Abstract
A series of novel sulfonylurea benzothiazolines was designed by splicing active groups and bioisosterism. A solvent-free synthetic route was developed for the sulfonylurea benzothiazoline derivatives via the cyclization and carbamylation. All compounds were characterized by IR, 1H-NMR, 13C-NMR, HRMS. The biological activity tests indicated the compounds could protect maize against the injury caused by chlorsulfuron to some extent. The molecular docking result showed that the new compound competed with chlorsulfuron to bind with the herbicide target enzyme active site to attain detoxification.
1. Introduction
Sulfur and nitrogen-containing heterocyclic compounds play a key role in the pharmaceutical and chemical industries [1,2]. In particular, sulfur-containing heterocyclic compounds are widely used in the agricultural field. Several new benzothiazole compounds have been synthesized as potential antimicrobial and antiparasitic agents [3]. 1,2-Benzisothiazolin-3-one, used as a fungicide, shows good sterilization and anti-corrosion performance [4]. Thiazole compounds are also reported to be herbicide safeners [5].
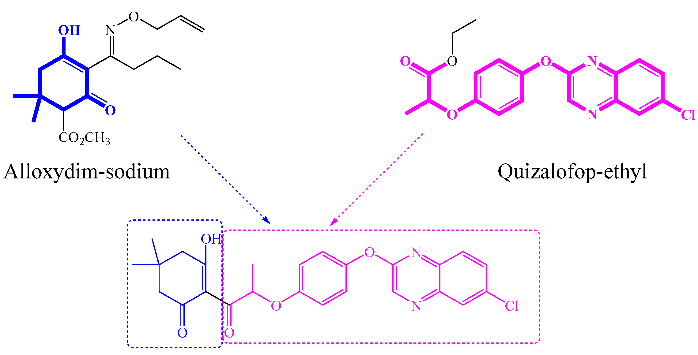
Some bioactive compounds have been discovered by combining active subunits of known active molecules. For example, new triketone derivatives with better herbicidal activity have been designed by splicing active group alloxydim-sodium into quizalofop-ethyl (Scheme 1) [6]. Many successful cases have been reported in recent years [7,8].
Scheme 1.
The exploitation of the new herbicide.
Herbicides and safeners may share common molecular characteristics, depending on the structure-activity relationships (SAR) and the mechanisms of the safeners [9]. A systematic review of the chemical characteristics and SAR of herbicide safeners indicated that there are closely similar structural features between herbicides and safeners [10]. For example, sulfamide compounds may be an antidote to protect plants from the injury caused by sulfonylurea herbicides.
According to the facts mentioned above, and continuing on from our previous research, a series of sulfonylurea substituted benzothiazoline compounds 3a–3m was designed based on active subunit combination, bioisosteric replacement, and SAR; the sulfur- and nitrogen-containing heterocyclic was retained and modified on the sulfonylurea functional groups (Scheme 2) [11,12,13].
Scheme 2.
The design of the target compounds.
A number of synthetic routes for benzothiazoline have been reported. The most common method is the condensation of o-aminothiophenol with carbonyl compounds in the presence of p-toluenesulfonic acid with Ga(OTf)3 as catalyst [14,15]. Other methods include the reaction of 2,2’-dinitrodiphenyl disulfide with ketones in the presence of TiCl4/Sm and SmI2/HMPA [16,17]. Nevertheless, all these reported methods suffer from some drawbacks, such as the use of expensive or toxic catalysts, long reaction times, tedious synthetic procedures, or low yields of the products. In recent years, solvent-free organic synthesis has become a popular method, and has attracted immense interest as an environmentally benign method. It leads to good yields, clean reactions, and shorter reaction times [18]. In view of the facts mentioned above, a series of novel sulfonylurea benzothiazoline was designed and synthesized with o-aminothiophenol and ketone as starting materials in the presence of neutral alumina via a solvent-free procedure (Scheme 3) [19].
Scheme 3.
Route for synthesis of the target compounds 3.
2. Results and Discussion
2.1. Chemistry
1,3-Benzothiazoline derivatives 2 were synthesized with o-aminothiophenol and ketone 1 smoothly in the presence of neutral alumina. All compounds were synthesized under solvent-free conditions and further purified by column chromatography (silica gel, petroleum ether (PE):ethyl acetate; 20:1) to give the pure product.
The yields of compounds 2 were 56–92% (Table 1). The substituent group affected the yields significantly. When the substituents were cyclopentyl or cyclohexyl, the formation of spiro compounds made the structure more stable than others. Thus, the yields of 2l, 2m were better, at 91% and 92%, respectively. The bulk substituent reduced the stability of the benzothiazoline. The yield of 2k was only 56% which might be caused by the R1 and R2 being two n-propyl groups. The yields were similar for 2f and 2g.
Table 1.
Characterization data, reaction condition and yields for products 2 and 3.
The proposed outline for the cyclization is outlined in Scheme 4. First, o-aminothiophenol reacted with ketone to generate a Schiff base. Nucleophilic attack from nearby S atom gave the intermediate 2.
Scheme 4.
Mechanistic outline for cyclization reaction.
The target compounds 3 were synthesized by direct carbamylation with 1,3-benzothiazoline derivatives 2 and tosyl isocyanate. All compounds were obtained by washing the mixture with the solution (anhydrous benzene:Anhydrous n-hexane; 1:1) to get white powder.
