Biological Validation of Novel Polysubstituted Pyrazole Candidates with in Vitro Anticancer Activities
Abstract
:1. Introduction
2. Results and Discussion
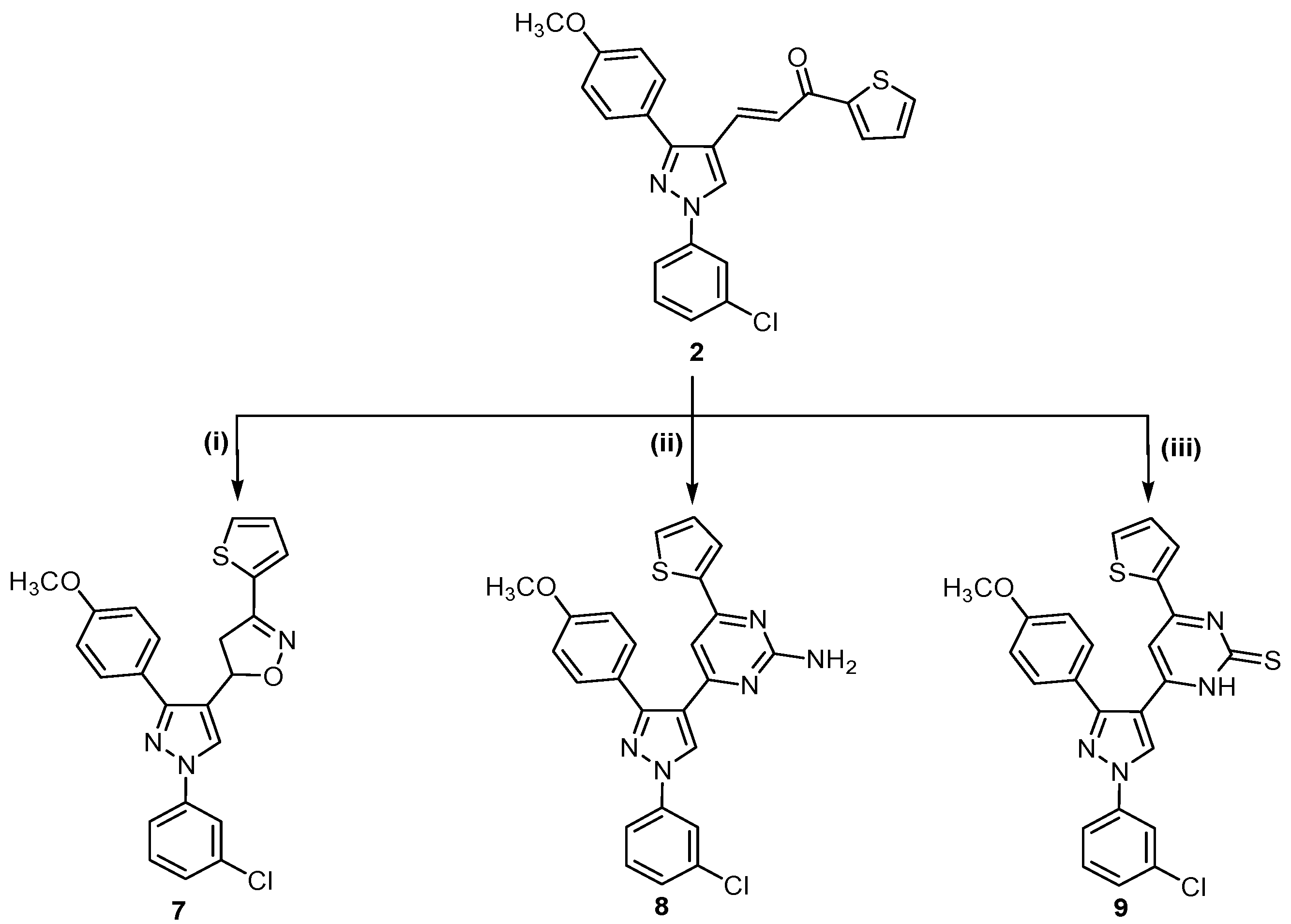
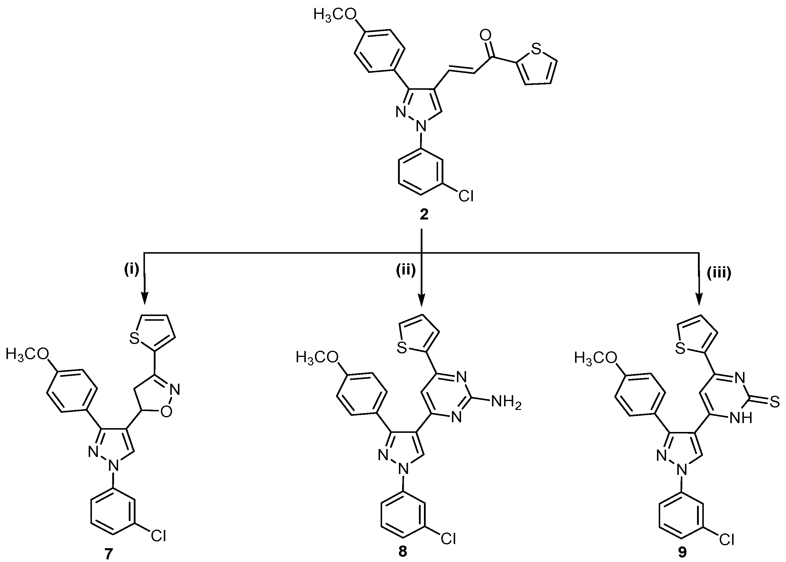
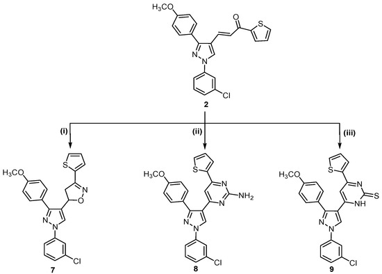
2.1. Chemistry
2.2. In Vitro Anticancer Screening
3. Experimental Section
3.1. General Information
3.2. 3-(1-(3-Chlorophenyl)-3-(4-methoxyphenyl)-1H-pyrazol-4-yl)-1-(thiophen-2-yl)prop-2-en-1-one (2)
3.3. 1-(3-Chlorophenyl)-4-(4,5-dihydro-3-(thiophen-2-yl)-1H-pyrazol-5-yl)-3-(4-methoxyphenyl)-1H-pyrazole (3)
3.4. 1-(5-(1-(3-Chlorophenyl)-3-(4-methoxyphenyl)-1H-pyrazol-4-yl)-4,5-dihydro-3-(thiophen-2yl)pyrazol-1-yl)-ethanone (4)
3.5. 5-(1-(3-Chlorophenyl)-3-(4-methoxyphenyl)-1H-pyrazol-4-yl)-4,5-dihydro-3-(thiophen-2-yl)-pyrazole-1-carbothioamide (5)
3.6. 2-Amino-4-(1-(3-chlorophenyl)-3-(4-methoxyphenyl)-1H-pyrazol-4-yl)-1,6-dihydro-6-oxopyrimidine-5-carbonitrile (6a) and 5-acetyl-2-amino-6-(1-(3-chlorophenyl)-3-(4-methoxyphenyl)-1H-pyrazol-4-yl)-pyrimidin-4(3H)-one (6b)
3.7. 1-(3-Chlorophenyl)-3-(4-methoxyphenyl)-4-(3-(thiophen-2-yl)isoxazol-5-yl)-1H-pyrazole (7)
3.8. 4-(1-(3-Chlorophenyl)-3-(4-methoxyphenyl)-1H-pyrazol-4-yl)-6-(thiophen-2-yl)pyrimidin-2-amine (8)
3.9. 6-(1-(3-Chlorophenyl)-3-(4-methoxyphenyl)-1H-pyrazol-4-yl)-4-(thiophen-2-yl)pyrimidine-2-(1H)-thione (9)
3.10. Measurement of Anticancer Activity
4. Conclusions
Acknowledgments
Author Contributions
Conflicts of Interest
References
- Jemal, A.; Siegel, R.; Ward, E.; Hao, Y.; Xu, J.; Murray, T.; Thun, M.J. Cancer statistics, 2008. Cancer J. Clin. 2008, 58, 71–96. [Google Scholar] [CrossRef] [PubMed]
- Eckhardt, S. Recent progress in the development of anticancer agents. Curr. Med. Chem. Anticancer Agents 2002, 2, 419–439. [Google Scholar] [CrossRef] [PubMed]
- Altmann, K.H. Microtubule-stabilizing agents: A growing class of important anticancer drugs. Curr. Opin. Chem. Biol. 2001, 5, 424–431. [Google Scholar] [CrossRef]
- Wartmann, M.; Altmann, K.H. The biology and medicinal chemistry of epothilones. Curr. Med. Chem. Anticancer Agents 2002, 2, 1231–1248. [Google Scholar] [CrossRef]
