Abstract
In this study, a series of novel N-substituted 2-(2-(adamantan-1-yl)-1H-indol-3-yl)-2-oxoacetamide derivatives were synthesized, and evaluated for their cytotoxicity in human cell lines including Hela (cervical cancer), MCF7 (breast cancer ) and HepG2 (liver cancer). Several compounds were found to have potent anti-proliferative activity against those human cancer cell lines and compound 5r showed the most potent biological activity against HepG2 cells with an IC50 value of 10.56 ± 1.14 μΜ. In addition, bioassays showed that compound 5r induced time-dependent and dose-dependent cleavage of poly ADP-ribose polymerase (PARP), and also induced a dose-dependent increase in caspase-3 and caspase-8 activity, but had little effect on caspase-9 protease activity in HepG2 cells. These results provide evidence that 5r-induced apoptosis in HepG2 cell is caspase-8-dependent.
1. Introduction
Despite continued research efforts, cancer remains one of the biggest threats to human health, and it was estimated to be responsible for 15% of all global deaths in 2010 [1]. Current treatment for tumors generally involves surgical resection (if possible), followed by radiotherapy and chemotherapy, with the most common chemotherapies, according to Cancer Research UK, being temozolomide, procarbazine, carmustine, lomustine and vincristine [2,3,4,5]. However these drugs alone simply aren’t sufficient for long-term treatment because of the rapid chemoresistance developed by many cancers [6]. Multidrug resistance (MDR) is a major obstacle to successful cancer treatment [7,8]. This has driven the development of a variety of new anticancer agents with more potent, high specific and low cytotoxic properties [9].
The indole moiety has been described as a privileged structure as it appears extensively in many unrelated areas of biology and medicine, and depending on the substituents, can have a diverse range of effects [10]. The indole ring system as one of the most ubiquitous heterocycles in Nature, and has been becoming an important structural component in many pharmaceutical agents, such as antidepressant [11], anticonvulsant [12], antifungal [13], antiviral [14] and anti-inflammatory [15], and particularly new antitumor agents [16,17,18,19]. Indole-3-glyoxylamide compounds, as a new class of indole derivatives which have anti-tumor [20,21,22], anti-viral [23], anti-bacterial [24,25], anti-HIV [26], adenosine regulating receptor function [27] and other biological activities, have become one of the most important chemical entities in the field of pharmaceutical research. Thus, we synthesized a novel class of N-substituted 2-(2-(adamantan-1-yl)-1H-indol-3-yl)-2-oxoacetamide derivatives and evaluated their in vitro anti-proliferative activity against human breast (MCF7), cervical (Hela) and liver (HepG2) cancer cells. To explain the molecular mechanisms mediating the induction of apoptosis by this class of compounds, the activation of caspase-3, caspase-8 and caspase-9 was further examined using a caspase activity assay kit in HepG2 cells after treatment with compound 5r.
2. Results and Discussion
2.1. Chemistry
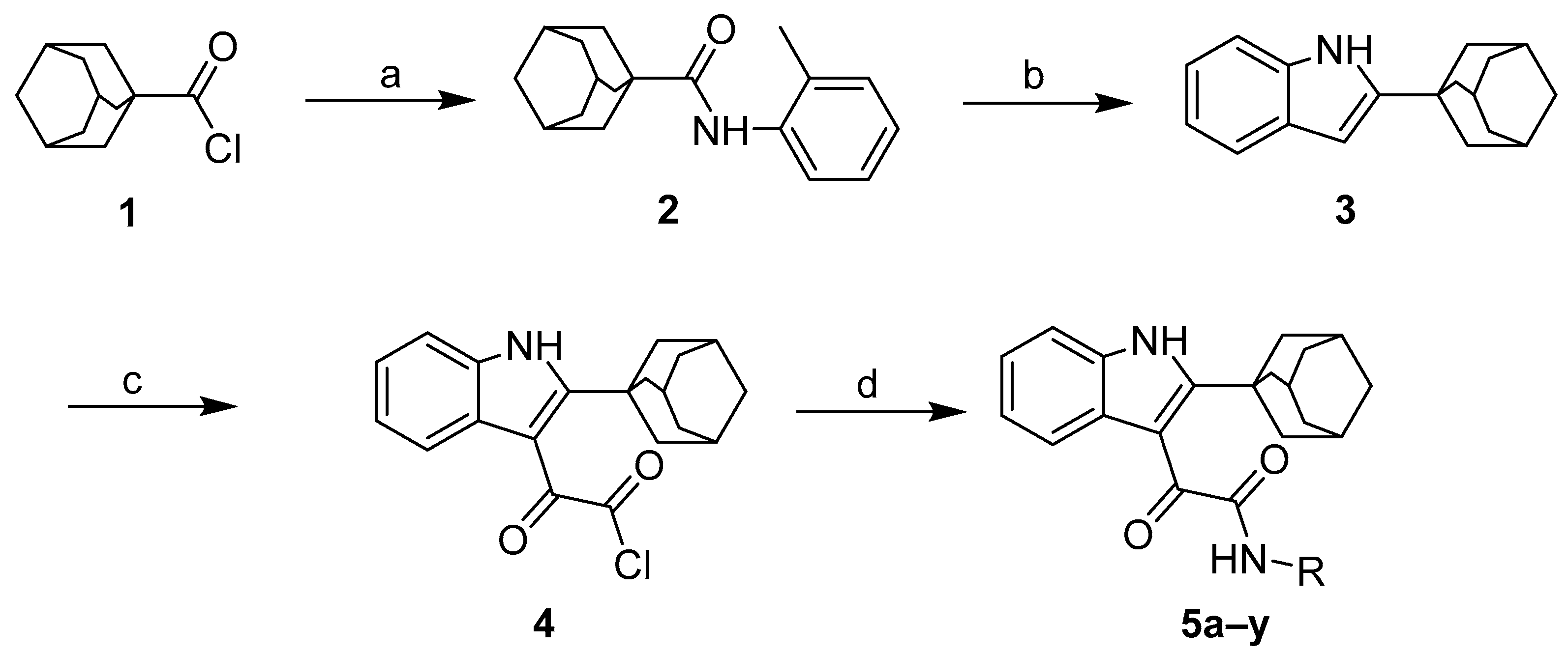
The preparation of the N-substituted 2-(2-(adamantan-1-yl)-1H-indol-3-yl)-2-oxoacetamide derivatives 5a–y is outlined in Scheme 1. First, we synthesized 2-adamantane-1H-indol-5-amine (3). The general chemistry used in the synthesis of 3 was adapted from reported previously methods [28,29]. Briefly, treatment of adamantane-1-carbonyl chloride (1) with o-Toluidine resulted in N-o-tolylcycloadamantanecarboxamide (2), followed by dropwise addition of 1.4 or 1.6 M n-BuLi in hexane to get the compound 3. Then the intermediate 2-(2-(adamantan-1-yl)-1H-indol-3-yl)-2-oxoacetyl chloride (4) was easily formed by the reaction of 3 and oxalyl chloride in anhydrous diethyl ether. Finally, the reaction of compound 4 with various substituted amines in toluene at 60 °C for 4 h afforded the title compounds 5a–y. The structures of all the target compounds were confirmed by their spectral data (HRMS, 1H-NMR and 13C-NMR).
Scheme 1.
Synthesis of N-substituted 2-(2-(adamantan-1-yl)-1H-indol-3-yl)-2-oxoacetamide. Reagents and conditions: (a) toluene, o-toluidine, K2CO3, r.t., 4 h; (b) n-BuLi, THF, 0 °C, N2, 3 h; (c) ether, oxalyl chloride, 0 °C, 2 h; (d) toluene, o-toluidine, K2CO3, r.t., 4 h.
2.2. Biological Evaluation
2.2.1. Cytotoxicity in Human Tumor Cell Lines
All synthesized compounds were evaluated for their in vitro anti-proliferative activity against three human cancer cell lines: MCF-7 (breast cancer cells), Hela (cervical cancer cells), HepG2 (liver cancer cells). The concentration required for 50% inhibition of cell viability (IC50) was calculated and the results are given in Table 1. Most compounds showed a moderate anti-proliferative activity against all tested cell lines, whereas compounds 5a, 5b, 5e and 5j exhibited relatively weak activity against one or all tested cell lines, with IC50 values over 100 μM. On the other hand, 5i, 5p, 5r and 5y exhibited good cytotoxicity against HepG2, whereas compound 5f, with an IC50 value of 17.65 ± 1.54 μM, was more active against Hela.
Table 1.
Inhibition of humor cancer cell lines (Hela, MCF7 and HepG2) by N-substituted 2-(2-(adamantan-1-yl)-1H-indol-3-yl)-2-oxoacetamide derivatives.