The yields of compounds 3 were 36%–99% (Table 1). When the substituents were symmetric small groups or cyclic structures, the yield was good. Compounds 3a, 3l, 3m were over 90% yields.
In general, there was no significant effect on the yields of the target products caused by steric hindrance, because the substituents at the 2-position were almost perpendicular to the plane of benzothiazoline ring. Comparing compound 3f and 3g, it was also noticeable that the presence of a straight-chain at the 2-position of benzothiazoline increased the yield. In contrast, the yields were decreased when there was a branch-chain with the same carbon atom number.
The peaks at 1708, 1341 and 1152 cm−1 in the IR for compound 3a confirmed the presence of the carbonyl and sulfonyl groups. The 1H-NMR spectrum also confirmed the proposed structure, the three hydrogens at δ 2.37–2.41 ppm showed the methyl of the benzene ring. The signals at δ 6.48–7.85 ppm related to the benzene ring. The single signal observed at δ 11.86 ppm was characteristic of hydrogen linked to a nitrogen atom.
2.2. Biological Activity
All the novel sulfonylurea benzothiazoline derivatives 3 were evaluated for their protection of maize against the injury of chlorsulfuron (2 μg/kg) (Table 2). After a preliminary screening, the concentration of the safener and compounds applied in the bioassay was determined. Chlorsulfuron could provoke an obvious decrease in the growth of maize, but significant differences were observed after the introduction of compounds. The recovery rates of the root length were attained over 25% except for compounds 3e, 3j. Recovery rates of plant weight were over 40%, except for compound 3e. Among all the test compounds, compound 3c showed the best safener activity against the injury of chlorsulfuron, better than the commercialized safener AD-67. A good protection activity may be due to the introduction of a sulfonyl group, causing the compound to bind with the herbicide target site competitively, and reduce the injury of chlorsulfuron.
Table 2.
Effect of detoxification of compounds 3a–m to growth index of maize i, ii, iii, iv.
Comparing the chemical properties of compound 3c and chlorsulfuron, such as log p, pKa, molecular weight (MW) and electronegativity, with a view to proving the hypothesis that safeners may act as competitive antagonists for herbicides at the herbicide target site (Table 3), it was observed that pKa, MW and the electronegativity of compound 3c were all similar to the herbicide chlorsulfuron. This indicated that, in terms of the investigated features, the safener/herbicide combinations were quite similar at the molecular level. The visual evaluation of the superimposed molecular structures is shown in Figure 1. Chlorsulfuron and 3c were perfectly aligned in a common skeleton.
Table 3.
Chemical property comparisons of chlorsulfuron with 3c.
Figure 1.
Superimposed molecular structure modeling. The structure of chlorsulfuron is shown in red, and compound 3c is shown in blue.
Sulfonylurea herbicides are a kind of acetolactate synthase (ALS) inhibitors. The three-dimensional structure of compound 3c and chlorsulfuron was constructed by the sketch module of SYBYL-X 2.0. Subsequently, the molecule was optimized and Gasteiger-Huckel charges were calculated. The crystal structure of ALS was taken from the Protein Data Bank (PDB ID 1YHY). Docking modeling used the CDOCKER method in Accelrys Discovery Studio 2.5 (Accelrys Inc., San Diego, CA, USA, 2005). Before docking, the protein structure was given the CHARMM force field and removed the water and some other co-crystallized small molecules. After the protein preparation, the docking studies active site was defined, with a subset region of 13.0A from the center of the known ligand. The Top Hits was set to 100, and the default values were used for the remaining parameters. The binding energy of the small molecule-receptor protein complex was used as an evaluation index, with the largest negative representation of the most stable conformation. The molecular docking result showed that both compound 3c and chlorsulfuron were able to bind well to the herbicide target active site of ALS (Figure 2). In the docking modeling, the phenyl moiety of chlorsulfuron rotated to the right side in the active site, effectively blocking the entrance to the channel and preventing the substrate from binding with the active site, caused herbicidal activity. In contrast, the phenyl moiety of compound 3c turned left at the active site, partially blocking the entrance of the channel. While preventing the combination of chlorsulfuron with the active site, the small substrate had more opportunity to thrust itself into the channel and catalyze the active site.
Figure 2.
The docking modeling of chlorsulfuron (A) and 3c (B) with ALS. The carbon atoms are shown in green (A) and light blue (B), the sulfur atoms are shown in yellow, the oxygen atoms are shown in red, and the nitrogen atoms are shown in blue.
When compound 3c was applied before or simultaneously with chlorsulfuron, it potentially competed with chlorsulfuron at the target site by preventing the herbicide from reaching or acting on the ALS active pocket, leading to counter action of the herbicide. This may be the detoxification mechanism of the novel compound.
3. Materials and Methods
3.1. Reagents and Analysis
All the reagents were analytical grade, and were used without further purification. The IR spectra were recorded on a Bruker ALPHA-T spectrometer (BRUKER Inc., Beijing, China). The 1H-NMR and 13C-NMR spectra were recorded on a Bruker AVANVE 300 MHz (BRUKER Inc., Beijing, China) using CDCl3 (Energy Chemical., Shanghai, China) or DMSO-d6 (Energy Chemical., Shanghai, China) as solvent and TMS (Energy Chemical., Shanghai, China) as internal standard. The melting point was measured on a Beijing Taike melting point apparatus (X-4) (Beijing, China), and was uncorrected. The high-resolution mass spectrometry was recorded on a FT-ICR MS spectrometer (BRUKER Inc., Beijing, China). The spectrogram datas of compounds could be found in the Supplementary Materials.