- O’Dwyer, M.E.; Druker, B.J. The role of the tyrosine kinase inhibitor STI571 in the treatment of cancer. Curr. Cancer Drug Targets 2001, 1, 49–57. [Google Scholar] [CrossRef] [PubMed]
- Xia, Y.; Dong, Z.W.; Zhao, B.X.; Ge, X.; Meng, N.; Shin, D.S.; Miao, J.Y. Synthesis and structure-activity relationships of novel 1-arylmethyl-3-aryl-1H-pyrazole-5-carbohydrazide derivatives as potential agents against A549 lung cancer cells. Bioorg. Med. Chem. 2007, 15, 6893–6899. [Google Scholar] [CrossRef] [PubMed]
- Farghaly, A.R. Synthesis of some new indole derivatives containing pyrazoles with potential antitumor activity. ARKIVOC 2010, 11, 177–187. [Google Scholar]
- El-Zahar, M.I.; EL-Karim, S.A.; Haiba, M.E.; Khedr, M.A. Synthesis, antitumor activity and molecular docking study of novel benzofuran-2-yl pyrazole pyrimidine derivatives. Acta Pol. Pharm. Drug. Res. 2011, 68, 357–373. [Google Scholar]
- Kalirajan, R.; Rathore, L.; Jubie, S.; Gowramma, B.; Gomathy, S.; Sankar, S. Microwave assisted synthesis of some novel pyrazole substituted benzimidazoles and evaluation of their biological activities. Indian J. Chem. 2011, 50B, 1794–1799. [Google Scholar] [CrossRef]
- Perchellet, E.M.; Ward, M.M.; Skaltsounis, A.L.; Kostakis, I.K.; Pouli, N.; Marakos, P.; Perchellet, J.H. Antiproliferative and proapoptotic activities of pyranoxanthenones, pyranothioxanthenones and their pyrazole-fused derivatives in HL-60 cells. Anticancer Res. 2006, 26, 2791–2804. [Google Scholar] [PubMed]
- Insuasty, B.; Tigreros, A.; Orozco, F.; Quiroga, J.; Abonia, R.; Nogueras, M.; Sanchez, A.; Cobo, J. Synthesis of novel pyrazolic analogues of chalcones and their 3-aryl-4-(3-aryl-4,5-dihydro-1H-pyrazol-5-yl)-1-phenyl-1H-pyrazole derivatives as potential antitumor agents. Bioorg. Med. Chem. 2010, 18, 4965–4974. [Google Scholar] [CrossRef] [PubMed]
- Labbozzetta, M.; Baruchello, R.; Marchetti, P.; Gueli, M.C.; Poma, P.; Notarbartolo, M.; Simoni, D.; D’Alessandro, N. Lack of nucleophilic addition in the isoxazole and pyrazole diketone modified analogs of curcumin; implications for their antitumor and chemosensitizing activities. Chem. Biol. Interact. 2009, 181, 29–36. [Google Scholar] [CrossRef] [PubMed]