Interestingly, compound 5a with a N-cyclopropyl group exhibited the lowest cytotoxic activity against these three cancer lines, with IC50 values of over 100 μM, however introduction of single ring aryl group at the N-position such as in compounds 5c, 5d and 5f caused an increase in cytotoxic activity, and among them compound 5f with a N-benzene substituent had the strongest cytotoxic activity against the Hela cell line, with an IC50 value of 17.65 ± 1.54 μM. These data suggested the presence of alkyl ring at the N′-position had an important relationship with anti-proliferative activity. To investigate the impact of the substituents on the N-phenyl ring, halogen (F, Cl, Br or I), methyl (CH3), trifluoromethyl (CF3), methoxy (OCH3), cyano (CN), nitro (NO2) and/or methoxy formyl (COOCH3) was introduced (compounds 5g–u). Substitution at the N-phenyl ring was unhelpful, except for compound 5r with m-Cl and p-F on the N-phenyl ring as shown in Table 1. In addition, replacement of phenyl with pyridyl (5v and 5w), pyrimidine (5x) or isoxazole (5y) resulted in similar cellular anti-proliferative activity and the introduction of a fused aromatic ring group (compound 5e) or alkyl group (5b) between nitrogen atom and phenyl group was generally unfavorable for anti-proliferative properties.
Based on data collected from three independent experiments, compound 5r showed the most cytotoxic activity against Hela, MCF-7 and HepG2 cell lines with IC50 values of 16.12 ± 1.54, 12.54 ± 1.15 and 10.56 ± 1.14 μM, respectively, so we used compound 5r for further biological activity studies.
2.2.2. Growth Inhibitory Activity of 5r in HepG2
As cell proliferation depends on cell division which is regulated by the cell cycle, absence of normal cell-cycle control is a hallmark of cancer [30]. Cell cycle-related proteins have been as the therapeutic targets against cancer and lots of small molecules were developed as potent antitumor agents, such as microtubule-targeting agents, and cyclin-dependent kinases, aurora kinases and polo-like kinases inhibitors [31,32,33,34]. The present study sought to determine how compound 5r inhibited HepG2 cell growth. Microscopic analysis indicated that the colonies of HepG2 cells decreased after compound 5r treatment in a dose dependent manner, compared to the control group (Figure 1A). Furthermore, flow cytometry was performed to examine cell cycle inhibition after 12 h of compound 5r treatment. The results revealed a significant accumulation of cell-cycle arrest, with a decrease in G0/G1 phase and an increase in G2/M phase arrest at 12 h, indicating that inhibitory activity of compound 5r was associated with disruption of cell cycle (Figure 1B). Meanwhile, the effects of compound 5r on colony-formation and cell-cycle distribution in Hela and MCF-7 cells were also examined (see Supplementary Materials).
Figure 1.
Effects of compound 5r on colony-formation and cell-cycle distribution in HepG2 cells. (A) Compound 5r inhibits the colony-forming activity of HepG2 cells. Cells were grown in 6-well plates for 6 days and treated with compound 5r (1, 5 and 10 μM). Colonies of HepG2 cells decreased after compound 5r treatment in a dose dependent manner (** p < 0.01 and *** p < 0.001 compared with the control, t-test); (B) A flow cytometry assay was performed to examine cell cycle arrest. HepG2 cells were treated with 10 μM compound 5r for 12 h. Compound 5r reduced a significant accumulation of cell-cycle arrest (*** p < 0.001 compared with the control, t-test).
2.2.3. Inducing Apoptosis in HepG2 Cells
Apoptosis, as a fundamental biological process, plays an important role in cell growth, development and tissue homeostasis [35,36,37]. Deregulation in apoptotic cell contributes to many diseases, including cancer, neurodegenerative disorders and cardiovascular diseases [38,39]. Apoptosis can be further characterized as cell death accompanied by the activation of a unique family of cysteine-dependent specific proteases called caspases [40]. Two major signaling pathways induce apoptotic cell death: the mitochondrial pathway and the death receptor pathway [41]. The former relies on mitochondrial depolarization and permeability increase in response to a variety of cellular stresses, including DNA damage, growth factor deprivation, ER stress, thus resulting in the release of cytochrome C, then initiating formation of an APAF-1/caspase-9 complex and activation of downstream executionary caspases, including caspase-3, caspase-6, and caspase-7, and finally leading to cell death [42,43]. The second pathway is activated predominantly by the binding of death receptor ligands, including tumor necrosis factor-α (TNF-α), fas ligand (CD95) and tumor necrosis factor-related apoptosis inducing ligand (TRAIL) to their respective death receptors, then initiating the assembly of large macromolecular complexes that recruit and activate caspase-8, which further cleave and activate caspase-3 for apoptosis [44]. In our work, it was demonstrated that compound 5r could induce poly ADP-ribose polymerase (PARP) cleavage, which served as a marker of cells undergoing apoptosis, in a time- and dose-dependent manner (Figure 2A,B).
Figure 2.
Apoptosis induction by compound 5r in HepG2. Western blot analysis of PARP in HepG2 cells treated with 10 μM compound 5r for different periods of time (0, 3, 6, 9, 12, 16 and 24 h) (A); and different concentration of compound 5r (2, 4, 6, 8 and 10 μM) for 24 h (B).
The PARP is one of the important targets of caspase-3, which is also downstream of capase-8 and caspase-9 [45]. Therefore, the activation of caspase-3, caspase-8 and caspase-9 was examined in HepG2 cells using a caspase activity assay kit after treatment with compound 5r. It was shown that compound 5r significantly stimulated caspase-3 and caspase-8 protease activities in HepG2 cells, yet had little effect on caspase-9 protease activity (Figure 3). The results suggested that compound 5r resulted in the caspases-3 activation and PARP cleavage by activating caspase-8, finally leading to cell death.
Figure 3.
Induction of caspase-3, caspase-8 and caspase-9 by compound 5r in HepG2. Cells were treated with different concentration of compound 5r (1, 2, 5 and 10 μM) and analyzed by caspase-3 (A); caspase-8 (B) and caspase-9 (C) activity assay kit. As a positive control, HepG2 cells were treated with (PTX, 1 μM) and analyze. Compound 5r significantly stimulated caspase-3 and caspase-8 protease activities in HepG2 cells, yet had little effect on caspase-9 protease activity (*** p < 0.001 and ns p > 0.05 compared with the control, t-test).
3. Materials and Methods
3.1. General Information
All reagents were commercially available and used without further purification unless otherwise indicated. Reaction mixtures were magnetically stirred and monitored by thin-layer chromatography (TLC) on Yantai Wish chemical products Co., Ltd. (Yantai, China) silica gel 60F-254 by fluorescence quenching under UV light. All of the final compounds were purified by column chromatography. 1H-NMR and 13C-NMR spectra were recorded on an AV2 600 MHz spectrometer (Bruker Biospin, Swiss). Chemical shifts (δ) were given in parts per million (ppm) relative to tetramethylsilane (TMS) as an internal standard. Multiplicities were abbreviated as follows: single (s), doublet (d), doublet-doublet (dd), doublet-triplet (dt), triplet (t), triplet-triplet (tt), triplet-doublet (td), quartet (q), quartet-doublet (qd), multiplet (m), and broad signal (br s). Positive mode high-resolution mass spectral (HRMS) data were acquired using electrospray ionization (ESI) on a Q Exactive LC-MS/MS instrument (Thermo Fisher Scientific Inc., Waltham, MA, USA) with UV detection at 254 nm.
3.2. Synthesis of N-o-Tolylcycloadamantanecarboxamide (2)
A mixture of o-toluidine (10.0 mmol), adamantane-1-carbonyl chloride (10.0 mmol) and anhydrous potassium carbonate (7 mmol) in toluene (50 mL) was stirred at room temperature for 4 h. The resulting solids was filtered off and stirred at room temperature for 1.5 h with H2O (50 mL). After completion of the reaction, the solid was filtered off and recrystallized from the appropriate solvent. White solid product, yield 75.5%. 1H-NMR (CDCl3): δ 7.88 (d, J = 8.07 Hz, 1H), 7.18–7.24 (m, 2H), 7.17 (d, J = 7.52 Hz, 1H), 7.05 (dt, J = 1.10, 7.43 Hz, 1H), 2.26 (s, 3H), 2.11 (br s, 3H), 1.99 (d, J = 2.57 Hz, 6H), 1.77 (q, J = 12.29 Hz, 6H). ESI-HRMS (+): m/z [M + H]+ calculated for C18H23NO+, 270.1852, found 270.1853; [M + Na]+ calculated C18H23NONa+, 292.1672, found 292.1669.
