Cytotoxic 1,3-Thiazole and 1,2,4-Thiadiazole Alkaloids from Penicillium oxalicum: Structural Elucidation and Total Synthesis
Abstract
:1. Introduction
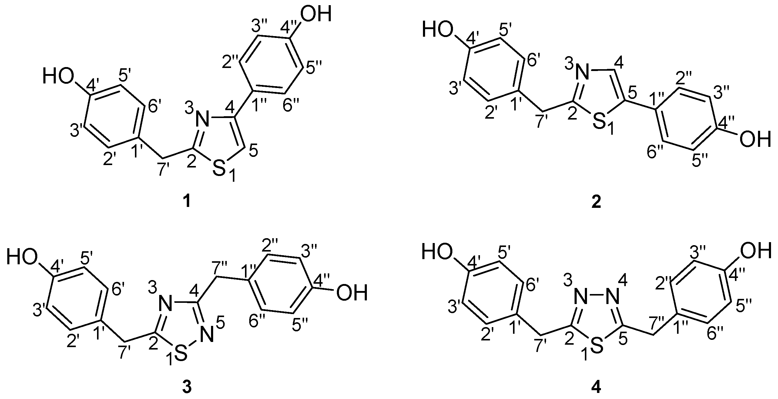
2. Results and Discussion
3. Experimental Section
3.1. General Procedures
3.2. Fungal Material
3.3. Fermentation, Extraction and Isolation
3.4. Synthesis
3.5. General Procedure for the Demethylation Reaction
3.6. Biological Evaluation
4. Conclusions
Supplementary Materials
Acknowledgments
Author Contributions
Conflicts of Interest
References
- Zhang, Y.L.; Zhang, J.; Jiang, N.; Lu, Y.H.; Wang, L.; Xu, S.H.; Wang, W.; Zhang, G.F.; Xu, Q.; Ge, H.M.; et al. Immunosuppressive polyketides from the mantis-associated Daldinia eschscholzii. J. Am. Chem. Soc. 2011, 133, 5931–5940. [Google Scholar] [CrossRef] [PubMed]
- Rukachaisirikul, V.; Pramjit, S.; Pakawatchai, C.; Isaka, M.; Supothina, S. 10-membered macrolides from the insect pathogenic fungus Cordyceps militaris BCC 2816. J. Nat. Prod. 2004, 67, 1953–1955. [Google Scholar] [CrossRef] [PubMed]
- Steyn, P.S. Total syntheses of secalonic acids A and D. Tetrahedron 1970, 26, 51–57. [Google Scholar] [CrossRef]
- Zhang, Y.; Li, C.; Swenson, D.C.; Gloer, J.B.; Wicklow, D.T.; Dowd, P.F. Novel antiinsectan oxalicine alkaloids from two undescribed fungicolous Penicillium spp. Org. Lett. 2003, 5, 773–776. [Google Scholar] [CrossRef] [PubMed]
- Kuo, L.M.; Chen, K.Y.; Hwang, S.Y.; Chen, J.L.; Liu, Y.Y.; Liaw, C.C.; Ye, P.H.; Chou, C.J.; Shen, C.C.; Kuo, Y.H. DNA topoisomerase I inhibitor, ergosterol peroxide from Penicillium oxalicum. Planta Med. 2005, 71, 77–79. [Google Scholar] [CrossRef] [PubMed]
- Colon, A.; Hoffman, T.J.; Gebauer, J.; Dash, J.; Rigby, J.H.; Arseniyadis, S.; Cossy, J. Catalysis-based enantioselective total synthesis of myxothiazole Z, (14S)-melithiazole G and (14S)-cystothiazole F. Chem. Commun. 2012, 48, 10508–10510. [Google Scholar] [CrossRef] [PubMed]
- Clough, J.M.; Dube, H.; Martin, B.J.; Pattenden, G.; Reddy, K.S.; Waldron, I.R. Total synthesis of myxothiazols, novel bis-thiazole β-methoxyacrylate-based anti-fungal compounds from myxobacteria. Org. Biomol. Chem. 2006, 4, 2906–2911. [Google Scholar] [CrossRef] [PubMed]
- Ahn, J.W.; Woo, S.H.; Lee, C.O.; Cho, K.Y.; Kim, B.S. KR025, a new cytotoxic compound from Myxococcus fulvus. J. Nat. Prod. 1999, 62, 495–496. [Google Scholar] [CrossRef] [PubMed]
- Steinmetz, H.; Forche, E.; Reichenbach, H.; Höfle, G. Biosynthesis of myxothiazol Z, the ester-analog of myxothiazol A in Myxococcus fulvus. Tetrahedron 2000, 56, 1681–1684. [Google Scholar] [CrossRef]
- Wang, L.; Xu, Z.S.; Ye, T. Total synthesis of hoiamide C. Org. Lett. 2011, 13, 2506–2509. [Google Scholar] [CrossRef] [PubMed]