3.2. General Procedure for the Preparation of 1,3-Benzothiazoline Derivatives 2
o-Aminothiophenol (0.03 mol) and ketone (0.02 mol) were mixed in a round-bottomed flask in the presence of neutral alumina (3 g). The reaction mixture was stirred under nitrogen atmosphere at appropriate temperature for a period of time. The reaction mixture was extracted with chloroform and filtered. The organic layer was dried over anhydrous Na2SO4 and chloroform was evaporated under vacuum. The pure products were obtained by recrystallization (2a, 2e, 2i, 2l–2m) or column chromatography on silica gel eluting with PE and EtOAc (20:1) (2b–2d, 2f–2h, 2j–2k).
2,2-Dimethylbenzothiazoline (2a): White solid, Yield 82%. IR (KBr, /cm−1) 3334 (N-H), 2961–2917 (C-H), 1581–1363 (C=C). 1H-NMR (300 MHz, CDCl3): δ (ppm) 6.67–7.10 (m, 4H), 3.97 (s, 1H), 1.74 (s, 6H). 13C-NMR (75 MHz, CDCl3): δ (ppm) 145.9, 128.5, 125.1, 122.2, 121.1, 111.5, 74.8, 31.7, 31.7.
2-Ethyl-2-methyldihydro-benzothiazoline (2b): Yellow liquid, Yield 83%. IR (KBr, /cm−1) 3353 (N-H), 3086–2875 (C-H), 1581–1375 (C=C). 1H-NMR (300 MHz, CDCl3): δ (ppm) 6.60–7.05 (m, 4H), 3.89 (s, 1H), 1.80–2.02 (m, 2H), 1.66 (s, 3H), 1.02–1.06 (t, J = 7.5 Hz, 3H). 13C-NMR (75 MHz, CDCl3): δ (ppm) 146.2, 127.7, 125.0, 122.0, 129.5, 110.8, 78.9, 38.9, 29.6, 9.8.
2-Methyl-2-propylbenzothiazoline (2c): Yellow liquid, Yield 92%. IR (KBr, /cm−1) 3353 (N-H), 3067–2871 (C-H), 1583–1395 (C=C). 1H-NMR (300 MHz, CDCl3): δ (ppm) 6.62–7.06 (m, 4H), 3.85 (s, 1H), 1.80–1.98 (m, 2H), 1.68 (s, 3H), 1.44–1.58 (m, 2H), 0.94–0.99 (t, J = 7.5 Hz, 3H). 13C-NMR (75 MHz, CDCl3): δ (ppm) 146.0, 127.9, 124.9, 121.9, 120.6, 110.9, 78.2, 46.4, 30.0, 18.8, 14.2.
2-Isopropyl-2-methylbenzothiazoline (2d): Yellow liquid, Yield 84%. IR (KBr, /cm−1) 3348 (N-H), 3068–2869 (C-H), 1583–1373 (C=C). 1H-NMR (300 MHz, CDCl3): δ (ppm) 6.61–7.07 (m, 4H), 3.95 (s, 1H), 2.13–2.22 (m, 1H), 1.66 (s, 3H), 1.05–1.11 (q, J = 6.6 Hz, 6H). 13C-NMR (75 MHz, CDCl3): δ (ppm) 146.4, 127.0, 124.9, 121.8, 120.1, 110.2, 82.6, 39.9, 27.1, 19.0, 18.2.
2-(Acetonyl)-2-methylbenzothiazoline (2e): Transparent crystal, Yield 78%. IR (KBr, /cm−1) 3334 (N-H), 3070–2969 (C-H), 1580–1338, 1706 (C=C). 1H-NMR (300 MHz, CDCl3): δ (ppm) 6.52–6.95 (m, 4H), 6.42 (s, 1H), 3.14–3.21 (q, J = 17.4 Hz, 2H), 2.12 (S, 3H), 1.619 (s, 3H). 13C-NMR (75 MHz, CDCl3): δ (ppm) 206.1, 145.9, 125.2, 124.9, 121.1, 118.2, 108.8, 74.3, 55.8, 30.8, 29.5.
2-Butyl-2-methylbenzothiazoline (2f): Yellow liquid, Yield 76%. IR (KBr, /cm−1) 3349 (N-H), 3068–2859 (C-H), 1583–1374 (C=C). 1H-NMR (300 MHz, CDCl3): δ (ppm) 6.64–7.08 (m, 4H), 4.02 (s, 1H), 1.83–1.98 (m, 2H), 1.70 (s, 3H), 1.31–1.54 (m, 4H), 0.92–0.96 (t, J = 7.2 Hz, 3H). 13C-NMR (75 MHz, CDCl3): δ (ppm) 145.9, 127.8, 125.0, 122.0, 120.7, 110.9, 78.4, 73.8, 30.0, 27.7, 22.9, 14.1.
2-Isobutyl-2-methylbenzothiazoline (2g): Yellow liquid, Yield 76%. IR (KBr, /cm−1) 3357 (N-H), 2967 (C-H), 1582–1391 (C=C). 1H-NMR (300 MHz, CDCl3): δ (ppm) 6.64–7.08 (m, 4H), 3.88 (s, 1H), 1.84–1.98 (m, 3H), 1.70 (s, 3H), 1.02–1.04 (d, J = 6.3 Hz, 6H). 13C-NMR (75 MHz, CDCl3): δ (ppm) 145.7, 128.1, 125.0, 122.0, 120.6, 111.0, 78.4, 52.1, 30.5, 25.6, 21.5, 21.0.
