Analysis of Chemical Constituents of Melastoma dodecandrum Lour. by UPLC-ESI-Q-Exactive Focus-MS/MS
Abstract
:1. Introduction
2. Results and Discussion
2.1. Fragmentation Pattern of Main Compounds
2.1.1. Flavonoids
2.1.2. Pentacyclic Triterpenes
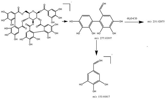
2.1.3. Tannins
2.1.4. Organic Acids
3. Materials and Methods
3.1. Chemicals and Reagents
3.2. Plant Materials and Sample Preparation
3.3. UPLC-ESI-Q-Exactive Focus-MS/MS Analysis
3.4. Optimization of Analytical Conditions
3.5. Structure Analysis Procedure
4. Conclusions
Acknowledgments
Author Contributions
Conflicts of Interest
References
- Zhang, Z.; Wang, X.; Wang, J.; Jia, Z.; Liu, Y.; Xie, X.; Wang, C.; Jia, W. Metabonomics Approach to Assessing the Metabolism Variation and Endoexogenous Metabolic Interaction of Ginsenosides in Cold Stress Rats. J. Proteome Res. 2016, 15, 1842–1852. [Google Scholar] [CrossRef] [PubMed]
- Zhang, Z.H.; Vaziri, N.D.; Wei, F.; Cheng, X.L.; Bai, X.; Zhao, Y.Y. An integrated lipidomics and metabolomics reveal nephroprotective effect and biochemical mechanism of Rheum officinale in chronic renal failure. Sci. Rep. 2016, 6, 22151. [Google Scholar] [CrossRef] [PubMed]
- Yang, Y.; Zhang, Z.; Li, S.; Ye, X.; Li, X.; He, K. Synergy effects of herb extracts: Pharmacokinetics and pharmacodynamic basis. Fitoterapia 2014, 92, 133–147. [Google Scholar] [CrossRef] [PubMed]
- Yu, Z.C.; Lin, X.X.; Su, J.Q.; Lin, Q.J.; Chen, Z.D. Advance in Melastoma dodecandrum Lour. Researches. Med. Plant 2011, 2, 63–67. [Google Scholar]
- Zhang, R.Z. Studies on the Chemical Constituents of Melastoma dodecandrum L. and Achillea alpine. Master’s Thesis, Fudan University, Shanghai, China, 2013. [Google Scholar]
- Cheng, M. Studies on the Chemical Constituents of Melastoma dodecandrum L. Master’s Thesis, Jinan University, Guangzhou, Guangdong, China, 2015. [Google Scholar]
- Lin, S.; Li, Y.C.; Guo, Y.Y.; Guo, S.M.; Que, H.Q.; Qi, Y.P. Chemical constituents of Melastoma dodecandrum L. (II). Chin. Tradit. Herb. Drugs 2009, 40, 1192–1195. [Google Scholar]
- Tang, M.; Liao, B.Z.; Lin, S.; Deng, S.S. Chemical constituents of Melastoma dodecandrum L. Chin. Tradit. Herb. Drugs 2008, 39, 1149–1151. [Google Scholar]
- Zeng, R.X.; Zhang, Q.H.; Guan, Y.M.; Chen, L.H.; Wen, S.J.; Lu, X.P. Analysis of monosaccharide composition in polysaccharides extract from Melastoma dodecandrum L. by precolumn derivatization HPLC. Chin. J. Exp. Tradit. Med. Formulae 2015, 21, 73–76. [Google Scholar]
- Cao, D.; Ma, Z.Q.; Jiang, Y.; Zhao, C.J.; Lin, R.C. Chemical Composition of Melastoma dodecandrum Lour. Inf. Tradit. Chin. Med. 2016, 33, 11–14. [Google Scholar]
- Yang, D.; Ma, Q.Y.; Liu, Y.Q.; Ding, Z.T.; Zhou, J.; Zhao, Y.X. Chemical Constituents from Melastoma dodecandrum Lour. Nat. Prod. Res. Dev. 2010, 22, 940–944. [Google Scholar]
- Zhang, C.; Fang, Y.X. Studies of the Chemical Constituents of Chinese Herb Melastoma dodecandrum Lour. China J. Chin. Mater. Media 2003, 28, 49–51. [Google Scholar]
- Zhang, C. Studies on Chemical Constituents and Pharmacological Activities of Chinese Herbal Melastoma dodecandrum Lour. Master’s Thesis, Guangdong University of Technology, Guangzhou, China, 2003. [Google Scholar]
