Abstract
A new and efficient Pd(II)/AgNO3-cocatalyzed homocoupling of aromatic terminal alkynes is described. Various symmetrical 1,4-disubstituted-1,3-diynes are obtained in good to excellent yields. This protocol employs a loading with relatively low palladium(II) in aqueous media under aerobic conditions.
1. Introduction
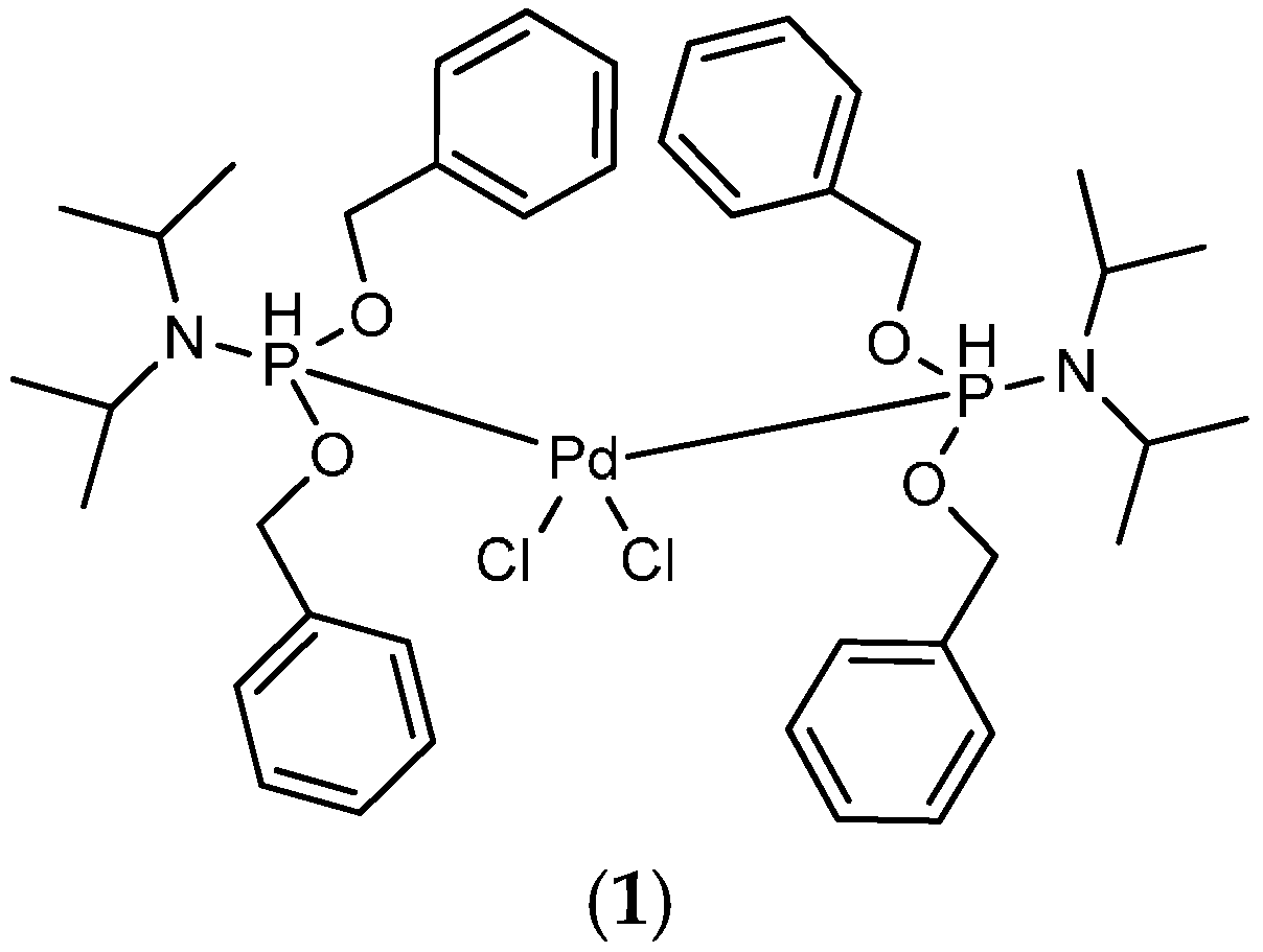
Compounds which contain a 1,4-disubstituted-1,3-diyne linkage have been found in applications in areas ranging from pharmaceuticals with anti-inflammatory, antibacterial, antitumor, and antifungal activities to a large variety of polymers, biologically active molecules, and supramolecular materials with appreciable photoelectrical properties [1,2,3,4,5,6]. The homocoupling reaction of terminal alkyne is the classical protocol, and the choice of the catalytic system is a pivotal factor for the synthesis of symmetrical 1,3-diynes [7,8,9,10]. Palladium complexes in combination with Cu salts are traditionally employed as cocatalysts for the reaction [11,12,13,14,15,16,17,18]. Recently, apart from copper salts, catalysts, based on other transition metals such as Ni [19], Co [20], Au [21], and Ti [22] have also been employed in terminal alkyne homocoupling reactions. Moreover, an iron in combination with a Cu salt cocatalyst has also been reported [23]. Furthermore, the metal-free cocatalyst palladium-catalyzed homocoupling reactions have been described [24,25]. However, to the best of our knowledge, Ag2O has been reported as a cocatalyst for the homocoupling reaction of terminal alkynes [26], but Ag(I) as a cocatalyst has not been reported. Our group has recently synthesized and characterized a new palladium(II) complex (1) (Figure 1) via single-crystal X-ray crystallography. Owing to the inertness of the palladium(II) complex (1) towards oxygen and moisture, it has been used as catalyst in an aerobic Suzuki coupling reaction [27] and an aerobic cyanation of aryl halides [28]. Herein, we wish to report the use of a new Pd(II)/AgNO3 cocatalytic system for the homocoupling reaction of aromatic terminal alkyne under aerobic conditions.
Figure 1.
Palladium(II) complex (1).
2. Results and Discussion
2.1. Optimization of the Homocoupling Reaction Conditions