3.3. Synthesis of 2-Adamantane-1H-indole (3)
A stirred solution of compound 2 (10 mmol) in 50 mL of tetrahydrofuran (THF) under a N2 atmosphere was maintained at an internal temperature of –5 to 5 °C and treated dropwise with 0.1–0.15 mol of 2.5 M n-BuLi in hexane. The mixture was stirred at ambient temperature for 3 h, cooled in an ice bath, and treated dropwise with 2 M HCl (12 mL). Then, the organic layer was separated and the aqueous layer washed with C6H6. The combined organic layer was dried with anhydrous MgSO4, filtered, and concentrated in vacuo. The residue was recrystallized from the appropriate solvent. White solid product, yield 56.5%. 1H-NMR (CDCl3): δ 7.30 (d, J = 7.89 Hz, 1H), 7.18 (dd, J = 0.55, 8.07 Hz, 1H), 6.88 (dt, J = 1.10, 7.52 Hz, 1H), 6.77–6.83 (m, 1H), 5.98 (d, J = 0.55 Hz, 1H), 1.97 (d, J = 2.57 Hz, 3H), 1.93 (d, J = 2.93 Hz, 6H), 1.73 (br s, 6H). ESI-HRMS (+): m/z [M + H]+ calculated for C18H21N+, 252.1747, found 252.1748; [M + Na]+ calculated for C18H21NNa+, 274.1566, found 274.1568.
3.4 General Procedure for Synthesis of 5a–y [23,46]
A dry 50 mL capacity carousel reaction tube was charged with compound 3 (1.5 mmol), and this starting material was dissolved in dry ether (12 mL). Oxalyl chloride (1.65 mmol) was added and the mixture stirred at room temperature for 2 h, the solid was filtered off. Then compound 4 was used, without purification, for the next reaction. To a solution of 4 (1 mmol) and a substituted amine (1 mmol) in toluene (10 mL) was added K2CO3 (1.0 mmol), and the mixture stirred at room temp. After completion of the reaction, the mixture was concentrated and purified by column chromatography using appropriate mixtures of CH2Cl2/MeOH to give compounds 5a–y.
N-Cyclopropyl-2-(2-adamantane-3H-indol-3-yl)-2-oxoacetamide (5a): yellow solid, yield 87.0%. 1H-NMR (DMSO-d6): δ 8.69 (d, J = 4.58 Hz, 1H), 7.53 (d, J = 7.52 Hz, 1H), 7.48 (d, J = 7.52 Hz, 1H), 7.24–7.27 (m, 1H), 2.89 (qt, J = 3.97, 7.61 Hz, 1H), 2.21 (br s, 6H), 2.08 (br s, 3H), 1.69–1.88 (m, 6H), 0.71–0.79 (m, 2H), 0.52–0.61 (m, 2H). 13C-NMR (DMSO-d6): δ 186.9, 170.3, 157.8, 134.7, 129.4, 122.3, 121.9, 119.8, 112.8, 108.2, 38.8, 36.5, 36.3, 28.3, 22.7, 21.5, 5.8.ESI-HRMS (+): m/z [M + H]+ calculated for C23H26N2O2+, 363.2067, found 363.2065; [M + Na]+ calculated for C23H26N2O2Na+, 385.1886 found 385.1888.
N-(4-Fluorobenzyl)-2-(2-adamantane-1H-indol-3-yl)-2-oxoacetamide (5b): yellow solid, yield 87.5%. 1H-NMR (DMSO-d6): δ 9.17 (t, J = 6.05 Hz, 1H), 7.51 (d, J = 8.07 Hz, 1H), 7.42 (dd, J = 5.69, 8.44 Hz, 2H), 7.30 (d, J = 8.07 Hz, 1H), 7.18–7.23 (m, 2H), 7.09–7.13 (m, 1H), 6.92–6.96 (m, 1H), 4.46 (d, J = 6.05 Hz, 2H), 2.22 (br s, 6H), 2.07 (br s, 3H), 1.73–1.84 (m, 6H). 13C-NMR (DMSO-d6): δ 186.5, 169.2, 161.8 (d, J = 243.2 Hz), 158.4, 135.4 (d, J = 3.3 Hz), 130.3 (d, J = 8.8 Hz), 129.4, 128.4, 125.8, 121.9 (d, J = 63.8 Hz), 119.8, 115.6, 115.4, 112.9, 108.0, 41.6, 38.8, 36.6, 36.4, 28.4. ESI-HRMS (+): m/z [M + H]+ calculated for C27H27FN2O2+, 431.2129, found 431.2126; [M + Na]+ calculated for C27H27FN2O2 Na+, 453.1949, found 453.5194.
2-(2-Adamantane-1H-indol-3-yl)-2-oxo-N-(2-(pyridin-3-yl)ethyl)acetamide (5c): yellow solid, yield 86.0%. 1H-NMR (DMSO-d6): δ 8.75 (t, J = 5.41 Hz, 1H), 8.53 (d, J = 4.22 Hz, 1H), 7.71 (dt, J = 1.47, 7.61 Hz, 1H), 7.51 (d, J = 7.89 Hz, 1H), 7.34 (t, J = 8.16 Hz, 2H), 7.24 (dd, J = 5.23, 6.88 Hz, 1H), 7.12 (t, J = 7.43 Hz, 1H), 7.04 (t, J = 7.52 Hz, 1H), 3.67 (q, J = 6.97 Hz, 2H), 3.00–3.06 (m, 2H), 2.20 (br s, 6H), 2.07 (br s, 3H), 1.72–1.84 (m, 6H). 13C-NMR (DMSO-d6): δ 187.1, 169.0, 158.4, 149.6, 136.9, 134.6, 127.9, 123.7, 122.2, 122.1, 121.9, 119.9, 112.7, 108.2, 40.0, 38.9, 38.7, 37.3, 36.5, 36.3, 28.4. ESI-HRMS (+): m/z [M + H]+ calculated for C27H29N3O2+, 428.2333, found 428.2330; [M + Na]+ calculated for C27H29N3O2Na+, 450.2152, found 450.2150.
2-(2-Adamantane-1H-indol-3-yl)-2-oxo-N-(2-(thiophen-2-yl)ethyl)acetamide (5d): yellow solid, yield 88.9%. 1H-NMR (DMSO-d6): δ 11.69 (br s, 1H), 8.82 (t, J = 5.50 Hz, 1H), 7.51 (d, J = 8.07 Hz, 1H), 7.34–7.40 (m, 2H), 7.13 (t, J = 7.52 Hz, 1H), 7.04–7.09 (m, 1H), 6.97 (d, J = 3.30 Hz, 2H), 3.55 (q, J = 6.85 Hz, 2H), 3.05–3.13 (m, 2H), 2.21 (br s, 6H), 2.08 (br s, 3H), 1.73–1.83 (m, 6H). 13C-NMR (DMSO-d6): δ 167.1, 149.1, 137.8, 121.9, 114.7, 108.0, 107.6, 106.0, 104.7, 102.2, 100.1, 92.8, 88.4, 20.2, 19.0, 16.7, 16.5, 9.5, 8.5. ESI-HRMS (+): m/z [M + H]+ calculated for C26H28N2O2S+, 433.1944, found 433.1942; [M + Na]+ calculated for C26H28N2O2SNa+, 455.1764, found 455.1761.
N-(2-(1H-Indol-2-yl)ethyl)-2-(2-adamantane-1H-indol-3-yl)-2-oxoacetamide (5e): yellow solid, yield 87.9%. 1H-NMR (DMSO-d6): δ 10.89 (brs, 1H), 8.79 (br s, 1H), 7.50–7.61 (m, 2H), 7.33–7.44 (m, 2H), 7.22–7.25 (m, 1H), 7.16–7.19 (m, 1H), 7.09 (dd, J = 7.89, 16.14 Hz, 2H), 6.97–7.01 (m, 2H), 3.59 (d, J = 6.24 Hz, 2H), 2.99 (t, J = 7.15 Hz, 2H), 2.22 (br s, 6H), 2.08 (br s, 3H), 1.70–1.85 (m, 6H). 13C-NMR (DMSO-d6): δ 187.3, 169.0, 157.6, 136.8, 129.4, 128.7, 127.9, 127.6, 125.8, 123.3, 122.2, 121.8, 121.4, 119.9, 118.7, 118.7, 112.7, 111.9, 41.6, 38.9, 36.6, 36.3, 28.4, 25.3. ESI-HRMS (+): m/z [M + H]+ calculated for C30H31N3O2+, 466.2489, found 466.2487; [M + Na]+ calculated for C30H31N3O2Na+, 488.2308, found 488.2306.