- Kouloura, E.; Skaltsounis, A.L.; Michel, S.; Halabalaki, M. Ion tree-based structure elucidation of acetophenone dimers (AtA) from Acronychia pedunculata and their identification in extracts by liquid chromatography electrospray ionization LTQ-Orbitrap mass spectrometry. J. Mass Spectrom. 2015, 50, 495–512. [Google Scholar] [CrossRef] [PubMed]
- Zhang, J.Y.; Wang, F.; Zhang, H.; Lu, J.Q.; Qiao, Y.J. Rapid identification of polymethoxylated flavonoids in traditional Chinese medicines with a practical strategy of stepwise mass defect filtering coupled to diagnostic product ions analysis based on a hybrid LTQ-Orbitrap mass spectrometer. Phytochem. Anal. 2014, 25, 405–414. [Google Scholar] [CrossRef] [PubMed]
- Ru, L.; Wei, S.; Xue, Q.; Jia, L.; Hong, L.; Min, Y. Chemical profiling of Scutellaria barbata by ultra high performance liquid chromatography coupled with hybrid quadrupole orbitrap mass spectrometry. J. Chin. Pharm. Sci. 2015, 24, 635–646. [Google Scholar]
- Dong, H.J.; Chen, X.H.; Zeng, R. Rapid analysis on chemical constituents in roots of Rheum pumilum by UPLC coupled with hybrid quadrupole-orbit trap MS. Chin. Tradit. Herb. Drugs 2016, 47, 2428–2435. [Google Scholar]
- Wang, S.S.; Xu, H.Y.; Ma, Y.N.; Wang, X.G.; Shi, Y.; Huang, B.; Tang, S.H.; Zhang, Y.; Li, D.F.; Liang, R.X.; et al. Characterization and rapid identification of chemical constituents of NaoXinTong capsules by UHPLC-linear ion trap/Orbitrap mass spectrometry. J. Pharm. Biomed. Anal. 2015, 111, 104–118. [Google Scholar]
- Zhao, Y.Y.; Cheng, X.L.; Zhang, Y.; Chao, X.; Zhao, Y.; Lin, R.C.; Sun, W.J. A fast and sensitive HPLC-MS/MS analysis and preliminary pharmacokinetic characterization of ergone in rats. J. Chromatogr. B Anal. Technol. Biomed. Life Sci. 2010, 878, 29–33. [Google Scholar] [CrossRef] [PubMed]
- Zhao, Y.Y.; Qin, X.Y.; Cheng, X.L.; Liu, X.Y.; Lin, R.C.; Zhang, Y.; Li, X.Y.; Sun, X.L.; Sun, W.J. Rapid resolution liquid chromatography-mass spectrometry and high-performance liquid chromatography-fluorescence detection for metabolism and pharmacokinetic studies of ergosta-4,6,8(14),22-tetraen-3-one. Anal. Chim. Acta 2010, 675, 199–206. [Google Scholar] [CrossRef] [PubMed]
- Guo, L.X.; Li, R.; Liu, K.; Yang, J.; Li, H.J.; Li, S.L.; Liu, J.Q.; Liu, L.F.; Xin, G.Z. Structural characterization and discrimination of Chinese medicinal materials with multiple botanical origins based on metabolite profiling and chemometrics analysis: Clematidis Radix et Rhizoma as a case study. J. Chromatogr. A 2015, 1425, 129–140. [Google Scholar] [CrossRef] [PubMed]
- Mao, Q.; Bai, M.; Xu, J.D.; Kong, M.; Zhu, L.Y.; Zhu, H.; Wang, Q.; Li, S.L. Discrimination of leaves of Panax ginseng and P. quinquefolius by ultrahigh performance liquid chromatography quadrupole/time-of-flight mass spectrometry based metabolomics approach. J. Pharm. Biomed. Anal. 2014, 97, 129–140. [Google Scholar] [CrossRef] [PubMed]
- Duan, L.; Guo, L.; Liu, K.; Liu, E.H.; Li, P. Characterization and classification of seven citrus herbs by liquid chromatography-quadrupole time-of-flight mass spectrometry and genetic algorithm optimized support vector machines. J. Chromatogr. A 2014, 1339, 118–127. [Google Scholar] [CrossRef] [PubMed]
- Sample Availability: Samples of the compound 10, 34, 35, 46, 68, 79, and 84 are available from the authors.