2-tert-Butyl-2-methyl benzothiazoline (2h): Yellow liquid,Yield 80%. IR (KBr, /cm−1) 3362 (N-H), 3068–2871 (C-H), 1582–1385 (C=C). 1H-NMR (300 MHz, CDCl3): δ (ppm) 6.59–7.06 (m, 4H), 3.96 (s, 1H), 1.74 (s, 3H), 1.14 (s, 9H). 13C-NMR (75 MHz, CDCl3): δ (ppm) 146.7, 126.5, 124.8, 121.5, 119.7, 109.5, 85.7, 39.9, 27.1, 26.3, 26.3, 26.3.
2-Methyl-2-phenethylbenzothiazoline (2i): Transparent crystal, Yield 86%. IR (KBr, /cm−1) 3353 (N-H), 3060–2856 (C-H), 1602–1375 (C=C). 1H-NMR (300 MHz, CDCl3): δ (ppm) 6.66–7.38 (m, 9H), 3.90 (s, 1H), 2.89–2.94 (t, J = 6.6 Hz, 2H), 2.22–2.30 (m, 2H), 1.82 (s, 3H). 13C-NMR (75 MHz, CDCl3): δ (ppm) 146.1,141.7, 128.5, 128.5, 128.5, 128.5, 127.5, 126.0, 125.1, 122.0, 120.7, 110.8, 76.7, 45.9, 31.9, 30.3.
2,2-Diethylbenzothiazoline (2j): Yellow liquid, Yield 82%. IR (KBr, /cm−1) 3371 (N-H), 3068–2930 (C-H), 1583–1398 (C=C). 1H-NMR (300 MHz, CDCl3): δ (ppm) 6.59–7.05 (m, 4H), 3.89 (s, 1H), 1.88–1.95 (q, J = 7.5 Hz ,4H), 1.01–1.06 (t, J = 7.5 Hz, 6H). 13C-NMR (75 MHz, CDCl3): δ (ppm) 146.7, 127.1, 124.8, 121.7, 120.0, 109.9, 82.7, 34.5, 34.5, 9.2, 9.2.
2,2-Dipropylbenzothiazoline (2k): Yellow liquid, Yield 56%. IR (KBr, /cm−1) 3370 (N-H), 3068–2871 (C-H), 1583–1397 (C=C). 1H-NMR (300 MHz, CDCl3): δ (ppm) 6.59–7.05 (m, 4H), 3.94 (s, 1H), 1.85–1.90 (t, J = 7.8 Hz, 3H), 1.41–1.63 (m, 4H), 0.95–1.00 (t, J = 7.5 Hz, 6H). 13C-NMR (75 MHz, CDCl3):δ (ppm) 146.5, 127.3, 124.9, 121.7, 120.1, 110.0, 81.5, 44.7, 44.7, 18.2, 18.2, 14.3, 14.3.
3H-spiro[1,3-benzothiazoline-2,1’-cyclopentane] (2l): Transparent crystal, Yield 91%. IR (KBr, /cm−1) 3354 (N-H), 3066–2871 (C-H), 1581–1320 (C=C). 1H-NMR (300 MHz, CDCl3): δ (ppm) 6.64–7.08 (m, 4H), 4.00 (s, 1H), 2.16–2.25 (m, 2H), 1.99–2.08 (m, 2H), 1.77–1.82 (m, 4H). 13C-NMR (75 MHz, CDCl3): δ (ppm) 145.9, 128.1, 125.0, 121.8, 129.7, 110.9, 84.2, 42.5, 42.5, 22.9, 21.9.
3H-spiro[1,3-benzothiazoline-2,1’-cyclohexane] (2m): Transparent crystal, Yield 92%. IR (KBr, /cm−1) 3329 (N-H), 3063–2863 (C-H), 1579–1443 (C=C). 1H-NMR (300 MHz, CDCl3): δ (ppm) 6.64–7.06 (m, 4H), 3.94 (s, 1H), 2.20–2.24 (d, J = 12.6 Hz, 2H), 1.53–1.81 (m, 7H), 1.23–1.36 (m, 1H). 13C-NMR (75 MHz, CDCl3): δ (ppm) 145.9, 127.1, 125.0, 121.9,120.5, 110.9, 80.0, 40.9, 40.9, 25.0, 24.0, 24.0.
3.3. General Procedure for the Preparation of Sulfonylurea Benzothiazoline Derivatives 3
The intermediate 2 (5 mmol) was mixed with tosyl isocyanate (5 mmol) in a round-bottomed flask. The mixture was vigorously stirred at 10 °C for 12 h. At the end of the reaction, a solid precipitated. Then, the solid was washed with the mixed solution of anhydrous benzene and n-hexane to get compounds 3.