2-(2-Adamantane -3H-indol-3-yl)-2-oxo-N-phenylacetamide (5f): yellow solid, yield 91.9% .1H-NMR (DMSO-d6): δ 7.72-7.82 (m, 2H), 7.54 (d, J = 8.07 Hz, 1H), 7.35–7.44 (m, 3H), 7.15 (t, J = 7.43 Hz, 1H), 7.10 (t, J = 7.52 Hz, 1H), 6.97-7.03 (m, 2H), 6.56 (dd, J = 1.10, 8.44 Hz, 1H), 6.44–6.52 (m, 1H), 2.28 (br s, 6H), 2.10 (br s, 3H), 1.74-1.88 (m, 6H). 13C-NMR (DMSO-d6): δ 184.7, 167.9, 149.1, 139.1, 129.5, 129.2, 124.4, 122.0, 121.9, 120.2, 119.2, 116.1, 114.3, 107.7, 38.8, 36.6, 36.6, 28.4. ESI-HRMS (+): m/z [M + H]+ calculated for C26H26N2O2+, 399.2067, found 399.2063; [M + Na]+ calculated for C26H26N2O2Na+, 421.1886, found 421.1882.
2-(2-Adamantane-3H-indol-3-yl)-2-oxo-N-p-tolylacetamide (5g): yellow solid, yield 86.5%. 1H-NMR (DMSO-d6): δ 10.68 (s, 1H), 7.66 (d, J = 8.25 Hz, 2H), 7.57 (d, J = 8.07 Hz, 1H), 7.41 (d, J = 8.07 Hz, 1 H), 7.21 (d, J = 8.25 Hz, 2H), 7.14 (t, J = 7.43 Hz, 1H), 7.02–7.06 (m, 1H), 2.30 (s, 3H), 2.27 (br s, 6H), 2.11 (br s, 3H), 1.73–1.87 (m, 6H). 13C-NMR (DMSO-d6): δ 185.6, 167.4, 158.5, 136.4, 134.7, 133.6, 129.9, 129.4, 122.4, 122.2, 120.2, 119.4, 113.0, 107.9, 38.7, 36.5, 36.4, 28.4, 21.0. ESI-HRMS (+): m/z [M + H]+ calculated for C27H28N2O2+, 413.2224, found 413.2226; [M + Na]+ calculated for C27H28N2O2Na+, 435.2043, found 435.2045.
N-(2-Methoxyphenyl)-2-(2-adamantane-3H-indol-3-yl)-2-oxoacetamide (5h): yellow solid, yield 91.5%. 1H-NMR (DMSO-d6): δ 9.44 (br s, 1H), 8.11 (d, J = 7.70 Hz, 1H), 7.44 (dd, J = 8.07, 12.65 Hz, 2H), 7.14–7.19 (m, 1H), 7.10 (d, J = 8.07 Hz, 1H), 7.00 (td, J = 7.45, 19.03 Hz, 2H), 6.91 (t, J = 7.34 Hz, 1H), 3.83 (s, 3H), 2.26 (br s, 6H), 2.06 (br s, 3H), 1.71–1.85 (m, 6H). 13C-NMR (DMSO-d6): δ 185.2, 168.0, 150.5, 130.1, 127.2, 125.4, 122.1, 121.0, 120.9, 120.8, 119.4, 114.7, 114.3, 111.9, 111.0, 107.6, 56.2, 39.2, 36.9, 36.9, 28.7. ESI-HRMS (+): m/z [M + H]+ calculated for C27H28N2O3+, 429.2173, found 429.2171; [M + Na]+ calculated for C27H28N2O3Na+, 451.1992, found 451.1990.
2-(2-Adamantane-3H-indol-3-yl)-2-oxo-N-(3-(trifluoromethyl)phenyl)acetamide (5i): yellow solid, yield 88.0%. 1H-NMR (DMSO-d6): δ 8.22 (s, 1H), 8.02 (d, J = 8.07 Hz, 1H), 7.65 (t, J = 7.98 Hz, 1H), 7.51 (t, J = 7.15 Hz, 2H), 7.35 (d, J = 8.07 Hz, 1H), 7.23–7.27 (m, 1H), 7.17 (d, J = 7.34 Hz, 1H), 7.09 (t, J = 7.52 Hz, 1H), 6.98–7.02 (m, 1H), 2.27 (br s, 6H), 2.09 (br s, 3H), 1.73–1.86 (m, 6H). 13C-NMR (DMSO-d6): δ 183.8, 168.3, 140.0, 137.8, 130.8, 130.1(d, J = 31.9 Hz), 129.4, 128.7, 125.8, 123.1(q, J = 280.6 Hz), 119.0, 116.1(q, J = 3.3 Hz), 113.8, 107.5, 38.8, 36.6, 28.4, 21.5. ESI-HRMS (+): m/z [M + H]+ calculated for C27H25F3N2O2+, 467.1941, found 467.1943; [M + Na]+ calculated for C27H25F3N2O2Na+, 489.1760, found 489.1762.
N-(4-Methoxyphenyl)-2-(2-adamantane-3H-indol-3-yl)-2-oxoacetamide (5j): yellow solid, yield 89.5%. 1H-NMR (DMSO-d6): δ 10.60 (s, 1H), 7.68 (d, J = 8.99 Hz, 2H), 7.54 (d, J = 7.89 Hz, 1H), 7.41 (d, J = 8.25 Hz, 1H), 7.22–7.28 (m, 2H), 7.17 (d, J = 7.34 Hz, 2H), 7.10–7.16 (m, 2H), 7.01–7.07 (m, 1H), 6.97 (d, J = 8.99 Hz, 2H), 3.76 (s, 3H), 2.30 (s, 3H), 2.26 (br s, 6H), 2.10 (br s, 3H), 1.74–1.87 (m, 6H). 13C-NMR (DMSO-d6): δ 185.6, 167.9,168.2, 158.6, 135.3, 134.7, 128.6,127.1, 126.6, 122.3, 122.1, 119.5, 113.1, 107.9, 55.7,38.7, 36.5, 36.5, 28.4, 19.05. ESI-HRMS (+): m/z [M + H]+ calculated for C27H28N2O3+, 429.2173, found 429.2168; [M + Na]+ calculated for C27H28N2O3Na+, 451.1992, found 451.1986.
N-(2,4-Dimethylphenyl)-2-(2-adamantane-1H-indol-3-yl)-2-oxoacetamide (5k): yellow solid, yield 81.5%. 1H-NMR (DMSO-d6): δ 10.08 (br s, 1H), 7.55 (m, 2H), 7.38 (d, J = 7.89 Hz ,1H), 7.16 (t, J = 7.34 Hz, 1H), 7.11 (s, 1H ), 7.09 (d, J = 4.77 Hz,1H), 7.07 (s, 1H), 2.30 (s, 3H), 2.37 (s, 6H), 2.23 (s, 3H), 2.11 (s, 3H), 1.83 (m, 6H). 13C-NMR (DMSO-d6): δ 186.2, 167.9, 158.4, 135.5, 135.0, 133.0, 132.9, 131.6, 128.1, 127.2, 125.7, 122.3, 121.9, 119.7, 113.0, 108.0, 38.8, 36.6, 36.5, 28.4, 21.0, 18.1. ESI-HRMS (+): m/z [M + H]+ calculated for C28H30N2O2+, 427.238, found 427.2384; [M + Na]+ calculated for C28H30N2O2Na+, 449.2199, found 449.2201.
N-(4-Chloro-2-methylphenyl)-2-(2-adamantane-3H-indol-3-yl)-2-oxoacetamide (5l): yellow solid, yield 87.5%. 1H-NMR (DMSO-d6): δ 7.56 (dd, J = 8.25, 13.57 Hz, 2H), 7.49 (d, J = 8.07 Hz, 1H), 7.39 (s, 1H), 7.34 (dd, J = 2.02, 8.44 Hz, 1H), 7.15 (t, J = 7.61 Hz, 1H), 7.08–7.11 (m, 1H), 2.26 (s, 9H), 2.10 (br s, 3H), 1.75–1.87 (m, 6H). 13C-NMR (DMSO-d6): δ 185.6, 167.9, 168.2, 158.6, 135.3, 134.7, 130.6, 128.6, 127.1, 126.6, 122.3, 122.1, 119.5, 113.1, 107.9, 38.7, 36.5, 36.5, 28.4, 19.05, 18.3. ESI-HRMS (+): m/z [M + H]+ calculated for C27H27ClN2O2+, 447.1834, found 447.1832; [M + Na]+ calculated for C27H27ClN2O2Na+, 469.1653, found 469.1649.
