Application of Homochiral Alkylated Organic Cages as Chiral Stationary Phases for Molecular Separations by Capillary Gas Chromatography
Abstract
:1. Introduction
2. Results and Discussion
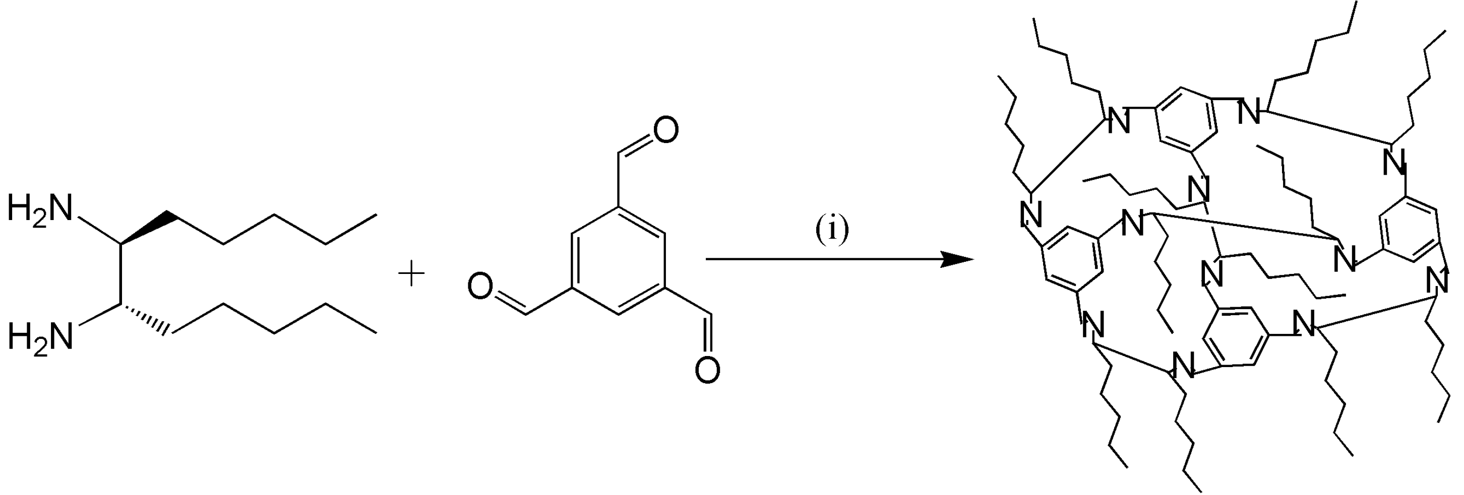
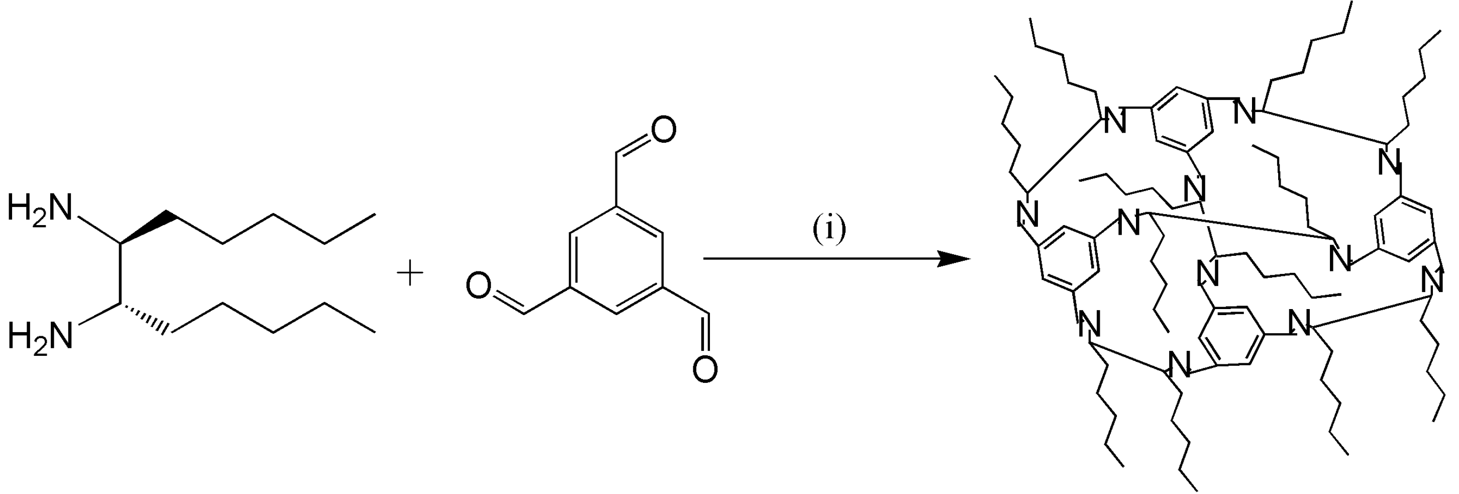
2.1. Characterization of the Synthesized Pentyl Cage and the Pentyl Cage-Coated Capillary Column
2.2. Separation of Positional Isomers on the Pentyl Cage-Coated Capillary Column
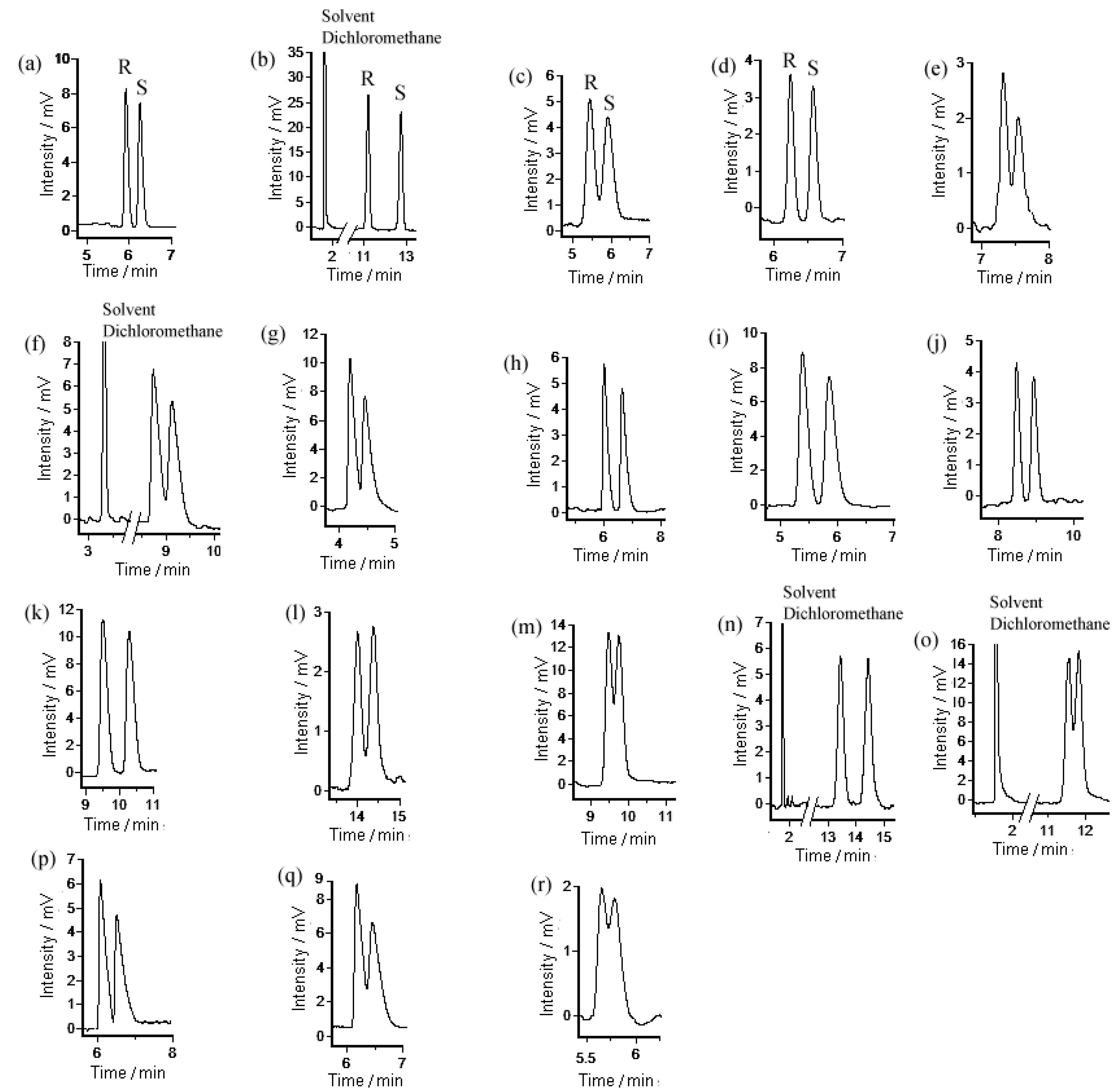
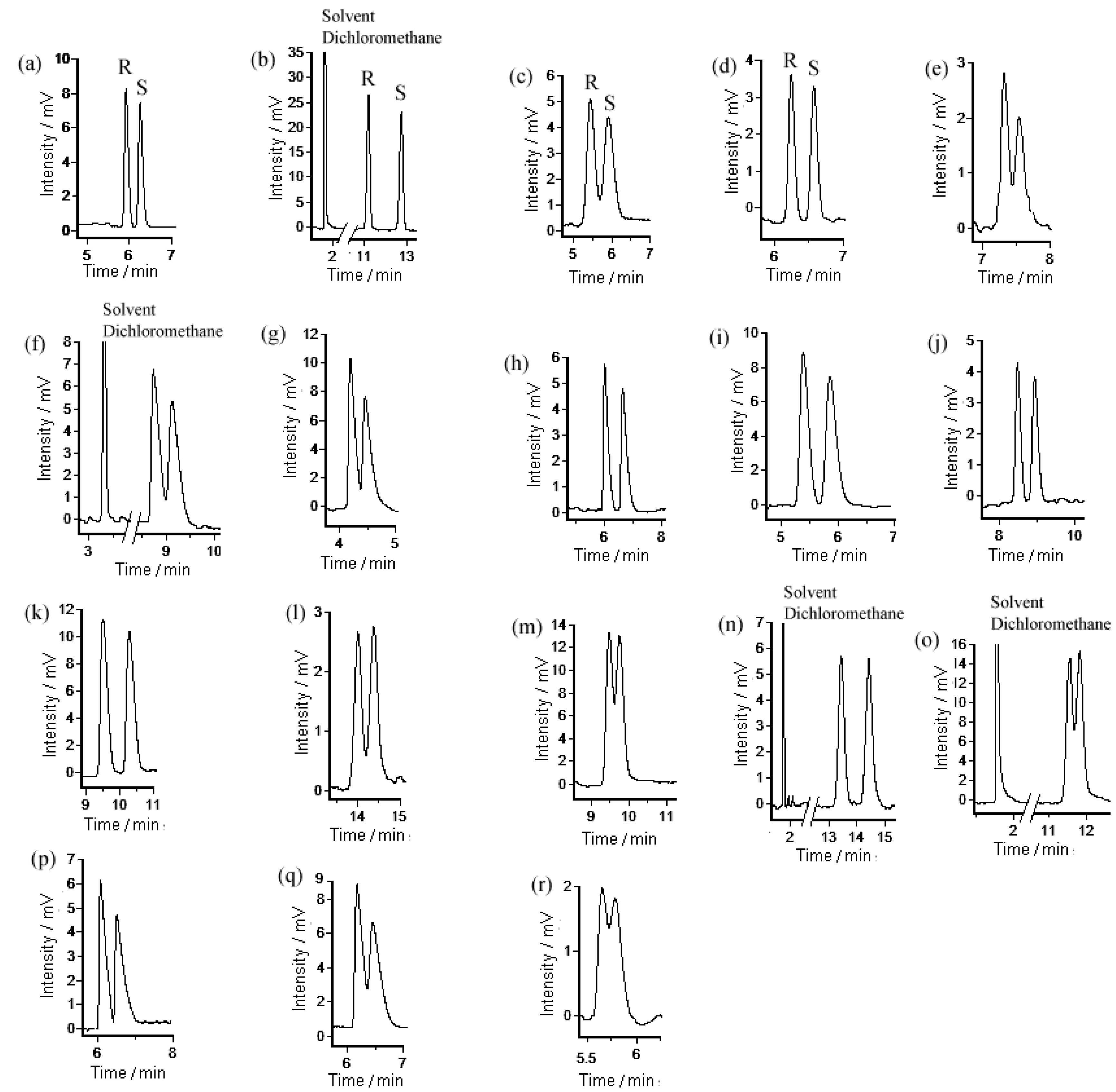
2.3. Separation of Enantiomers on the Pentyl Cage-Coated Capillary Column
2.4. The Reproducibility of the Pentyl Cage-Coated Capillary Column for Separation
3. Experimental Section
3.1. Reagents and Materials
3.2. Instrumentations
3.3. Synthesis of (S,S)-N,N’-bis(Salicylidene)-1,2-pentyl-1,2-diaminoethane
3.4. Synthesis of (S,S)-1,2-Pentyl-1,2-diaminoethane
3.5. Synthesis of Homochiral Pentyl Cage
3.6. Capillary Pretreatment and Preparation of the Pentyl Cage-Coated Capillary Column
4. Conclusions
Supplementary Materials
Acknowledgments
Author Contributions
Conflicts of Interest
Abbreviations
| HPLC | high performance liquid chromatography |
| GC | gas chromatography |
| SFC | supercritical fluid chromatography |
| TLC | thin layer chromatography |
| CEC | capillary electrochromatography |
| MOFs | metal-organic frameworks |
| POFs | porous organic frameworks |
| POCs | porous organic cages |
| FID | flame ionization detector |
| SEM | scanning electron microscopy |
| TGA | thermogravimetric analysis |
References