2,2-Dimethyl-N-[(4-methylphenyl)sulfonyl]-1,3-benzothiazoline-3(2H)-formamide (3a): White solid, Yield 96%, m.p. 129–131 °C. IR (KBr, /cm−1) 3242 (N-H), 3071–2928 (C-H), 1708 (C=O), 1341, 1152 (O=S=O). 1H-NMR (300 MHz, DMSO-d6): δ (ppm) 11.86 (s, 1H), 6.48–7.85 (m, 8H), 2.37–2.41 (d, J = 10.5 Hz, 3H), 1.61–1.70 (d, J = 24.9 Hz ,6H). 13C-NMR (75 MHz, DMSO-d6): δ (ppm) 147.3, 142.3, 141.9, 129.7, 127.8, 126.1, 125.4, 124.3, 123.5, 121.9, 118.8, 116.4, 109.4, 75.3, 31.9, 23.0, 21.4. HR-MS (ESI): m/z calcd. for C17H19N2O3S2 ([M + H]+) 363.0832 found 363.0827.
2-Ethyl-2-methyl-N-[(4-methylphenyl)sulfonyl]-1,3-benzothiazoline-3(2H)-formamide (3b): White solid, Yield 65%, m.p. 91–93 °C. IR (KBr, /cm−1) 3234 (N-H), 3064–2934 (C-H), 1704 (C=O), 1350, 1155 (O=S=O). 1H-NMR (300 MHz, CDCl3): δ (ppm) 6.97–7.98 (m, 8H), 2.43–2.45 (d, J = 6.3 Hz, 3H), 2.18–2.28 (m, 1H), 1.86–1.98 (m, 1H), 1.77 (s, 3H), 0.78–0.83 (t, J = 7.2 Hz, 3H). 13C-NMR (75 MHz, CDCl3): δ (ppm) 146.9, 122.9, 138.1, 136.0, 129.6, 129.6, 128.4, 128.4, 126.5, 125.6, 124.8, 123.5, 115.4, 82.8, 32.6, 26.7, 21.7, 9.3. HR-MS (ESI): m/z calcd. for C18H21N2O3S2 ([M + H]+) 377.0988 found 377.0984.
2-Propyl-2-methyl-N-[(4-methylphenyl)sulfonyl]-1,3-benzothiazoline-3(2H)-formamide (3c): White solid, Yield 78%, m.p. 91–94 °C. IR (KBr, /cm−1) 3380 (N-H), 3057–2872 (C-H), 1715 (C=O), 1349, 1162 (O=S=O). 1H-NMR (300 MHz, CDCl3): δ (ppm) 6.97–7.98 (m, 8H), 2.44–2.45 (d, J = 4.5 Hz, 3H), 2.13–2.23 (m, 1H), 1.82–1.88 (m, 1H), 1.77 (s, 3H), 1.34–1.46 (m, 1H), 0.93–1.03 (m, 1H), 0.70–0.74 (t, J = 6.6 Hz, 3H). 13C-NMR (75 MHz, CDCl3): δ (ppm) 146.9, 144.9, 138.0, 135.9, 129.5, 129.5, 128.4, 128.4, 126.5, 125.6, 124.8, 123.5, 115.4, 81.9, 41.6, 27.3, 21.7, 18.4, 13.7. HR-MS (ESI): m/z calcd. for C19H23N2O3S2 ([M + H]+) 391.1145 found 391.1144.
2-Isopropyl-2-methyl-N-[(4-methylphenyl)sulfonyl]-1,3-benzothiazoline-3(2H)-formamide (3d): White solid, Yield 70%, m.p. 105–109 °C. IR (KBr, /cm−1) 3347 (N-H), 3056–2973 (C-H), 1706 (C=O), 1357, 1164 (O=S=O). 1H-NMR (300 MHz, CDCl3): δ (ppm) 6.96–7.97 (m, 8H), 2.60–2.69 (m, 1H), 2.45 (s, 3H), 1.79 (s, 3H), 0.92–0.95 (d, J = 6.9 Hz, 3H), 0.76–0.78 (d, J = 6.6 Hz, 3H). 13C-NMR (75 MHz, CDCl3): δ (ppm) 147.2, 144.8, 138.9, 136.1, 129.5, 129.5, 128.4, 128.4, 126.5, 125.5, 124.7, 123.1, 115.3, 87.1, 36.4, 25.4, 21.7, 18.4, 17.9. HR-MS (ESI): m/z calcd. for C19H23N2O3S2 ([M + H]+) 391.1145 found 391.1149.
2-Acetonyl-2-methyl-N-[(4-methylphenyl)sulfonyl]-1,3-benzothiazoline-3(2H)-formamide (3e): White solid, Yield 55%, m.p. 128–130 °C. IR (KBr, /cm−1) 3175 (N-H), 1714 (C=O), 1350, 1164 (O=S=O). 1H-NMR (300 MHz, CDCl3): δ (ppm) 6.52–7.71 (m, 8H), 6.43 (s, 1H), 3.14–3.21 (q, J = 17.4 Hz, 4H), 2.37 (s, 3H), 2.12 (s, 3H), 1.61 (s, 3H). 13C-NMR (75 MHz, CDCl3): δ (ppm) 206.1, 145.9, 141.8, 141.4, 129.2, 129.2, 128.3, 125.6, 125.6, 125.2, 124.9, 121.1, 118.2, 108.8, 74.3, 55.8, 30.8, 29.5, 20.8. HR-MS (ESI): m/z calcd.. for C19H20N2NaO4S2 ([M + Na]+) 427.0756 found 427.0754.