2-(2-Adamantane-3H-indol-3-yl)-N-(2-methyl-4-nitrophenyl)-2-oxoacetamide (5m): yellow solid, yield 90.5%. 1H-NMR (DMSO-d6): δ 8.20 (brs, 1H), 8.17 (d, J = 8.62 Hz, 1H), 8.02 (d, J = 7.70 Hz, 1H), 7.56 (d, J = 8.07 Hz, 1H), 7.46 (d, J = 8.07 Hz, 1H), 7.16 (t, J = 7.52 Hz, 1H), 7.06–7.11 (m, 1H), 2.39 (s, 3H), 2.27 (br s, 6H), 2.10 (br s, 3H), 1.75–1.87 (m, 6H); 13C-NMR (DMSO-d6): δ 185.1, 168.2, 158.7, 144.3, 142.9, 134.8, 133.0, 127.9, 126.1, 124.6, 122.5, 122.4, 122.2, 119.4, 113.1, 107.9, 38.7, 36.5, 36.5, 28.4, 18.3. ESI-HRMS (+): m/z [M + H]+ calculated for C27H27N3O4+, 458.2074, found 458.2072; [M + Na]+ calculated for C27H27N3O4Na+, 480.1894, found 480.1892. methyl benzoate
Methyl 3-methyl-4-(2-(2-adamantane-3H-indol-3-yl)-2-oxoacetamido)benzoate (5n): yellow solid, yield 89.5%. 1H-NMR (DMSO-d6): δ11.82 (s, 1H), 10.39 (s, 1H), 7.90 (s, 1H), 7.88 (d, J = 1.65 Hz, 1H), 7.82–7.87 (m, 1H), 7.56 (d, J = 7.89 Hz, 1H), 7.49 (d, J = 8.07 Hz, 1H), 7.12–7.16 (m, 1H), 7.08–7.12 (m, 1H), 3.86 (s, 3H), 2.34 (s, 3H), 2.24–2.29 (m, 6H), 2.11 (br s, 3H), 1.75–1.87 (m, 6H); 13C-NMR (DMSO-d6): δ 185.4, 167.8, 166.4, 158.5, 140.4, 134.7, 132.2, 132.0, 129.4, 128.7, 127.9, 126.8, 125.8, 124.7, 122.5, 122.2, 119.5, 113.0, 107.9, 52.5, 38.7, 36.5, 28.4, 21.5, 18.2. ESI-HRMS (+): m/z [M + H]+ calculated for C29H30N2O4+, 471.2278, found 471.2278; [M + Na]+ calculated for C29H30N2O4Na+, 493.2098, found 493.2096.
N-(3,4-Dimethoxyphenyl)-2-(2-adamantane-3H-indol-3-yl)-2-oxoacetamide (5o): yellow solid, yield 87.9%. 1H-NMR (DMSO-d6): δ 10.45 (br s, 1H), 7.49 (d, J = 8.07 Hz, 1H), 7.40 (d, J = 2.38 Hz, 1H), 7.35–7.37 (m, 1H), 7.05 (t, J = 7.52 Hz, 1H), 6.94–6.99 (m, 2H), 3.75 (d, J = 8.25 Hz, 6H), 2.27(br s, 6H), 2.08 (br s, 3H), 1.72–1.86 (m, 6H). 13C-NMR (DMSO-d6): δ 167.7, 149.2, 145.8, 137.8, 132.8, 129.4, 128.7, 125.8, 121.6, 121.5, 111.9, 113.8, 112.7, 112.2, 107.7, 105.2, 56.2, 55.8, 39.6, 38.9, 36.7, 28.5. ESI-HRMS (+): m/z [M + H]+ calculated for C28H30N2O4+, 459.2278, found 459.2277; [M + Na]+ calculated for C28H30N2O4Na+, 481.2098, found 481.2098.
N-(3,5-Dimethoxyphenyl)-2-(2-adamantane-3H-indol-3-yl)-2-oxoacetamide (5p): yellow solid, yield 89.5%. 1H-NMR (DMSO-d6): δ 10.68 (s, 1H), 7.55 (d, J = 8.07 Hz, 1H), 7.39 (d, J = 8.07 Hz, 1H), 7.12–7.16 (m, 1H), 7.04-7.08 (m, 1H), 7.01 (s, 1H), 7.01 (s, 1H), 6.33 (t, J = 2.20 Hz, 1H), 3.74 (s, 6H), 2.26 (br s, 6H), 2.10 (br s, 3H), 1.74–1.86 (m, 6H). 13C-NMR (DMSO-d6): δ 185.3, 167.6, 161.1, 158.6, 140.6, 134.8, 129.4, 127.9, 122.4, 122.3, 119.4, 113.0, 107.8, 98.7, 96.2, 55.6, 38.7, 36.5, 36.5, 28.4. ESI-HRMS (+): m/z [M + H]+ calculated for C28H30N2O4+, 459.2278, found 459.2276; [M + Na]+ calculated for C28H30N2O4Na+, 481.2098, found 481.2096.
N-(4-Chloro-3-methoxyphenyl)-2-(2-adamantane-3H-indol-3-yl)-2-oxoacetamide (5q): yellow solid, yield 85.7%. 1H-NMR (DMSO-d6): δ 7.59 (s, 1H), 7.54 (d, J = 7.89 Hz, 1H), 7.43 (s, 2H), 7.38 (d, J = 8.07 Hz, 1H), 7.15–7.19 (m, 1H), 7.13 (t, J = 7.70 Hz, 1H), 7.02–7.07 (m, 1H), 3.79–3.88 (m, 3H), 2.26 (br s, 6H), 2.10 (br s, 3H), 1.74–1.86 (m, 6H). 13C-NMR (DMSO-d6): δ 184.8, 167.7, 155.1, 139.2, 137.8, 130.5, 129.0, 125.8, 122.2, 119.3, 116.3, 113.3, 112.9, 107.7, 104.8, 56.3, 40.1, 38.8, 36.6, 28.4, 21.5. ESI-HRMS (+): m/z [M + H]+ calculated for C27H27ClN2O3+, 463.1783, found 463.1781; [M + Na]+ calculated for C27H27ClN2O3Na+, 485.1602, found 485.1601.
N-(3-Chloro-4-fluorophenyl)-2-(2-adamantane-3H-indol-3-yl)-2-oxoacetamide (5r): yellow solid, yield 85.9%. 1H-NMR (DMSO-d6): δ 11.85 (br s, 1H), 11.01 (br s, 1H), 8.07 (dd, J = 2.57, 6.79 Hz, 1H), 7.68–7.72 (m, 1H), 7.56 (d, J = 8.07 Hz, 1H), 7.47 (t, J = 9.08 Hz, 1H), 7.36 (d, J = 8.07 Hz, 1H), 7.13–7.16 (m, 1H), 7.05–7.10 (m, 1H), 2.26 (br s, 6H), 2.10 (br s, 3H), 1.75–1.85 (m, 6H). 13C-NMR (DMSO-d6): δ 184.9, 167.4, 158.8 (d, J = 244.3 Hz), 154.1, 136.2, 134.7, 129.4, 128.7, 125.8, 122.5 (d, J = 15.4 Hz), 121.5, 120.6 (d, J = 6.6 Hz), 119.3, 117.8, 113.1, 107.7, 38.7, 36.5, 28.3, 21.5. ESI-HRMS (+): m/z [M + H]+ calculated for C26H24ClFN2O2+, 451.1583, found 451.1584; [M + Na]+ calculated for C26H24ClFN2O2Na+, 473.1403, found 473.1405.
N-(4-Bromo-2-fluorophenyl)-2-(2-adamantane-3H-indol-3-yl)-2-oxoacetamide (5s): yellow solid, yield 88.5%. 1H-NMR (DMSO-d6): δ 7.88 (br s, 1H), 7.68 (d, J = 9.90 Hz, 1H), 7.55 (d, J = 8.07 Hz, 1H), 7.43–7.52 (m, 2H), 7.14 (t, J = 7.15 Hz, 1H), 7.04–7.09 (m, 1H), 2.26 (br s, 6H), 2.10 (br s, 3H), 1.71–1.87 (m, 6H). 13C-NMR (DMSO-d6) : δ 184.6, 168.0, 155.0 (d, J = 249.8 Hz), 129.4, 128.7, 128.2, 128.2, 128.1, 126.9, 125.8, 122.1(d, J = 29.7 Hz), 119.8(d, J = 23.1Hz), 119.3, 113.2, 107.8, 38.7, 36.6, 36.5, 28.4. ESI-HRMS (+): m/z [M + H]+ calculated for C26H24BrFN2O2+, 495.1078, found 495.1079; [M + Na]+ calculated for C26H24BrFN2O2Na+, 517.0897, found 517.0896.
N-(5-Bromo-2-fluorophenyl)-2-(2-adamantane-3H-indol-3-yl)-2-oxoacetamide (5t): yellow solid, yield 85.6%. 1H-NMR (DMSO-d6): δ 8.17 (br s, 1H), 7.53 (d, J = 8.07 Hz, 1H), 7.46 (d, J = 8.07 Hz, 1H), 7.38 (br s, 1H), 7.30 (t, J = 9.44 Hz, 1H), 7.12 (t, J = 7.24 Hz, 1H), 7.03–7.08 (m, 1H), 2.25 (br s, 6H), 2.08 (br s, 3H), 1.74-1.85 (m, 6H). 13C-NMR (DMSO-d6): δ 170.3, 168.6, 154.1(d, J = 247.6 Hz), 137.8, 129.4, 128.7, 128.2, 127.3, 125.8, 122.0(d, J = 28.6 Hz), 119.4, 118.3(d, J = 21.0 Hz), 116.2, 113.2, 107.9, 38.7, 36.6, 36.5, 28.4. ESI-HRMS (+): m/z [M + H]+ calculated for C26H24BrFN2O2 +, 495.1078, found 495.1079; [M + Na]+ calculated for C26H24BrFN2O2Na+, 517.0897, found 517.0893.