- Kumar, A.P.; Park, J.H. Zirconia-based stationary phases for chiral separation: Mini review. Anal. Lett. 2012, 45, 15–42. [Google Scholar] [CrossRef]
- Francotte, E.R. Enantioselective chromatography as a powerful alternative for the preparation of drug enantiomers. J. Chromatogr. A 2001, 906, 379–397. [Google Scholar] [CrossRef]
- Lee, G.R.; Hyun, M.H. Liquid chromatographic resolution of fendiline and its analogues on a chiral stationary phase based on (+)-(18-Crown-6)-2,3,11,12-tetracarboxylic Acid. Molecules 2014, 19, 21386–21397. [Google Scholar] [CrossRef] [PubMed]
- Zhang, X.L.; Wang, L.T.; Dong, S.Q.; Zhang, X.; Wu, Q.; Zhao, L.; Shi, Y.P. Nanocellulose derivative/silica hybrid core-shell chiral stationary phase: Preparation and enantioseparation performance. Molecules 2016, 21, 561. [Google Scholar] [CrossRef] [PubMed]
- Xie, S.M.; Zhang, Z.J.; Wang, Z.Y.; Yuan, L.M. Chiral metal-organic frameworks for high-resolution gas chromatographic separations. J. Am. Chem. Soc. 2011, 133, 11892–11895. [Google Scholar] [CrossRef] [PubMed]
- Xie, S.M.; Zhang, M.; Fei, Z.X.; Yuan, L.M. Experimental comparison of chiral metal-organic framework used as stationary phase in chromatography. J. Chromatogr. A 2014, 1363, 137–143. [Google Scholar] [CrossRef] [PubMed]
- Liu, H.; Xie, S.M.; Ai, P.; Zhang, J.H.; Zhang, M.; Yuan, L.M. Metal-organic framework Co(D-Cam)1/2(bdc)1/2(tmdpy) for improved enantioseparations on a chiral cyclodextrin stationary phase in gas chromatography. ChemPlusChem 2014, 79, 1103–1108. [Google Scholar] [CrossRef]
