Chitosan and Its Derivatives as Highly Efficient Polymer Ligands
Abstract
:1. Introduction
2. Chitosan Derivatives without Linkers
2.1. Main Synthesis Methods
2.1.1. O-Containing Chitosan Derivatives
2.1.2. N-Containing Chitosan Derivatives
2.1.3. S-Containing Chitosan Derivatives
2.1.4. P-Containing Chitosan Derivatives
2.2. Sorption Properties
2.2.1. O-Containing Chitosan Derivatives
2.2.2. N-Containing Chitosan Derivatives
2.2.3. S-Containing Chitosan Derivatives
2.2.4. P-Containing Chitosan Derivatives
3. Chitosan Derivatives with Linkers
3.1. Main Synthesis Methods
3.1.1. О-Containing Chitosan Derivatives
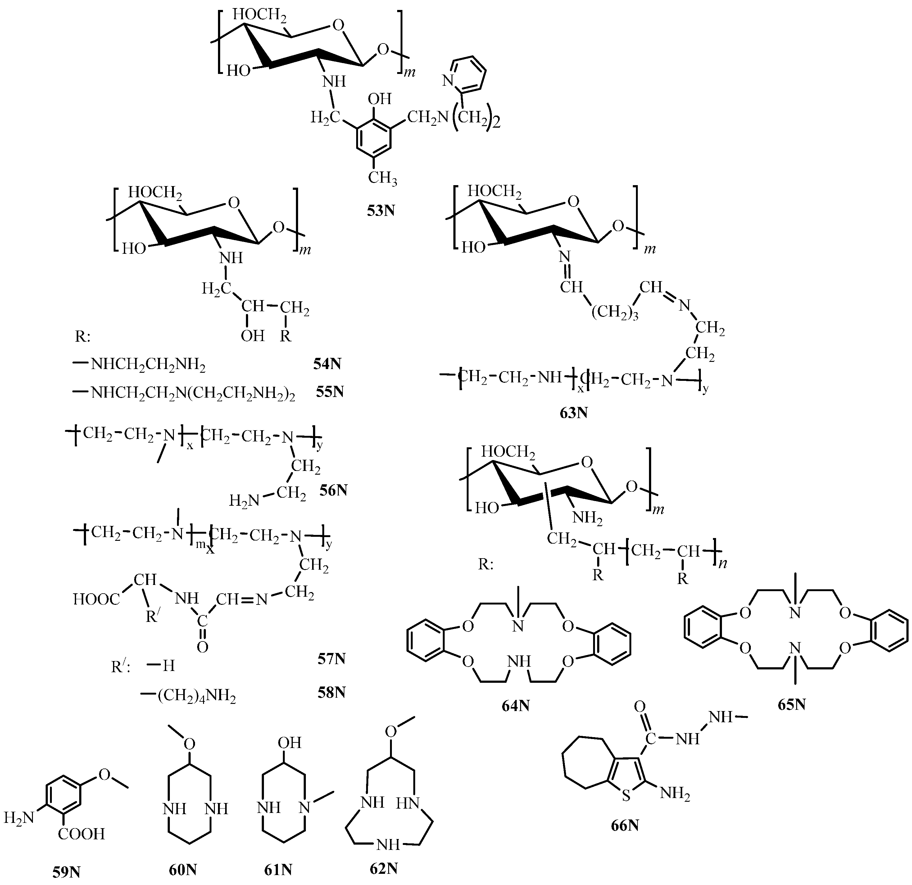
3.1.2. N-Containing Chitosan Derivatives
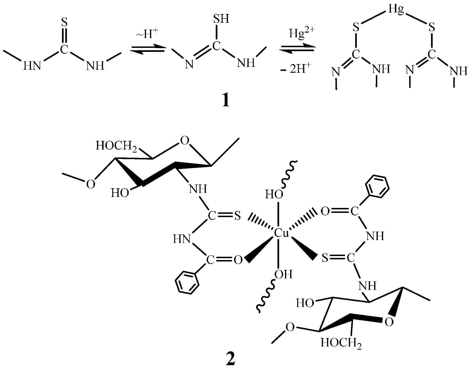
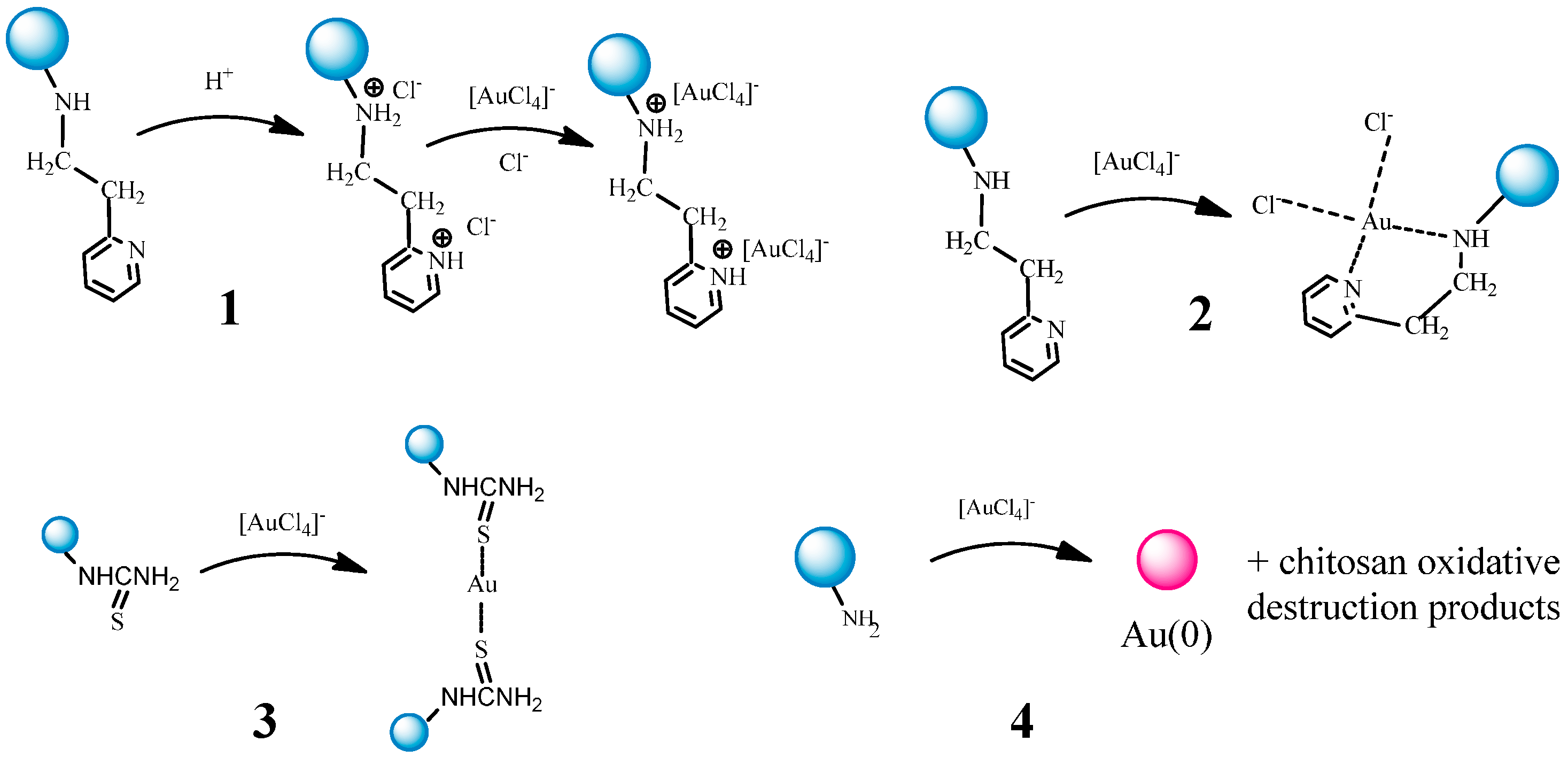
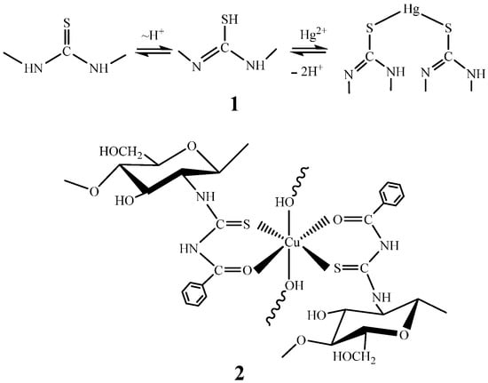
3.1.3. S-Containing Chitosan Derivatives
3.2. Sorption Properties
3.2.1. О-Containing Chitosan Derivatives
3.2.2. N-Containing Chitosan Derivatives
3.2.3. S-Containing Chitosan Derivatives
4. Mechanisms of Interaction of Chitosan and its Derivatives with Metal Ions
4.1. Interaction of Chitosan and Its Derivatives with Metal Cations
4.2. Interaction of Chitosan and its Derivatives with Metal Anions
5. Conclusions
Acknowledgments
Author Contributions
Conflicts of Interest
References
- Guibal, E. Interactions of metal ions with chitosan-based sorbents: A review. Sep. Purif. Technol. 2004, 38, 43–74. [Google Scholar] [CrossRef]
- Varma, A.J.; Deshpande, S.V.; Kennedy, J.F. Metal complexation by chitosan and its derivatives: A review. Carbohydr. Polym. 2004, 55, 77–93. [Google Scholar] [CrossRef]
- Guibal, E.; Vincent, T.; Navarro, R. Metal ion biosorption on chitosan for the synthesis of advanced materials. J. Mater. Sci. 2014, 49, 5505–5518. [Google Scholar] [CrossRef]
- Kurita, K. Controlled functionalization of the polysaccharide chitin. Prog. Polym. Sci. 2001, 26, 1921–1971. [Google Scholar] [CrossRef]
- Kurita, K. Chitin and chitosan: Functional biopolymers from marine crustaceans. Mar. Biotechnol. 2006, 8, 203–226. [Google Scholar] [CrossRef] [PubMed]
- Wang, J.; Chen, C. Chitosan-based biosorbents: Modification and application for biosorption of heavy metals and radionuclides. Bioresour. Technol. 2014, 160, 129–141. [Google Scholar] [CrossRef] [PubMed]
- Boamah, P.O.; Huang, Y.; Hua, M.; Zhang, Q.; Wu, J.; Onumah, J.; Sam-Amoah, L.K.; Boamah, P.O. Sorption of heavy metal ions onto carboxylate chitosan derivatives—A mini-review. Ecotoxicol. Environ. Saf. 2015, 116, 113–120. [Google Scholar] [CrossRef] [PubMed]
- Spano, F.; Massaro, A.; Cingolani, R.; Athanassiou, A. Optical enhancement by means of concentration tuning of gold precursors in polymer nanocomposite materials. Microelectron. Eng. 2011, 88, 2763–2766. [Google Scholar] [CrossRef]
- Murugadoss, A.; Sakurai, H. Chitosan-stabilized gold, gold-palladium, and gold-platinum nanoclusters as efficient catalysts for aerobic oxidation of alcohols. J. Mol. Catal. A Chem. 2011, 341, 1–6. [Google Scholar] [CrossRef]
- Guibal, E. Heterogeneous catalysis on chitosan-based materials: A review. Prog. Polym. Sci. 2005, 30, 71–109. [Google Scholar] [CrossRef]
- Rabea, E.I.; Badawy, M.E.T.; Stevens, C.V.; Smagghe, G.; Steurbaut, W. Chitosan as antimicrobial agent: Applications and mode of action. Biomacromolecules 2003, 4, 1457–1465. [Google Scholar] [CrossRef] [PubMed]
- Lundvall, O.; Gulppi, M.; Paez, M.A.; Gonzalez, E.; Zagal, J.H.; Pavez, J.; Thompson, G.E. Copper modified chitosan for protection of AA-2024. Surf. Coat. Technol. 2007, 201, 5973–5978. [Google Scholar] [CrossRef]
- Wang, R.M.; He, N.P.; Song, P.F.; He, Y.F.; Ding, L.; Lei, Z.Q. Preparation of nano-chitosan Schiff-base copper complexes and their anticancer activity. Polym. Adv. Technol. 2009, 20, 959–964. [Google Scholar] [CrossRef]
- Shoukry, A.A.; Hosny, W.M. Coordination properties of N,O-carboxymethyl chitosan (NOCC). Synthesis and equilibrium studies of some metal ion complexes. Ternary complexes involving Cu(II) with (NOCC) and some biorelevant ligand. Cent. Eur. J. Chem. 2011, 10, 59–70. [Google Scholar] [CrossRef]
- Gerente, C.; Lee, V.K.C.; le Cloirec, P.; McKay, G. Application of Chitosan for the Removal of Metals From Wastewaters by Adsorption—Mechanisms and Models Review. Crit. Rev. Environ. Sci. Technol. 2007, 37, 41–127. [Google Scholar] [CrossRef]
- Muzzarelli, R.A.A. Potential of chitin/chitosan-bearing materials for uranium recovery: An interdisciplinary review. Carbohydr. Polym. 2011, 84, 54–63. [Google Scholar] [CrossRef]
- Ngah, W.S.W.; Endud, C.S.; Mayanar, R. Removal of copper(II) ions from aqueous solution onto chitosan and cross-linked chitosan beads. React. Funct. Polym. 2002, 50, 181–190. [Google Scholar] [CrossRef]
- Julkapli, N.M.; Ahmad, Z.; Akil, H.M. Preparation and characterization of 1,2,4,5-benzenetetra carboxylic-chitosan. E-Polymers 2010, 10, 841–857. [Google Scholar]
- Deleanu, C.; Simonescu, C.M.; Constantinescu, I. Adsorption behaviour of Cu(II) ions from aqueous solution on chitosan. Rev. Chim. 2008, 59, 639–642. [Google Scholar]
- Benavente, M.; Moreno, L.; Martinez, J. Sorption of heavy metals from gold mining wastewater using chitosan. J. Taiwan Inst. Chem. Eng. 2011, 42, 976–988. [Google Scholar] [CrossRef]
- Schmuhl, R.; Krieg, H.M.; Keizer, K. Adsorption of Cu (II) and Cr (VI) ions by chitosan : Kinetics and equilibrium studies. WaterSA. 2001, 27, 1–7. [Google Scholar] [CrossRef]
- Ge, H.; Huang, S. Microwave Preparation and Adsorption Properties of EDTA-Modified Cross-Linked Chitosan. J. Appl. Polym. Sci. 2010, 115, 514–519. [Google Scholar] [CrossRef]
- Chen, A.H.; Liu, S.C.; Chen, C.Y.; Chen, C.Y. Comparative adsorption of Cu(II), Zn(II), and Pb(II) ions in aqueous solution on the crosslinked chitosan with epichlorohydrin. J. Hazard. Mater. 2008, 154, 184–191. [Google Scholar] [CrossRef] [PubMed]
- Trimukhe, K.D.; Varma, A.J. Complexation of heavy metals by crosslinked chitin and its deacetylated derivatives. Carbohydr. Polym. 2008, 71, 66–73. [Google Scholar] [CrossRef]
- Juang, R.; Shao, H. A simplified equilibrium model for sorption of heavy metal ions from aqueous solutions on chitosan. Water Res. 2002, 36, 2999–3008. [Google Scholar] [CrossRef]
- Wang, S.; Yu, D. Adsorption of Cd(II), Pb(II), and Ag(I) in Aqueous Solution on Hollow Chitosan Microspheres. J. Appl. Polym. Sci. 2010, 118, 733–739. [Google Scholar] [CrossRef]
