Structural Stabilities and Transformation Mechanism of Rhynchophylline and Isorhynchophylline by Ultra Performance Liquid Chromatography/Time-of-Flight Mass Spectrometry (UPLC/Q-TOF-MS)
Abstract
:1. Introduction

2. Results and Discussion
2.1. HPLC Analysis
2.2. Effect of Time-Temperature on Rates and Equilibria

2.3. Kinetic Analysis
| Heating Temperature/°C | Rhynchophylline | Isorhynchophylline | ||||
|---|---|---|---|---|---|---|
| K/h−1 | r | t0.5/d | K/h−1 | r | t0.5/d | |
| 50 | 0.0009 | 0.9974 | 32.08 | 0.0003 | 0.9939 | 96.25 |
| 60 | 0.0037 | 0.9964 | 7.80 | 0.0012 | 0.9874 | 24.06 |
| 70 | 0.0078 | 0.9576 | 3.70 | 0.0025 | 0.9267 | 11.55 |
| 80 | 0.0172 | 0.9743 | 1.68 | 0.0050 | 0.9463 | 5.78 |
| 90 | 0.0356 | 0.9854 | 0.81 | 0.0093 | 0.9184 | 3.10 |
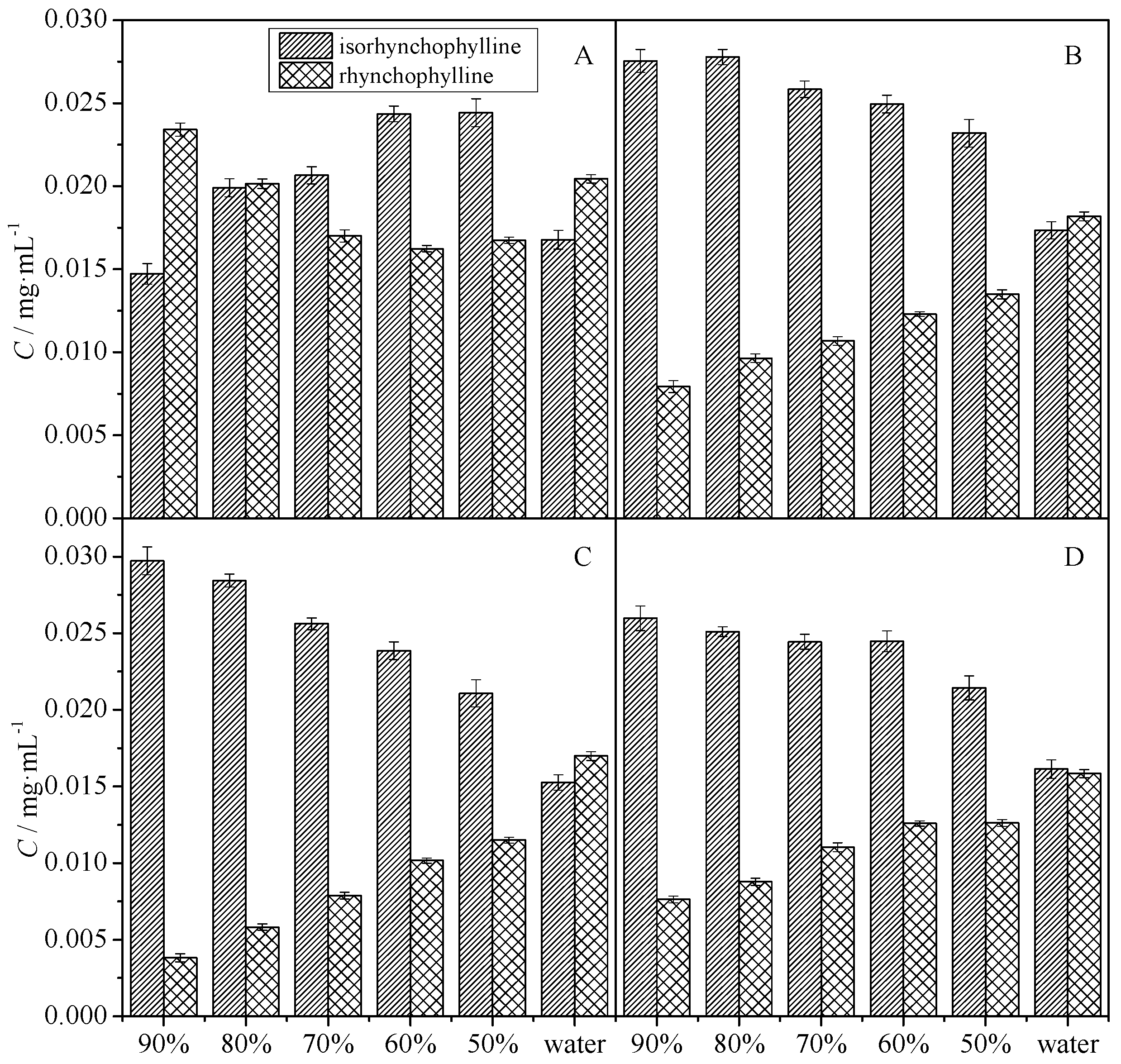
2.4. Effect of Solvent on Rates and Equilibria

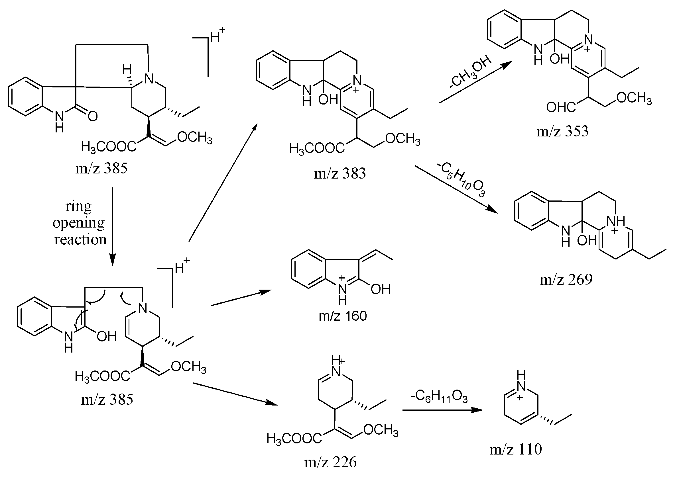
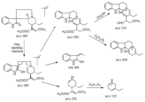
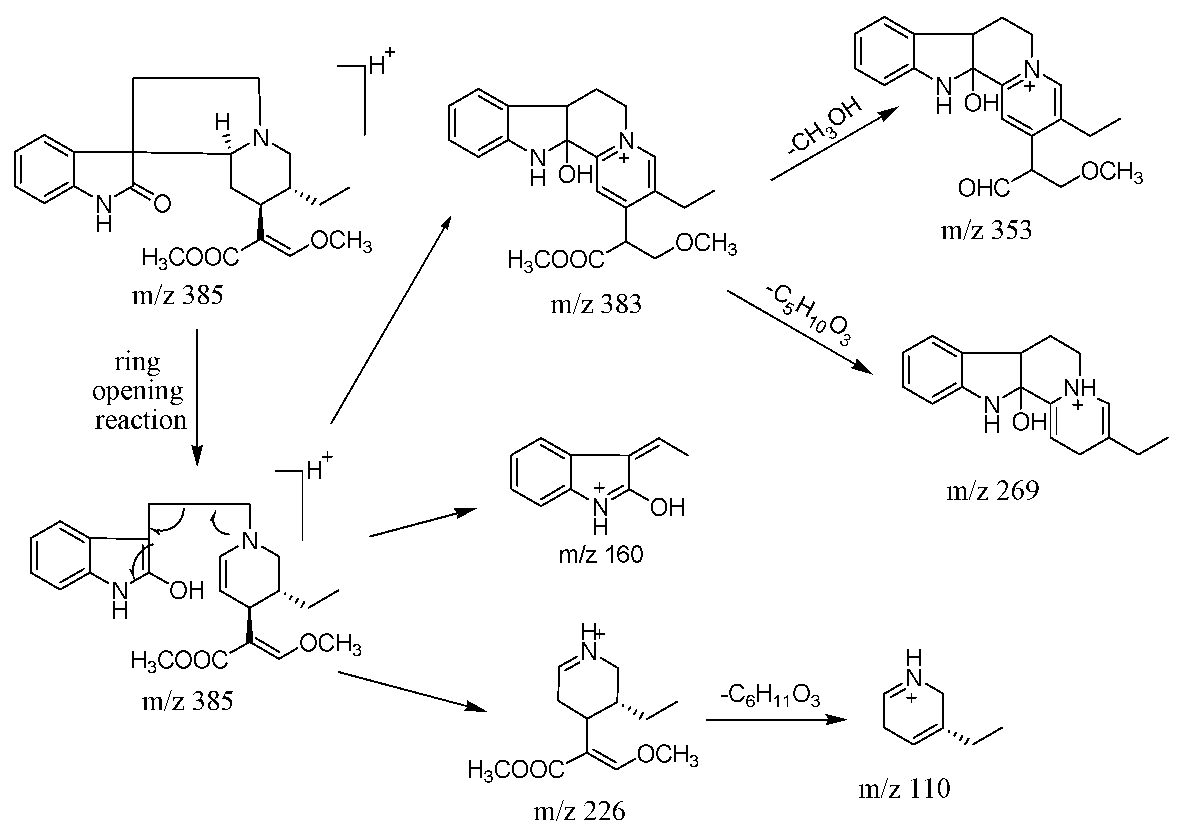
2.5. Transformation Mechanism Analysis
2.5.1. UPLC-Q-TOF-MS Conditions
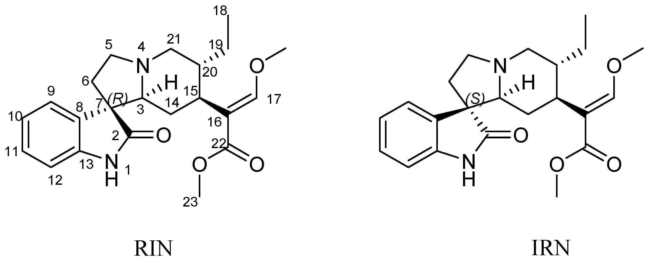
2.5.2. Diagnostic Fragmentation ions of RIN and IRN


| No. | Molecular Formula | [M + H]+/m/z | Error/ppm | Fragmentions/m/z | Identication |
|---|---|---|---|---|---|
| Peak 1 | C22H28N2O4 | 385.2116 | 1.95 | 385.2116, 353.1859, 269.1648, 160.0757, 110.0964 | RIN |
| Peak 2 | C22H28N2O4 | 385.2119 | 0.82 | 385.2119, 353.1858, 267.1490, 160.0756, 108.0808 | IRN |
| Peak 3 | C22H26N2O4 | 383.1956 | - | 383.1961, 353.1851, 269.1643, 160.0756, 110.0963 | - |

3. Experimental Section
3.1. Materials
3.2. Apparatus
3.3. Preparation of Rhynchophylline and Isorhynchophylline Solutions
3.4. HPLC Conditions
3.5. Calibration and Method Validation
| No. | Regression Equation | Linear Range/μg | R2 | Precision (%) | Repeatability/% | Stability/% | |
|---|---|---|---|---|---|---|---|