- Nuzhdin, A.L.; Dybtsev, D.N.; Bryliakov, K.P.; Talsi, E.P.; Fedin, V.P. Enantioselective chromatographic resolution and one-pot synthesis of enantiomerically pure sulfoxides over a homochiral Zn-organic framework. J. Am. Chem. Soc. 2007, 129, 12958–12959. [Google Scholar] [CrossRef] [PubMed]
- Tanaka, K.; Muraoka, T.; Hirayama, D.; Ohnish, A. Highly efficient chromatographic resolution of sulfoxides using a new homochiral MOF-silica composite. Chem. Commun. 2012, 48, 8577–8579. [Google Scholar] [CrossRef] [PubMed]
- Zhang, M.; Pu, Z.J.; Chen, X.L.; Gong, X.L.; Zhu, A.X.; Yuan, L.M. Chiral recognition of a 3D chiral nanoporous metal-organic framework. Chem. Commun. 2013, 49, 5201–5203. [Google Scholar] [CrossRef] [PubMed]
- Kuang, X.; Ma, Y.; Su, H.; Zhang, J.; Dong, Y.B.; Tang, B. High-performance liquid chromatographic enantioseparation of racemic drugs based on homochiral metal-organic framework. Anal. Chem. 2014, 86, 1277–1281. [Google Scholar] [CrossRef] [PubMed]
- Zhang, M.; Zhang, J.H.; Zhang, Y.; Wang, B.J.; Xie, S.M.; Yuan, L.M. Chromatographic study on the high performance separation ability of a homochiral [Cu2(D-Cam)2(4,4′-bpy)]n based-column by using racemates and positional isomers as test probes. J. Chromatogr. A 2014, 1325, 163–170. [Google Scholar] [CrossRef] [PubMed]
- Fei, Z.X.; Zhang, M.; Zhang, J.H.; Yuan, L.M. Chiral metal-organic framework used as stationary phases for capillary electrochromatography. Anal. Chim. Acta 2014, 830, 49–55. [Google Scholar] [CrossRef] [PubMed]