| No. | Tentative Compound | tR (min) | Molecular Formula | Measured m/z | m/z Error in ppm | MS/MS (m/z) | Type of Compounds |
|---|---|---|---|---|---|---|---|
| 1 | Malic acid | 0.99 | C4H6O5 | 133.01422 [M−H]− | −0.19 | 115.00355 [M − H − H2O]− 71.0138 [C3H3O2]− 89.02435 [M − H − CO2]− | A |
| 2 | Salicylic acid | 9.34 | C7H6O3 | 137.02438 [M − H]− | −0.25 | 93.03443 [M – H − CO2]− | B |
| 3 | m-Salicylic acid | 10.00 | C7H6O3 | 137.02437 [M − H]− | −0.36 | 93.03445 [M – H − CO2]− | B |
| 4 | Citramalic acid | 1.41 | C5H8O5 | 147.02991 [M − H]− | 0.06 | 129.01924 [M – H − H2O]− 101.02427 [M – H − HCOOH]− 85.02937 [C4H5O2]− | A |
| 5 | Protocatechuic acid | 5.55 | C7H6O4 | 153.01932 [M − H]− | −0.09 | 109.02937 [M – H − CO2]− | B |
| 6 | Gentisic acid | 9.51 | C7H6O4 | 153.01932 [M − H]− | −0.09 | 109.02943 [M − H − CO2]− 108.02159 [C6H4O2]− | B |
| 7 | Pimelic acid | 13.87 | C7H12O4 | 159.0663 [M − H]− | 0.11 | 115.07629 [M – H − CO2]− 97.06577 [C6H9O]− 141.0556 [M − H − H2O]− | A |
| 8 | Coumaric acid | 13.94 | C9H8O3 | 163.04005 [M − H]− | −0.08 | 119.05009 [M − H − CO2]− | B |
| 9 # | Vanillic acid | 11.72 | C8H8O4 | 167.03494 [M − H]− | −0.23 | 152.0114 [M − H − CH3]− 123.045 [M − H − CO2]− 108.02161 [C6H4O2]− | B |
| 10 *,# | Gallic acid | 2.23 | C7H6O5 | 169.01416 [M − H]− | −0.51 | 125.02429 [M − H − CO2]− 97.0294 [C5H5O2]− 81.03452 69.03456 [C4H5O]− | B |
| 11 | Shikimic acid | 1.15 | C7H10O5 | 173.04547 [M − H]− | −0.44 | 155.03479 [M − H − H2O]− 137.02423 [M – H − 2H2O]− 111.04502 [M − H − H2O − CO2]− 93.03445 [C6H5O]− 73.02941 [C3H5O2]− | B |
| 12 | 2-Isopropylmalic acid | 11 | C7H12O5 | 175.06120 [M − H]− | 0.03 | 157.05048 [M − H − H2O]− 115.03992 [C5H7O3]− 113.06075 [C6H9O2]− 85.0658 [C5H9O]− | B |
| 13 | Glucose | 0.89 | C6H12O6 | 179.05605 [M − H]− | −0.37 | 59.01379 [C2H3O2]− 71.01382 [C3H3O2]− 89.02422 [C3H5O3]− 101.02422 [C4H5O3]− | F |
| 14 | 2-Hydroxy-3-(2-hydroxyphenyl)propanoic acid | 9.78 | C9H10O4 | 181.05064 [M − H]− | 0.06 | 163.03993 [M − H − H2O]− 135.04512 [M – H − HCOOH]− 119.0501 [M − H − H2O − CO2]− | B |
| 15 # | Methyl gallate | 10.88 | C8H8O5 | 183.02988 [M − H]− | −0.11 | 168.00624 [M − H − CH3]− 140.0114 [M − H − CH3 − CO]− 124.01643 [C6H4O3]− | B |
| 16 | Citric acid | 0.99 | C6H8O7 | 191.01971 [M − H]− | −0.06 | 111.00864 [M − H − H2O – COOH − OH]− 87.00864 [C3H3O3]− 129.01915 [M − H − H2O − CO2]− 85.02939 | A |
| 17 # | Ferulic acid | 18.04 | C10H10O4 | 193.05052 [M − H]− | −0.57 | 178.02702 [M − H − CH3]− 149.06059 [M − H − CO2]− 134.03719 [M − H − CH3 − CO2]− | B |
| 18 # | Vanillylmandelic acid | 14.47 | C9H10O5 | 197.04573 [M − H]− | 0.93 | 153.05563 [M − H − CH3]− 138.03203 [M − H − CH3-CO2]− 121.0294 [M − H − CH3 − CO2 − OH]− | B |
| 19 | Sebacic acid | 20.14 | C10H18O4 | 201.11327 [M − H]− | 0.17 | 183.10249 [M − H − H2O]− 139.11273 [M − H − H2O − CO2]− | A |