2-Butyl-2-methyl-N-butyl-[(4-methylphenyl)sulfonyl]-1,3-benzothiazoline-3-(2H)-formamide (3f): White solid, Yield 50%, IR (KBr, /cm−1) 3245 (N-H), 3068–2871 (C-H), 1702 (C=O), 1352, 1166 (O=S=O). 1H-NMR (300 MHz, CDCl3): δ (ppm) 6.97–7.97 (m, 8H), 2.45 (s, 3H), 1.77 (s, 3H), 0.87–1.42 (m, 6H), 0.69–0.74 (t, J = 7.2 Hz, 3H). 13C-NMR (75 MHz, CDCl3): δ (ppm) 144.8, 129.5, 129.5, 128.3, 128.3, 126.4, 125.5, 124.7, 123.4, 121.9, 120.5, 115.4, 110.8, 82.1, 43.8, 38.9, 30.0, 27.2, 22.4, 13.8. HR-MS (ESI): m/z calcd. for C20H25N2O3S2 ([M + H]+) 405.1301 found 405.1306.
2-Isobutyl-2-methyl-N-[(4-methylphenyl)sulfonyl]-1,3-benzothiazoline-3-(2H)-formamide (3g): White solid, Yield 36%, m.p. 96–98 °C. IR (KBr, /cm−1) 3248 (N-H), 2976–2864 (C-H), 1697 (C=O), 1345, 1163 (O=S=O). 1H-NMR (300 MHz, CDCl3): δ (ppm) 6.98–7.98 (m, 8H), 2.45 (s, 3H), 2.07–2.13 (q, J = 5.1 Hz, 1H), 1.83–1.89 (q, J = 5.7 Hz, 1H), 1.80 (s, 3H), 1.64–1.72 (m, 1H), 0.87–0.90 (d, J = 6.6 Hz, 3H), 0.70–0.72 (d, J = 6.9 Hz, 3H). 13C-NMR (75 MHz, CDCl3): δ (ppm) 147.0, 144.9, 138.0, 136.1, 129.5, 129.5, 128.4, 128.4, 126.5, 125.6, 124.9, 123.5, 115.6, 82.0, 47.7, 27.3, 25.3, 24.3, 23.9, 21.7. HR-MS (ESI): m/z calcd. for C20H25N2O3S2 ([M + H]+) 405.1301 found 405.1307.
2-Tert-butyl-2-methyl-N-[(4-methylphenyl)sulfonyl]-1,3benzothiazoline-3(2H)-formamide (3h): White solid, Yield 59%, m.p. 126–129 °C. IR (KBr, /cm−1) 3256 (N-H), 2972 (C-H), 1701 (C=O), 1349, 1167 (O=S=O). 1H-NMR (300 MHz, CDCl3): δ (ppm) 7.03–7.97 (m, 8H), 2.45 (s, 3H), 1.79 (s, 3H), 0.96 (s, 9H). 13C-NMR (75 MHz, CDCl3): δ (ppm) 147.9, 144.7, 140.9, 136.2, 133.1, 129.5, 129.5, 128.3, 128.3, 126.5, 125.6, 122.1, 117.3, 89.4, 43.7, 25.6, 25.6, 25.6, 23.0, 21.7. HR-MS (ESI): m/z calcd. for C20H25N2O3S2 ([M + H]+) 405.1301 found 405.1305.
2-Phenylethyl-2-methyl-N-[(4-methylphenyl)sulfonyl]-1,3–benzothiazoline-3(2H)-formamide (3i): White solid, Yield 95%, m.p. 126–129 °C. IR (KBr, /cm−1) 3333 (N-H), 3070–2892 (C-H), 1706 (C=O), 1364, 1118 (O=S=O). 1H-NMR (300 MHz, DMSO-d6): δ (ppm) 12.03 (s, 1H), 6.72–7.92 (m, 13H), 2.70–2.82 (m, 1H), 2.48 (s, 1H), 2.42 (s, 3H), 1.99–2.14 (m, 2H), 1.68–1.72 (s, 3H). 13C-NMR (75 MHz, DMSO-d6): δ (ppm) 149.0, 147.6, 144.2, 142.2, 141.3, 138.9, 137.8, 129.9, 128.5, 128.1, 127.2, 126.2, 125.5, 124.2, 123.5, 121.7, 118.5, 116.3, 108.9, 80.9, 46.1, 31.7, 29.0, 21.6. HR-MS (ESI): m/z calcd. for C24H24N2NaO3S2 ([M + Na]+) 475.1120 found 475.1113.
2,2,-Diethyl-N-[(4-methylphenyl)sulfonyl]-1,3-benzothiazoline-3(2H)-formamide (3j): White solid, Yield 40%, m.p. 103–105 °C. IR (KBr, /cm−1) 3280 (N-H), 2959–2934 (C-H), 1715 (C=O), 1349, 1163 (O=S=O). 1H-NMR (300 MHz, CDCl3): δ (ppm) 6.98–7.98 (m, 8H), 2.46 (s, 3H), 2.13–2.24 (m, 1H), 1.83–1.88 (m, 1H), 1.77 (s, 3H), 1.34–1.46 (m, 1H), 0.93–1.03 (m, 1H), 0.70–0.74 (t, J = 7.2 Hz, 3H). 13C-NMR (75 MHz, CDCl3): δ (ppm) 146.9, 144.9, 138.0, 135.9, 129.5, 129.5, 128.4, 128.4, 126.5, 125.6, 124.8, 123.5, 115.3, 81.9, 41.6, 27.3, 21.7, 18.4, 13.7. HR-MS (APCI): m/z calcd. for C19H23N2O3S2 ([M + H]+) 391.1145 found 391.1140.