- Fei, Z.X.; Zhang, M.; Xie, S.M.; Yuan, L.M. Capillary electrochromatographic fast enantioseparation based on a chiral metal-organic framework. Electrophoresis 2014, 35, 3541–3548. [Google Scholar] [CrossRef] [PubMed]
- Qian, H.L.; Yang, C.X.; Yan, X.P. Bottom-up synthesis of chiral covalent organic frameworks and their bound capillaries for chiral separation. Nat. Commun. 2016. [Google Scholar] [CrossRef] [PubMed]
- Dong, J.Q.; Liu, Y.; Cui, Y. Chiral porous organic frameworks for asymmetric heterogeneous catalysis and gas chromatographic separation. Chem. Commun. 2014, 50, 14949–14952. [Google Scholar] [CrossRef] [PubMed]
- Zhang, J.H.; Xie, S.M.; Zhang, M.; Zi, M.; He, P.G.; Yuan, L.M. Novel inorganic mesoporous material with chiral nematic structure derived from nanocrystalline cellulose for high-resolution gas chromatographic separations. Anal. Chem. 2014, 86, 9595–9602. [Google Scholar] [CrossRef] [PubMed]
- Zhang, J.H.; Zhang, M.; Xie, S.M.; He, P.G.; Yuan, L.M. A novel inorganic mesoporous material with a nematic structure derived from nanocrystalline cellulose as the stationary phase for high performance liquid chromatography. Anal. Methods 2015, 7, 3448–3453. [Google Scholar] [CrossRef]
- Xie, S.M.; Yuan, L.M. Recent progress of chiral stationary phases for separation of enantiomers in gas chromatography. J. Sep. Sci. 2016. [Google Scholar] [CrossRef] [PubMed]
- Acharyya, K.; Mukherjee, S.; Mukherjee, P.S. Molecular marriage through partner preferences in covalent cage formation and cage-to-cage transformation. J. Am. Chem. Soc. 2013, 135, 554–557. [Google Scholar] [CrossRef] [PubMed]