| 20 | 1-Oxo-1,2,4-butanetricarboxylic acid | 1.48 | C7H8O7 | 203.01970 [M − H]− | −0.13 | 141.01923 [M − H − H2O − CO2]− 97.02934 [M − H − H2O − 2CO2]− 69.03453 [C4H5O]− | A |
| 21 | Undecanedioic acid | 22.12 | C11H20O4 | 215.12874 [M − H]− | −0.67 | 197.11826 [M − H − H2O]− 153.12842 [M − H − H2O − CO2]− | A |
| 22 | 2-Hydroxysebacic acid | 16.5 | C10H18O5 | 217.10825 [M − H]− | 0.46 | 199.09734 [M − H − H2O]− 171.10257 [M – H − HCOOH]− 155.10768 [M − H − H2O − CO2]− | A |
| 23 | Glucoheptonic acid | 0.82 | C7H14O8 | 225.06168 [M − H]− | 0.38 | 179.05602 [C6H11O6]− 161.04546 [C6H9O5]− 87.00864 [C3H3O3]− | A |
| 24 | Traumatic Acid | 22.97 | C12H20O4 | 227.12894 [M − H]− | 0.24 | 183.13876 [M − H − CO2]− 165.12823 [M − H − H2O − CO2]− | A |
| 25 | 1-O-galloyl-glycerol | 8.17 | C10H12O7 | 243.05095 [M − H]− | −0.32 | 169.01408 [M − H − CO2 − 2CH3]− 125.02431 [M – H − 2CO2 − 2CH3]− | B |
| 26 | Oxododecanedioic acid | 18.35 | C12H20O5 | 243.12381 [M − H]− | 0.05 | 225.1131 [M − H − H2O]− 207.10254 [M − H − H2O]− 181.1234 [C11H17O2]− | A |
| 27 | Palmitic acid | 39.09 | C16H32O2 | 255.23297 [M − H]− | 0.07 | 237.06160 [M − H − H2O]− | A |
| 28 | Abscisic acid | 19.75 | C15H20O4 | 263.12885 [M − H]− | −0.12 | 219.13887 [M − H − CO2]− 204.11528 [M − H − CO2 − CH3]− 151.07634 [C9H11O2]− | B |
| 29 # | Apigenin | 19.79 | C15H10O5 | 269.04559 [M − H]− | 0.17 | 117.03447 [C8H5O]− 151.00354 [C7H3O4]− 107.01373 [C6H3O2]− | C |
| 30 # | Naringenin | 21.35 | C15H12O5 | 271.06122 [M − H]− | 0.08 | 177.01917 [C9H5O4]− 151.00352 [C7H3O4]− 119.05009 [C8H7O]− | C |
| 31 | Hydroxyhexadecanoic acid | 36.77 | C16H32O3 | 271.22797 [M − H]− | 0.36 | 225.22221 [M – H − HCOOH]− | A |
| 32 | Oleic acid | 39.49 | C18H34O2 | 281.24860 [M − H]− | −0.01 | 237.06163 [M − H − CO2]− | A |
| 33 | Stearic acid | 41.08 | C18H36O2 | 283.26425 [M − H]− | −0.01 | 265.14810 [M − H − H2O]− 237.06181 [M – H − HCOOH]− | A |
| 34 *,# | Kaempferol | 19.95 | C15H10O6 | 285.04047 [M − H]− | 0.02 | 257.04535 [M − H − CO]− 241.05112 [M − H − CO2]− 151.00352 [C7H3O4]− 133.02942 [C8H5O2]− | C |
| 35 *,# | Luteolin | 21.79 | C15H10O6 | 285.04062 [M − H]− | 0.56 | 239.03464 [M − H − CO − H2O]− 185.06078 [C12H9O2]− 159.04491 [C10H7O2]− 93.03454 [C6H5O]− | C |
| 36 | Hexadecanedioic acid | 30.38 | C16H30O4 | 285.20709 [M − H]− | −0.14 | 267.19635 [M − H − H2O]− 223.20653 [M − H − H2O − CO2]− | A |
| 37 | 3,5-Dihydroxy-hexadecanoic acid | 23.84 | C16H32O4 | 287.22278 [M − H]− | −0.01 | 269.21246 [M − H − H2O]− 241.21735 [M − H − H2O − CO2]− | A |
| 38 | Epicatechin | 11.49 | C15H14O6 | 289.07193 [M − H]− | 0.58 | 245.0816 [M − H − CO2]− 203.07123 [C12H11O3]− 137.02423 [C7H5O3]− 109.02934 [C6H5O2]− | C |
| 39 | Catechin | 13.27 | C15H14O6 | 289.07184 [M − H]− | 0.27 | 245.0089 [M – H − C3H8]− 217.01398 [M − H − C3H8 − CO]− 189.01923 [M − H − C3H8 − 2CO]− 173.0242 [C10H5O3]− 145.0294 [M – H − C3H8 − 2CO − CO2]− | C |
| 40 | 4,9-Dihydroxy-6,7-dimethoxynaphtho(2,3-d)-1,3-dioxole-5,8-dione | 14.56 | C13H10O8 | 293.03040 [M − H]− | 0.36 | 249.04028 [M − H − CO2]− 225.11308 [C12H17O4]− 162.0321 [M − H − CO2 − CH3 − CO]− | F |