- Li, N.; Bai, R. Highly Enhanced Adsorption of Lead Ions on Chitosan Granules Functionalized with Poly(acrylic acid). Ind. Eng. Chem. Res. 2006, 7897–7904. [Google Scholar] [CrossRef]
- Debbaudt, A.; Zalba, M.; Ferreira, M.L.; Gschaider, M.E. Theoretical and Experimental Study of Pb2+ and Hg2+ Adsorption on Biopolymers. 2 Experimental Part. Macromol. Biosci. 2001, 249–257. [Google Scholar] [CrossRef]
- Ruiz, M.; Sastre, A.M.; Guibal, E. Palladium sorption on glutaraldehyde-crosslinked chitosan. React. Funct. Polym. 2000, 45, 155–173. [Google Scholar] [CrossRef]
- Guibal, E.; von Offenberg Sweeney, N.; Vincent, T.; Tobin, J.M. Sulfur derivatives of chitosan for palladium sorption. React. Funct. Polym. 2002, 50, 149–163. [Google Scholar] [CrossRef]
- Arrascue, M.L.; Garcia, H.M.; Horna, O.; Guibal, E. Gold sorption on chitosan derivatives. Hydrometallurgy 2003, 71, 191–200. [Google Scholar] [CrossRef]
- Guibal, E.; Larkin, A.; Vincent, T.; Tobin, J.M. Chitosan Sorbents for Platinum Sorption from Dilute Solutions. Ind. Eng. Chem. Res. 1999, 38, 4011–4022. [Google Scholar] [CrossRef]
- Suneetha, Y.; Kumar, B.N.; Harinath, Y.; Reddy, D.H.K.; Seshaiah, K. Functionalization of cross linked chitosan with 2-aminopyridine-3-carboxylic acid for solid phase extraction of cadmium and zinc ions and their determination by atomic absorption spectrometry. Microchim. Acta 2012, 176, 169–176. [Google Scholar] [CrossRef]
- Wang, H.; Li, C.; Bao, C.; Liu, L.; Liu, X. Adsorption and Determination of Pd(II) and Pt(IV) onto 3′-Nitro-4-amino Azobenzene Modified Chitosan. J. Chem. Eng. Data 2011, 56, 4203–4207. [Google Scholar] [CrossRef]
- Wan, L.; Wang, Y.; Qian, S. Study on the adsorption properties of novel crown ether crosslinked chitosan for metal ions. J. Appl. Polym. Sci. 2002, 84, 29–34. [Google Scholar] [CrossRef]
- Mironenko, A.; Modin, E.; Sergeev, A.; Voznesenskiy, S.; Bratskaya, S. Fabrication and optical properties of chitosan/Ag nanoparticles thin film composites. Chem. Eng. J. 2014, 244, 457–463. [Google Scholar] [CrossRef]
- Pinto, R.J.B.; Fernandes, S.C.M.; Freire, C.S.R.; Sadocco, P.; Causio, J.; Neto, C.P.; Trindade, T. Antibacterial activity of optically transparent nanocomposite films based on chitosan or its derivatives and silver nanoparticles. Carbohydr. Res. 2012, 348, 77–83. [Google Scholar] [CrossRef] [PubMed]
- Muzzarelli, R.A.A. Carboxymethylated chitins and chitosans. Carbohydr. Polym. 1988, 8, 1–21. [Google Scholar] [CrossRef]
- Sun, S.; Wang, A. Adsorption kinetics of Cu(II) ions using N,O-carboxymethyl-chitosan. J. Hazard. Mater. B 2006, 131, 103–111. [Google Scholar] [CrossRef] [PubMed]
- Yan, H.; Dai, J.; Yang, Z.; Yang, H.; Cheng, R. Enhanced and selective adsorption of copper(II) ions on surface carboxymethylated chitosan hydrogel beads. Chem. Eng. J. 2011, 174, 586–594. [Google Scholar] [CrossRef]
- Tang, L.; Hon, D.N.S. Chelation of Chitosan Derivatives with Zinc Ions. II. Association Complexes of Zn2+ onto O,N-Carboxymethyl Chitosan. J. Appl. Polym. Sci. 2001, 79, 1476–1485. [Google Scholar] [CrossRef]
- Wang, M.; Xu, L.; Peng, J.; Zhai, M.; Li, J.; Wei, G. Adsorption and desorption of Sr(II) ions in the gels based on polysaccharide derivates. J. Hazard. Mater. 2009, 171, 820–826. [Google Scholar] [CrossRef] [PubMed]
- Qu, R.; Sun, Y.; Wang, C.; Lu, S.; Yu, H.; Cheng, G. Syntheses and properties of carboxymethyl chitosan/urea-formaldehyde snake-cage resins. J. Appl. Polym. Sci. 2002, 84, 310–317. [Google Scholar] [CrossRef]
- Wasikiewicz, J.M.; Mitomo, H.; Seko, N.; Tamada, M.; Yoshii, F. Platinum and palladium ions adsorption at the trace amounts by radiation crosslinked carboxymethylchitin and carboxymethylchitosan hydrogels. J. Appl. Polym. Sci. 2007, 104, 4015–4023. [Google Scholar] [CrossRef]
- Ngah, W.S.W.; Liang, K.H. Adsorption of gold(III) ions onto chitosan and N-carboxymethyl chitosan: Equilibrium studies. Ind. Eng. Chem. Res. 1999, 38, 1411–1414. [Google Scholar] [CrossRef]
- Skorik, Y.A.; Gomes, C.A.R.; Podberezskaya, N.V.; Romanenko, G.V.; Pinto, L.F.; Yatluk, Y.G. Complexation models of N-(2-carboxyethyl) chitosans with copper(II) ions. Biomacromolecules 2005, 6, 189–195. [Google Scholar] [CrossRef] [PubMed]
- Sokovnin, S.Y.; Balezin, M.E.; Puzyrev, I.S.; Pestov, A.V.; Yatluk, Y.G.; Zabolotskaya, E.V. Sorbents based on N-(-2-carboxyethyl) chitosan cross-linked by nanosecond electron beams. Russ. Chem. Bull. Int. Ed. 2009, 58, 1172–1179. [Google Scholar] [CrossRef]
- Ding, P.; Huang, K.L.; Li, G.Y.; Zeng, W.W. Mechanisms and kinetics of chelating reaction between novel chitosan derivatives and Zn(II). J. Hazard. Mater. 2007, 146, 58–64. [Google Scholar] [CrossRef] [PubMed]
- Repo, E.; Warchol, J.K.; Kurniawan, T.A.; Sillanpää, M.E.T. Adsorption of Co(II) and Ni(II) by EDTA- and/or DTPA-modified chitosan: Kinetic and equilibrium modeling. Chem. Eng. J. 2010, 161, 73–82. [Google Scholar] [CrossRef]
- Birlik, E.; Büyüktiryaki, S.; Ersöz, A.; Denizli, A.; Say, R. Selective Separation of Thorium Using Ion Imprinted Chitosan-Phthalate Particles via Solid Phase Extraction. Sep. Sci. Technol. 2006, 41, 3109–3121. [Google Scholar] [CrossRef]
- El-Sherbiny, I.M. Synthesis, characterization and metal uptake capacity of a new carboxymethyl chitosan derivative. Eur. Polym. J. 2009, 45, 199–210. [Google Scholar] [CrossRef]
- Sun, S.; Wang, A. Adsorption properties and mechanism of cross-linked carboxymethyl-chitosan resin with Zn(II) as template ion. React. Funct. Polym. 2006, 66, 819–826. [Google Scholar] [CrossRef]
- Sun, S.; Wang, A. Adsorption properties of N-succinyl-chitosan and cross-linked N-succinyl-chitosan resin with Pb(II) as template ions. Sep. Purif. Technol. 2006, 51, 409–415. [Google Scholar] [CrossRef]
- Zhao, L.; Mitomo, H.; Yoshii, F.; Kume, T. Preparation of Crosslinked Carboxymethylated Chitin Derivatives by Irradiation and Their Sorption Behavior for Copper(II) Ions. J. Appl. Polym. Sci. 2004, 91, 556–562. [Google Scholar] [CrossRef]
- Molochnikov, L.S.; Pestov, A.V.; Zabolotskaya, E.V.; Yatluk, Y.G. Solid-state structure of copper complexes of N-(2-carboxyethyl)chitosan. J. Appl. Spectrosc. 2008, 75, 648–652. [Google Scholar] [CrossRef]
- Inukai, Y.; Chinen, T.; Matsuda, T.; Kaida, Y.; Yasuda, S. Selective separation of germanium(IV) by 2, 3-dihydroxypropyl chitosan resin. Anal. Chim. Acta 1998, 371, 187–193. [Google Scholar] [CrossRef]