In our initial experiments, we observed that the homocoupling of phenylacetylene (1 mmol, 1a) in the presence of Pd(II) complex 1 (0.5 mol %) and NaOH (1 mmol) in THF/H2O (in 4:1 proportion, 2.5 mL) at 60 °C proceeded to give the desired homocoupling product (2a) in a small isolated yield (<10%) (Table 1, Entry 1). After an addition of AgNO3 (0.05 mmol), the yield was up to 51% under the same conditions (Table 1, Entry 2). This observation prompted us to further investigate the effect of a base on this protocol, finding that the best result was obtained in the presence of Cs2CO3 as a base (Table 1, Entry 11). The effect of the solvent in the reaction was also studied using a different co-solvent, and a 93% yield of the desired product (2a) was isolated in n-butyl alcohol/H2O (in 4:1 proportion, 2.5 mL) (Table 1, Entry 22). Consequently, n-butyl alcohol/H2O was chosen as the best co-solvent.
Table 1.
Effects of solvent and base on the homocoupling of phenylacetylene a.
We continued to examine the influence of the ratio of co-solvent, temperature, time, and amount of catalyst and AgNO3 on the yields. As can be seen in Table 2, the reaction proceeded perfectly to obtain 97% yield in n-butyl alcohol/H2O (in 1:2 proportion, 3 mL) in the presence of 1 (0.5 mol %) and AgNO3 (0.05 mmol) at 60 °C under aerobic conditions (Table 2, Entry 5), but only a trace yield of 1,4-diphenylbuta-1,3-diyne (2a) was obtained in the absence of Pd(II) complex catalyst 1 or AgNO3 (Table 2, Entries 7,11). However, when 0.5 mol % Pd(II) complex catalyst 1 and 0.075 mol % AgNO3 were used as a cocatalyst, the yield obviously enhanced, with the homocoupling of phenylacetylene (1a) being quantitative (Table 2, Entry 14). These results show that both Pd(II) complex catalyst 1 and AgNO3 play important roles in the oxidative homocoupling reaction of terminal alkynes. Then the temperature effects were examined in this homocoupling reaction, finding that the homocoupling product 2a was obtained in higher yield (99%) at 60 °C, but in lower yield (92%) at 80 °C (Table 2, Entries 14,21), which is consistent with the results of Shi and colleagues [14]. With a lower temperature (40 °C), 2a was obtained in moderate yield (56%) (Table 2, Entry 20). Under these reaction conditions, prolonging the homocoupling reaction time from 4–24 h, the yield of 2a increased from 13% to 99% (Table 2, Entries 14,16–18). In a word, the best result was obtained to carry out the reaction in n-butyl alcohol/H2O (in 1:2 proportion) using Cs2CO3 as a base at 60 °C under aerobic conditions for 24 h.