| 41 | 9-Hode | 32.28 | C18H32O3 | 295.22791 [M − H]− | 0.12 | 277.21716 [M − H − H2O]− 171.1026 [C9H15O3]− | A |
| 42 | Ricinoleic acid | 32.63 | C18H34O3 | 297.24353 [M − H]− | 0.0 | 183.13885 [C11H19O2]− | A |
| 43 | 2-Glucopyranosyloxybenzoic acid | 9.95 | C13H16O8 | 299.07730 [M − H]− | 0.2 | 137.02425 [M − H − Glc]− 93.03445 [M − H − glc − CO2]− | B |
| 44 | Hydroxystearic acid | 39.09 | C18H36O3 | 299.25919 [M − H]− | 0.06 | 253.25348 [M − H − HCOOH]− 225.22246 [C15H29O]− | A |
| 45 # | Ellagic acid | 15.56 | C14H6O8 | 300.99899 [M − H]− | 0 | 283.99619 [M − H − OH]− 245.009 [C12H5O6]− 229.01402 [M − H − CO2 − CO]− 201.01927 [M − H − CO2 − 2CO]− 185.02431 [C11H5O3]− | D |
| 46 *,# | Quercetin | 19.95 | C15H10O7 | 301.03534 [M − H]− | −0.12 | 178.99843 [C8H3O5]− 151.00351 [M – H − C6H6 − CO2 − CO]− 107.01373 [M – H − C6H6 − 2CO2 − CO]− | C |
| 47 | Gallocatechin | 11.12 | C15H14O7 | 305.06683 [M − H]− | 0.52 | 261.0766 [M − H − CO2]− 219.06612 [C12H11O4]− 167.03488 [C8H7O4]− 137.02432 [C7H5O3]− 125.02433 [C6H5O3]− | C |
| 48 | Eicosanoic acid | 42.84 | C20H40O2 | 311.29562 [M − H]− | 0.22 | 293.17941 [M − H2O]− | A |
| 49 | Glucovanillin | 10.72 | C14H18O8 | 313.09308 [M − H]− | 0.6 | 161.04539 [C6H9O5]− 113.02431 [C5H5O3]− 101.02427 [C4H5O3]− 71.01381 [C3H3O2]− | F |
| 50 | Octadecanedioic acid | 29.15 | C18H34O4 | 313.23849 [M − H]− | 0.2 | 295.2272 [M − H − H2O]− | A |
| 51 # | 2,3,8-Trihydroxy-7-methoxychromeno[5,4,3-cde]chromene-5,10-dione | 21.54 | C15H8O8 | 315.01489 [M − H]− | 0.80 | 300.99841 [C14H5O8]− 269.10269 161.04578 [C6H9O5]− 71.01388 [C3H3O2]− | D |
| 52 | Dihydroxystearic acid | 30.79 | C18H36O4 | 315.25403 [M − H]− | −0.17 | 297.24344 [M − H − H2O]− 201.11363 [M − H − C8H18]− | A |
| 53 | Digallate | 11.39 | C14H10O9 | 321.02530 [M − H]− | 0.29 | 169.01404 [C7H5O5]− 125.02428 [C6H5O3]− | B |
| 54 | 2,3-Di-O-methylellagic acid | 20.25 | C16H10O8 | 329.03040 [M − H]− | 0.32 | 314.00681 [M − H − CH3]− 298.98325 [C14H3O8]− 270.98834 [M − H − 2CH3 − CO]− | D |
| 55 | Woodorien | 9.46 | C14H18O9 | 329.08795 [M − H]− | 0.44 | 167.03482 [M − H − Glc]− 152.01135 [M − H − Glc − CH3]− 121.0294 [M − H – Glc − HCOOH]− 108.02159 [M − H − Glc − CH3 − CO2]− | B |
| 56 | Galloylglucose | 3.25 | C13H16O10 | 331.06729 [M − H]− | 0.67 | 271.04575 [C11H11O8]− 211.02464 [C9H7O6]− 169.01405 [M − H − Glc]− 125.02432 [C6H5O3]− | B |
| 57 | Caffeic acid-3-glucoside | 11.08 | C15H18O9 | 341.08798 [M − H]− | 0.52 | 305.06638 [M – H − 2H2O]− 281.06647 [C13H13O7]− 251.05588 [C12H11O6]− 221.04532 [C11H9O5]− 179.03485 [M − H − Glc]− 135.04509 [M − H − Glc − CO2]− | B |
| 58 | 2-Hydroxy-3,7,8-trimethoxychromeno[5,4,3-cde]chromene-5,10-dione | 23.33 | C17H12O8 | 343.04590 [M − H]− | −0.13 | 328.0224 [M − H − CH3]− 312.99899 [M – H − 2CH3]− 297.97522 [M − H − 3CH3]− 269.98053 [M − H − 3CH3 − CO]− | D |