- Sabarudin, A.; Oshita, K.; Oshima, M.; Motomizu, S. Synthesis of cross-linked chitosan possessing N-methyl-d-glucamine moiety (CCTS-NMDG) for adsorption/concentration of boron in water samples and its accurate measurement by ICP-MS and ICP-AES. Talanta 2005, 66, 136–144. [Google Scholar] [CrossRef] [PubMed]
- Li, H.; Chen, Y.; Liu, S. Synthesis, Characterization, and Metal Ions Adsorption Properties of Chitosan—Calixarenes (I). J. Appl. Polym. Sci. 2003, 89, 1139–1144. [Google Scholar] [CrossRef]
- Klug, M.; Sanches, M.N.M.; Laranjeira, M.C.M.; Fávere, V.T. Análise Das Isotermas de Adsorção de Cu(II), Cd(II), Ni(II) E Zn(II) Pela N-(3,4-Dihidroxibenzil)Quitosana Empregando O Método Da Regressão Não Linear. Quim. Nov. 1998, 21, 410–413. [Google Scholar] [CrossRef]
- Zhu, H.; Mizugaki, T.; Kaneda, K. Synthesis of dimethylaminoethyl chitin and applications as a polymeric ligand to form Rh cluster complexes for the reduction of benzaldehyde and nitrobenzene. Macromol. Chem. Phys. 2000, 201, 1431–1435. [Google Scholar] [CrossRef]
- Qin, C.; Du, Y.; Zhang, Z.; Liu, Y.; Xiao, L.; Shi, X. Adsorption of Chromium (VI) on a Novel Quaternized Chitosan Resin. Appl. Polym. 2003, 505–510. [Google Scholar] [CrossRef]
- Cárdenas, G.; Orlando, P.; Edelio, T. Synthesis and applications of chitosan mercaptanes as heavy metal retention agent. Int. J. Biol. Macromol. 2001, 28, 167–174. [Google Scholar] [CrossRef]
- Sabarudin, A.; Oshita, K.; Oshima, M.; Motomizu, S. Synthesis of chitosan resin possessing 3,4-diamino benzoic acid moiety for the collection/concentration of arsenic and selenium in water samples and their measurement by inductively coupled plasma-mass spectrometry. Anal. Chim. Acta 2005, 542, 207–215. [Google Scholar] [CrossRef]
- Taboada, E.; Cabrera, G.; Cardenas, G. Synthesis and Characterization of New Arylamine Chitosan Derivatives. J. Appl. Polym. Sci. 2004, 91, 807–812. [Google Scholar] [CrossRef]
- Cardenas, G.; Taboada, E.; Bravo, A.; Miranda, S.P. SEM-EDX Studies of Chitosan Derivatives-Metal Adducts. J. Chil. Chem. Soc. 2003, 48, 31–35. [Google Scholar] [CrossRef]
- Sabarudin, A.; Oshima, M.; Noguchi, O.; Motomizu, S. Functionalization of chitosan with 3-nitro-4-amino benzoic acid moiety and its application to the collection/concentration of molybdenum in environmental water samples. Talanta 2007, 73, 831–837. [Google Scholar] [CrossRef] [PubMed]
- Sabarudin, A.; Lenghor, N.; Oshima, M.; Hakim, L.; Takayanagi, T.; Gao, Y.H.; Motomizu, S. Sequential-injection on-line preconcentration using chitosan resin functionalized with 2-amino-5-hydroxy benzoic acid for the determination of trace elements in environmental water samples by inductively coupled plasma-atomic emission spectrometry. Talanta 2007, 72, 1609–1617. [Google Scholar] [CrossRef] [PubMed]
- Becker, T.; Schlaak, M.; Strasdeit, H. Adsorption of nickel(II), zinc(II) and cadmium(II) by new chitosan derivatives. React. Funct. Polym. 2000, 44, 289–298. [Google Scholar] [CrossRef]
- Jeon, C.; Höll, W.H. Chemical modification of chitosan and equilibrium study for mercury ion removal. Water Res. 2003, 37, 4770–4780. [Google Scholar] [CrossRef]
- Ma, F.; Qu, R.; Sun, C.; Wang, C.; Ji, C.; Zhang, Y.; Yin, P. Adsorption behaviors of Hg(II) on chitosan functionalized by amino-terminated hyperbranched polyamidoamine polymers. J. Hazard. Mater. 2009, 172, 792–801. [Google Scholar] [CrossRef] [PubMed]
- Tong, J.; Li, Z.; Xia, C. Highly efficient catalysts of chitosan-Schiff base Co(II) and Pd(II) complexes for aerobic oxidation of cyclohexane in the absence of reductants and solvents. J. Mol. Catal. A Chem. 2005, 231, 197–203. [Google Scholar] [CrossRef]
- Leonhardt, S.E.S.; Stolle, A.; Ondruschka, B.; Cravotto, G.; de Leo, C.; Jandt, K.D.; Keller, T.F. Chitosan as a support for heterogeneous Pd catalysts in liquid phase catalysis. Appl. Catal. A Gen. 2010, 379, 30–37. [Google Scholar] [CrossRef]
- Rodrigues, C.A.; Laranjeira, M.C.M.; Stadler, E.; Drago, V. Preparation and characterization of the pentacyanoferrate (II) on the surface of N-(4-pyridilmethylidene) chitosan. Carbohydr. Polym. 2000, 42, 311–314. [Google Scholar] [CrossRef]
- Hu, D.; Cui, Y.; Dong, X.; Fang, Y. Studies on CoSalen immobilized onto N-(4-pyridylmethylidene)-chitosan. React. Funct. Polym. 2001, 48, 201–207. [Google Scholar] [CrossRef]
- Baba, Y.; Kawano, Y.; Hirakawa, H. Highly selective adsorption resins. 1. Preparation of chitosan derivatives containing 2-pyridylmethyl, 2-thienylmethyl, and 3-(methylthio)propyl groups and their selective adsorption of precious metal. Bull. Chem. Soc. Jpn. 1996, 69, 1255–1260. [Google Scholar] [CrossRef]
- Baba, Y.; Masaaki, K.; Kawano, Y. Synthesis of a chitosan derivative recognizing planar metal ion and its selective adsorption equilibria of copper (II) over iron (III) 1. React. Funct. Polym. 1998, 36, 167–172. [Google Scholar] [CrossRef]
- Dhakal, R.P.; Oshima, T.; Baba, Y. Planarity-recognition enhancement of N-(2-pyridylmethyl)chitosan by imprinting planar metal ions. React. Funct. Polym. 2008, 68, 1549–1556. [Google Scholar] [CrossRef]
- Bratskaya, S.Y.; Azarova, Y.A.; Matochkina, E.G.; Kodess, M.I.; Yatluk, Y.G.; Pestov, A.V. N-(2-(2-pyridyl)ethyl)chitosan: Synthesis, characterization and sorption properties. Carbohydr. Polym. 2012, 87, 869–875. [Google Scholar] [CrossRef]
- Bratskaya, S.Y.; Azarova, Y.A.; Portnyagin, A.S.; Mechaev, A.V.; Voit, A.V.; Pestov, A.V. Synthesis and properties of isomeric pyridyl-containing chitosan derivatives. Int. J. Biol. Macromol. 2013, 62, 426–432. [Google Scholar] [CrossRef] [PubMed]
- Santos Sopena, L.A.; Ruiz, M.; Pestov, A.V.; Sastre, A.M.; Yatluk, Y.; Guibal, E. N-(2-(2-Pyridyl)ethyl)chitosan (PEC) for Pd(II) and Pt(IV) sorption from HCl solutions. Cellulose 2011, 18, 309–325. [Google Scholar] [CrossRef]
- Hu, D.; Fang, Y.; Gao, G.; Wang, M. Studies on CoSalen immobilized onto N-(4-methylimidazole)-chitosan. J. Appl. Polym. Sci. 2006, 101, 2431–2436. [Google Scholar] [CrossRef]
- Pestov, A.V.; Bratskaya, S.Y.; Azarova, Y.A.; Yatluk, Y.G. Imidazole-containing chitosan derivative: A new synthetic approach and sorption properties. Russ. Chem. Bull. 2012, 61, 1959–1964. [Google Scholar] [CrossRef]
- Muzzarelli, R.A.A.; Mattioli-Belmonte, M.; Tietz, C.; Biagini, R.; Ferioli, G.; Brunelli, M.A.; Fini, M.; Giardino, R.; Ilari, P.; Biagini, G. Stimulatory effect on bone formation exerted by a modified chitosan. Biomaterials 1994, 15, 1075–1081. [Google Scholar] [CrossRef]