- Zhang, G.; Mastalerz, M. Organic cage compounds-from shape-persistency to function. Chem. Soc. Rev. 2014, 43, 1934–1947. [Google Scholar] [CrossRef] [PubMed]
- Jin, Y.H.; Wang, Q.; Taynton, P.; Zhang, W. Dynamic covalent chemistry approaches toward macrocycles, molecular cages, and polymers. Acc. Chem. Res. 2014, 47, 1575–1586. [Google Scholar] [CrossRef] [PubMed]
- Klotzbach, S.; Beuerle, F. Shape-controlled synthesis and self-sorting of covalent organic cage compounds. Angew. Chem. Int. Ed. 2015, 54, 10356–10360. [Google Scholar] [CrossRef] [PubMed]
- Lee, S.; Yang, A.; Moneypenny, T.P., II; Moore, J.S. Kinetically trapped tetrahedral cages via alkyne metathesis. J. Am. Chem. Soc. 2016, 138, 2182–2185. [Google Scholar] [CrossRef] [PubMed]
- Skowronek, P.; Gawronski, J. Chiral iminospherand of a tetrahedral symmetry spontaneously assembled in a [6+4] cyclocondensation. Org. Lett. 2008, 10, 4755–4758. [Google Scholar] [CrossRef] [PubMed]
- Jones, J.T.A.; Hasell, T.; Wu, X.; Bacsa, J.; Jelfs, K.E.; Schmidtmann, M.; Chong, S.Y.; Adams, D.J.; Trewin, A.; Schiffman, F.; et al. Modular and predictable assembly of porous organic molecular crystals. Nature 2011, 474, 367–371. [Google Scholar] [CrossRef] [PubMed]
- Jelfs, K.E.; Wu, X.; Schmidtmann, M.; Jones, J.T.A.; Warren, J.E.; Adams, D.J.; Cooper, A.I. Large self-assembled chiral organic cages: Synthesis, structure, and shape persistence. Angew. Chem. Int. Ed. 2011, 50, 10653–10656. [Google Scholar] [CrossRef] [PubMed]