| 59 | Theogallin | 6.68 | C14H16O10 | 343.06720 [M − H]− | 0.38 | 169.01408 [C7H5O5]− 125.02427 [C6H5O3]− | B |
| 60 | Chlorogenic acid | 9.88 | C16H18O9 | 353.08813 [M − H]− | 0.93 | 191.05602 [C7H11O6]− 179.0349 [C9H7O4]− 135.04512 [C8H7O2]− | B |
| 61 # | Vitexin | 15.74 | C21H20O10 | 431.09833 [M − H]− | −0.1 | 341.06631 [C18H13O7]− 311.05603 [C17H11O6]− 283.06088 [C16H11O5]− | C |
| 62 # | 9,10-Dihydro-10-(4-hydroxyphenyl)-pyrano[2,3-h]epicatechin-8-one | 19.9 | C24H20O8 | 435.10876 [M − H]− | 0.51 | 341.06641 [M − H − Phenol]− 217.01392 [C11H5O5]− 189.01918 [C10H5O4]− 177.01915 [C9H5O4]− | C |
| 63 | Epicatechin monogallate | 15.92 | C22H18O10 | 441.08286 [M − H]− | 0.31 | 289.07166 [C15H13O6]− 169.0141 [C7H5O5]− 125.02431 [C6H5O3]− | C |
| 64 | Astragalin | 15.06 | C21H20O11 | 447.09344 [M − H]− | 0.36 | 357.06146 [C18H13O8]− 327.05087 [C17H11O7]− 299.05569 [C16H11O6]− | C |
| 65 # | Kaempferol-3-glucoside | 16.47 | C21H20O11 | 447.09354 [M − H]− | 0.56 | 285.03983 [M − H − Glc]− | C |
| 66 # | Luteolin-7-glucoside | 17.4 | C21H20O11 | 447.09357 [M − H]− | 0.63 | 284.0325 [M − H − Glc]− 255.02986 [C14H7O5]− 227.03485 [C13H7O4]− | C |
| 67 # | Ursolic acid | 35.96 | C30H48O3 | 455.35315 [M − H]− | 0.18 | 407.33292 [C29H43O]− | E |
| 68 *,# | Oleanic acid | 36.51 | C30H48O3 | 455.35333 [M − H]− | 0.57 | 407.33292 [C29H43O]− | E |
| 69 # | Quercetin-3-alloside | 16.21 | C21H20O12 | 463.08856 [M − H]− | 0.78 | 300.02731 [M − H − Gal]− 271.02469 [C14H7O6]− 255.02979 [C14H7O5]− | C |
| 70 | Nigranoic acid | 32.15 | C30H46O4 | 469.33249 [M − H]− | 0.33 | 423.327 [C29H43O2]− | B |
| 71 # | 4-O-(6″-O-p-Coumaroyl-glucopyranosyl)-p-coumaric acid | 18.64 | C24H24O10 | 471.12994 [M − H]− | 0.58 | 307.08206 [C15H15O7]− 163.03993 [C9H7O3]− 119.05008 [C8H7O]− | B |
| 72 | Corosolic acid | 31.81 | C30H48O4 | 471.34802 [M − H]− | 0.08 | 453.33932 [C30H45O3]− | E |
| 73 # | 7-Hydroxy-3,8-dimethoxy-5,10-dioxo-5,10-dihydro-chromeno[5,4,3-cde]chromen-2-yl 6-deoxymannopyranoside | 18.83 | C22H20O12 | 475.08853 [M − H]− | 0.7 | 460.06451 [M − H − CH3]− 328.02231 [M – H − Rha]− 312.99887 [M − H − Rha − CH3]− 269.98038 [C13H2O7]− | D |
| 74 | Isorhamnetin-7-O-glucopyranoside | 17.62 | C22H22O12 | 477.10416 [M − H]− | 0.64 | 314.04306 [M − H − Glc]− 271.02448 [M − H − Glc − CH3 − CO]− 243.02959 | C |
| 75 | Isomyricitrin | 14.78 | C21H20O13 | 479.08301 [M − H]− | −0.22 | 316.02216 [M − H − Glc]− 271.02454 [C14H7O6]− | C |
| 76 | 1,6-Bis-O-galloyl-glucose | 11.52 | C20H20O14 | 483.07819 [M − H]− | 0.33 | 465.10410 [M − H − H2O]− 439.08768 [M − H − CO2]− | B |
| 77 | Quillaic acid | 26.36 | C30H46O5 | 485.32706 [M − H]− | −0.39 | 407.29538 [M − H − CH3 − H2O]− 241.10255 | E |
| 78 # | 2-O-(E)-caffeoyl-1-O-p-(E)-coumaroylglucopyrannose | 12.86 | C24H24O11 | 487.12473 [M − H]− | 0.29 | 323.07706 [C15H15O8]− 161.02429 [C9H5O3]− 119.05011 [C8H7O]− | B |
| 79 *,# | Asiatic acid | 26.85 | C30H48O5 | 487.34271 [M − H]− | −0.38 | 469.33224 [M − H − H2O]− | E |