N-(2-Fluoro-4-iodophenyl)-2-(2-adamantane-3H-indol-3-yl)-2-oxoacetamide (5u): yellow solid, yield 86.5%. 1H-NMR (DMSO-d6): δ 7.73 (d, J = 9.72 Hz, 2H), 7.61 (d, J = 7.89 Hz, 1H), 7.51 (d, J = 7.89 Hz, 1H), 7.45 (d, J = 8.07 Hz, 1H), 7.06–7.12 (m, 1H), 7.02 (t, J = 7.43 Hz, 1H), 2.26 (br s, 6H), 2.08 (br s, 3H), 1.74–1.86 (m, 6H). 13C-NMR (DMSO-d6): δ 170.3, 168.6, 154.9 (d, J = 253.1 Hz), 137.8, 134.0, 129.4, 128.7, 127.2, 125.8, 125.0 (d, J = 22.0 Hz), 121.7 (d, J = 22.1 Hz), 119.3, 113.6, 107.8, 38.8, 36.7, 36.6, 28.5. ESI-HRMS (+): m/z [M + H]+ calculated for C26H24FIN2O2+, 543.0939, found 543.0939; [M + Na]+ calculated for C26H24FIN2O2Na+, 565.0759, found 565.0757.
2-(2-Adamantane-3H-indol-3-yl)-2-oxo-N-(pyridin-3-yl)acetamide (5v): yellow solid, yield 88.6%. 1H-NMR (DMSO-d6): δ 11.93 (br s, 1H), 11.05 (s, 1H), 8.93 (d, J = 2.02 Hz, 1H), 8.38 (d, J = 4.03 Hz, 1H), 8.21 (d, J = 8.25 Hz, 1H), 7.59 (d, J = 7.89 Hz, 1H), 7.45 (dd, J = 4.77, 8.07 Hz, 1H), 7.39 (d, J = 8.07 Hz, 1H), 7.15 (t, J = 7.61 Hz, 1H), 7.04–7.09 (m, 1H), 2.27 (br s, 6H), 2.10 (br s, 3H), 1.74–1.86 (m, 6H). 13C-NMR (DMSO-d6): δ 185.0, 167.8, 158.8, 145.5, 141.8, 135.7, 134.8, 127.8, 127.3, 124.4, 122.5, 122.4, 119.3, 113.2, 107.7, 38.7, 36.5, 36.5, 28.3. ESI-HRMS (+): m/z [M + H]+ calculated for C25H25N3O2+, 400.202, found 400.2017; [M + Na]+ calculated for C25H25N3O2Na+, 422.1839, found 422.1836.
2-(2-Adamantane-3H-indol-3-yl)-2-oxo-N-(pyridin-2-yl)acetamide (5w): yellow solid, yield 90.6%. 1H-NMR (DMSO-d6): δ 11.93 (brs, 1H), 11.04 (s, 1H), 8.92 (d, J = 2.20 Hz, 1H), 8.38 (d, J = 4.59 Hz, 1H), 8.21 (d, J = 8.25 Hz, 1H), 7.59 (d, J = 8.07 Hz, 1H), 7.45 (dd, J = 4.68, 8.16 Hz, 1H), 7.39 (d, J = 8.25 Hz, 1H), 7.15 (t, J = 7.61 Hz, 1H), 7.04–7.09 (m, 1H), 2.27 (brs, 6H), 2.10 (brs, 3H), 1.74–1.87 (m, 6H). 13C-NMR (DMSO-d6): δ 185.0, 167.8, 158.8, 145.5, 141.8, 135.7, 134.8, 127.8, 127.3, 124.4, 122.5, 122.4, 119.3, 113.2, 107.7, 38.7, 36.5, 36.5, 28.3. ESI-HRMS (+): m/z [M + H]+ calculated for C25H25N3O2+, 400.202, found 400.2016; [M + Na]+ calculated for C25H25N3O2Na+, 422.1839, found 422.1835.
2-(2-Adamantane-3H-indol-3-yl)-2-oxo-N-(pyrimidin-5-yl)acetamide (5x): yellow solid, yield 90.1%. 1H-NMR (DMSO-d6): δ 9.16 (s, 2H), 8.97 (s, 1H), 7.54–7.59 (m, 1H), 7.38 (d, J = 8.25 Hz, 1H), 7.11–7.15 (m, 1H), 7.03–7.08 (m, 1H), 2.26 (br s, 6H), 2.09 (br s, 3H), 1.75–1.85 (m, 6H). 13C-NMR (DMSO-d6): δ 184.5, 168.2, 153.9, 148.4, 147.67, 129.3, 128.7, 128.1, 125.8, 122.3, 119.3, 113.4,107.6, 38.7, 36.5, 36.5, 28.4, 19.1. ESI-HRMS (+): m/z [M + H]+ calculated for C24H24N4O2+, 401.1972, found 401.1969; [M + Na]+ calculated for C24H24N4O2Na+, 423.1791, found 423.1785.
N-(5-tert-Butylisoxazol-3-yl)-2-(2-adamantane-3H-indol-3-yl)-2-oxoacetamide (5y): yellow solid, yield. 86.8%. 1H-NMR (DMSO-d6): δ 11.79 (br s, 2H), 7.56 (d, J = 7.89 Hz, 1H), 7.38 (d, J = 8.07 Hz, 1H), 7.16 (t, J = 7.52 Hz, 1H), 7.08–7.12 (m, 1H), 6.72 (s, 1H), 2.24 (br s, 6H), 2.10 (br s, 3H), 1.75–1.86 (m, 6H), 1.35 (s, 9H). 13C-NMR (DMSO-d6): δ 184.2, 181.5, 167.7, 158.9, 157.8, 134.8, 127.7, 122.7, 122.5, 122.4, 119.0, 113.2, 107.5, 99.8, 38.5, 36.5, 33.1, 28.9, 28.3. ESI-HRMS (+): m/z [M + H]+ calculated for C27H31N3O3+, 446.2438, found 446.2433; [M + Na]+ calculated for C27H31N3O3Na+, 468.2258, found 468.2256.
3.5. Cell Culture
All of the human cancer cell lines were obtained from the American Type Culture Collection (ATCC, Manassas, VA, USA) and grown in DMEM culture medium containing 10% fetal bovine serum (v/v) in 5% CO2 at 37 °C.
3.6. Cytotoxicity against Cancer Cell Lines
Confluent cancer cells in good state were cultured in 96-well plates (5–6 ×103 cells/well) and treated with various concentrations of compounds at 37 °C for 24 h. Then, the cells were incubated with 20μL of 5 mg/mL 3-(4,5-dimethyl-2-thiazolyl)-2,5-diphenyl-2H-tetrazolium bromide, MTT, (Sigma-Aldrich, Saint Louis, MO, USA) reagent at 37 °C for 4 h. The supernatant was removed, and cells were dissolved in 150 μL dimethyl sulfoxide and shaken for 5 min. Finally, the light absorption (OD) of the dissolved cells was measured at 490 nm.
3.7. Western Blot Analysis
Equal amounts of the lysates were electrophoresed on 8% SDS-PAGE gel and transferred onto PVDF membranes (Roche, Shanghai, China). After blocked with 5% nonfat milk in TBST (20 mM Tris-HCl (pH 7.4), 150 mM NaCl and 0.1% Tween 20) for 1 h, The membranes were incubated with various primary antibodies overnight and secondary antibodies for 2 h, finally detected using ECL system. Proteins were detected with the following antibodies: Rabit anti-Parp mAb (46D11, Cell Signaling Technology, Shanghai, China), Mouse anti-β-actin mAb (sc-8432, Santa Cruz, Shanghai, China).
3.8. A Flow Cytometry Assay
Hela cells were cultured in 6-well plate and treated with various compounds in serum free medium for 24 h. Then, the cells were detached by trypsin and fixed in 70% cold ethanol overnight at 4 °C. The next day, the cells were centrifuged in 3000 rpm for 53 min, washed twice in PBS, and incubated with DNase A (100 µg/mL) and propidium iodide (PI) solution (50 µg/mL) at room temperature for 30 min. The cell cycle was detected by flow cytometry (Beckman Coulter, Pasadena, CA, USA).
3.9. Colony Formation Assay
Hela cells were cultured in 6-well plate (200 cells/well) and treated with various compounds in 1% serum medium for 6 days. Then fixed with 4% paraformaldehyde and stained with 0.1% crystal violet.