| Intra-Day | Inter-Day | ||||||
| RIN | y = 2748x − 14.327 | 0.0638–2.5500 | 0.9999 | 0.39 | 1.83 | 1.41% | 1.0% |
| IRN | y = 3448.3x − 14.773 | 0.0628–2.5100 | 0.9999 | 0.79 | 2.35 | 1.92% | 1.7% |
3.6. UPLC-Q-TOF-MS Conditions
3.7. Statistical Analysis
4. Conclusions
Supplementary Materials
Acknowledgments
Author Contributions
Conflicts of Interest
References
- The State Pharmacopoeia Commission of the People’s Republic of China. Pharmacopoeia of the People’s Republic of China; China Medical Science Press: Beijing, China, 2010; Volume I, p. 240. [Google Scholar]
- Ho, T.Y.; Tang, N.Y.; Hsiang, C.Y.; Hsieh, C.L. Uncaria rhynchophylla and rhynchophylline improved kainic acid-induced epileptic seizures via IL-1 beta and brain-derived neurotrophic factor. Phytomedicine 2014, 21, 893–900. [Google Scholar] [CrossRef] [PubMed]
- Fujiwara, H.; Iwasaki, K.; Furukawa, K.; Seki, T.; He, M.; Maruyama, M.; Tonita, N.; Kudo, Y.; Higuchi, M.; Saido, T.C.; et al. Uncaria rhynchophylla, a Chinese medicinal herb, has potent antiaggregation effects on Alzheimer’s beta-amyloid proteins. J. Neurosci. Res. 2006, 84, 427–433. [Google Scholar] [CrossRef] [PubMed]
- Guo, Q.Q.; Ma, X.J.; Wei, S.G.; Qiu, D.Y.; Wilson, I.W.; Wu, P.; Tang, Q.; Liu, L.J.; Dong, S.K.; Zu, W. De novo transcriptome sequencing and digital gene expression analysis predict biosynthetic pathway of rhynchophylline and isorhynchophylline from Uncaria rhynchophylla, a non-model plant with potent anti-Alzheimer’s properties. BMC Genom. 2014, 15. [Google Scholar] [CrossRef] [PubMed]
- Zhou, J.Y.; Zhou, S.W. Antihypertensive and neuroprotective activities of rhynchophylline: The role of rhynchophylline in neurotransmission and ion channel activity. J. Ethnopharmacol. 2010, 132, 15–27. [Google Scholar] [CrossRef] [PubMed]