Table 2.
Effects of other reaction conditions on the homocoupling of phenylacetylene a.
2.2. Scope and Limitations of Substrates
Encouraged by the efficiency of the reaction protocol described above, we investigated the substrate scope. A variety of aromatic terminal alkynes were tested to afford the corresponding aromatic 1,4-disubstituted-1,3-diyne derivatives in good to excellent yields under the optimized conditions. The results are summarized in Table 3. As can be seen, the homocoupling reactions of various aromatic acetylenes with electron-donating groups on aromatic rings such as methyl, n-butyl, tert-butyl, and methoxy gave almost the same high yields (82%–93%) (Table 3, Entries 2–7). Besides, no significant difference was observed in yield at the same reaction conditions when the effect of different position of the substituent groups on aromatic rings on the homocoupling reaction of aromatic terminal alkynes was studied (Table 3, Entries 2,3,6,7). However, the homocoupling product was obtained in lower yield (56%) when aromatic acetylene with the electron-withdrawing fluoro group on the aromatic ring was homocoupled under optimized conditions (Table 3, Entry 8).
Table 3.
Pd(II)/AgNO3-catalyzed the homocoupling reactions of aromatic terminal alkynes a.
3. Experimental Section
3.1. Reagents and Machine
The Pd(II) complex catalyst 1 was prepared according to a procedure found in the literature [27]. Aromatic alkyne derivatives were obtained commercially from J&K Chemical Technology (Shanghai, China). All reagents employed in the reaction were analytical grade, and other chemicals were obtained commercially and used without any prior purification. All products were isolated using thin-layer chromatography (Qingdao Haiyang Chemical CO., Ltd, Qingdao, China) with GF254 silica gel using Petroleum ether and ethyl acetate unless otherwise noted. Products described in the literature were characterized using 1H-NMR and 13C-NMR spectra and compared with previously reported data. 1H-NMR and 13C-NMR spectra were recorded with a Bruker Avance II 400 spectrometer (Fällanden, Switzerland) using tetramethylsilane as the internal standard and CDCl3 as the solvent.
3.2. General Experimental Procedure for the Homocoupling Reaction of Various Aromatic Alkynes
All reactions were carried out under aerobic conditions. A mixture of aromatic alkyne (1.0 mmol), AgNO3 (0.075 mmol), Cs2CO3 (1.0 mmol), catalyst compound 1 (0.5 mol %), and n-butyl alcohol/H2O (in 1:2 proportion, 3 mL) was stirred at 60 °C for 24 h and then extracted three times with ethyl acetate (3 × 15 mL). The combined organic phase was dried with MgSO4, filtrated, and then solvent was removed on a rotary evaporator. The product was isolated by thin-layer chromatography. The purified products were identified by 1H-NMR and 13C-NMR spectroscopy (Figures S1–S10).
3.3. Analytical Data of Representative Products
1,4-Diphenylbuta-1,3-diyne (Table 3, Entry 1): White solid (m.p. = 86–87 °C, lit [29] 85–86 °C). 1H-NMR (400 MHz, CDCl3): δ 7.75–7.60 (m, 4H), 7.60–7.40 (m, 6H). 13C-NMR (101 MHz, CDCl3): δ 138.17, 134.90, 134.13, 127.43, 87.29, 79.68.