- Sousa, K.S.; Filho, E.C.S.; Airoldi, C. Ethylenesulfide as a useful agent for incorporation on the biopolymer chitosan in a solvent-free reaction for use in lead and cadmium removal. Carbohydr. Res. 2009, 344, 1716–1723. [Google Scholar] [CrossRef] [PubMed]
- Chang, Q.; Zhang, M.; Wang, J. Removal of Cu2+ and turbidity from wastewater by mercaptoacetyl chitosan. J. Hazard. Mater. 2009, 169, 621–625. [Google Scholar] [CrossRef] [PubMed]
- Vieira, E.F.S.; Cestari, A.R.; Santos, E.B.; Dias, F.S. Interaction of Ag(I), Hg(II), and Cu(II) with 1,2-ethanedithiol immobilized on chitosan: Thermochemical data from isothermal calorimetry. J. Colloid Interface Sci. 2005, 289, 42–47. [Google Scholar] [CrossRef] [PubMed]
- Chassary, P.; Vincent, T.; Sanchez Marcano, J.; MacAskie, L.E.; Guibal, E. Palladium and platinum recovery from bicomponent mixtures using chitosan derivatives. Hydrometallurgy 2005, 76, 131–147. [Google Scholar] [CrossRef]
- Fan, L.; Luo, C.; Lv, Z.; Lu, F.; Qiu, H. Removal of Ag+ from water environment using a novel magnetic thiourea-chitosan imprinted Ag+. J. Hazard. Mater. 2011, 194, 193–201. [Google Scholar] [CrossRef] [PubMed]
- Zhou, L.; Liu, J.; Liu, Z. Adsorption of platinum(IV) and palladium(II) from aqueous solution by thiourea-modified chitosan microspheres. J. Hazard. Mater. 2009, 172, 439–446. [Google Scholar] [CrossRef] [PubMed]
- Khan, A.; Badshah, S.; Airoldi, C. Dithiocarbamated chitosan as a potent biopolymer for toxic cation remediation. Colloids Surf. B Biointerfaces 2011, 87, 88–95. [Google Scholar] [CrossRef] [PubMed]
- Humeres, E.; de Souza, E.P.; Debacher, N.A.; Aliev, A.E. Synthesis and coordinating ability of chitosan dithiocarbamate and analogs towards Cu(II) ions. J. Phys. Org. Chem. 2002, 15, 852–857. [Google Scholar] [CrossRef]
- Kannamba, B.; Reddy, K.L.; AppaRao, B.V. Removal of Cu(II) from aqueous solutions using chemically modified chitosan. J. Hazard. Mater. 2010, 175, 939–948. [Google Scholar] [CrossRef] [PubMed]
- Baba, Y.; Noma, H.; Nakayama, R.; Matsushita, Y. Preparation of chitosan derivatives containing methylthiocarbamoyl and phenylthiocarbamoyl groups and their selective adsorption of copper (II) and iron(III). Anal. Sci. 2002, 18, 359–361. [Google Scholar] [CrossRef] [PubMed]
- Metwally, E.; Elkholy, S.S.; Salem, H.A.M.; Elsabee, M.Z. Sorption behavior of 60Co and 152+154Eu radionuclides onto chitosan derivatives. Carbohydr. Polym. 2009, 76, 622–631. [Google Scholar] [CrossRef]
- Emara, A.A.A.; Tawab, M.A.; El-ghamry, M.A.; Elsabee, M.Z. Metal uptake by chitosan derivatives and structure studies of the polymer metal complexes. Carbohydr. Polym. 2011, 83, 192–202. [Google Scholar] [CrossRef]
- Bratskaya, S.Y.; Ustinov, A.Y.; Azarova, Y.A.; Pestov, A.V. Thiocarbamoyl chitosan: Synthesis, characterization and sorption of Au(III), Pt(IV), and Pd(II). Carbohydr. Polym. 2011, 85, 854–861. [Google Scholar] [CrossRef]
- Pestov, A.V.; Koryakova, O.V.; Leonidov, I.I.; Yatluk, Y.G. Gel-synthesis, structure, and properties of sulfur-containing chitosan derivatives. Russ. J. Appl. Chem. 2010, 83, 787–794. [Google Scholar] [CrossRef]
- Carreon, J.; Saucedo, I.; Navarro, R.; Maldonado, M.; Guerra, R.; Guibal, E. Mercury recovery from aqueous solutions by polymer-enhanced ultrafiltration using a sulfate derivative of chitosan. Membr. Water Treat. 2010, 1, 231–251. [Google Scholar] [CrossRef]
- Petrova, Y.S.; Neudachina, L.K.; Mekhaev, A.V.; Pestov, A.V. Simple synthesis and chelation capacity of N-(2-sulfoethyl)chitosan, a taurine derivative. Carbohydr. Polym. 2014, 112, 462–468. [Google Scholar] [CrossRef] [PubMed]
- Guibal, E.; Vincent, T.; Mendoza, R.N. Synthesis and characterization of a thiourea derivative of chitosan for platinum recovery. J. Appl. Polym. Sci. 2000, 75, 119–134. [Google Scholar] [CrossRef]
- Donia, A.M.; Atia, A.A.; Elwakeel, K.Z. Recovery of gold(III) and silver(I) on a chemically modified chitosan with magnetic properties. Hydrometallurgy 2007, 87, 197–206. [Google Scholar] [CrossRef]
- Jayakumar, R.; Selvamurugan, N.; Nair, S.V.; Tokura, S.; Tamura, H. Preparative methods of phosphorylated chitin and chitosan—An overview. Int. J. Biol. Macromol. 2008, 43, 221–225. [Google Scholar] [CrossRef] [PubMed]
- Nishi, N.; Maekita, Y.; Nishimura, S.; Hasegawa, O.; Tokura, S. Highly phosphorylated derivatives of chitin, partially deacetylated chitin and chitosan as new functional polymers: Metal binding property of the insolubilized materials. Int. J. Biol. Macromol. 1987, 9, 109–114. [Google Scholar] [CrossRef]
- Choi, K.S.; Ahn, H.S. A study of synthesis of crosslinked chitosan phosphate and adsorption characteristics of metallic ions. Polymer 1990, 14, 516–526. [Google Scholar]
- Ramos, V.; Rodrı́guez, N.; Dı́az, M.; Rodrı́guez, M.; Heras, A.; Agulló, E. N-methylene phosphonic chitosan. Effect of preparation methods on its properties. Carbohydr. Polym. 2003, 52, 39–46. [Google Scholar] [CrossRef]
- Baba, Y.; Aoya, Y.; Ohe, K.; Nakamura, S.; Ohshima, T. Adsorptive Removal of Copper(II) on N-Methylene Phosphonic Chitosan Derivative. J. Chem. Eng. Jpn. 2005, 38, 887–893. [Google Scholar] [CrossRef]
- Inoue, K.; Yoshizuka, K.; Ohto, K. Adsorptive separation of some metal ions by complexing agent types of chemically modified chitosan. Anal. Chim. Acta 1999, 388, 209–218. [Google Scholar] [CrossRef]
- Wasikiewicz, J.M.; Nagasawa, N.; Tamada, M.; Mitomo, H.; Yoshii, F. Adsorption of metal ions by carboxymethylchitin and carboxymethylchitosan hydrogels. Nucl. Instrum. Methods Phys. Res. Sect. B Beam Interact. Mater. Atoms 2005, 236, 617–623. [Google Scholar] [CrossRef]
- Sun, S.; Wang, A. Adsorption properties of carboxymethyl-chitosan and cross-linked carboxymethyl-chitosan resin with Cu(II) as template. Sep. Purif. Technol. 2006, 49, 197–204. [Google Scholar] [CrossRef]
- Chen, A.H.; Yang, C.Y.; Chen, C.Y.; Chen, C.Y.; Chen, C.W. The chemically crosslinked metal-complexed chitosans for comparative adsorptions of Cu(II), Zn(II), Ni(II) and Pb(II) ions in aqueous medium. J. Hazard. Mater. 2009, 163, 1068–1075. [Google Scholar] [CrossRef] [PubMed]
- Wang, H.; Sun, W.; Xia, C. An easily recoverable and efficient catalyst for heterogeneous cyclopropanation of olefins. J. Mol. Catal. A Chem. 2003, 206, 199–203. [Google Scholar] [CrossRef]