- Kang, T.H.; Murakami, Y.; Matsumoto, K.; Takayama, H.; Kitajima, M.; Aimi, N.; Watanabe, H. Rhynchophylline and isorhynchophylline inhibit NMDA receptor expressed in Xenopus. oocytes. Eur. J. Pharmacol. 2002, 455, 27–34. [Google Scholar] [CrossRef]
- Li, J.K.; Liu, W.; Peng, Q.X.; Jiang, M.J.; Luo, C.H.; Guo, Y.L.; Liu, Y.; Fang, M.; Mo, Z.X. Effect of rhynchophylline on conditioned place preference on expression of NR2B in methamphetamine-dependent mice. Biochem. Biophys. Res. Commun. 2014, 452, 695–700. [Google Scholar] [CrossRef] [PubMed]
- Gerhard, L.; Dagmar, B.; Gilbert, S.; Klaus, W. Analysis of the kinetics of isomerization of spiro oxindole alkaloids. J. Chem. Soc. Perkin Trans. 1996, 2, 1931–1936. [Google Scholar]
- Zhang, H.F.; Zhang, X.; Yang, X.H.; Qiu, N.X.; Wang, Y.; Wang, Z.Z. Microwave assisted extraction of flavonoids from cultivated Epimedium sagittatum: Extraction yield and mechanism, antioxidant activity and chemical composition. Ind. Crop. Prod. 2013, 50, 857–865. [Google Scholar] [CrossRef]
- Song, Y.X.; Liu, S.P.; Jin, Z.; Qin, J.F.; Jiang, Z.Y. Qualitative and quantitative analysis of Andrographis paniculata by rapid resolution liquid chromatography/time-of-flight mass spectrometry. Molecules 2013, 18, 12192–12207. [Google Scholar] [CrossRef] [PubMed]
- Wang, Y.X.; Shi, Y.Y.; Xie, S.L.; Liu, W.Y.; Peng, F. Advances in research on analytical methods of indole alkaloids from Uncaria. Prog. Pharm. Sci. 2013, 37, 257–264. [Google Scholar]
- Xie, S.L.; Shi, Y.Y.; Wang, Y.X.; Wu, C.Y.; Liu, W.Y.; Feng, F.; Xie, N. Systematic identification and quantification of tetracyclic monoterpenoid oxindole alkaloids in Uncaria rhynchophylla and their fragmentations in Q-TOF-MS spectra. J. Pharm. Biomed. Anal. 2013, 81, 56–64. [Google Scholar] [CrossRef] [PubMed]
- Yang, X.J.; Hong, Y.L.; Wu, F.; Ruan, K.F.; Feng, Y. Determination of rhynchophylline and isorhynchophylline in Uncaria rhynchophylla by HPLC. China J. Chin. Mater. Med. 2013, 38, 720–724. [Google Scholar]