1,4-Di-o-tolybuta-1,3-diyne (Table 3, Entry 2): White solid (m.p. = 72–74 °C, lit [30] 72–74 °C). 1H-NMR (400 MHz, CDCl3): δ 8.41 (d, J = 7.6 Hz, 2H), 8.19–8.09 (m, 4H), 8.05 (t, J = 7.4 Hz, 2H), 3.40 (s, 6H). 13C-NMR (101 MHz, CDCl3): δ 146.23, 137.53, 134.20, 133.74, 130.29, 126.33, 85.81, 82.22, 25.35.
1,4-Di-m-tolybuta-1,3-diyne (Table 3, Entry 3): White solid (m.p. = 69–71 °C, lit [30] 68–70 °C). 1H-NMR (400 MHz, CDCl3): δ 8.40 (d, J = 6.4Hz, 4H), 8.28 (ddd, J = 22.5, 9.9, 4.4Hz, 4H), 3.40 (s, 6H). 13C-NMR (101 MHz,CDCl3): δ144.08, 138.89, 136.05, 135.53, 134.25, 127.54 , 87.56, 79.61, 27.12 .
1,4-Bis(4-butylphenyl)buta-1,3-diyne (Table 3, Entry 4): White solid (m.p. = 65–66 °C, lit [31] 67 °C). 1H-NMR (400 MHz, CDCl3): δ 8.12–7.99 (m, 4H), 7.76 (d, J = 7.1 Hz, 4H), 3.22 (t, J = 7.6 Hz, 4H), 2.30–2.11 (m, 4H), 1.96 (dd, J = 14.0, 7.0 Hz, 4H), 1.55 (t, J = 7.3, 1.8 Hz, 6H). 13C-NMR (101 MHz, CDCl3): δ 148.03, 136.00, 132.16, 122.59, 85.20, 77.18, 39.30, 36.92, 25.94, 17.54.
1,4-Bis(4-tert-butylphenyl)buta-1,3-diyne (Table 3, Entry 5): White solid (m.p. = 202–204 °C, lit [32] 203–204 °C). 1H-NMR (400 MHz, CDCl3): δ 7.88 (d, J = 7.4 Hz, 4H), 7.77 (d, J = 7.5 Hz, 4H), 1.73 (s, 18H). 13C-NMR (101 MHz, CDCl3): δ 156.51, 136.24, 129.45, 122.80, 85.49, 77.50, 38.86, 35.08.
1,4-Bis(4-methoxyphenyl)buta-1,3-diyne (Table 3, Entry 6): White solid (m.p. = 39–141 °C, lit [29] 138–139 °C). 1H-NMR (400 MHz, CDCl3): δ 8.17 (d, J = 8.6 Hz, 4H), 7.56 (d, J = 8.6 Hz, 4H), 4.51 (s, 6H). 13C-NMR (101 MHz, CDCl3): δ 164.19, 137.99, 136.34, 133.18, 118.09, 117.85, 85.51, 85.21, 76.92, 59.27.
1,4-Bis(2-methoxyphenyl)buta-1,3-diyne (Table 3, Entry 7): White solid(m.p. = 72–74 °C, lit [13] 72–74 °C). 1H-NMR (400 MHz, CDCl3): δ 7.73 (dd, J = 7.6, 1.3 Hz, 2H), 7.62–7.52 (m, 2H), 7.15 (dd, J = 16.6, 8.1 Hz, 4H), 4.14 (s, 6H). 13C-NMR: δ 163.25, 136.28, 132.53, 122.43, 113.11, 112.60, 80.63, 79.91, 57.71.
1,4-Bis(4-fluorophenyl)buta-1,3-diyne (Table 3, Entry 8): White solid (m.p. = 190–192 °C, lit [29] 192–193 °C). 1H-NMR (400 MHz, CDCl3): δ 8.09 (dd, J = 8.6, 5.4 Hz, 4H), 7.62 (t, J = 8.6 Hz, 4H). 13C-NMR (101 MHz, CDCl3): δ 137.11, 118.60, 118.38, 83.00, 76.09.