- Jelfs, K.E.; Eden, E.G.B.; Culshaw, J.L.; Shakespeare, S.; Pyzer-Knapp, E.O.; Thompson, H.P.G.; Bacsa, J.; Day, G.M.; Adams, D.J.; Cooper, A.I. In silico design of supramolecules from their precursors: Odd-even effects in cage-forming reactions. J. Am. Chem. Soc. 2013, 135, 9307–9310. [Google Scholar] [CrossRef] [PubMed]
- Hasell, T.; Culshaw, J.L.; Chong, S.Y.; Schmidtmann, M.; Little, M.A.; Jelfs, K.E.; Pyzer-Knapp, E.O.; Shepherd, H.; Adams, D.J.; Day, G.M.; et al. Controlling the crystallization of porous organic cages: Molecular analogs of isoreticular frameworks using shape-specific directing solvents. J. Am. Chem. Soc. 2014, 136, 1438–1448. [Google Scholar] [CrossRef] [PubMed]
- Mitra, T.; Jelfs, K.E.; Schmidtmann, M.; Ahmed, A.; Chong, S.Y.; Adams, D.J.; Cooper, A.I. Molecular shape sorting using molecular organic cages. Nat. Chem. 2013, 5, 276–281. [Google Scholar] [CrossRef] [PubMed]
- Chen, L.J.; Reiss, P.S.; Chong, S.Y.; Holden, D.; Jelfs, K.E.; Hasell, T.; Little, M.A.; Kewley, A.; Briggs, M.E.; Stephenson, A.; et al. Separation of rare gases and chiral molecules by selective binding in porous organic cages. Nat. Mater. 2014, 13, 954–960. [Google Scholar] [CrossRef] [PubMed]
- Yuan, L.M.; Zhang, J.H. A capillary Column Based on Chiral Porous Organic Cage for Separation of Optical Isomers. China Patent 201510050956.7, 2 February 2015. [Google Scholar]
- Kewley, A.; Stephenson, A.; Chen, L.J.; Briggs, M.E.; Hasell, T.; Cooper, A.I. Porous organic cages for gas chromatography separations. Chem. Mater. 2015, 27, 3207–3210. [Google Scholar] [CrossRef]
