Methanolic Extracts from Brown Seaweeds Dictyota cilliolata and Dictyota menstrualis Induce Apoptosis in Human Cervical Adenocarcinoma HeLa Cells
Abstract
:1. Introduction
2. Results and Discussion
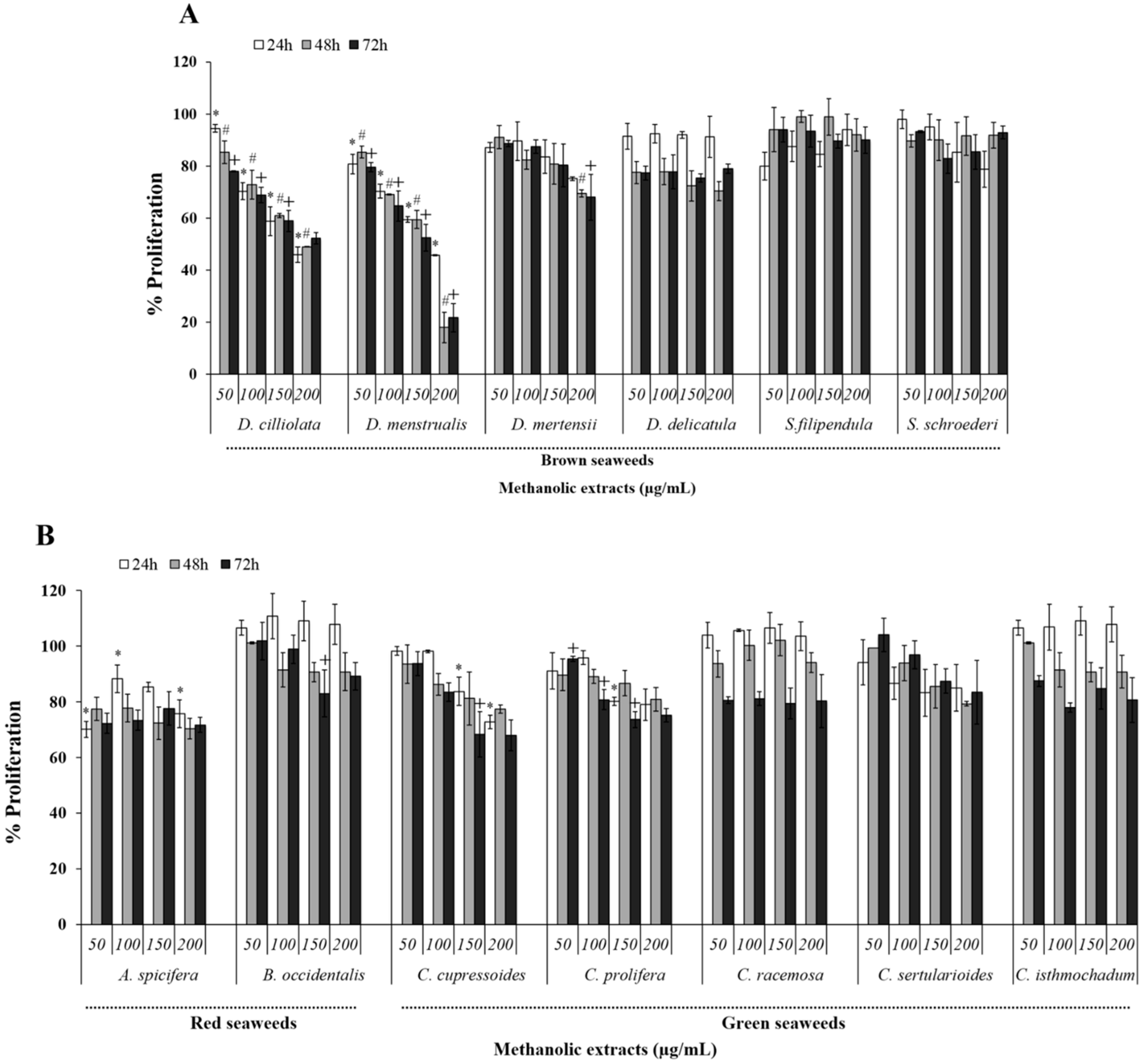
2.1. Cytotoxicity Effect

| Seaweeds | Sugar | Phenolic Compounds | 
|---|---|---|
| Green | 0.5161 | 0.3462 | 
| Brown | 0.4321 | 0.3712 | 


2.2. Changes in Nuclear Morphology

2.3. MEDC and MEDM Effect for Labeling Cells with Propidium Iodide and Annexin V

2.4. MEDC and MEDM Treatment-Induced Apoptosis Require Activation of Caspases in HeLa Cells

2.5. Cell Cycle Arrest


3. Experimental Section
3.1. Materials
3.2. Preparation of the Seaweed Extracts
3.3. Chemical Analyses
3.4. Cell Culture and Maintenance
3.5. Cytotoxicity Activity
3.6. Nuclear Morphology
3.7. Annexin V-FITC/PI Double Staining and Analysis by Flow Citometry
3.8. Caspase-3 and -9 Activity Assay
3.9. Cell Cycle Analysis
3.10. Statistics Analysis
4. Conclusions
Acknowledgments
Author Contributions
Conflicts of Interest
References
- Costa, L.S.; Telles, C.B.; Oliveira, R.M.L.; Nobre, T.; Dantas-Santos, N.; Camara, R.B.; Costa, M.S.; Almeida-Lima, J.; Melo-Silveira, R.F.; Albuquerque, I.R.; et al. Heterofucan from Sargassum filipendula induces apoptosis in HeLa cells. Mar. Drugs 2011, 9, 603–614. [Google Scholar] [CrossRef]
- Lee, M.K.; Hung, T.M.; Cuong, T.D.; Na, M.; Kim, J.C.; Kim, E.J.; Park, H.S.; Choi, J.S.; Lee, I.; Bae, K.; et al. Ergosta-7,22-diene-2β,3α,9α-triol from the fruit bodies of Ganodermalucidum induces apoptosis inhuman myelocytic HL-60 cells. Phytother. Res. 2011, 25, 1579–1585. [Google Scholar] [CrossRef] [PubMed]
- Zhang, H.; Gajate, C.; Yu, L.-P.; Fang, Y.-X.; Mollinedo, F. Mitochondrialderived ROS in edelfosine-induced apoptosis in yeasts and tumor cells. Acta Pharmacol. Sin. 2007, 28, 888–894. [Google Scholar] [CrossRef] [PubMed]
- Jiang, Y.H.; Jiang, X.L.; Wang, P.; Hu, X.K. In vitro antioxidant activities of water soluble polysaccharides extracted from Isariafarinosa B05. J. Food Biochem. 2005, 29, 323–335. [Google Scholar] [CrossRef]
- Kim, S.-K.; Wijesekara, I. Development and biological activities of marine-derived bioactive peptides: A review. J. Funct. Foods 2010, 2, 1–9. [Google Scholar] [CrossRef]