2,2,-Dipropyl-N-[(4-methylphenyl)sulfonyl]-1,3-benzothiazoline-3(2H)-formamide (3k): White solid, Yield 82%, m.p. 101–104 °C. IR (KBr, /cm−1) 3187 (N-H), 3066–2871 (C-H), 1700 (C=O), 1344, 1167 (O=S=O). 1H-NMR (300 MHz, CDCl3): δ (ppm) 6.94–7.96 (m, 8H), 2.44 (s, 3H), 2.15–2.25 (m, 2H), 1.67–1.77 (m, 2H), 1.35–1.47 (m, 2H), 0.81–0.98 (m, 2H), 0.66–0.71 (t, J = 7.2 Hz, 6H). 13C-NMR (75 MHz, CDCl3): δ (ppm) 147.0, 144.9, 138.5, 135.7, 129.4, 129.4, 128.6, 128.6, 126.5, 125.4, 124.6, 123.1, 114.8, 85.7, 41.4, 41.4, 21.6, 17.9, 17.9, 13.7, 13.7. HR-MS (ESI): m/z calcd. for C21H27N2O3S2 ([M + H]+) 419.1458 found 419.1461.
N-[(4-Methylphenyl)sulfonyl]-3h-screw[1,3-benzothiazoline-2,1’-cyclopentane]-3-formamide (3l): White solid, Yield 95%, m.p. 120–121 °C. IR (KBr, /cm−1) 3286 (N-H), 3066–2869 (C-H), 1602 (C=O), 1343, 1153 (O=S=O). 1H-NMR (300 MHz, DMSO-d6): δ (ppm) 6.99–7.99 (m, 8H), 2.53–2.63 (m, 2H), 2.46 (s, 3H), 1.65–2.02 (m, 6H). 13C-NMR (75 MHz, DMSO-d6): δ (ppm) 146.8, 144.9, 138.5, 136.1, 129.6, 129.6, 128.4, 128.4, 126.5, 125.7, 124.9, 123.5, 115.5, 87.2, 38.1, 38.1, 23.7, 23.7, 21.7. HR-MS (ESI): m/z calcd. for C19H21N2O3S2 ([M + H]+) 389.0988 found 389.0982.
N-[(4-Methyl-phenyl)sulfonyl]-3h-screw[1,3-benzothiazoline-2,1’-cyclohexane]-3-formamide (3m): White solid, Yield 99%, m.p. 149–152 °C. IR (KBr, /cm−1) 3287 (N-H), 3071–2849 (C-H), 1692 (C=O), 1346, 1160 (O=S=O). 1H-NMR (300 MHz, DMSO-d6): δ (ppm) 11.95 (s, 1H), 6.96–7.89 (m, 8H), 2.44 (s, 3H), 1.09–2.38 (m, 10H). 13C-NMR (75 MHz, DMSO-d6): δ (ppm) 149.0, 144.2, 140.0, 137.9, 129.9, 127.8, 126.9, 124.1, 123.3, 121.7, 118.4, 116.4, 109.1, 84.9, 35.1, 25.0, 24.7, 24.3, 24.0, 21.6. HR-MS (ESI): m/z calcd. for C20H23N2O3S2 ([M + H]+) 403.1145 found 403.1149.
4. Conclusions
In conclusion, a series of novel sulfonylurea benzothiazoline derivatives was rationally designed and synthesized using a solvent-free method, and identified as potential herbicide safeners for sulfonylurea herbicides. All the synthesized compounds displayed safener activity to chlorsulfuron to some extent, and compound 3c was even superior to the commercial safener AD-67. The results suggest that compound 3c might be a novel candidate for a potential safener.
Supplementary Materials
Supplementary data associated with this article can be found in the online.
Acknowledgments
This work was supported by the National Nature Science Foundation of China (31572042), the National Nature Science Foundation of Heilongjiang Province (ZD2017002), and the Research Science Foundation in Technology Innovation of Harbin (2015RAYXJ010). The authors are grateful to Jia-Zhong Li (Lanzhou University) for assistance with molecular docking analyses.
Author Contributions
Y.F. and F.Y. developed the concept of the work. J.-Y.W. and L.-X.Z. carried out the synthetic work. Y.-F.C. developed the molecular docking and comparison. S.G. conducted the bioactivity assay. D.Z. contributed to the discussed and analyzed the results. Y.F. wrote the paper.
Conflicts of Interest
The authors have no conflicts of interest to declare.