- Szabo, G.; Fischer, J.; Kis-Varga, A.; Gyires, K. New celecoxib derivatives as anti-inflammatory agents. J. Med. Chem. 2008, 51, 142–147. [Google Scholar] [CrossRef] [PubMed]
- Tanitame, A.; Oyamada, Y.; Ofuji, K.; Terauchi, H.; Kawasaki, M.; Wachi, M.; Yamagishi, J. Synthesis and antibacterial activity of a novel series of DNA gyrase inhibitors: 5-[(E)-2-arylvinyl]pyrazoles. Bioorg. Med. Chem. Lett. 2005, 15, 4299–4303. [Google Scholar] [CrossRef] [PubMed]
- Rida, S.M.; Saudi, M.N.S.; Youssef, A.M.; Halim, M.A. Synthesis and biological evaluation of the pyrazole class of cyclooxygenase-2-inhibitors. Lett. Org. Chem. 2009, 6, 282–288. [Google Scholar] [CrossRef]
- Abadi, A.H.; Abdel Haleem, A.; Hassan, G.S. Synthesis of novel 1,3,4-trisubstituted pyrazole derivatives and their evaluation as antitumor and antiangiogenic agents. Chem. Pharm. Bul. 2003, 51, 838–844. [Google Scholar] [CrossRef]
- Sridhar, S.; Parsad, R.Y. Synthesis and Analgesic Studies of Some New 2-pyrazolines. Eur. J. Chem. 2012, 9, 1810–1815. [Google Scholar] [CrossRef]
- Turan-Zitouni, G.; Chevallet, P.; Kilic, F.S.; Erol, K. Synthesis of some thiazolyl-pyrazoline derivatives and preliminary investigation of their hypotensive activity. Eur. J. Med. Chem. 2000, 35, 635–641. [Google Scholar] [CrossRef]
- Zhou, S.; Ren, J.; Liu, M.; Ren, L.; Liu, Y.; Gong, P. Design, synthesis and pharmacological evaluation of 6,7-disubstituted-4-phenoxyquinoline derivatives as potential antitumor agents. Bioorg. Chem. 2014, 57, 30–42. [Google Scholar] [CrossRef] [PubMed]
- Kumar, S.; Bawa, S.; Drabu, S.; Kumar, R.; Gupta, H. Biological activities of pyrazoline derivatives—A recent development. Drug Discov. 2009, 4, 154–163. [Google Scholar] [CrossRef]
- Havrylyuk, D.; Zimenkovsky, B.; Vasylenko, O.; Zaprutko, L.; Gzella, A.; Lesyk, R. Synthesis of novel thiazolone-based compounds containing pyrazoline moiety and evaluation of their anticancer activity. Eur. J. Med. Chem. 2009, 44, 1396–1404. [Google Scholar] [CrossRef] [PubMed]