1,4-Bis(3-chlorophenyl)buta-1,3-diyne (Table 3, Entry 9): White solid (m.p. = 73–74 °C, lit [33] 73 °C). 1H-NMR (400 MHz, CDCl3): δ 7.86 (s, 2H), 7.74 (dd, J = 19.5, 8.0 Hz, 4H), 7.63 (dd, J = 10.7, 5.0 Hz, 2H). 13C-NMR (101 MHz, CDCl3): δ 137.61, 135.52, 133.92, 132.98, 126.53, 83.82, 77.96.
1,4-Bis(2-bromophenyl)buta-1,3-diyne (Table 3, Entry 10): White solid (m.p. = 180–182 °C, lit [34] 182 °C). 1H-NMR (400 MHz, CDCl3): δ 7.68–7.55 (m, 4H), 7.38–7.20 (m, 4H). 13C-NMR (101 MHz, CDCl3): δ 138.78, 136.84, 134.65, 133.15, 132.01, 131.37, 131.33, 131.28, 130.44, 128.28, 85.32, 82.09.
4. Conclusions
In summary, we have developed a new and efficient Pd(II)/AgNO3 catalytic system for the homocoupling of various terminal alkynes. It is noteworthy that our protocol employs a relatively low-palladium catalyst loading in aqueous media under aerobic conditions to obtain the coupled products in good to excellent yields. Currently, further efforts to study the mechanism and apply the new approach in other transformations are under way in our laboratory.
Supplementary Materials
Supplementary materials can be accessed at http://www.mdpi.com/1420-3049/21/5/606/s1.
Acknowledgements
This research was financially supported by the National Natural Science Foundation of China (No. 21363026), the Scientific and Technological Landing Project of Higher Education of Jiangxi Province (No. KJLD13091), and the Graduate Student’ Innovative Education Program of Jiangxi Province (No. YC2014-S454).
Author Contributions
Mengping Guo and Bo Chen conceived and designed research. Meiyun Lv, Xiuling Zhou, Yongju Wen, and Xiuli Shen performed the experiments. Mengping Guo wrote the paper.
Conflicts of Interest
The authors declare no conflict of interest.
References
- Glaser, C. Beitriige zur kenntnifs des acetenylbenzols. Ber. Dtsch. Chem. Ges. 1869, 2, 422–424. [Google Scholar] [CrossRef]
- Shi Shun, A.L.K.S.; Tykwinski, R.R. Synthesis of naturally occurring polyynes. Angew. Chem. Int. Ed. 2006, 45, 1034–1057. [Google Scholar] [CrossRef] [PubMed]
- Stefani, H.A.; Costa, I.M.; Zeni, G. Synthesis of polyacetylenic montiporic acids A and B. Terahedron Lett. 1999, 40, 9215–9217. [Google Scholar] [CrossRef]
- Anderson, S.; Anderson, H.L. Synthesis of a water-soluble conjugated [3]rotaxane. Angew. Chem. Int. Ed. Engl. 1996, 35, 1956–1959. [Google Scholar] [CrossRef]
- Zhang, C.; Chen, C.F. Synthesis and structure of a triptycene-based nanosized molecular cage. J. Org. Chem. 2007, 72, 9339–9341. [Google Scholar] [CrossRef] [PubMed]
- Sienmsen, P.; Livingston, R.C.; Diederich, F. Acetylenic coupling: A powerful tool in molecular construction. Angew. Chem. Int. Ed. 2000, 39, 2632–2657. [Google Scholar] [CrossRef]
- Sindhu, K.S.; Gopinathan, A. Recent advances and applications of Glaser coupling employing greener protocols. RSC Adv. 2014, 4, 27867–27887. [Google Scholar] [CrossRef]
- Stefani, H.A.; Guarezemini, A.S.; Cella, R. Homocoupling reactions of alkynes, alkenes and alkyl compounds. Tetrahedron 2010, 66, 7871–7918. [Google Scholar] [CrossRef]