3.10. Caspase Activity Assay
The activities of caspase-3, caspase-8 and caspase-9 were measured using the caspase activity kit (Beyotime Biotechnology, Shanghai, China) according to the manufacturer’s instructions. Briefly, testis lysates were prepared after treatment. 50 μL testis lysate, 50 μL reaction buffer and 5 μL caspases substrate were added, incubated at 37 °C for 3 h. Samples were measured with an ELISA Reader (Bio-Rad instrument Group, Hercules, CA, USA) at an absorbance of 405 nm. All the experiments were carried out in triplicates.
4. Conclusions
In this paper, we synthesized and conducted a biological evaluation of a new series of N-substituted 2-(2-(adamantan-1-yl)-1H-indol-3-yl)-2-oxoacetamide derivatives as potential anticancer agents. The synthetic method was relatively simple, and the compounds were produced in high yields and easily purified. Compound 5r showed more significant inhibitory activity against HepG2 cells than other compounds, with an IC50 value of 10.56 ± 1.14 μΜ, as well as excellent selectivity toward HepG2 over HeLa and MCF-7 cells. Western blot analysis and flow cytometry assay demonstrated that compound 5r could arrest the cell cycle, activate caspase-8 and caspase-3 and induce cell apoptosis. However, determining its roles in preventing cancer still require further intensive study.
Supplementary Materials
Supplementary materials can be accessed at: http://www.mdpi.com/1420-3049/21/5/530/s1.
Acknowledgments
This work was supported by the National Natural Science Foundation of China (No. 81273400, No. 81302652, No. 31471273 and 31461163002), the Project of South Center for Marine Research (14GYY023NF23). This research was also financially supported by Fujian Science and Technology project (Grant No.2014N5012) and the 10th Singapore-China Joint Research Program (S2014GR0448).
Author Contributions
H.H., F.W. and Y.Q. performed the synthesis and structure elucidation. X.Y., C.L. and J.Z. contributed in the biological activity. Z.W. and M.F. designed all molecules, prepared the manuscript and supervised whole research project.
Conflicts of Interest
The authors declare no conflict of interest.
References
- Lozano, R.; Naghavi, M.; Foreman, K.; Lim, S.; Shibuya, K.; Aboyans, V.; Abraham, J.; Adair, T.; Aggarwal, R.; Ahn, S.Y.; et al. Global and regional mortality from 235 causes of death for 20 age groups in 1990 and 2010: A systematic analysis for the Global Burden of Disease Study 2010. Lancet 2013, 380, 2095–2128. [Google Scholar] [CrossRef]
- Wilson, M.A.; Schuchter, L.M. Chemotherapy for Melanoma. In Melanoma; Springer: Cham, Switzerland, 2016; pp. 209–229. [Google Scholar]
- Viaccoz, A.; Lekoubou, A.; Ducray, F. Chemotherapy in low-grade gliomas. Curr. Opin. Oncol. 2012, 24, 694–701. [Google Scholar] [CrossRef] [PubMed]
- Venur, V.A.; Peereboom, D.M.; Ahluwalia, M.S. Current medical treatment of glioblastoma. Springer Cancer Treat Res. 2015, 163, 103–115. [Google Scholar]
- Proctor, S.; Lennard, A.; Jackson, G.; Jones, G.; Lewis, J.; Wilkinson, J.; White, J.; Sieniawski, M.; McKay, P.; Culligan, D.; et al. The role of an all-oral chemotherapy containing lomustine (CCNU) in advanced, fs progressive Hodgkin lymphoma: A patient-friendly palliative option which can result in long-term disease control. Ann. Oncol. 2010, 21, 426–428. [Google Scholar] [CrossRef] [PubMed]
- Rampling, R.; Sanson, M.; Gorlia, T.; Lacombe, D.; Lai, C.; Gharib, M.; Taal, W.; Stoffregen, C.; Decker, R.; van den Bent, M.J. A phase I study of LY317615 (enzastaurin) and temozolomide in patients with gliomas (EORTC trial 26054). Neuro Oncol. 2012, 14, 344–350. [Google Scholar] [CrossRef] [PubMed]
- Szakács, G.; Paterson, J.K.; Ludwig, J.A.; Booth-Genthe, C.; Gottesman, M.M. Targeting multidrug resistance in cancer. Nat. Rev. Drug Discov. 2006, 5, 219–234. [Google Scholar] [CrossRef] [PubMed]
- Gillet, J.-P.; Gottesman, M.M. Advances in the molecular detection of ABC transporters involved in multidrug resistance in cancer. Curr. Pharm. Biotechnol. 2011, 12, 686–692. [Google Scholar] [CrossRef] [PubMed]
- Jemal, A.; Siegel, R.; Xu, J.Q.; Ward, E. Cancer Statistics, 2010. Ca-Cancer J Clin. 2010, 60, 277–300. [Google Scholar] [CrossRef] [PubMed]
- Lal, S.; J Snape, T. 2-Arylindoles: A Privileged Molecular Scaffold with Potent, Broad-Ranging Pharmacological Activity. Curr. Med. Chem. 2012, 19, 4828–4837. [Google Scholar] [CrossRef] [PubMed]
- Ding, S.; Dudley, E.; Plummer, S.; Tang, J.; Newton, R.P.; Brenton, A.G. Fingerprint profile of Ginkgo biloba nutritional supplements by LC/ESI-MS/MS. Phytochemistry 2008, 69, 1555–1564. [Google Scholar] [CrossRef] [PubMed]
- Ahuja, P.; Siddiqui, N. Anticonvulsant evaluation of clubbed indole-1,2,4-triazine derivatives: A synthetic approach. Eur. J. Med. Chem. 2014, 80, 509–522. [Google Scholar] [CrossRef] [PubMed]
- Zhang, M.-Z.; Mulholland, N.; Beattie, D.; Irwin, D.; Gu, Y.-C.; Chen, Q.; Yang, G.-F.; Clough, J. Synthesis and antifungal activity of 3-(1,3,4-oxadiazol-5-yl)-indoles and 3-(1,3,4-oxadiazol-5-yl)methyl-indoles. Eur. J. Med. Chem. 2013, 63, 22–32. [Google Scholar] [CrossRef] [PubMed]
- Zhang, M.-Z.; Chen, Q.; Yang, G.-F. A review on recent developments of indole-containing antiviral agents. Eur. J. Med. Chem. 2015, 89, 421–441. [Google Scholar] [CrossRef] [PubMed]
- Radwan, M.A.A.; Ragab, E.A.; Sabry, N.M.; El-Shenawy, S.M. Synthesis and biological evaluation of new 3-substituted indole derivatives as potential anti-inflammatory and analgesic agents. Bioorg. Med. Chem. 2007, 15, 3832–3841. [Google Scholar] [CrossRef] [PubMed]
- Álvarez, R.; Puebla, P.; Díaz, J.F.; Bento, A.C.; García-Navas, R.; de la Iglesia-Vicente, J.; Mollinedo, F.; Andreu, J.M.; Medarde, M.; Peláez, R. Endowing Indole-Based Tubulin Inhibitors with an Anchor for Derivatization: Highly Potent 3-Substituted Indolephenstatins and Indoleisocombretastatins. J. Med. Chem. 2013, 56, 2813–2827. [Google Scholar] [CrossRef] [PubMed]
- Carbone, A.; Parrino, B.; Vita, G.; Attanzio, A.; Spanò, V.; Montalbano, A.; Barraja, P.; Tesoriere, L.; Livrea, M.; Diana, P.; et al. Synthesis and Antiproliferative Activity of Thiazolyl-bis-pyrrolo[2,3-b]pyridines and Indolyl-thiazolyl-pyrrolo[2,3-c]pyridines, Nortopsentin Analogues. Mar. Drugs 2015, 13, 460–492. [Google Scholar] [CrossRef] [PubMed]
- Carbone, A.; Pennati, M.; Barraja, P.; Montalbano, A.; Parrino, B.; Spanò, V.; Lopergolo, A.; Sbarra, S.; Doldi, V.; Zaffaroni, N.; et al. Synthesis and antiproliferative activity of substituted 3 [2-(1H-indol-3-yl)-1, 3-thiazol-4-yl]-1H-pyrrolo[3,2-b]pyridines, marine alkaloid nortopsentin analogues. Curr. Med. Chem. 2014, 21, 1654–1666. [Google Scholar] [CrossRef] [PubMed]