- Khalifa, N.M.; Al-Omar, M.A.; Amr, A.E.; Baiuomy, A.R.; Abdel Rahman, R.F. Synthesis and biological evaluation of some novel fused thiazolo[3,2-a]pyrimidines as potential analgesic and antiinflammatory agents. Russ. J. Bioorg. Chem. 2015, 41, 192–201. [Google Scholar] [CrossRef]
- Eweas, A.F.; Khalifa, N.M.; Ismail, N.S.; Al-Omar, M.A.; Soliman, A.M. Synthesis, molecular docking of novel 1,8-naphthyridine derivatives and their cytotoxic activity against HepG2 cell lines. Med Chem Res. 2014, 23, 76–86. [Google Scholar] [CrossRef]
- Almutairi, M.S.; Hegazy, G.H.; Haiba, M.E.; Ali, H.I.; Khalifa, N.M.; Soliman, A.M. Synthesis, Docking and Biological Activities of Novel Hybrids Celecoxib and Anthraquinone Analogs as Potent Cytotoxic Agents. Int. J. Mol. Sci. 2014, 15, 22580–22603. [Google Scholar] [CrossRef] [PubMed]
- Haiba, M.E.; Al-Abdullah, E.S.; Edrees, M.M.; Khalifa, N.M. Synthesis and characterization of some substituted 3,4-dihydronaphthalene derivatives through different enaminones as potent cytotoxic agents. Drug Res. 2015, 65, 9–17. [Google Scholar]
- Babasaheb, P.B.; Shrikant, S.G.; Ragini, G.B.; Jalinder, V.T.; Chandrahas, N.K. Synthesis and biological evaluation of simple methoxylated chalcones as anticancer, anti-inflammatory and antioxidant agents. Bioorg. Med. Chem. 2010, 18, 1364–1370. [Google Scholar]
- Syam, S.; Abdelwahab, S.I.; Al-Mamary, M.A.; Mohan, S. Synthesis of chalcones with anticancer activities. Molecules 2012, 17, 6179–6195. [Google Scholar] [CrossRef] [PubMed]
- Alley, M.C.; Scudiero, D.A.; Monks, P.A.; Hursey, M.L.; Fine, M.J.; Czerwinski, D.L.; Abbott, B.J.; Mayo, J.G.; Shoemaker, R.H.; Boyd, M.R. Feasibility of drug screening with panels of human tumor cell lines using a microculture tetrazolium assay. Cancer Res. 1988, 48, 589–601. [Google Scholar] [PubMed]
- Grever, M.R.; Schepartz, S.A.; Chabner, B.A. The National Cancer Institute: Cancer drug discovery and development program. Semin. Oncol. 1992, 19, 622–638. [Google Scholar] [PubMed]
- Boyd, M.R.; Paull, K.D. Some practical considerations and applications of the National Cancer Institute in vitro anticancer drug discovery screen. Drug Dev. Res. 1995, 34, 91–109. [Google Scholar] [CrossRef]
- Sample Availability: Samples of all the compounds are available from the authors.