- Choi, H.; Pereira, A.R.; Cao, Z.; Shuman, C.F.; Engene, N.; Byrum, T.; Matainaho, T.; Murray, T.F.; Mangoni, A.; Gerwick, W.H. The hoiamides, structurally intriguing neurotoxic lipopeptides from Papua New Guinea marine cyanobacteria. J. Nat. Prod. 2010, 73, 1411–1421. [Google Scholar] [CrossRef] [PubMed]
- Nielsen, D.S.; Hoang, H.N.; Lohman, R.J.; Diness, F.; Fairlie, D.P. Total synthesis, structure, and oral absorption of a thiazole cyclic peptide, sanguinamide A. Org. Lett. 2012, 14, 5720–5723. [Google Scholar] [CrossRef] [PubMed]
- Matysiak, J. Biological and pharmacological activities of 1,3,4-thiadiazole based compounds. Mini Rev. Med. Chem. 2015, 15, 762–775. [Google Scholar] [CrossRef] [PubMed]
- Rezki, N.; Al-Yahyawi, A.M.; Bardaweel, S.K.; Al-Blewi, F.F.; Aouad, M.R. Synthesis of novel 2,5-disubstituted-1,3,4-thiadiazoles clubbed 1,2,4-triazole, 1,3,4-thiadiazole, 1,3,4-oxadiazole and/or Schiff base as potential antimicrobial and antiproliferative agents. Molecules 2015, 20, 16048–16067. [Google Scholar] [CrossRef] [PubMed]
- Pham, C.D.; Weber, H.; Hartmann, R.; Wray, V.; Lin, W.; Lai, D.W.; Proksch, P. New cytotoxic 1,2,4-thiadiazole alkaloids from the ascidian Polycarpa aurata. Org. Lett. 2013, 15, 2230–2233. [Google Scholar] [CrossRef] [PubMed]
- Sundaram, G.S.M.; Harpstrite, S.E.; Kao, J.L.; Collins, S.D.; Sharma, V. A new nucleoside analogue with potent activity against mutant sr39 herpes simplex virus-1 (HSV-1) thymidine kinase (TK). Org. Lett. 2012, 14, 3568–3571. [Google Scholar] [CrossRef] [PubMed]
- Deng, S.; Taunton, J. Kinetic control of proline amide rotamers: Total synthesis of trans,trans- and cis,cis-ceratospongamide. J. Am. Chem. Soc. 2002, 124, 916–917. [Google Scholar] [CrossRef] [PubMed]
- Wang, W.; Nan, F. First total synthesis of leucamide A. J. Org. Chem. 2003, 68, 1636–1639. [Google Scholar] [CrossRef] [PubMed]
- You, S.L.; Kelly, J.W. Total synthesis of dendroamide a: Oxazole and thiazole construction using an oxodiphosphonium salt. J. Org. Chem. 2003, 68, 9506–9509. [Google Scholar] [CrossRef] [PubMed]
- Schieweck, F.; Altenbach, H.J. Synthesis of geminal bis(hydroxymethyl)pyrrolidine and pyrrolizidine imino sugars. J. Chem. Soc. Perkin Trans. 1 2001, 24, 3409–3414. [Google Scholar]
- Niu, P.F.; Kang, J.F.; Tian, X.H.; Song, L.N.; Liu, H.X.; Wu, J.; Yu, W.Q.; Chang, J.B. Synthesis of 2-Amino-1,3,4-oxadiazoles and 2-Amino-1,3,4-thiadiazoles via sequential condensation and I2-mediated oxidative C-O/C-S bond formation. J. Org. Chem. 2015, 80, 1018–1024. [Google Scholar] [CrossRef] [PubMed]
- Castro, A.; Castano, T.; Encinas, A.; Porcal, W.; Gil, C. Advances in the synthesis and recent therapeutic applications of 1,2,4-thiadiazole heterocycles. Bioorg. Med. Chem. 2006, 14, 1644–1652. [Google Scholar] [CrossRef] [PubMed]