- Funahashi, H.; Imai, T.; Mase, T.; Sekiya, M.; Yokoi, K.; Hayashi, H.; Shibata, A.; Hayashi, T.; Nishikawa, M.; Suda, N.; et al. Seaweed prevents breast cancer? Jpn. J. Cancer Res. 2001, 92, 483–487. [Google Scholar] [CrossRef] [PubMed]
- Higashi-Okai, K.; Otani, S.; Okai, Y. Potent suppressive effect of a Japanese edible seaweed, Enteromorphaprolifera (Sujiao-nori) on initiation and promotion phases of chemically induced mouse skin tumorigenesis. Cancer Lett. 1999, 140, 21–25. [Google Scholar] [CrossRef] [PubMed]
- Lee, E.J.; Sung, M.K. Chemoprevention of azoxymethane induced rat colon carcinogenesis by seatangle, a fiber-rich seaweed. Plant Foods Hum. Nutr. 2003, 58, 1–8. [Google Scholar] [CrossRef] [PubMed]
- Carper, J. Seaweed or kelp. In The Food Pharmacy; Bantam Book: New York, NY, USA, 1989; pp. 264–268. [Google Scholar]
- Bae, S.J.; Choi, Y.H. Methanol extract of the seaweed Gloiopeltisfurcata induces G2/M arrest and inhibits cyclooxygenase-2 activity in human hepatocarcinoma HepG2 cells. Phytother. Res. 2007, 21, 52–57. [Google Scholar] [CrossRef] [PubMed]
- Magalhaes, K.D.; Costa, L.S.; Fidelis, G.P.; Oliveira, R.M.; Nobre, L.T.; Dantas-Santos, N.; Camara, R.B.; Albuquerque, I.R.; Cordeiro, S.L.; Sabry, D.A.; et al. Anticoagulant, antioxidant and antitumor activities of heterofucans from the seaweed Dictyopteris delicatula. Int. J. Mol. Sci. 2011, 12, 3352–3365. [Google Scholar] [CrossRef] [PubMed]
- Costa, L.S.; Fidelis, G.P.; Cordeiro, S.L.; Oliveira, R.M.; Sabry, D.A.; Câmara, R.B.; Nobre, L.T.; Costa, M.S.; Almeida-Lima, J.; Farias, E.H.; et al. Biological activities of sulfated polysaccharides from tropical seaweeds. Biomed. Pharmacother. 2010, 64, 21–28. [Google Scholar] [CrossRef] [PubMed]
- Hwang, H.; Chen, T.; Nines, R.G.; Shin, H.C.; Stoner, G.D. Photochemoprevention of UVB-induced skin carcinogenesis in SKH-1 mice by brown algae polyphenols. Int. J. Cancer 2006, 119, 2742–2749. [Google Scholar] [CrossRef] [PubMed]
- Cragg, G.M.; Newman, D.J. Plants as a source of anti-cancer agents. J. Ethnopharmacol. 2005, 100, 72–79. [Google Scholar] [CrossRef] [PubMed]
- Vidotti, E.C.; Rollemberg, M.C.E. Algas: da economia nos ambientes aquáticos à biorremediação e à química analítica. Quím Nova 2004, 27, 139–145. [Google Scholar] [CrossRef]
- Vinayak, R.; Puttananjaiah, S.; Chatterji, A.; Salimath, B. Anti-proliferative and angio-suppressive effect of Stoechospermum marginatum (C. Agardh) Kutzing extract using various experimental models. Nutr. Res. Pract. 2014, 8, 377–385. [Google Scholar] [CrossRef] [PubMed]