| Cpd. No. | NSC No. | Mean Growth Percent |
|---|---|---|
| 2 | 762925/1 | 95.56 |
| 3 | 763580/1 | 102.40 |
| 4 | 763581/1 | 98.43 |
| 6a | 762930/1 | 67.27 |
| 6b | 762931/1 | 76.45 |
| 7 | 762927/1 | 47.83 |
| 8 | 762928/1 | 99.26 |
| 9 | 762929/1 | 49.53 |
| Subpanel Cell Lines | |||
|---|---|---|---|
| GI50 | |||
| Cell lines | 6a | 7 | 9 |
| Leukemia | |||
| CCRF-CEM | 3.65 | 3.84 | 2.80 |
| HL-60(TB) | 3.96 | 4.73 | 3.49 |
| K-562 | 3.45 | 3.43 | 2.91 |
| MOLT-4 | 4.80 | 2.96 | 3.03 |
| RPMI-8226 | 5.63 | 5.33 | 2.42 |
| SR | 3.73 | 3.03 | 4.00 |
| Non-Small Cell Lung Cancer | |||
| A549/ATCC | 5.13 | 3.56 | 2.29 |
| EKVX | 3.29 | 2.07 | 1.93 |
| HOP-62 | 10.1 | 13.90 | 7.14 |
| HOP-92 | 1.65 | 1.61 | 2.20 |
| NCI-H226 | 6.23 | 4.11 | 3.16 |
| NCI-H23 | 5.44 | 3.82 | 3.43 |
| NCI-H460 | 6.00 | 3.42 | 3.01 |
| NCI-H522 | 3.11 | 4.27 | 2.54 |
| NCI-H322M | |||
| Colon Cancer | |||
| COLO 205 | 7.65 | 3.21 | 2.35 |
| HCC-2998 | 5.87 | 3.47 | 4.03 |
| HCT-116 | 4.35 | 3.03 | 2.38 |
| HCT-15 | 5.07 | 4.48 | 3.69 |
| HT29 | 4.29 | 3.85 | 3.82 |
| KM12 | 3.84 | 2.98 | 3.67 |
| SW-620 | 4.38 | 4.35 | 3.79 |
| CNS Cancer | |||
| SF-268 | 5.86 | 4.94 | 4.52 |
| SF-295 | 2.36 | 2.70 | 2.07 |
| SF-539 | 6.59 | 7.47 | 4.70 |
| SNB-19 | 4.58 | 6.08 | 4.93 |
| SNB-75 | 2.88 | 3.52 | 3.49 |
| U251 | 3.66 | 3.61 | 2.60 |
| Melanoma | |||
| LOX IMVI | 4.02 | 3.04 | 3.56 |
| MALME-3M | 5.83 | 2.60 | 3.49 |
| M14 | 3.25 | 3.30 | 2.81 |
| MDA-MB-435 | 2.16 | 3.26 | 3.13 |
| SK-MEL-2 | 3.94 | 3.34 | 2.87 |
| SK-MEL-28 | 4.98 | 4.93 | 3.93 |
| SK-MEL-5 | 4.07 | 4.74 | 2.93 |
| UACC-257 | 5.69 | 3.07 | 3.06 |
| UACC-62 | 3.33 | 3.55 | 2.78 |
| Ovarian Cancer | |||
| IGROV1 | 3.01 | 4 | 3.61 |
| OVCAR-3 | 3.38 | 5.07 | 3.04 |
| OVCAR-4 | 7.71 | 4.48 | 3.47 |
| OVCAR-5 | 14.60 | 7.63 | 6.38 |
| OVCAR-8 | 10.10 | 4.04 | 3.15 |
| NCI/ADR-RES | 3.33 | 4.01 | 4.77 |
| SK-OV-3 | 6.56 | 8.89 | 5.91 |
| Renal Cancer | |||
| 786-0 | 4.65 | 3.39 | 4.18 |
| A498 | 1.47 | 1.81 | 3.01 |
| ACHN | 9.92 | 4.39 | 4.05 |
| CAKI-1 | 2.52 | 2.05 | 3.03 |
| RXF 393 | 4.51 | 3.49 | 3.76 |
| SN12C | 6.41 | 3.48 | 3.92 |
| TK-10 | 13.50 | 5.21 | 4.55 |
| UO-31 | 2.94 | 2.56 | 2.82 |
| Prostate Cancer | |||
| PC-3 | 6.30 | 3.2 | 3.09 |
| DU-145 | 17.9 | 7.08 | 5.49 |
| Breast Cancer | |||