| 80 | Oenin | 18.16 | C23H24O12 | 491.11981 [M − H]− | 0.64 | 313.03531 [M − H − Glc − CH]−3 299.01956 [C15H7O7]− 285.04028 [M − H − Glc − CH3 − CO]− | C |
| 81 | Medicagenic acid | 24.38 | C30H46O6 | 501.32227 [M − H]− | 0.21 | 455.31689 [M − H − HCOOH]− | E |
| 82 | 2″-O-Galloylisovitexin | 17.72 | C28H24O14 | 583.10974 [M − H]− | 0.71 | 431.09842 [C21H19O10]− 341.06635 [C18H13O7]− 311.056 [C17H11O6]− 283.061 [C16H11O5]− | C |
| 83 | Nicotiflorin | 17.02 | C27H30O15 | 593.15167 [M − H]− | 0.81 | 285.03989 [C15H9O6]− 255.02983 [C14H7O5]− 227.03491 [C13H7O4]− | C |
| 84 * | Rutin | 15.9 | C27H30O16 | 609.14630 [M − H]− | 0.32 | 300.02737 [C15H8O7]− 271.02469 [C14H7O6]− 255.02977 [C14H7O5]− | C |
| 85 | 2′-O-Galloylhyperin | 15.56 | C28H24O16 | 615.09943 [M − H]− | 0.44 | 463.08804 [C21H19O12]− 300.02734 [C15H8O7]− 271.02454 [C14H7O6]− 255.02972 [C14H7O5]− | C |
| 86 | 3-O-trans-p-Coumaroylmaslinic acid | 34.83 | C39H54O6 | 617.38501 [M − H]− | 0.4 | 145.02936 [C9H5O2]− | E |
| 87 | Delphinidin-3-caffeoylglucoside | 18.25 | C30H26O15 | 625.12048 [M − H]− | 0.94 | 463.08832 [C21H19O12]− 300.02731 [C15H8O7]− 271.02472 [C14H7O6]− 255.02985 [C14H7O5]− | C |
| 88 | 3-O-trans-p-Coumaroyltormentic acid | 31.21 | C39H54O7 | 633.37982 [M − H]− | 0.23 | 163.04001 [C9H7O3]− 145.02939 [C9H5O2]− | E |
| 89 | 1,3,6-Tri-O-galloylglucose | 14.4 | C27H24O18 | 635.08948 [M − H]− | 0.77 | 465.06714 [C20H17O13]− 211.02463 [C9H7O6]− 169.01404 [C7H5O5]− 125.02427 [C6H5O3]− | B |
| 90 | (3,5,9)-3-Hydroxy-27-{[(2E)-3-(4-hydroxy-3-methoxyphenyl)-2-propenoyl]oxy}olean-12-en-28-oic acid | 35.86 | C40H56O7 | 647.39587 [M − H]− | 0.84 | 632.37152 [C37H52O7]− 453.33835 [C30H45O3]− 175.03993 [C10H7O3]− 133.02946 [C8H5O2]− | E |
| 91 | 3-O-trans-Feruloyleuscaphic acid | 32.02 | C40H56O8 | 663.39069 [M − H]− | 0.67 | 648.36658 [C39H52O8]− 175.03989 [C10H7O3]− 160.01643 [C9H4O3]− 132.02156 [C8H4O2]− | E |
| 92 # | 4′-Hydroxyacetophenone | 12.32 | C8H8O2 | 137.05969 [M + H]+ | −0.01 | 122.03635 [M + H − CH3]+ 109.06508 [M + H − CO]+ | F |
| 93 | Dihydroxyacetophenone | 13.7 | C8H8O3 | 153.05461 [M + H]+ | −0.06 | 125.05981 [M + H − CO]+ 111.04433 [C6H7O2]+ | F |
| 94 | N-Lauryldiethanolamine | 37.04 | C16H35O2N | 256.26334 [M + H]+ | −0.6 | 144.1382 [C8H18ON]+ 116.1072 [C6H14ON]+ | F |
| 95 | Licanic acid | 26.99 | C18H28O3 | 293.21085 [M + H]+ | −0.94 | 275.20044 [M + H − H2O]+ 257.19003 [M + H − 2H2O]+ | A |
| 96 | Kamlolenic acid | 33.51 | C18H30O3 | 295.22678 [M + H]+ | 0.06 | 277.21609 [M + H − H2O]+ 259.20532 [M + H − 2H2O]+ 231.21051 [M + H − 3H2O]+ | A |
| 97 | Diosmetin | 21.99 | C16H12O6 | 301.0705 [M + H]+ | −0.56 | 286.04681 [M + H − CO3]+ 258.05197 [M + H − CH3 − CO]+ | C |
| 98 # | Sitosterol | 39.21 | C29H50O | 397.38269 [M + H − H2O]+ | −0.47 | 243.21089 [C18H27]+ 175.14799 [C13H19]+ 147.11684 [C11H15]+ | G |
| 99 # | Stigmasterol | 38.08 | C29H48O | 395.36725 [M + H − H2O]+ | 0.05 | 241.1945 [C18H25]+ 199.14772 [C15H19]+ 173.13248 [C13H17]+ | G |