- Alonso, F.; Yus, M. Heterogeneous catalytic homocoupling of terminal alkynes. ACS Catal. 2012, 2, 1441–1451. [Google Scholar] [CrossRef]
- Chinchilla, R.; Nájera, C. Chemical from alkynes with palladium catalysts. Chem. Rev. 2014, 114, 1783–1826. [Google Scholar] [CrossRef] [PubMed]
- Li, J.H.; Liang, Y.; Zhang, X.D. Amine and phosphine-free palladium(II)-catalyzed homocoupling reaction of terminal alkynes. Tetrahedron 2005, 61, 1903–1907. [Google Scholar] [CrossRef]
- Yang, F.; Cui, X.L.; Li, N.; Zhang, J.L.; Ren, G.R.; Wu, Y.J. Cyclopalladated ferrocenylimines: Efficient catalysts for homocoupling and Sonogashira reaction of terminal alkynes. Tetrahedron 2007, 63, 1963–1969. [Google Scholar] [CrossRef]
- Chen, S.N.; Wu, W.Y.; Tsai, F.Y. Homocoupling reaction of terminal alkynes catalyzed by a reusable cationic 2,2′-bipyridyl palladium(II)/CuI system in water. Green Chem. 2009, 11, 269–274. [Google Scholar] [CrossRef]
- Shi, M.; Qian, H.X. NHC-Pd(II) complex-Cu(I) cocatalyzed homocoupling reaction of terminal alkynes. Appl. Organomet. Chem. 2006, 20, 771–774. [Google Scholar] [CrossRef]
- Li, J.H.; Liang, Y.; Xie, Y.X. Efficient palladium-catalyzed homocoupling reaction and sonogashira cross-coupling reaction of terminal alkynes under aerobic conditions. J. Org. Chem. 2005, 70, 4393–4396. [Google Scholar] [CrossRef] [PubMed]
- Gil-Moltó, J.; Nájera, C. Palladium(II) chloride and a (dipyridin-2-ylmethyl)amine-derived palladium(II) chloride complex as highly efficient catalysts for the synthesis of alkynes in water or in NMP and of diynes in the absence of reoxidant. Eur. J. Org. Chem. 2005, 19, 4073–4081. [Google Scholar] [CrossRef]
- Wang, P.P.; Liu, X.Y.; Zhang, S.L. Ligand-free synthesis of 1,4-disubstituted-1,3-diynes by iron/copper cocatalyzed homocoupling of terminal alkynes. Chin. J. Chem. 2013, 31, 187–194. [Google Scholar] [CrossRef]
- Wu, K.Y.; Guo, J.; Wang, C.C. Gelation of metalloporphyrin-based conjugated microporous polymers by oxidative homocoupling of terminal alkynes. Chem. Mater. 2014, 26, 6241–6250. [Google Scholar] [CrossRef]
- Crowley, J.D.; Goldup, S.M.; Gowans, N.D.; Leigh, D.A.; Ronaldson, V.E.; Slawin, A.M.Z. An unusual nickel−copper-mediated alkyne homocoupling reaction for the active-template synthesis of [2]rotaxanes. J. Am. Chem. Soc. 2010, 132, 6243–6248. [Google Scholar] [CrossRef] [PubMed]
- Krafft, M.E.; Hirosawa, C.; Dalal, N.; Ramsey, C.; Steigman, A. Cobalt-catalyzed homocoupling of terminal alkynes: Synthesis of 1,3-diynes. Tetrahedron Lett. 2001, 42, 7733–7736. [Google Scholar] [CrossRef]
- Doménech, A.; Leyva-Pérez, A.; Al-Resayes, S.I.; Corma, A. Electrochemical monitoring of the oxidative coupling of alkynes catalyzed by triphenylphosphine gold complexes. Electrochem. Commun. 2012, 19, 145–148. [Google Scholar] [CrossRef]
- Bharathi, P.; Periasamy, M. Direct Metalation of 1-alkynes using TiCl4/Et3N and the reactions of the organotitanium intermediates with electrophiles. Organometallics 2000, 19, 5511–5513. [Google Scholar] [CrossRef]