- Zhang, J.H.; Xie, S.M.; Chen, L.; Wang, B.J.; He, P.C.; Yuan, L.M. Homochiral porous organic cage with high selectivity for the separation of racemates in gas chromatography. Anal. Chem. 2015, 87, 7817–7824. [Google Scholar] [CrossRef] [PubMed]
- Xie, S.M.; Zhang, J.H.; Fu, N.; Wang, B.J.; Chen, L.; Yuan, L.M. A chiral porous organic cage for molecular recognition using gas chromatography. Anal. Chim. Acta 2016, 903, 156–163. [Google Scholar] [CrossRef] [PubMed]
- Zhang, J.H.; Xie, S.M.; Wang, B.J.; He, P.G.; Yuan, L.M. Highly selective separation of enantiomers using a chiral porous organic cage. J. Chromatogr. A 2015, 1426, 174–182. [Google Scholar] [CrossRef] [PubMed]
- Giri, N.; Davidson, C.E.; Melaugh, G.; Del Popolo, M.G.; Jones, J.T.A.; Hasell, T.; Cooper, A.I.; Horton, P.N.; Hursthouse, M.B.; James, S.L. Alkylated organic cages: From porous crystals to neat liquids. Chem. Sci. 2012, 3, 2153–2157. [Google Scholar] [CrossRef]
- Peng, J.L.; Zhang, Y.; Yang, X.H.; Qi, M.L. High-resolution separation performance of poly(caprolactone)diol for challenging isomers of xylenes, phenols and anilines by capillary gas chromatography. J. Chromatogr. A 2016, 1466, 148–154. [Google Scholar] [CrossRef] [PubMed]
- Yamamoto, C.; Yashima, E.; Okamoto, Y. Structural analysis of amylose tris(3, 5-dimethylphenylcarbamate) by NMR relevant to its chiral recognition mechanism in HPLC. J. Am. Chem. Soc. 2002, 124, 12583–12589. [Google Scholar] [CrossRef] [PubMed]
- Sample Availability: Samples of the compounds racemates and positional isomers are available from the authors.