- Sample Availability: Samples of the rhynchophylline and isorhynchophylline are available from the authors.
© 2015 by the authors. Licensee MDPI, Basel, Switzerland. This article is an open access article distributed under the terms and conditions of the Creative Commons Attribution license ( http://creativecommons.org/licenses/by/4.0/).
Share and Cite
Wu, Z.-F.; Wang, Y.-Q.; Wan, N.; Ke, G.; Yue, P.-F.; Chen, H.; Zhan, J.-J.; Yang, M. Structural Stabilities and Transformation Mechanism of Rhynchophylline and Isorhynchophylline by Ultra Performance Liquid Chromatography/Time-of-Flight Mass Spectrometry (UPLC/Q-TOF-MS). Molecules 2015, 20, 14849-14859. https://doi.org/10.3390/molecules200814849
Wu Z-F, Wang Y-Q, Wan N, Ke G, Yue P-F, Chen H, Zhan J-J, Yang M. Structural Stabilities and Transformation Mechanism of Rhynchophylline and Isorhynchophylline by Ultra Performance Liquid Chromatography/Time-of-Flight Mass Spectrometry (UPLC/Q-TOF-MS). Molecules. 2015; 20(8):14849-14859. https://doi.org/10.3390/molecules200814849
Chicago/Turabian StyleWu, Zhen-Feng, Ya-Qi Wang, Na Wan, Gang Ke, Peng-Fei Yue, Hao Chen, Juan-Juan Zhan, and Ming Yang. 2015. "Structural Stabilities and Transformation Mechanism of Rhynchophylline and Isorhynchophylline by Ultra Performance Liquid Chromatography/Time-of-Flight Mass Spectrometry (UPLC/Q-TOF-MS)" Molecules 20, no. 8: 14849-14859. https://doi.org/10.3390/molecules200814849
APA StyleWu, Z.-F., Wang, Y.-Q., Wan, N., Ke, G., Yue, P.-F., Chen, H., Zhan, J.-J., & Yang, M. (2015). Structural Stabilities and Transformation Mechanism of Rhynchophylline and Isorhynchophylline by Ultra Performance Liquid Chromatography/Time-of-Flight Mass Spectrometry (UPLC/Q-TOF-MS). Molecules, 20(8), 14849-14859. https://doi.org/10.3390/molecules200814849