- Nesterov, D.V.; Molochnikov, L.S.; Pestov, A.V. Sorption of boron (III) ions by N,O-(2,3-dihydroxy) propylchitosan. Russ. Chem. Bull. 2014, 63, 1511–1514. [Google Scholar] [CrossRef]
- Kawamura, Y.; Mitsuhashi, M.; Tanibe, H.; Yoshida, H. Adsorption of Metal Ions on Polyaminated Highly Porous Chitosan Chelating Resin. Ind. Eng. Chem. Res. 1993, 32, 386–391. [Google Scholar] [CrossRef]
- Zhou, L.; Liu, Z.; Liu, J.; Huang, Q. Adsorption of Hg(II) from aqueous solution by ethylenediamine-modified magnetic crosslinking chitosan microspheres. Desalination 2010, 258, 41–47. [Google Scholar] [CrossRef]
- Rodrigues, C.A.; Laranjeira, M.C.M.; Favere, V.T.; Stadler, E. Interaction of Cu (II) on N-(2-pyridylmethyl) and N-(4-pyridylmethyl) chitosan. Polymer 1998, 39, 5121–5126. [Google Scholar] [CrossRef]
- Katarina, R.K.; Takayanagi, T.; Oshima, M.; Motomizu, S. Synthesis of a chitosan-based chelating resin and its application to the selective concentration and ultratrace determination of silver in environmental water samples. Anal. Chim. Acta 2006, 558, 246–253. [Google Scholar] [CrossRef]
- Bekheit, M.M.; Nawar, N.; Addison, A.W.; Abdel-Latif, D.A.; Monier, M. Preparation and characterization of chitosan-grafted-poly(2-amino-4,5-pentamethylene-thiophene-3-carboxylic acid N-acryloyl-hydrazide) chelating resin for removal of Cu(II), Co(II) and Ni(II) metal ions from aqueous solutions. Int. J. Biol. Macromol. 2011, 48, 558–565. [Google Scholar] [CrossRef] [PubMed]
- Yang, Z.; Wang, Y.; Tang, Y. Preparation and Adsorption Properties of Metal Ions of Crosslinked Chitosan Azacrown Ethers. J. Appl. Polym. Sci. 1999, 74, 3053–3058. [Google Scholar] [CrossRef]
- Ding, S.; Zhang, X.; Feng, X.; Wang, Y.; Ma, S.; Peng, Q.; Zhang, W. Synthesis of N,N′-diallyldibenzo 18-crown-6 crown ether crosslinked chitosan and their adsorption properties for metal ions. React. Funct. Polym. 2006, 66, 357–363. [Google Scholar] [CrossRef]
- Yang, Z.; Yang, Y. Synthesis, Characterization, and Adsorption Properties of Chitosan Azacrown Ethers Bearing Hydroxyl Group. J. Appl. Polym. Sci. 2001, 81, 1793–1798. [Google Scholar] [CrossRef]
- Yang, Z.; Cheng, S. Synthesis and Characterization of Macrocyclic Polyamine Derivative of Chitosan. J. Appl. Polym. Sci. 2003, 89, 924–929. [Google Scholar] [CrossRef]
- Fujiwara, K.; Ramesh, A.; Maki, T.; Hasegawa, H.; Ueda, K. Adsorption of platinum(IV), palladium(II) and gold(III) from aqueous solutions onto l-lysine modified crosslinked chitosan resin. J. Hazard. Mater. 2007, 146, 39–50. [Google Scholar] [CrossRef] [PubMed]
- Ramesh, A.; Hasegawa, H.; Sugimoto, W.; Maki, T.; Ueda, K. Adsorption of gold(III), platinum(IV) and palladium(II) onto glycine modified crosslinked chitosan resin. Bioresour. Technol. 2008, 99, 3801–3809. [Google Scholar] [CrossRef] [PubMed]
- Baba, Y.; Masaaki, K.; Kawano, Y. Selective Adsorption of Copper(II) over Iron(III) on Chitosan Derivative Introducing Pyridyl Group. Chem. Lett. 1994, 23, 2389–2392. [Google Scholar] [CrossRef]
- Anderegg, G. Pyridine derivatives as complexing agents. IX. Stability constants of complexes with 2-aminomethylpyridine, 6-methyl-2-aminomethylpyridine, 2-pyridylhydrazine, 2,2′-dipyridylamine, and 1-(α-pyridylmethylene)-2-(α′-pyridyl)hydrazine. Helv. Chim. Acta 1971, 54, 509–512. [Google Scholar] [CrossRef]
- Gavilan, K.C.; Pestov, A.V.; Garcia, H.M.; Yatluk, Y.; Roussy, J.; Guibal, E. Mercury sorption on a thiocarbamoyl derivative of chitosan. J. Hazard. Mater. 2009, 165, 415–426. [Google Scholar] [CrossRef] [PubMed]
- Butewicz, A.; Gavilan, K.C.; Pestov, A.V.; Yatluk, Y.; Trochimczuk, A.W.; Guibal, E. Palladium and Platinum Sorption on a Thiocarbamoyl- Derivative of Chitosan. J. Appl. Polym. Sci. 2010, 116, 3318–3330. [Google Scholar] [CrossRef]
- Wang, L.; Xing, R.; Liu, S.; Yu, H.; Qin, Y.; Li, K.; Feng, J.; Li, R.; Li, P. Recovery of silver(I) using a thiourea-modified chitosan resin. J. Hazard. Mater. 2010, 180, 577–582. [Google Scholar] [CrossRef] [PubMed]
- Wang, L.; Xing, R.; Liu, S.; Qin, Y.; Li, K.; Yu, H.; Li, R.; Li, P. Studies on adsorption behavior of Pb(II) onto a thiourea-modified chitosan resin with Pb(II) as template. Carbohydr. Polym. 2010, 81, 305–310. [Google Scholar] [CrossRef]
- Petrova, Y.S.; Pestov, A.V.; Usoltseva, M.K.; Neudachina, L.K. Selective adsorption of silver (I) ions over copper (II) ions on a sulfoethyl derivative of chitosan. J. Hazard. Mater. 2015, 299, 696–701. [Google Scholar] [CrossRef] [PubMed]
- Tabakci, M.; Yilmaz, M. Synthesis of a chitosan-linked calix[4]arene chelating polymer and its sorption ability toward heavy metals and dichromate anions. Bioresour. Technol. 2008, 99, 6642–6645. [Google Scholar] [CrossRef] [PubMed]
- Hakim, L.; Sabarudin, A.; Oshita, K.; Oshima, M.; Motomizu, S. Synthesis of chitosan-based resins modified with tris(2-aminoethyl)amine moiety and its application to collection/concentration and determination of trace mercury by inductively coupled plasma atomic emission spectrometry. Talanta 2008, 76, 1256–1260. [Google Scholar] [CrossRef] [PubMed]
- Justi, K.C.; Fávere, V.T.; Laranjeira, M.C.M.; Neves, A.; Peralta, R.A. Kinetics and equilibrium adsorption of Cu(II), Cd(II), and Ni(II) ions by chitosan functionalized with 2[-bis-(pyridylmethyl)aminomethyl]-4-methyl-6-formylphenol. J. Colloid Interface Sci. 2005, 291, 369–374. [Google Scholar] [CrossRef] [PubMed]
- Yang, Z.; Yuan, Y.; Wang, Y. Synthesis and Evaluation of Chitosan Aryl Azacrown Ethers as Adsorbents for Metal Ions. J. Appl. Polym. Sci. 2000, 77, 3093–3098. [Google Scholar] [CrossRef]
- Yang, Z.; Li, J. Preparation and characterization of dihydroxyl mesocyclic diamine derivative of chitosan. J. Appl. Polym. Sci. 2002, 86, 2677–2681. [Google Scholar] [CrossRef]
- Zhang, X.; Ding, S.; Wang, Y.; Feng, X.; Peng, Q.; Ma, S. Synthesis and adsorption properties of metal ions of novel azacrown ether crosslinked chitosan. J. Appl. Polym. Sci. 2006, 100, 2705–2709. [Google Scholar] [CrossRef]
- Guibal, E.; von Offenberg Sweeney, N.; Zikan, M.C.; Vincent, T.; Tobin, J.M. Competitive sorption of platinum and palladium on chitosan derivatives. Int. J. Biol. Macromol. 2001, 28, 401–408. [Google Scholar] [CrossRef]
- Schlick, S. Binding Sites of Cu2+ in Chitin and Chitosan. An Electron Spin Resonance Study. Macromolecules 1986, 19, 192–195. [Google Scholar] [CrossRef]
- Hernández, R.B.; Franco, A.P.; Yola, O.R.; López-Delgado, A.; Felcman, J.; Recio, M.A.L.; Mercê, A.L.R. Coordination study of chitosan and Fe3+. J. Mol. Struct. 2008, 877, 89–99. [Google Scholar] [CrossRef]