- Lee, S.H.; Kim, M.J.; Lee, S.H.; Kim, J.; Park, H.J.; Lee, J. Thiazolylmethyl ortho-substituted phenyl glucoside library as novel C-aryl glucoside SGLT2 inhibitors. Eur. J. Med. Chem. 2011, 46, 2662–2675. [Google Scholar] [CrossRef] [PubMed]
- Nomura, S.; Sakamaki, S.; Hongu, M.; Kawanishi, E.; Koga, Y.; Sakamoto, T.; Yamamoto, Y.; Ueta, K.; Kimata, H.; Nakayama, K.; Tsuda-Tsukimoto, M. Discovery of canagliflozin, a novel C-glucoside with thiophene ring, as sodium-dependent glucose cotransporter 2 inhibitor for the treatment of type 2 diabetes mellitus. J. Med. Chem. 2010, 53, 6355–6360. [Google Scholar] [CrossRef] [PubMed]
- Patil, P.C.; Bhalerao, D.S.; Dangate, P.S.; Akamanchi, K.G. IBX/TEAB-mediated oxidative dimerization of thioamides: Synthesis of 3,5-disubstituted 1,2,4-thiadiazoles. Tetrahedron Lett. 2009, 50, 5820–5822. [Google Scholar] [CrossRef]
- Gierczyk, B.; Zalas, M. Synthesis of substituted 1,3,4-thiadiazoles using Lawesson’s reagent. Org. Prep. Proc. Int. 2005, 37, 213–222. [Google Scholar] [CrossRef]
- Calvo, E.; Bolos, M.V.; Grande, E. Multiple roles and therapeutic implications of Akt signaling in cancer. Onco Targets Ther. 2009, 2, 135–150. [Google Scholar] [PubMed]
- Pal, S.K.; Reckamp, K.; Yu, H.; Figlin, R.A. Akt inhibitors in clinical development for the treatment of cancer. Expert Opin. Investig. Drugs 2010, 19, 1355–1366. [Google Scholar] [CrossRef] [PubMed]
- Zhang, Y.L.; Ge, H.M.; Zhao, W.; Dong, H.; Xu, Q.; Li, S.H.; Li, J.; Zhang, J.; Song, Y.C.; Tan, R.X. Unprecedented immunosuppressive polyketides from Daldinia eschscholzii, a mantis-associated fungus. Angew. Chem. Int. Ed. 2008, 47, 5823–5826. [Google Scholar] [CrossRef] [PubMed]
- Wang, S.; Li, X.M.; Teuscher, F.; Li, D.L.; Diesel, A.; Ebel, R.; Proksch, P.; Wang, B.G. Chaetopyranin, a benzaldehyde derivative, and other related metabolites from Chaetomium globosum, an endophytic fungus derived from the marine red alga Polysiphonia urceolata. J. Nat. Prod. 2006, 69, 1622–1625. [Google Scholar] [CrossRef] [PubMed]
- Veisi, H.; Maleki, B.; Hamelian, M.; Ashrafi, S.S. Chemoselective hydration of nitriles to amides using hydrated ionic liquid (IL) tetrabutylammonium hydroxide (TBAH) as a green catalyst. RSC Adv. 2015, 5, 6365–6371. [Google Scholar] [CrossRef]
- Jiang, Q.; Sheng, W.; Guo, C. Synthesis of phenacyl bromides via K2S2O8-mediated tandem hydroxybromination and oxidation of styrenes in water. Green Chem. 2013, 15, 2175–2179. [Google Scholar] [CrossRef]
- Ackrell, J.; Muchowski, J.M.; Galeazzi, E.; Guzman, A. Alkylation of α-formamido ketone enolate anions. A versatile synthesis of α-alkyl α-amino ketones. J. Org. Chem. 1986, 51, 3374–3376. [Google Scholar] [CrossRef]
- Sample Availability: Samples of the compounds are not available from the authors.