- Diana, P.; Carbone, A.; Barraja, P.; Montalbano, A.; Parrino, B.; Lopergolo, A.; Pennati, M.; Zaffaroni, N.; Cirrincione, G. Synthesis and Antitumor Activity of 3-(2-Phenyl-1,3-thiazol-4-yl)-1H-indoles and 3-(2-Phenyl-1,3-thiazol-4-yl)-1H-7-azaindoles. Chemmedchem 2011, 6, 1300–1309. [Google Scholar] [CrossRef] [PubMed]
- Kuppens, I.E. Current state of the art of new tubulin inhibitors in the clinic. Curr. Clin. Pharm. 2006, 1, 57–70. [Google Scholar] [CrossRef]
- Bacher, G.; Beckers, T.; Emig, P.; Klenner, T.; Kutscher, B.; Nickel, B. New small-molecule tubulin inhibitors. Pure Appl. Chem. 2001, 73, 1459–1464. [Google Scholar] [CrossRef]
- Knaack, M.; Emig, P.; Bats, J.W.; Kiesel, M.; Müller, A.; Günther, E. Synthesis and Characterization of the Biologically Active 2-[1-(4-Chlorobenzyl)-1H-indol-3-yl]-2-oxo-N-pyridin-4-yl Acetamide. Eur. J. Org. Chem. 2001, 3843–3847. [Google Scholar] [CrossRef]
- Thompson, M.J.; Borsenberger, V.; Louth, J.C.; Judd, K.E.; Chen, B. Design, Synthesis, and Structure-Activity Relationship of Indole-3-glyoxylamide Libraries Possessing Highly Potent Activity in a Cell Line Model of Prion Disease. J. Med. Chem. 2009, 52, 7503–7511. [Google Scholar] [CrossRef] [PubMed]
- Takhi, M.; Singh, G.; Murugan, C.; Thaplyyal, N.; Maitra, S.; Bhaskarreddy, K.; Amarnath, P.; Mallik, A.; Harisudan, T.; Trivedi, R.K.; et al. Novel and potent oxazolidinone antibacterials featuring 3-indolylglyoxamide substituents. Bioorg. Med. Chem. Lett. 2008, 18, 5150–5155. [Google Scholar] [CrossRef] [PubMed]
- Lee, Y.-J.; Han, Y.-R.; Park, W.; Nam, S.-H.; Oh, K.-B.; Lee, H.-S. Synthetic analogs of indole-containing natural products as inhibitors of sortase A and isocitrate lyase. Bioorg. Med. Chem. Lett. 2010, 20, 6882–6885. [Google Scholar] [CrossRef] [PubMed]
- Wang, T.; Yin, Z.; Zhang, Z.; Bender, J.A.; Yang, Z.; Johnson, G.; Yang, Z.; Zadjura, L.M.; D’Arienzo, C.J.; Parker, D.D.; et al. Inhibitors of Human Immunodeficiency Virus Type 1 (HIV-1) Attachment. 5. An Evolution from Indole to Azaindoles Leading to the Discovery of 1-(4-Benzoylpiperazin-1-yl)-2-(4,7-dimethoxy-1H-pyrrolo[2,3-c]pyridin-3-yl) ethane-1, 2-dione (BMS-488043), a Drug Candidate That Demonstrates Antiviral Activity in HIV-1-Infected Subjects. J. Med. Chem. 2009, 52, 7778–7787. [Google Scholar] [PubMed]
- Taliani, S.; Trincavelli, M.L.; Cosimelli, B.; Laneri, S.; Severi, E.; Barresi, E.; Pugliesi, I.; Daniele, S.; Giacomelli, C.; Greco, G.; et al. Modulation of A 2B adenosine receptor by 1-Benzyl-3-ketoindole derivatives. Eur. J. Med. Chem. 2013, 69, 331–337. [Google Scholar] [CrossRef] [PubMed]
- Houlihan, W.J.; Parrino, V.A.; Uike, Y. Lithiation of N-(2-alkylphenyl)alkanamides and related compounds. A modified Madelung indole synthesis. J. Org. Chem. 1981, 46, 4511–4515. [Google Scholar] [CrossRef]
- Robinson, M.W.; Overmeyer, J.H.; Young, A.M.; Erhardt, P.W.; Maltese, W.A. Synthesis and Evaluation of Indole-Based Chalcones as Inducers of Methuosis, a Novel Type of Nonapoptotic Cell Death. J. Med. Chem. 2012, 55, 1940–1956. [Google Scholar] [CrossRef] [PubMed]
- Dominguez-Brauer, C.; Thu, K.L.; Mason, J.M.; Blaser, H.; Bray, M.R.; Mak, T.W. Targeting Mitosis in Cancer: Emerging Strategies. Mol Cell. 2015, 60, 524–536. [Google Scholar] [CrossRef] [PubMed]
- Weaver, B.A. How Taxol/paclitaxel kills cancer cells. Mol. Biol. Cell. 2014, 25, 2677–2681. [Google Scholar] [CrossRef] [PubMed]
- Malumbres, M.; Barbacid, M. Cell cycle, CDKs and cancer: A changing paradigm. Nat. Rev. Cancer 2009, 9, 153–166. [Google Scholar] [CrossRef] [PubMed]
- Malumbres, M. Physiological relevance of cell cycle kinases. Physiol. Rev. 2011, 91, 973–1007. [Google Scholar] [CrossRef] [PubMed]
- Strebhardt, K. Multifaceted polo-like kinases: Drug targets and antitargets for cancer therapy. Nat. Rev. Drug Discov. 2010, 9, 643–660. [Google Scholar] [CrossRef] [PubMed]
- Jacobson, M.D.; Weil, M.; Raff, M.C. Programmed cell death in animal development. Cell 1997, 88, 347–354. [Google Scholar] [CrossRef]
- Mattson, M.P. Apoptosis in neurodegenerative disorders. Nat. Rev. Mol. Cell Biol. 2000, 1, 120–130. [Google Scholar] [CrossRef] [PubMed]
- Kerr, J.F.; Winterford, C.M.; Harmon, B.V. Apoptosis. Its significance in cancer and cancer therapy. Cancer 1994, 73, 2013–2026. [Google Scholar] [CrossRef]
- Eisenberg-Lerner, A.; Bialik, S.; Simon, H.; Kimchi, A. Life and death partners: Apoptosis, autophagy and the cross-talk between them. Cell Death Differ. 2009, 16, 966–975. [Google Scholar] [CrossRef] [PubMed]
- Finckenberg, P.; Eriksson, O.; Baumann, M.; Merasto, S.; Lalowski, M.M.; Levijoki, J.; Haasio, K.; Kytö, V.; Muller, D.N.; Luft, F.C.; et al. Caloric restriction ameliorates angiotensin II–induced mitochondrial remodeling and cardiac hypertrophy. Hypertension 2012, 59, 76–84. [Google Scholar] [CrossRef] [PubMed]
- Galluzzi, L.; Vitale, I.; Abrams, J.; Alnemri, E.; Baehrecke, E.; Blagosklonny, M.; Dawson, T.; Dawson, V.; El-Deiry, W.; Fulda, S.; et al. Molecular definitions of cell death subroutines: Recommendations of the Nomenclature Committee on Cell Death 2012. Cell Death Differ. 2012, 19, 107–120. [Google Scholar] [CrossRef] [PubMed]
- Jin, Z.; El-Deiry, W.S. Overview of cell death signaling pathways. Cancer Biol. Ther. 2005, 4, 147–171. [Google Scholar] [CrossRef]
- Oral, O.; Akkoc, Y.; Bayraktar, O.; Gozuacik, D. Physiological and pathological significance of the molecular cross-talk between autophagy and apoptosis. Histol. Histopathol. 2016, 31, 479–498. [Google Scholar]
- Green, D.R.; Llambi, F. Cell Death Signaling. Cold Spring Harbor Perspec. Biol. 2015, 7. [Google Scholar] [CrossRef] [PubMed]
- Lavrik, I.; Golks, A.; Krammer, P.H. Death receptor signaling. J. Cell Sci. 2005, 118, 265–267. [Google Scholar] [CrossRef] [PubMed]
- Węsierska-Gądek, J.; Gueorguieva, M.; Wojciechowski, J.; Tudzarova-Trajkovska, S. In vivo activated caspase-3 cleaves PARP-1 in rat liver after administration of the hepatocarcinogen N-nitrosomorpholine (NNM) generating the 85 kDa fragment. J. Cell Biochem. 2004, 93, 774–787. [Google Scholar] [CrossRef] [PubMed]
- Thompson, M.J.; Louth, J.C.; Ferrara, S.; Jackson, M.P.; Sorrell, F.J.; Cochrane, E.J.; Gever, J.; Baxendale, S.; Silber, B.M.; Roehl, H.H.; et al. Discovery of 6-substituted indole-3-glyoxylamides as lead antiprion agents with enhanced cell line activity, improved microsomal stability and low toxicity. Eur. J. Med. Chem. 2011, 46, 4125–4132. [Google Scholar] [CrossRef] [PubMed]
- Sample Availability: Samples of all compounds are available from the authors.
© 2016 by the authors. Licensee MDPI, Basel, Switzerland. This article is an open access article distributed under the terms and conditions of the Creative Commons Attribution (CC-BY) license ( http://creativecommons.org/licenses/by/4.0/).




