- Narasimhan, M.K.; Pavithra, S.K.; Krishnan, V.; Chandrasekaran, M. Jundishapur in vitro analysis of antioxidant, antimicrobial and antiproliferative activity of Enteromorpha antenna, Enteromorpha linza and Gracilaria corticata extracts. J. Nat. Pharm. Prod. 2013, 8, 151–159. [Google Scholar]
- Anastyuk, S.D.; Shevchenko, N.M.; Ermakova, S.P.; Vishchuk, O.S.; Nazarenko, E.L.; Dmitrenok, P.S.; Zvyagintseva, T.N. Anticancer activity in vitro of a fucoidan from the brown alga Fucusevanescens and its low-molecular fragments, structurally characterized by tandem mass-spectrometry. Carbohydr Polym. 2012, 87, 86–194. [Google Scholar] [CrossRef]
- Namvar, F.; Mohamed, S.; Fard, S.G.; Behravan, J.; Mustapha, N.M.; Alitheen, N.B.; Othman, F. Polyphenol-rich seaweed (Eucheumacottonii) extract suppresses breast tumour via hormone modulation and apoptosis induction. Food Chem. 2012, 130, 376–382. [Google Scholar] [CrossRef]
- Thomas, N.V.; Kim, S.K. Potential pharmacological applications of polyphenolic derivatives from marine brown algae. Environ. Toxicol. Pharmacol. 2011, 32, 325–335. [Google Scholar] [CrossRef] [PubMed]
- Yuan, Y.V.; Walsh, N.A. Antioxidant and antiproliferative activities of extracts from a variety of edible seaweeds. Food Chem. Toxicol. 2006, 44, 1144–1150. [Google Scholar] [CrossRef] [PubMed]
- Stone, S.C.; Rossetti, R.A.M.; Lima, A.M.; Lepique, A.P. HPV associated tumor cells control tumor microenvironmentand leukocytosis in experimental models. Immun. Inflam. Dis. 2014, 2, 63–75. [Google Scholar] [CrossRef]
- Zhu, J.; Li, Y.; Guan, C.; Chen, Z. Anti-proliferative and pro-apoptotic effects of 3,3'-diindolylmethane in human cervical cancer cells. Oncol. Rep. 2012, 28, 1063–1068. [Google Scholar] [PubMed]
- Wang, H.; Zhang, Y.; Jiang, K. Enhancement of photodynamic therapy sensitivity by cisplatin in human cervical carcinoma cell lines. J. Xian Jiaotong Univ. Med. Sci. 2010, 31, 625–630. [Google Scholar]
- Doonan, F.; Cotter, T.G. Morphological assessment of apoptosis. Methods 2008, 44, 200–204. [Google Scholar] [CrossRef] [PubMed]
- Kwon, M.-J.; Nam, T.-J. A polysaccharide of the marine alga Caposiphonfulvescens induces apoptosis in AGS gastric cancer cells via an IGF-IR mediated PI3K/Akt pathway. Cell Biol. Int. 2007, 31, 768–775. [Google Scholar] [CrossRef] [PubMed]