| 2 | 3 | ||||
|---|---|---|---|---|---|
| No | δH (J in Hz) | δC | No | δH (J in Hz) | δC |
| 1 | - | - | 1 | - | - |
| 2 | - | 168.66 | 2 | - | 193.51 |
| 3 | - | - | 3 | - | - |
| 4 | 7.84, s | 136.43 | 4 | - | 175.75 |
| 5 | - | 138.76 | 5 | - | - |
| 7’ | 4.15, s | 38.03 | 7’ | 4.28, s | 35.79 |
| - | 7” | 4.09, s | 37.63 | ||
| 1’ | - | 128.36 | 1’ | - | 126.89 |
| 2’ | 7.13, d (8.6) | 129.99 | 2’ | 7.16, d (8.4) | 130.21 |
| 3’ | 6.72, d (8.6) | 115.38 | 3’ | 6.73, d (8.4) | 115.54 |
| 4’ | - | 156.29 | 4’ | - | 156.64 |
| 5’ | 6.72, d (8.6) | 115.38 | 5’ | 6.73, d (8.4) | 115.54 |
| 6’ | 7.13, d (8.6) | 129.99 | 6’ | 7.16, d (8.4) | 130.21 |
| 1” | - | 121.92 | 1” | - | 127.42 |
| 2” | 7.37, d (8.7) | 127.63 | 2” | 7.07, d (8.5) | 129.86 |
| 3” | 6.77, d (8.7) | 115.89 | 3” | 6.67, d (8.5) | 115.14 |
| 4” | - | 157.54 | 4” | - | 155.95 |
| 5” | 6.77, d (8.7) | 115.89 | 5” | 6.67, d (8.5) | 115.14 |
| 6” | 7.37, d (8.7) | 127.63 | 6” | 7.07, d (8.5) | 129.86 |
© 2016 by the authors. Licensee MDPI, Basel, Switzerland. This article is an open access article distributed under the terms and conditions of the Creative Commons by Attribution (CC-BY) license ( http://creativecommons.org/licenses/by/4.0/).
Share and Cite
Yang, Z.; Huang, N.; Xu, B.; Huang, W.; Xie, T.; Cheng, F.; Zou, K. Cytotoxic 1,3-Thiazole and 1,2,4-Thiadiazole Alkaloids from Penicillium oxalicum: Structural Elucidation and Total Synthesis. Molecules 2016, 21, 232. https://doi.org/10.3390/molecules21030232
Yang Z, Huang N, Xu B, Huang W, Xie T, Cheng F, Zou K. Cytotoxic 1,3-Thiazole and 1,2,4-Thiadiazole Alkaloids from Penicillium oxalicum: Structural Elucidation and Total Synthesis. Molecules. 2016; 21(3):232. https://doi.org/10.3390/molecules21030232
Chicago/Turabian StyleYang, Zheng, Nianyu Huang, Bang Xu, Wenfeng Huang, Tianpeng Xie, Fan Cheng, and Kun Zou. 2016. "Cytotoxic 1,3-Thiazole and 1,2,4-Thiadiazole Alkaloids from Penicillium oxalicum: Structural Elucidation and Total Synthesis" Molecules 21, no. 3: 232. https://doi.org/10.3390/molecules21030232
APA StyleYang, Z., Huang, N., Xu, B., Huang, W., Xie, T., Cheng, F., & Zou, K. (2016). Cytotoxic 1,3-Thiazole and 1,2,4-Thiadiazole Alkaloids from Penicillium oxalicum: Structural Elucidation and Total Synthesis. Molecules, 21(3), 232. https://doi.org/10.3390/molecules21030232