| X′ | Y′ | Z′ | U′ | S′ | Av. |
|---|---|---|---|---|---|
| 37 | 185 | 102 | 203 | 126 | 130.6 |
| Isomers | T (°C) | Separation Factor (α) | Resolution (Rs) | ||
|---|---|---|---|---|---|
| α1 | α2 | Rs1 | Rs2 | ||
| Dichlorobenzene | 90 | 1.24 | 1.10 | 2.51 | 1.51 |
| Dibromobenzene | 110 | 1.23 | 1.12 | 2.83 | 1.57 |
| Nitrochlorobenzene | 115 | 1.14 | 1.67 | 2.91 | 9.59 |
| Nitrobromobenzene | 120 | 1.08 | 1.60 | 1.99 | 10.30 |
| Racemates | T (°C) | k1 | α | Rs | v [a] (cm∙s−1) |
|---|---|---|---|---|---|
| Styrene oxide | 110 | 3.24 | 1.07 | 1.59 | 10.8 |
| trans-Stilbene oxide | 178 | 5.76 | 1.15 | 4.94 | 11.9 |
| 1,2-Epoxybutane | 50 | 3.15 | 1.10 | 0.86 | 11.0 |
| 1,2-Epoxyhexane | 110 | 3.28 | 1.07 | 1.69 | 10.7 |
| 1-Bromo-2,3-epoxypropane | 85 | 4.24 | 1.03 | 0.94 | 10.8 |
| n-Butyl glycidyl ether | 95 | 1.63 | 1.05 | 0.84 | 12.5 |
| 1-Methoxy-2-hydroxypropane | 78 | 2.01 | 1.09 | 1.01 | 12.0 |
| 1-Methoxy-2-butanol | 82 | 3.30 | 1.14 | 1.57 | 12.3 |
| 3-Butyn-2-ol | 67 | 3.01 | 1.11 | 1.30 | 11.9 |
| 1-Phenylethanol | 120 | 5.06 | 1.06 | 1.56 | 11.8 |
| 1-Phenyl-1-propanol | 125 | 4.95 | 1.09 | 1.69 | 13.6 |
| 1-(4-Chlorophenyl)ethanol | 135 | 5.89 | 1.03 | 1.18 | 12.3 |
| 2-Phenyl-1-propanol | 130 | 5.77 | 1.03 | 0.57 | 13.0 |
| 1-Naphthylethanol | 175 | 6.57 | 1.08 | 2.20 | 10.2 |
| 1-(2-Naphthyl)ethanol | 175 | 6.50 | 1.03 | 0.58 | 11.4 |
| Methyl 3-hydroxybutyrate | 90 | 3.6 | 1.09 | 1.01 | 11.2 |
| Ethyl 3-hydroxybutyrate | 100 | 3.42 | 1.06 | 0.71 | 10.3 |
| γ-Valerolactone | 115 | 3.04 | 1.03 | 0.15 | 12.4 |
© 2016 by the authors. Licensee MDPI, Basel, Switzerland. This article is an open access article distributed under the terms and conditions of the Creative Commons Attribution (CC-BY) license ( http://creativecommons.org/licenses/by/4.0/).
Share and Cite
Xie, S.; Zhang, J.; Fu, N.; Wang, B.; Hu, C.; Yuan, L. Application of Homochiral Alkylated Organic Cages as Chiral Stationary Phases for Molecular Separations by Capillary Gas Chromatography. Molecules 2016, 21, 1466. https://doi.org/10.3390/molecules21111466
Xie S, Zhang J, Fu N, Wang B, Hu C, Yuan L. Application of Homochiral Alkylated Organic Cages as Chiral Stationary Phases for Molecular Separations by Capillary Gas Chromatography. Molecules. 2016; 21(11):1466. https://doi.org/10.3390/molecules21111466
Chicago/Turabian StyleXie, Shengming, Junhui Zhang, Nan Fu, Bangjin Wang, Cong Hu, and Liming Yuan. 2016. "Application of Homochiral Alkylated Organic Cages as Chiral Stationary Phases for Molecular Separations by Capillary Gas Chromatography" Molecules 21, no. 11: 1466. https://doi.org/10.3390/molecules21111466
APA StyleXie, S., Zhang, J., Fu, N., Wang, B., Hu, C., & Yuan, L. (2016). Application of Homochiral Alkylated Organic Cages as Chiral Stationary Phases for Molecular Separations by Capillary Gas Chromatography. Molecules, 21(11), 1466. https://doi.org/10.3390/molecules21111466