- Aisa, Y.; Miyakawa, Y.; Nakazato, T.; Shibata, H.; Saito, K.; Ikeda, Y.; Kizaki, M. Fucoidan induces apoptosis of human HS-Sultan cells accompanied by activation of caspase-3 and down-regulation of ERK pathways. Am. J. Hematol. 2005, 78, 7–14. [Google Scholar] [CrossRef] [PubMed]
- Teruya, T.; Konishi, T.; Uechi, S.; Tamaki, H.; Tako, M. Anti-proliferative activity of oversulfatedfucoidan from commercially cultured Cladosiphonokamuranus TOKIDA in U937 cells. Int. J. Biol. Macromol. 2007, 41, 221–226. [Google Scholar] [CrossRef] [PubMed]
- Costa, L.S.; Fidelis, G.P.; Telles, C.B.S.; Dantas-Santos, N.; Camara, R.B.G.; Cordeiro, S.L.; Costa, M.S.S.P.; Almeida-Lima, J.; Melo-Silveira, R.F.; Oliveira, R.M.; et al. Antioxidant and antiproliferative activities of heterofucans from the seaweed Sargassum filipendula. Mar. Drugs 2011, 9, 952–966. [Google Scholar] [CrossRef] [PubMed]
- Abraham, R.T. Cell cycle checkpoint signaling through the ATM and ATR kinases. Genes Dev. 2001, 15, 2177–2196. [Google Scholar] [CrossRef] [PubMed]
- Cheng, Y.L.; Change, W.L.; Lee, S.C.; Liu, Y.G.; Chen, C.J.; Lin, S.Z.; Tsai, N.M.; Yu, D.S.; Yen, C.Y.; Harn, H.J. Acetone extract of Angelica sinensis inhibits proliferation of human cancer cells via inducing cell cycle arrest and apoptosis. Life Sci. 2004, 75, 1579–1594. [Google Scholar] [CrossRef] [PubMed]
- Du, J.; Miao, C.; Zhang, X.; Jeong, I.H.; Son, E.M.; You, S.; Lee, B.J.; Kim, D.K. Antiproliferation of HeLa cells by 3,4,5-trihydroxy-N-[2-p-tolylethyl]-benzamide is associated with induction of DNA damage and inhibition of DNA replication. Toxicol. In Vitro 2011, 25, 1535–1541. [Google Scholar] [CrossRef] [PubMed]
- Dubois, M.; Gilles, K.A.; Hamilton, J.K.; Rebers, P.A.; Smith, F. Colorimetric method for determination of sugars and related substances. Anal. Chem. 1956, 28, 350–356. [Google Scholar] [CrossRef]
- Athukorala, Y.; Kim, K.N.; Jeon, Y.J. Antiproliferative and antioxidant properties of an enzymatic hydrolysate from brown alga, Ecklonia cava. Food Chem. Toxicol. 2006, 44, 1065–1074. [Google Scholar] [PubMed]
- Almeida-Lima, J.; Costa, L.S.; Silva, N.B.; Silveira, R.F.; Silva, F.V.; Felipe, M.B.M.C.; Batistuzzo, S.R.; Leite, E.L.; Rocha, H.A.O. Evaluating the possible genotoxic, mutagenic and tumor cell proliferation-inhibition effects of a non-anticoagulant, but antithrombotic algal heterofucan. J. Appl. Toxicol. 2010, 30, 708–715. [Google Scholar] [CrossRef]