- Oyrton, A.C.; Monteiro, C.A., Jr. Some Thermodynamic Data on Copper—Chitin and Copper—Chitosan Biopolymer Interactions. J. Colloid Interface Sci. 1999, 219, 212–219. [Google Scholar]
- Domard, A. pH and CD measurements on a fully deacetylated chitosan: Application to Cu(II)—Polymer interactions. Int. J. Biol. Macromol. 1987, 9, 98–104. [Google Scholar] [CrossRef]
- Rhazi, M.; Desbrières, J.; Tolaimate, A.; Rinaudo, M.; Vottero, P.; Alagui, A. Contribution to the study of the complexation of copper by chitosan and oligomers. Polymer 2001, 43, 1267–1276. [Google Scholar] [CrossRef]
- Micera, G.; Decock, P.; Dubois, B.; Kozzowski, H. Copper(II) complexation by d-glucosamine. Spectroscopic and potentiometric studies. Inorg. Chim. Acta 1985, 107, 45–48. [Google Scholar] [CrossRef]
- Ferreira, M.L.; Gschaider, M.E. Theoretical and experimental study of Pb2+ and Hg2+ adsorption on biopolymers, 1 Theoretical study. Macromol. Biosci. 2001, 1, 233–248. [Google Scholar] [CrossRef]
- Lü, R.; Cao, Z.; Shen, G. Comparative study on interaction between copper(II) and chitin/chitosan by density functional calculation. J. Mol. Struct. Theochem. 2008, 860, 80–85. [Google Scholar] [CrossRef]
- Terreux, R.; Domard, M.; Viton, C.; Domard, A. Interactions study between the copper(II) ion and constitutive elements of chitosan structure by DFT calculation. Biomacromolecules 2006, 7, 31–37. [Google Scholar] [CrossRef] [PubMed]
- Braier, N.C.; Jishi, R.A. Density functional studies of Cu2+ and Ni2+ binding to chitosan. J. Mol. Struct. Theochem. 2000, 499, 51–55. [Google Scholar] [CrossRef]
- Bodek, K.H.; Kufelnicki, A. Interaction of microcrystalline chitosan with Ni(II) and Mn(II) ions in aqueous solution. J. Appl. Polym. Sci. 2005, 98, 2572–2577. [Google Scholar] [CrossRef]
- Bodek, K.H.; Kufelnicki, A. Protolytic and complexing properties of microcrystalline chitosan with Co(II), Zn(II), and Cu(II) ions. J. Appl. Polym. Sci. 1995, 57, 645–651. [Google Scholar] [CrossRef]
- Portnyagin, A.S.; Bratskaya, S.Y.; Pestov, A.V.; Voit, A.V. Binding Ni(II) Ions to Chitosan and Its N-heterocyclic derivatives: Density Functional Theory Investigation. Comput. Theor. Chem. 2015, 1069, 4–10. [Google Scholar] [CrossRef]
- Anan, N.A.; Hassan, S.M.; Saad, E.M.; Butler, I.S.; Mostafa, S.I. Preparation, characterization and pH-metric measurements of 4-hydroxysalicylidenechitosan Schiff-base complexes of Fe(III), Co(II), Ni(II), Cu(II), Zn(II), Ru(III), Rh(III), Pd(II) and Au(III). Carbohydr. Res. 2011, 346, 775–793. [Google Scholar] [CrossRef] [PubMed]
- Mladenova, E.; Karadjova, I.; Tsalev, D.L. Solid-phase extraction in the determination of gold, palladium, and platinum. J. Sep. Sci. 2012, 35, 1249–1265. [Google Scholar] [CrossRef] [PubMed]
- Sorlier, P.; Viton, C.; Domard, A. Relation between Solution Properties and Degree of Acetylation of Chitosan: Role of Aging. Biomacromolecules 2002, 3, 1336–1342. [Google Scholar] [CrossRef] [PubMed]
- Guzman, J.; Saucedo, I.; Revilla, J.; Navarro, R.; Guibal, E. Copper sorption by chitosan in the presence of citrate ions: Influence of metal speciation on sorption mechanism and uptake capacities. Int. J. Biol. Macromol. 2003, 33, 57–65. [Google Scholar] [CrossRef]
- Guzmán, J.; Saucedo, I.; Navarro, R.; Revilla, J.; Guibal, E. Vanadium interactions with chitosan: Influence of polymer protonation and metal speciation. Langmuir 2002, 18, 1567–1573. [Google Scholar] [CrossRef]
- Ruiz, M.; Sastre, A.; Guibal, E. Pd and Pt recovery using chitosan gel beads. II. Influence of chemical modifications on sorption properties. Sep. Sci. Technol. 2002, 37, 2385–2403. [Google Scholar] [CrossRef]
- Zhou, L.; Xu, J.; Liang, X.; Liu, Z. Adsorption of platinum(IV) and palladium(II) from aqueous solution by magnetic cross-linking chitosan nanoparticles modified with ethylenediamine. J. Hazard. Mater. 2010, 182, 518–524. [Google Scholar] [CrossRef] [PubMed]
- Azarova, Y.A.; Pestov, A.V.; Ustinov, A.Y.; Bratskaya, S.Y. Application of chitosan and its N-heterocyclic derivatives for preconcentration of noble metal ions and their determination using atomic absorption spectrometry. Carbohydr. Polym. 2015, 134, 680–686. [Google Scholar] [CrossRef] [PubMed]
- Pestov, A.; Nazirov, A.; Modin, E.; Mironenko, A.; Bratskaya, S. Mechanism of Au(III) reduction by chitosan: Comprehensive study with 13C- and 1H-NMR analysis of chitosan degradation products. Carbohydr. Polym. 2015, 117, 70–77. [Google Scholar] [CrossRef] [PubMed]
- Sun, C.; Qu, R.; Wang, Q.; Ji, C.; Wang, C.; Xu, Q.; Fang, X.; Cheng, G. Synthesis and Characterization of Polystyrene-Supported Glucosamine Resin and Its Adsorption Behavior for Au(III). 2006, 100, 4581–4586. [Google Scholar]
- Gurung, M.; Adhikari, B.B.; Gao, X.; Alam, S.; Inoue, K. Sustainability in the Metallurgical Industry: Chemically Modified Cellulose for Selective Biosorption of Gold from Mixtures of Base Metals in Chloride Media. Ind. Eng. Chem. Res. 2014, 53, 8565–8576. [Google Scholar] [CrossRef]
- Parajuli, D.; Kawakita, H.; Inoue, K.; Funaoka, M. Recovery of gold(III), palladium(II), and platinum(IV) by aminated lignin derivatives. Ind. Eng. Chem. Res. 2006, 45, 6405–6412. [Google Scholar] [CrossRef]
- Park, S.-I.; Kwak, I.S.; Won, S.W.; Yun, Y.-S. Glutaraldehyde-crosslinked chitosan beads for sorptive separation of Au(III) and Pd(II): Opening a way to design reduction-coupled selectivity-tunable sorbents for separation of precious metals. J. Hazard. Mater. 2013, 248–249, 211–218. [Google Scholar] [CrossRef] [PubMed]
- Afonin, M.V.; Simanova, S.A.; Burmistrova, N.M.; Panina, N.S.; Karpov, Y.A.; Dal’nova, O.A. Sorption recovery of platinum(II) and platinum(IV) chloro complexes with a heterochain sulfur-containing sorbent. Russ. J. Appl. Chem. 2008, 81, 1933–1938. [Google Scholar] [CrossRef]














| Crosslinking Reagent | MW, kDа | Degree of Acetylation | Sorption | Ref. | ||
|---|---|---|---|---|---|---|
| Ion | pH | Capacity, mmol/g | ||||
| – | n.d. | 0.47 | Cu(II) | 6 | 0.81 | [18] |
| – | hight | 0.15 | 4.2 | 2.67 | [19] | |
| – | n.d. | 0.40 | 6 | 1.26 | [20] | |
| – | 500 | 0.44 | 6 | 1.27 | [17] | |
| Glutaraldehyde | 500 | 0.44 | 6 | 0.94 | [17] | |
| Epichlorohydrin | 500 | 0.44 | 6 | 0.98 | [17] | |
| Ethylene glycol diglycidyl ether | 500 | 0.44 | 6 | 0.72 | [17] | |