| MCF7 | 3.54 | 3.53 | 3.02 |
| MDA-MB-231/ATCC | 3.39 | 3.08 | 3.52 |
| HS 578T | 3.55 | 4.42 | 4.26 |
| BT-549 | 3.55 | 4.99 | 3.18 |
| T-47D | 6.05 | 3.86 | 4.16 |
| MDA-MB-468 | 2.12 | 2.68 | 2.57 |
| Subpanel Cell Lines | |||
|---|---|---|---|
| TGI | |||
| Cell lines | 6a | 7 | 9 |
| Leukemia | |||
| CCRF-CEM | 33.80 | >100 | >100 |
| HL-60(TB) | 14.20 | 38.30 | 13.20 |
| K-562 | >100 | >100 | >100 |
| MOLT-4 | 39.80 | 19.50 | 25.20 |
| RPMI-8226 | 55.50 | 61.90 | 10.90 |
| SR | 21.20 | 12.10 | 31.90 |
| Non-Small Cell Lung Cancer | |||
| A549/ATCC | 50.80 | 24.50 | 16.50 |
| EKVX | 35.40 | 13.50 | 21.70 |
| HOP-62 | 26.20 | 28.10 | 22.10 |
| HOP-92 | 12.20 | 8.13 | 10.80 |
| NCI-H226 | 70.300 | 30.30 | 54.40 |
| NCI-H23 | 46.20 | 20.80 | 16.20 |
| NCI-H460 | 27.70 | 16.60 | 11.00 |
| NCI-H522 | 9.80 | 18.40 | 8.86 |
| NCI-H322M | |||
| COLO 205 | 20.90 | 7.24 | 5.59 |
| HCC-2998 | 24.90 | 14.60 | 16.40 |
| HCT-116 | 16.20 | 12.70 | 11.20 |
| HCT-15 | >100 | 32.90 | >100 |
| HT29 | 20.00 | 15.10 | 13.00 |
| KM12 | 15.20 | 11.10 | 14.40 |
| SW-620 | 34.20 | 22.60 | 22.30 |
| CNS Cancer | |||
| SF-268 | 35.4 | 47.10 | 73.60 |
| SF-295 | 9.22 | 13.20 | 7.09 |
| SF-539 | 32.2 | 36.60 | 19.70 |
| SNB-19 | 100 | >100 | >100 |
| SNB-75 | 21.1 | 34.70 | 25.60 |
| U251 | 18.8 | 15.40 | 12.40 |
| Melanoma | |||
| LOX IMVI | 20.10 | 10.90 | 13.80 |
| MALME-3M | 40.60 | 10.60 | 15.80 |
| M14 | 34.00 | 17.10 | 14.00 |
| MDA-MB-435 | 5.48 | 17.30 | 19.00 |
| SK-MEL-2 | 15.80 | 10.90 | 6.90 |
| SK-MEL-28 | 27.90 | 17.80 | 15.70 |
| SK-MEL-5 | 15.90 | 17.30 | 10.90 |
| UACC-257 | 47.30 | 15.10 | 18.00 |
| UACC-62 | 15.40 | 20.00 | 19.20 |
| Ovarian Cancer | |||
| IGROV1 | 18.10 | 16.20 | 15.30 |
| OVCAR-3 | 10.00 | 25.00 | 9.42 |
| OVCAR-4 | 61.90 | 36.40 | >100 |
| OVCAR-5 | 51.40 | 74.10 | >100 |
| OVCAR-8 | 60.30 | 36.00 | >100 |
| NCI/ADR-RES | 15.90 | 38.10 | 41.80 |
| SK-OV-3 | 30.70 | 44.10 | 36.80 |
| Renal Cancer | |||
| 786-0 | 33.50 | >100 | >100 |
| A498 | 6.75 | 14.60 | 17.00 |
| ACHN | >100 | >100 | >100 |
| CAKI-1 | 15.30 | 6.02 | 8.68 |
| RXF 393 | 22.40 | 20.10 | 19.50 |
| SN12C | >100 | 18.70 | >100 |
| TK-10 | 53.90 | 43.80 | 32.80 |
| UO-31 | 47.80 | 11.80 | 26.50 |
| Prostate Cancer | |||
| PC-3 | >100 | 36.90 | >100 |
| DU-145 | 70.10 | 35.80 | 72.50 |