| 100 | Apigenin-7-O-glucoside | 17.83 | C21H20O10 | 433.1127 [M + H]+ | −0.51 | 271.05975 [C15H11O5]+ 153.01814 [C7H5O4]+ | C |
| 101 # | Quercetin-3-arabinoside | 16.62 | C20H18O11 | 435.09235 [M + H]+ | 0.36 | 303.04959 [C15H11O7]+ 153.01819 [C7H5O4]+ | C |
| 102 | Luteolin-7-galactoside | 12.52 | C21H20O11 | 449.10745 [M + H]+ | −0.86 | 287.05453 [M − H − Glc]+ 269.044 [M + H − Glc]+ | C |
| 103 | Pelargonidin-3-O-(6-caffeoyl-glucoside) | 19.91 | C30H26O13 | 595.14459 [M + H]+ | −0.04 | 433.11255 [M − H − C6H6 − 3CO]+ 313.07028 [C17H13O6]+ 163.03888 [C9H7O3]+ | C |
| 104 | Tiliroside | 20.42 | C30H26O13 | 595.14435 [M + H]+ | −0.45 | 287.0546 [C15H11O6]+ 147.04393 [C9H7O2]+ 119.04929 [C8H7O]+ | C |
| 105 | Kaempferol-3-(6″-galloylgalactoside) | 16.8 | C28H24O15 | 601.11914 [M + H]+ | 0.57 | 287.05457 [C15H11O6]+ 153.01813 [C7H5O4]+ 137.0233 [C7H5O3]+ | C |
| 106 | Quercetin-3-O-(6″-O-p-coumaroyl)-glucopyranoside | 19.41 | C30H26O14 | 611.13922 [M + H]+ | −0.51 | 147.04388 [C9H7O2]+ 303.04953 [C15H11O7]+ | C |
| 107 | 2′-O-Galloylhyperin | 15.51 | C28H24O16 | 617.11322 [M + H]+ | −0.89 | 153.01813 [C7H5O4]+ 303.0495 [C15H11O7]+ | C |
| 108 | Quercetin-3-(6″-caffeoylgalactoside) | 18.29 | C30H26O15 | 627.13409 [M + H]+ | −0.56 | 163.03873 [C9H7O3]+ 303.04941 [C15H11O7]+ | C |
| 109 # | Casuarinin | 12.61 | C41H28O26 | 937.09332 [M + H]+ | −0.89 | 153.01817 [C7H5O4]+ 171.04417 [C11H7O2]+ 277.03397 [C13H9O7]+ 345.02377 [C16H9O9]+ | D |
| Compound No. | Mass Spectra of MS/MS | RDA Fragmentation Pathway |
|---|---|---|
| 29 | ![]() | ![]() |
| 30 | ![]() | ![]() |
| 46 | ![]() | ![]() |
| 63 | ![]() | ![]() |
© 2017 by the authors. Licensee MDPI, Basel, Switzerland. This article is an open access article distributed under the terms and conditions of the Creative Commons Attribution (CC BY) license ( http://creativecommons.org/licenses/by/4.0/).
Share and Cite
Wang, J.; Jia, Z.; Zhang, Z.; Wang, Y.; Liu, X.; Wang, L.; Lin, R. Analysis of Chemical Constituents of Melastoma dodecandrum Lour. by UPLC-ESI-Q-Exactive Focus-MS/MS. Molecules 2017, 22, 476. https://doi.org/10.3390/molecules22030476
Wang J, Jia Z, Zhang Z, Wang Y, Liu X, Wang L, Lin R. Analysis of Chemical Constituents of Melastoma dodecandrum Lour. by UPLC-ESI-Q-Exactive Focus-MS/MS. Molecules. 2017; 22(3):476. https://doi.org/10.3390/molecules22030476
Chicago/Turabian StyleWang, Jinfeng, Ziyao Jia, Zhihao Zhang, Yutong Wang, Xi Liu, Linghua Wang, and Ruichao Lin. 2017. "Analysis of Chemical Constituents of Melastoma dodecandrum Lour. by UPLC-ESI-Q-Exactive Focus-MS/MS" Molecules 22, no. 3: 476. https://doi.org/10.3390/molecules22030476
APA StyleWang, J., Jia, Z., Zhang, Z., Wang, Y., Liu, X., Wang, L., & Lin, R. (2017). Analysis of Chemical Constituents of Melastoma dodecandrum Lour. by UPLC-ESI-Q-Exactive Focus-MS/MS. Molecules, 22(3), 476. https://doi.org/10.3390/molecules22030476