| Epichlorohydrin | hight | n.d. | 3–5 | 1.259 | [21] | |
| Epichlorohydrin | n.d. | 0.1 | 5 | 0.71 | [22] | |
| Epichlorohydrin | n.d. | 0.25 | 6 | 0.56 | [23] | |
| Hexamethylene diisocyanate | n.d. | 0.12 | 7 | 2.96 | [24] | |
| Epichlorohydrin | n.d. | 0.1 | Ni(II) | 5 | 0.595 | [22] |
| Glutaraldehyde | 410 | 0.13 | 3.5–5.5 | 1.3 | [25] | |
| Formaldehyde | 750 | 0.45 | Ag(I) | 7.6 | 0.31 | [26] |
| Epichlorohydrin | hight | n.d. | Cr(VI) | 5 | 1.5 | [21] |
| Ethylene glycol diglycidyl ether | n.d. | 0.15 | Pb(II) | 4 | 0.46 | [27] |
| – | n.d. | 0.14 | 7 | 0.18 | [28] | |
| – | n.d. | 0.40 | 6 | 0,283 | [20] | |
| Epichlorohydrin | n.d. | 0.25 | 7 | 0.16 | [23] | |
| – | n.d. | 0.14 | Hg(II) | 8 | 0.0342 | [28] |
| – | n.d. | 0.40 | 4 | 0.546 | [20] | |
| Epichlorohydrin | n.d. | 0.1 | Cd(II) | 5 | 0.332 | [22] |
| Formaldehyde | 750 | 0.45 | 7.4 | 3.74 | [26] | |
| Epichlorohydrin | n.d. | 0.1 | Co(II) | 5 | 0.172 | [22] |
| – | n.d. | 0.40 | Zn(II) | 6 | 0.72 | [20] |
| Glutaraldehyde | 410 | 0.13 | 3.5–5.5 | 1.5 | [25] | |
| Epichlorohydrin | n.d. | 0.25 | 7 | 0.15 | [23] | |
| Glutaraldehyde | 125 | 0.13 | Pd(II) | 0.01 М HCl | 1.53 | [29] |
| Glutaraldehyde | 125 | 0.13 | 2 | 2.44 | [30] | |
| Glutaraldehyde | 125 | 0.13 | Au(III) | 1.6 | 2.9 | [31] |
| Glutaraldehyde | 125 | 0.13 | Pt(IV) | 2 | 1.58 | [32] |
| Chitosan Derivative | MW, kDа | Degree of Acetylation | Degree of Modification | Sorption | Ref. | ||
|---|---|---|---|---|---|---|---|
| Ion | pH | Capacity, mmol/g | |||||
| 1O | 600 | 0.1 | 0.96 | Cu(II) | 5 | 2.56 | [39] |
| 1O | 300 | 0.1 | n.d. | 5 | 2.05 | [40] | |
| 8O | n.d. | 0.1 | 0.42 | 5 | 2.13 | [22] | |
| 12O | n.d. | 0.12 | n.d. | 7 | 2.67 | [24] | |
| 13O | n.d. | 0.49 | 0.51 | 7 | 0.93 | [18] | |
| 7O-Pb(II) templated | 600 | 0.1 | 0.6 | 5.8 | 2.23 | [53] | |
| 6O | 318 | 0.26 | 157% | 5.5 | 2.30 | [51] | |
| 50O | n.d. | n.d. | 0.25 | 6.5 | 1.7 | [57] | |
| 14O | n.d. | 0.25 | 0.22 | 7 | 0.9 | [59] | |
| 3O | 250 | 0.18 | 0.91 | 7 | 1.37 | [47] | |
| 1O | 30.6 | 0.16 | 0.91 | 5.5 | 2.71 | [54] | |
| 2O | 29.3 | 0.69 | 0.83 | 5.5 | 2.54 | [54] | |
| 14O | n.d. | 0.25 | 0.22 | Ni(II) | 7 | 0.29 | [59] |
| 8O | n.d. | n.d. | 1.0 | 2 | 2.1 | [107] | |
| 9O | n.d. | n.d. | 0.22 | 2 | 2.0 | [107] | |
| 8O | n.d. | 0.1 | 0.42 | 5 | 1.34 | [22] | |
| 8O | 282.5 | 0.15 | 1.4 mmol/g | 2.1 | 1.21 | [49] | |
| 9O | 282.5 | 0.15 | 0.96 mmol/g | 2.1 | 0.90 | [49] | |
| 7O-Pb(II) templated | 600 | 0.1 | 0.6 | 5.8 | 2.08 | [53] | |
| 51O | n.d. | 0.2 | 0.23 | 5 | 0.6 | [58] | |
| 8O | n.d. | 0.1 | 0.42 | Co(II) | 5 | 1.28 | [22] |
| 8O | 282.5 | 0.15 | 1.4 mmol/g | 2.1 | 1.07 | [49] | |
| 9O | 282.5 | 0.15 | 0.96 mmol/g | 2.1 | 0.83 | [49] | |
| 7O-Pb(II) templated | 600 | 0.1 | 0.6 | 5.8 | 2.20 | [53] | |
| 7O-Pb(II) templated | 600 | 0.1 | 0.6 | Zn(II) | 5.8 | 1.8 | [53] |
| 1O-Zn(II) templated | 600 | 0.1 | 0.96 | 5.99 | 1.98 | [52] | |
| 4O | 490 | 0.05 | n.d. | 6 | 0.41 | [48] | |
| 5O | 490 | 0.05 | n.d. | 6 | 0.58 | [48] | |
| 14O | n.d. | 0.25 | 0.22 | 7 | 0.70 | [59] | |
| 1O | 545 | 0.1 | 1.78 | Sr(II) | 4 | 1.13 | [42] |
| 8O | n.d. | 0.1 | 0.42 | Pb(II) | 5 | 1.28 | [22] |
| 10O | n.d. | 0.15 | n.d. | 4 | 1.42 | [27] | |
| 7O-Pb(II) templated | 600 | 0.1 | 0.6 | 5.8 | 1.68 | [53] | |
| 8O | n.d. | 0.1 | 0.42 | Cd(II) | 5 | 1.29 | [22] |
| 7O-Pb(II) templated | 600 | 0.1 | 0.6 | 5.8 | 2.1 | [53] | |
| 14O | n.d. | 0.25 | 0.22 | Cd(II) | 7 | 0.68 | [59] |
| 7O-Pb(II) templated | 600 | 0.1 | 0.6 | Hg(II) | 5.8 | 1.75 | [53] |
| 1O | 60 | 0.16 | 0.91 | Pd(II) | 4 | 0.0096 | [44] |
| 2O | 250 | 0.75 | 0.81 | 4 | 0.0025 | [44] | |
| 51O | n.d. | 0.2 | 0.23 | 2 | 0.74 | [58] | |
| 1O | 600 | 0.16 | 0.91 | Pt(IV) | 4 | 0.0059 | [44] |
| 2O | 250 | 0.75 | 0.81 | 4 | 0.013 | [44] | |
| 1O | 42 | 0.16 | 0.91 | Au(I) | 4 | 0.19 | [108] |
| 2O | 250 | 0.75 | 0.81 | 4 | 0.06 | [108] | |
| 1O | 500 | 0.13 | n.d. | Au(III) | 6 | 0.17 | [45] |
| 51O | n.d. | 0.2 | 0.23 | Ag(I) | 5.3 | 0.81 | [58] |
| 11O-Th(IV) templated | n.d. | n.d. | n.d. | Th(IV) | 3 | 0.264 × 10−3 | [50] |
| 50O | n.d. | n.d. | 0.25 | B(III) | 6.5 | 2.1 | [57] |
| 15O | n.d. | 0 | 0.64 | 11 | 0.4 | [56] | |
| 15O | n.d. | 0 | 0.64 | Ge(IV) | 4 | 1.4 | [56] |
| 15O | n.d. | 0 | 0.64 | Te(IV) | 10 | 0.4 | [56] |
| Chitosan Derivative | MW, kDа | Degree of Acetylation | Degree of Modification (Ntot, mmol/g) | Sorption | Ref. | ||
|---|---|---|---|---|---|---|---|
| Ion | pH | Capacity, mmol/g | |||||
| 26N | n.d. | 0.24 | 0.85 | Cu(II) | 7.6 | 1.63 | [115] |
| 27N | n.d. | 0.24 | 0.85 | 7.6 | 0.71 | [115] | |
| 28N | 250 | 0.18 | 0.83 | 5.3 | 1.50 | [78] | |
| 29N | 250 | 0.18 | 0.80 | 5.3 | 0.63 | [79] | |
| 54N | n.d. | 0.20 | 1.2 | 5 | 0.70 | [116] | |
| 24N | 131 | 0.04 | 0.6 | 7 | 0.53 | [65] | |
| 25N | 131 | 0.04 | 0.3 | 7 | 0.98 | [65] | |
| 17N | n.d. | 0.05 | 0.19 (6.60) | 4.5 | 0.36 | [62] | |
| 66N | 179 | 0.15 | 173% grafting | 6 | 2.3 | [117] | |
| 30N | 250 | 0.18 | 0.23 | 5.6 | 1.07 | [82] | |
| 60N | n.d. | 0.15 | 0.75 (5.95) | 5.5 | 0.45 | [118] | |
| 21N | n.d. | 0.17 | n.d. | Ni(II) | 6 | 1.00 | [68] |
| 25N | 131 | 0.04 | 0.3 | 7 | 0.58 | [65] | |
| 30N | 250 | 0.18 | 0.23 | 5.6 | 1.12 | [82] | |
| 66N | 179 | 0.15 | 173% grafting | 6 | 0.94 | [117] | |
| 30N | 2500 | 0.18 | 0.23 | Co(II) | 5.6 | 0.84 | [82] |
| 25N | 131 | 0.04 | 0.3 | 7 | 2.03 | [65] | |
| 54N | n.d. | 0.20 | 1.2 | Ag(I) | 5 | 1.37 | [116] |
| 28N | 250 | 0.18 | 0.83 | 5.3 | 1.53 | [78] | |
| 29N | 250 | 0.18 | 0.80 | 5.3 | 0.47 | [79] | |
| 65N | n.d. | 0.05 | n.d. | 4 | 0.79 | [119] | |
| 30N | 250 | 0.18 | 0.23 | 5.6 | 1.9 | [82] | |
| 61N | n.d. | 0.15 | (6.33) | 5.5 | 0.47 | [120] | |
| 62N | n.d. | 0.08 | (10.62) | 5.7 | 0.52 | [121] | |
| 56N | 50 | 0.20 | n.d. | Hg(II) | 7 | 2.09 | [113] |
| 54N | 130 | 0.10 | (4.56) | 6 | 2.69 | [114] | |
| 17N | n.d. | 0.05 | 0.19 (6.60) | 4.5 | 2.17 | [62] | |
| 19N | n.d. | 0.15 | (4.01) | 7 | 2.47 | [69] | |
| 18N | n.d. | n.d. | n.d. | 5 | 2.62 | [70] | |
| 25N | 131 | 0.04 | 0.3 | 7 | 2.82 | [65] | |
| 63N | 125 | 0.13 | n.d. | Pd(II) | 2 | 3.9 | [87] |
| 58N | n.d. | n.d. | (4.58) | 2 | 1.03 | [122] | |
| 26N | n.d. | 0.05 | 0.9 | 0.01 M HCl | 5.8 | [75] | |
| 28N | 250 | 0.18 | 1.0 | 0.1 M HCl | 3.67 | [78] | |
| 28N | 250 | 0.18 | 0.83 | 0.1 M HCl | 3.50 | [80] | |
| 29N | 250 | 0.18 | 0.80 | 0.1 M HCl | 2.68 | [79] | |
| 65N | n.d. | 0.05 | n.d. | 4 | 2.04 | [119] | |