- Mossmann, T. Rapid colorimetric assay for cellular growth and survival: Application to proliferation and cytotoxicity assays. J. Immunol. Methods 1983, 65, 55–63. [Google Scholar] [CrossRef] [PubMed]
- Spector, T. Refinement of the coomassie blue method of protein quantification. Anal. Biochem. 1978, 86, 142–146. [Google Scholar] [CrossRef] [PubMed]
- Sample Availability: Samples of the compounds are available from the authors.
© 2015 by the authors. Licensee MDPI, Basel, Switzerland. This article is an open access article distributed under the terms and conditions of the Creative Commons Attribution license ( http://creativecommons.org/licenses/by/4.0/).
Share and Cite
Gomes, D.L.; Telles, C.B.S.; Costa, M.S.S.P.; Almeida-Lima, J.; Costa, L.S.; Keesen, T.S.L.; Rocha, H.A.O. Methanolic Extracts from Brown Seaweeds Dictyota cilliolata and Dictyota menstrualis Induce Apoptosis in Human Cervical Adenocarcinoma HeLa Cells. Molecules 2015, 20, 6573-6591. https://doi.org/10.3390/molecules20046573
Gomes DL, Telles CBS, Costa MSSP, Almeida-Lima J, Costa LS, Keesen TSL, Rocha HAO. Methanolic Extracts from Brown Seaweeds Dictyota cilliolata and Dictyota menstrualis Induce Apoptosis in Human Cervical Adenocarcinoma HeLa Cells. Molecules. 2015; 20(4):6573-6591. https://doi.org/10.3390/molecules20046573
Chicago/Turabian StyleGomes, Dayanne Lopes, Cinthia Beatrice Silva Telles, Mariana Santana Santos Pereira Costa, Jailma Almeida-Lima, Leandro Silva Costa, Tatjana Souza Lima Keesen, and Hugo Alexandre Oliveira Rocha. 2015. "Methanolic Extracts from Brown Seaweeds Dictyota cilliolata and Dictyota menstrualis Induce Apoptosis in Human Cervical Adenocarcinoma HeLa Cells" Molecules 20, no. 4: 6573-6591. https://doi.org/10.3390/molecules20046573
APA StyleGomes, D. L., Telles, C. B. S., Costa, M. S. S. P., Almeida-Lima, J., Costa, L. S., Keesen, T. S. L., & Rocha, H. A. O. (2015). Methanolic Extracts from Brown Seaweeds Dictyota cilliolata and Dictyota menstrualis Induce Apoptosis in Human Cervical Adenocarcinoma HeLa Cells. Molecules, 20(4), 6573-6591. https://doi.org/10.3390/molecules20046573
 
         
                                                


 
       