- Meng, X.; Li, C.; Han, B.; Wang, T.; Chen, B. Iron/copper promoted oxidative homo-coupling reaction of terminal alkynes using air as the oxidant. Tetrahedron 2010, 66, 4029–4031. [Google Scholar] [CrossRef]
- Atobe, S.; Sonoda, M.; Suzuki, Y.; Yamamoto, T.; Masuno, H.; Shinohara, H.; Ogawa, A. Palladium-catalyzed oxidative homocoupling reaction of terminal acetylenes using tran-bidentatable 1-(2-pyridylethynyl)-2-(2-thienylethynyl)benzene. Res. Chem. Intermed. 2013, 39, 359–370. [Google Scholar] [CrossRef]
- Chen, L.R.; Lemma, B.E.; Rich, J.S.; Mack, J. Freedom: A copper-free, oxidant-free and solvent-free palladium catalysed homocoupling reaction. Green Chem. 2014, 16, 1101–1103. [Google Scholar] [CrossRef]
- Feng, X.J.; Zhao, Z.R.; Yang, F.; Jin, T.N.; Ma, Y.J.; Bao, M. 1,3-Diynes synthesis by homocoupling of terminal alkynes using a Pd(PPh3)4/Ag2O simple catalyst system. J. Organomet. Chem. 2011, 696, 1479–1482. [Google Scholar] [CrossRef]
- Guo, M.P.; Zhang, Q. An inexpensive and highly stable palladium(II) complex for room temperature Suzuki coupling reactions under ambient atmosphere. Tetrahedron Lett. 2009, 50, 1965–1968. [Google Scholar] [CrossRef]
- Guo, M.P.; Ge, J.Y.; Zhu, Z.Y.; Wu, X.C. Efficient Synthesis of aromatic nitriles via cyanation of aryl bromides and K4[Fe(CN)6] catalyzed by a palladium(II) complex. Lett. Org. Chem. 2013, 10, 213–215. [Google Scholar] [CrossRef]
- Yin, K.; Li, C.J.; Li, J.; Jia, X.S. CuI-catalyzed homocoupling of terminal alkynes to 1,3-diynes. Appl. Organomet. Chem. 2011, 25, 16–20. [Google Scholar] [CrossRef]
- Wu, T.M.; Huang, S.H.; Tsai, F.Y. A reusable CuSO4·5H2O/cationic 2,2’-bipyridyl system catalyzed homocoupling of terminal alkynes in water. Appl. Organomet. Chem. 2011, 25, 395–399. [Google Scholar] [CrossRef]
- Shi, X.L.; Hu, Q.Q.; Wang, F.; Zhang, W.Q.; Duan, P.G. Application of the polyacrylonitrile fiber as a novel support for polymer-supported copper catalysts in terminal alkyne homocoupling reactions. J. Catal. 2016, 337, 233–239. [Google Scholar] [CrossRef]
- Reddy, A.S.; Laali, K.K. Sonogashira cross-coupling in a designer ionic liquid (IL) without copper, external base, or additive, and with recycling and reuse of the IL. Tetrahedron Lett. 2015, 56, 4807–4810. [Google Scholar] [CrossRef]
- Rao, M.L.N.; Dasgupta, P.; Ramakrishna, B.S.; Murty, V.N. Domino synthesis of 1,3-diynes from 1,1-dibromoalkenes: a Pd-catalyzed copper-free coupling method. Tetrahedron Lett. 2014, 55, 3529–3533. [Google Scholar] [CrossRef]
- Zhang, W.S.; Xu, W.J.; Zhang, F.; Qu, G.R. Synthsis of symmetrical 1,3-diynes via tandem reaction of (Z)-arylvinyl bromides in the presence of DBU and CuI. Chinese Chem. Lett. 2013, 24, 407–410. [Google Scholar] [CrossRef]
- Sample Availability: Samples of the compound (1) are available from the authors.
© 2016 by the authors. Licensee MDPI, Basel, Switzerland. This article is an open access article distributed under the terms and conditions of the Creative Commons Attribution (CC-BY) license ( http://creativecommons.org/licenses/by/4.0/).