| Breast Cancer | |||
| MCF7 | 28.50 | 16.90 | 33.40 |
| MDA-MB-231/ATCC | 53.30 | 16.90 | 26.00 |
| HS 578T | 40.30 | 45.50 | >100 |
| BT-549 | 22.40 | 21.30 | 15.90 |
| T-47D | 32.20 | 25.30 | 34.60 |
| MDA-MB-468 | 6.43 | 12.30 | 9.91 |
| Subpanel Cell Lines | |||
|---|---|---|---|
| LC50 | |||
| Cell lines | 6a | 7 | 9 |
| Leukemia | |||
| CCRF-CEM | >100 | >100 | >100 |
| HL-60(TB) | >100 | >100 | >100 |
| K-562 | >100 | >100 | >100 |
| MOLT-4 | >100 | >100 | >100 |
| RPMI-8226 | >100 | >100 | >100 |
| SR | >100 | >100 | >100 |
| Non-Small Cell Lung Cancer | |||
| A549/ATCC | >100 | >100 | >100 |
| EKVX | >100 | >100 | >100 |
| HOP-62 | 67.80 | 56.90 | 59.80 |
| HOP-92 | >100 | >100 | 83.20 |
| NCI-H226 | >100 | >100 | >100 |
| NCI-H23 | >100 | >100 | >100 |
| NCI-H460 | >100 | >100 | 52.00 |
| NCI-H522 | >100 | 93.50 | >100 |
| NCI-H322M | |||
| Colon Cancer | |||
| COLO 205 | >50 | 24.70 | 40.00 |
| HCC-2998 | >100 | 64.70 | 96.00 |
| HCT-116 | 46.00 | 40.60 | 33.80 |
| HCT-15 | >100 | >100 | >100 |
| HT29 | >100 | >100 | 46.90 |
| KM12 | 49.70 | 84.60 | 49.30 |
| SW-620 | >100 | >100 | >100 |
| CNS Cancer | |||
| SF-268 | >100 | >100 | >100 |
| SF-295 | 84.70 | >100 | 61.30 |
| SF-539 | >100 | >100 | 82.30 |
| SNB-19 | >100 | >100 | >100 |
| SNB-75 | >100 | >100 | >100 |
| U251 | 82.80 | 49.50 | 38.30 |
| Melanoma | |||
| LOX IMVI | 74.10 | 54.90 | 45.20 |
| MALME-3M | >100 | 60.00 | 97.20 |
| M14 | >100 | 84.10 | 90.10 |
| MDA-MB-435 | >100 | >100 | >100 |
| SK-MEL-2 | 99.10 | 66.80 | 35.60 |
| SK-MEL-28 | >100 | 52.40 | 58.80 |
| SK-MEL-5 | 51.30 | 47.50 | 41.90 |
| UACC-257 | >100 | >100 | >100 |
| UACC-62 | 53.30 | 65.70 | 71.60 |
| Ovarian Cancer | |||
| IGROV1 | >100 | 71.20 | 73.80 |
| OVCAR-3 | 60.30 | >100 | 35.90 |
| OVCAR-4 | >100 | >100 | >100 |
| OVCAR-5 | >100 | 100 | >100 |
| OVCAR-8 | >100 | >100 | >100 |
| NCI/ADR-RES | >100 | >100 | >100 |
| SK-OV-3 | >100 | >100 | >100 |
| Renal Cancer | |||
| 786-0 | >100 | >100 | >100 |
| A498 | >100 | 45.20 | 73.20 |
| ACHN | >100 | >100 | >100 |
| CAKI-1 | >100 | 75.90 | >100 |
| RXF 393 | >100 | >100 | >100 |
| SN12C | >100 | >100 | >100 |
| TK-10 | >100 | >100 | >100 |
| UO-31 | >100 | >100 | >100 |
| Prostate Cancer | |||
| PC-3 | >100 | >100 | >100 |
| DU-145 | >100 | >100 | >100 |
| Breast Cancer | |||