References
- Berrade, L.; Aisa, B.; Ramirez, M.J.; Galiano, S.; Guccione, S.; Moltzau, L.R.; Levy, F.O.; Nicoletti, F.; Battaglia, G.; Molinaro, G.; et al. Novel benzo [b] thiophene derivatives as new potential antidepressants with rapid onset of action. J. Med. Chem. 2011, 54, 3086–3090. [Google Scholar] [CrossRef] [PubMed]
- Venturelli, A.; Tondi, D.; Cancian, L.; Morandi, F.; Cannazza, G.; Segatore, B.; Prati, F.; Amicosante, G.; Shoichet, B.K.; Costi, M.P. Optimizing cell permeation of an antibiotic resistance inhibitor for improved efficacy. J. Med. Chem. 2007, 50, 5644–5654. [Google Scholar] [CrossRef] [PubMed]
- Mahran, M.; El-Nassry, S.; Allam, S. Synthesis of some new benzothiazole derivatives as potential antimicrobial and antiparasitic agents. Int. J. Pharm. Sci. 2003, 58, 527–530. [Google Scholar] [CrossRef]
- Collier, P.; Ramsey, A.; Austin, P. Growth inhibitory and biocidal activity of some isothiazolone biocides. J. Appl. Microbiol. 1990, 69, 569–577. [Google Scholar] [CrossRef]
- International Union of Pure and Applied Chemistry; Sacher, R.M.; Lee, L.F.; Schafer, D.E.; Howe, R.K. Pesticide Chemistry: Human Welfare and Environment: Synthesis and Structure-activity Relationships; Elsevier Ltd.: Amsterdam, The Netherlands, 1983; pp. 165–168. [Google Scholar]
- Rendina, A.; Campopiano, O.; Marsilii, E.; Hixon, M.; Chi, H.; Taylor, W.; Hagenah, J. Overlap between herbicidal inhibitors of acetyl-coenzyme a carboxylase: Enhanced binding of cyclic triketones, a novel class of graminicide. Pestic. Sci. 1995, 43, 368–371. [Google Scholar]
- Chen, J.L.; Tang, W.; Che, J.Y.; Chen, K.; Yan, G.; Gu, Y.C.; Shi, D.Q. Synthesis and biological activity evaluation of novel α-amino phosphonate derivatives containing a pyrimidinyl moiety as potential herbicidal agents. J. Agric. Food Chem. 2015, 63, 7219–7229. [Google Scholar] [CrossRef] [PubMed]
- Xie, Y.; Chi, H.W.; Guan, A.Y.; Liu, C.L.; Ma, H.J.; Cui, D.L. Design, synthesis, and herbicidal activity of novel substituted 3-(pyridin-2-yl) benzenesulfonamide derivatives. J. Agric. Food Chem. 2014, 62, 12491–12496. [Google Scholar] [CrossRef] [PubMed]
- Hatzios, K.K. Herbicide antidotes: Development, chemistry, and mode of action. Adv. Agron. 1983, 36, 265–316. [Google Scholar]
- Komives, T.; Hatzios, K.K. Chemistry and structure-activity relationships of herbicide safeners. Z. Naturforsch. C 1991, 46, 798–804. [Google Scholar]
- Fu, Y.; Qu, L.H.; Zhang, S.S.; Ye, F.; Zhao, L.X.; Gao, S.; Xing, Z.Y. Simple and efficient synthesis of novel N-dichloroacetyl-3,4-dihydro-2H-1,4-benzoxazines. Heterocycl. Commun. 2012, 18, 143–146. [Google Scholar] [CrossRef]
- Fu, Y.; Kang, J.X.; Wang, Y.K.; Liu, J.; Zhao, L.X.; Gao, S.; Ye, F. Design, synthesis and biological activity of novel sulfonylurea oxazolidines. Heterocycles 2016, 92, 740–750. [Google Scholar]
- Ye, F.; Wu, S.L.; Zhao, L.X.; Qu, H.T.; Gao, S.; Fu, Y. Synthesis and safener activity of novel substituted 4-phenoxyacetyl-1,4-benzoxazines. Heterocycles 2015, 91, 1256–1268. [Google Scholar]
- Liso, G.; Trapani, G.; Latrofa, A.; Marchini, P. Oxidative ring-expansion of benzothiazolines into 1,4-benzothiazines. J. Heterocyclic Chem. 1981, 18, 279–282. [Google Scholar] [CrossRef]
- Prakash, G.S.; Mathew, T.; Panja, C.; Vaghoo, H.; Venkataraman, K.; Olah, G.A. Efficient one-pot synthesis of fluorinated benzimidazolines, benzothiazolines, benzoxazolines, and dihydrobenzoxazinones using gallium(III) triflate as a catalyst. Org. Lett. 2007, 9, 179–182. [Google Scholar] [CrossRef] [PubMed]
- Zhong, W.; Chen, X.; Zhang, Y. Low-valent titanium induced simultaneous reduction of nitro group and SS bond in nitrodisulfides: A novel method for the synthesis of benzothiazoline, benzothiazoles and 2,3-dihydro-1,5-benzothiazepines. Synth. Commun. 2000, 30, 4451–4460. [Google Scholar] [CrossRef]
- Chen, X.Y.; Zhong, W.H.; Zhang, Y.M. Simultaneous reduction of nitro group and S-S bond in nitrodisulfides by samarium diiodide: A new approach to benzothiazolines. Chin. Chem. Lett. 2000, 11, 387–388. [Google Scholar]
- Tanaka, K. Solvent-Free Organic Synthesis; Wiley-VCH: New York, NY, USA, 2003. [Google Scholar]
- Kodomari, M.; Satoh, A.; Nakano, R.; Aoyama, T. Solvent-Free Synthesis of benzothiazolines in the presence of alumina. Synth. Commun. 2007, 37, 3329–3335. [Google Scholar] [CrossRef]
Sample Availability: Samples of the compounds are available from the authors’ lab. |
© 2017 by the authors. Licensee MDPI, Basel, Switzerland. This article is an open access article distributed under the terms and conditions of the Creative Commons Attribution (CC BY) license (http://creativecommons.org/licenses/by/4.0/).