| 30N | 250 | 0.18 | 0.23 | 0.1 M HCl | 2.35 | [82] | |
| 57N | n.d. | n.d. | n.d. | 2 | 1.13 | [123] | |
| 63N | 125 | 0.13 | n.d. | Pt(IV) | 2 | 2.0 | [87] |
| 58N | n.d. | n.d. | (4.58) | 1 | 0.66 | [122] | |
| 28N | 250 | 0.18 | 1.0 | 0.1 M HCl | 2.75 | [78] | |
| 28N | 250 | 0.16 | 0.83 | Pt(IV) | 0.1M HCl | 2.6 | [80] |
| 29N | 250 | 0.18 | 0.80 | 0.1 M HCl | 1.61 | [79] | |
| 57N | n.d. | n.d. | n.d. | 2 | 0.63 | [123] | |
| 30N | 250 | 0.18 | 0.23 | 0.1 M HCl | 1.9 | [82] | |
| 28N | 250 | 0.18 | 1.0 | Au(III) | 0.1 M HCl | 5.56 | [78] |
| 57N | n.d. | n.d. | n.d. | 2 | 0.86 | [123] | |
| 58N | n.d. | n.d. | (4.58) | 2 | 0.357 | [122] | |
| 30N | 250 | 0.18 | 0.23 | 0.1 M HCl | 2.4 | [82] | |
| 16N | 371 | 0.05 | 0.6 (2.13) | Cr(VI) | 6 | 0.61 | [61] |
| 21N | n.d. | 0.17 | n.d. | Zn(II) | 6 | 0.9 | [68] |
| 21N | n.d. | 0.17 | n.d. | Cd(II) | 6 | 0.9 | [68] |
| 22N | 1000 | 0.20 | 0.5 | As(V) | 3 | 1.09 | [63] |
| 22N | 1000 | 0.20 | 0.5 | Se(IV) | 3 | 0.81 | [63] |
| 22N | 1000 | 0.20 | 0.5 | Se(VI) | 3 | 1.11 | [63] |
| 23N | n.d. | n.d. | n.d. | Mo(VI) | 3-4 | 3.96 | [66] |
| Chitosan Derivative | MW, kDа | Degree of Acetylation | S Content, mmol/g (Degree of Modification) | Sorption | Ref. | ||
|---|---|---|---|---|---|---|---|
| Ion | pH | Capacity, mmol/g | |||||
| 67S | 125 | 0.13 | 0.53 (0.12) | Pd(II) | 2 | 2.54 | [30] |
| 68S | 125 | 0.13 | 0.81 (0.10) | 2 | 3.24 | [30] | |
| 32S | 125 | 0.13 | 2.54 (0.54) | 2 | 2.5 | [87] | |
| 39S | 250 | 0.18 | 0.93 (0.31) | 2 | 1.24 | [97] | |
| 32S | 130 | 0.10 | 3.26 | 2 | 1.04 | [89] | |
| 40S | n.d. | 0 | (0.90) | 2 | <0.3 | [93] | |
| 36S | n.d. | 0.05 | (0.90) | 2 | 5.8 | [75] | |
| 33S | n.d. | 0.05 | (0.90) | 2 | 4.8 | [75] | |
| 39S | 250 | 0.16 | 2.65 (0.63) | 0.25 M HCl | 2.91 | [127] | |
| 39S | 250 | 0.18 | 3.50 (0.90) | 2 | 3.43 | [96] | |
| 44S | 250 | 0.18 | 1.37 (0.15) | 2 | 2.47 | [97] | |
| 67S | 125 | 0.13 | 0.84 (0.18) | Pt(IV) | 2 | 1.77 | [100] |
| 32S | 125 | 0.13 | 2.54 (0.54) | 2 | 2.0 | [87] | |
| 39S | 250 | 0.18 | 0.93 (0.31) | 2 | 0.49 | [97] | |
| 39S | 250 | 0.18 | 3.50 (0.90) | 2 | 1.24 | [96] | |
| 39S | 250 | 0.16 | 2.65 (0.63) | 0.25 M HCl | 1.41 | [127] | |
| 32S | 130 | 0.10 | 3.26 | 2 | 0.66 | [89] | |
| 36S | n.d. | 0.05 | (0.90) | 2 | <0.3 | [75] | |
| 33S | n.d. | 0.05 | (0.90) | 2 | <0.2 | [75] | |
| 44S | 250 | 0.18 | 1.37 (0.15) | 2 | 1.12 | [97] | |
| 68S | 125 | 0.13 | 0.81 (0.10) | Au(III) | 2 | 3.12 | [31] |
| 70S | 125 | 0.13 | n.d. | 2 | 3.09 | [31] | |
| 39S | 250 | 0.18 | 3.50 (0.90) | 2 | 3.81 | [96] | |
| 67S magnetic | n.d. | n.d. | n.d. | 0.5–2 | 3.6 | [101] | |
| 40S | n.d. | 0 | (0.90) | Au(III) | 2 | <0.3 | [93] |
| 36S | n.d. | 0.05 | (0.90) | 2 | <0.3 | [75] | |
| 33S | n.d. | 0.05 | (0.90) | 2 | <0.2 | [75] | |
| 32S-Ag(I) templated magnetic | 636 | 0.04 | n.d. | Ag(I) | 5 | 4.93 | [88] |
| 40S | n.d. | 0 | (0.90) | 2 | <0.4 | [93] | |
| 69S | 636 | 0.04 | n.d. | 4 | 3.77 | [128] | |
| 67S magnetic | n.d. | n.d. | n.d. | 6 | 2.1 | [101] | |
| 34S | n.d. | 0.07 | 2.54 | 6 | 0.54 | [86] | |
| 39S | 250 | 0.16 | 2.65 (0.63) | Hg(II) | 5 | 3.04 | [126] |
| 35S | n.d. | 0.05 | 6.60 (1.95) | 4.5 | 0.82 | [62] | |
| 32S | n.d. | 0.05 | 2.54 (0.54) | 4.5 | 2.93 | [62] | |
| 40S | n.d. | 0 | (0.90) | 2 | <0.3 | [93] | |
| 34S | n.d. | 0.07 | 2.54 | 6 | 0.52 | [86] | |
| 32S-Ag(I) templated | 636 | 0.04 | n.d. | Pb(II) | 5 | 0.40 | [88] |
| 69S-Pb(II) templated | 636 | 0.04 | n.d. | 6 | 2.02 | [129] | |
| 46S | n.d. | 0.22 | 2.66 (0.57) | 4 | 2.24 | [90] | |
| 46S | n.d. | 0.22 | 2.66 (0.57) | Cu(II) | 4 | 1.14 | [90] |
| 32S | n.d. | 0.05 | 2.54 (0.54) | 4.5 | 3.74 | [62] | |
| 35S | n.d. | 0.05 | 6.60 (1.95) | 4.5 | 2.03 | [62] | |
| 40S | n.d. | 0 | (0.90) | 5 | < 0.3 | [93] | |
| 45S | n.d. | 0.28 | (0.22) | 2 | 0.1 | [91] | |
| 34S | n.d. | 0.07 | 2.54 | 6 | 0.24 | [86] | |
| 43S | n.d. | n.d. | n.d. | 5.6 | 0.57 | [95] | |
| 31S | n.d. | 0.18 | 6.37 (1.94) | 7 | 1.53 | [84] | |
| 47S | 400 | 0.26 | n.d. | 5 | 0.68 | [92] | |
| 42S | n.d. | n.d. | n.d. | Co(II) | 3.5 | 0.5 | [94] |
| 31S | n.d. | 0.18 | 6.37 (1.94) | 7 | 1.13 | [84] | |
| 40S | n.d. | 0 | (0.90) | Ni(II) | 5 | < 0.3 | [93] |
| 31S | n.d. | 0.18 | 6.37 (1.94) | 7 | 1.25 | [84] | |
| 46S | n.d. | 0.22 | 2.66 (0.57) | Cd(II) | 4 | 1.14 | [90] |
| 31S | n.d. | 0.18 | 6.37 (1.94) | Zn(II) | 7 | 0.83 | [84] |
| 42S | n.d. | n.d. | n.d. | Eu(III) | 8 | 0.23 | [94] |
| Chitosan Derivative | MW, kDа | Degree of Acetylation | Degree of Modification | Sorption | Ref. | ||
|---|---|---|---|---|---|---|---|
| Ion | pH | Capacity, mmol/g | |||||
| 48P | n.d. | 0.03 | 1.3 | Cu(II) | 7.4 | 2.6 | [103] |
| Ni(II) | 2.3 | ||||||
| Zn(II) | 2.7 | ||||||
| Sr(II) | 1.7 | ||||||
| Ca(II) | 1.5 | ||||||
| Mg(II) | 1.3 | ||||||
| Cd(II) | 3.0 | ||||||
| 49P | 50 | 0.8 | 1.57 | Cu(II) | 7 | 1.51 | [105] |
| Ca(II) | 1.55 | ||||||
| Mg(II) | 1.46 | ||||||
| Cd(II) | 1.65 | ||||||
| 48P | n.d. | n.d. | n.d. | U(IV) | n.d. | 0.069 × 10−3 | [104] |
| Ion | Complex Composition | Chitosan | N,O-Carboxymethyl Chitosan * | N-(4-hydroxysalicylidene) Chitosan |
|---|---|---|---|---|
| Cu(II) | ML ML2 | 5.47 [142] 8.09 [142] | 10.54 [14] | 5.25 [151] |
| Ni(II) | ML ML2 | 3.80 [148] 7.01 [148] | 8.32 [14] | 4.71 [151] |
| Co(II) | ML ML2 | 4.18 [149] 8.29 [149] | 6.34 [14] | 5.72 [151] |
| Zn(II) | ML ML2 | 4.03 [149] 6.47 [149] | 7.24 [14] | 5.73 [151] |
| Mn(II) | ML ML2 | 3.75 [148] 6.91 [148] | 5.30 [14] | - |
© 2016 by the authors. Licensee MDPI, Basel, Switzerland. This article is an open access article distributed under the terms and conditions of the Creative Commons by Attribution (CC-BY) license ( http://creativecommons.org/licenses/by/4.0/).
Share and Cite
Pestov, A.; Bratskaya, S. Chitosan and Its Derivatives as Highly Efficient Polymer Ligands. Molecules 2016, 21, 330. https://doi.org/10.3390/molecules21030330
Pestov A, Bratskaya S. Chitosan and Its Derivatives as Highly Efficient Polymer Ligands. Molecules. 2016; 21(3):330. https://doi.org/10.3390/molecules21030330
Chicago/Turabian StylePestov, Alexander, and Svetlana Bratskaya. 2016. "Chitosan and Its Derivatives as Highly Efficient Polymer Ligands" Molecules 21, no. 3: 330. https://doi.org/10.3390/molecules21030330
APA StylePestov, A., & Bratskaya, S. (2016). Chitosan and Its Derivatives as Highly Efficient Polymer Ligands. Molecules, 21(3), 330. https://doi.org/10.3390/molecules21030330
