G., Huang, J., Yang, G., He, G., Chu, Z., Hang, T., & Fan, G. (2017). Profiling and Preparation of Metabolites from Pyragrel in Human Urine by Online Solid-Phase Extraction Coupled with High Performance Liquid Chromatography Tandem Mass Spectrometry Followed by a Macroporous Resin-Based Purification Approach. Molecules, 22(3), 494. https://doi.org/10.3390/molecules22030494