| MCF7 | >100 | 83.60 | >100 |
| MDA-MB-231/ATCC | >100 | >100 | >100 |
| HS 578T | >100 | >100 | >100 |
| BT-549 | >100 | 66.30 | >100 |
| T-47D | >100 | >100 | >100 |
| MDA-MB-468 | >100 | >100 | >100 |
| Subpanel Tumor Cell Lines | ||||||||||
|---|---|---|---|---|---|---|---|---|---|---|
| Cpd. No. | Leukemia | Lung | Colon | CNS | Melanoma | Ovarian | Renal | Prostate | Breast | GI50 MG-MID |
| 6a | 4.2 | 5.1 | 5.1 | 4.3 | 4.1 | 7.0 | 5.7 | 12.1 | 3.7 | 5.7 |
| 7 | 3.9 | 4.6 | 3.6 | 4.7 | 3.5 | 5.5 | 3.3 | 5.1 | 3.8 | 4.2 |
| 9 | 3.1 | 3.2 | 3.4 | 3.7 | 3.2 | 4.3 | 3.7 | 4.3 | 3.5 | 3.6 |
| Sorafenib | 1.9 | |||||||||
| Subpanel Tumor Cell Lines | |||||||||
|---|---|---|---|---|---|---|---|---|---|
| Cpd. No. | Leukemia | Lung | Colon | CNS | Melanoma | Ovarian | Renal | Prostate | Breast |
| 6a | 1.4 | 1.1 | 1.1 | 1.3 | 1.4 | 0.8 | 1.0 | 0.5 | 1.5 |
| 7 | 1.1 | 0.9 | 1.2 | 0.9 | 1.2 | 0.8 | 1.3 | 0.8 | 1.1 |
| 9 | 1.2 | 1.1 | 1.1 | 1.0 | 1.1 | 0.8 | 1.0 | 0.8 | 1.0 |
© 2016 by the authors. Licensee MDPI, Basel, Switzerland. This article is an open access article distributed under the terms and conditions of the Creative Commons by Attribution (CC-BY) license ( http://creativecommons.org/licenses/by/4.0/).
Share and Cite
Fahmy, H.H.; Khalifa, N.M.; Ismail, M.M.F.; El-Sahrawy, H.M.; Nossier, E.S. Biological Validation of Novel Polysubstituted Pyrazole Candidates with in Vitro Anticancer Activities. Molecules 2016, 21, 271. https://doi.org/10.3390/molecules21030271
Fahmy HH, Khalifa NM, Ismail MMF, El-Sahrawy HM, Nossier ES. Biological Validation of Novel Polysubstituted Pyrazole Candidates with in Vitro Anticancer Activities. Molecules. 2016; 21(3):271. https://doi.org/10.3390/molecules21030271
Chicago/Turabian StyleFahmy, Hoda H., Nagy M. Khalifa, Magda M. F. Ismail, Hend M. El-Sahrawy, and Eman S. Nossier. 2016. "Biological Validation of Novel Polysubstituted Pyrazole Candidates with in Vitro Anticancer Activities" Molecules 21, no. 3: 271. https://doi.org/10.3390/molecules21030271
APA StyleFahmy, H. H., Khalifa, N. M., Ismail, M. M. F., El-Sahrawy, H. M., & Nossier, E. S. (2016). Biological Validation of Novel Polysubstituted Pyrazole Candidates with in Vitro Anticancer Activities. Molecules, 21(3), 271. https://doi.org/10.3390/molecules21030271

