Design, Synthesis and Bioactivities of Novel Dichloro-Allyloxy-Phenol-Containing Pyrazole Oxime Derivatives
Abstract
:1. Introduction

2. Results and Discussion
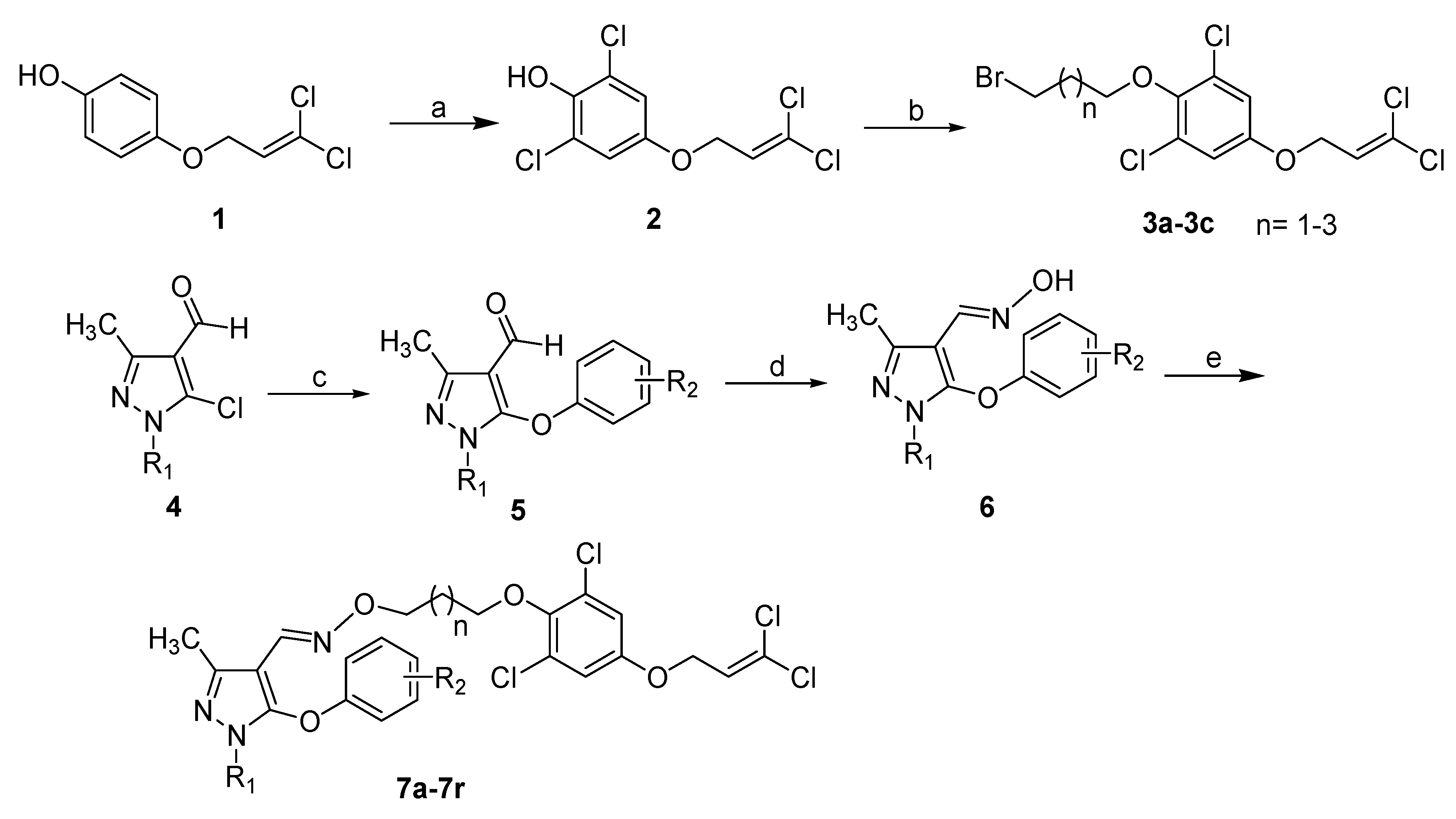
2.1. Chemistry
2.2. Biological Activities

| Compd. | n | R1 | R2 | Oriental armyworm | Aphis craccivora | Tetranychus cinnabarinus | |||
|---|---|---|---|---|---|---|---|---|---|
| 500 μg/mL | 100 μg/mL | 20 μg/mL | 500 μg/mL | 100 μg/mL | 500 μg/mL | ||||
| 7a | 1 | CH3 | 4-OCH3 | 100 | 100 | 0 | 0 | — | 0 |
| 7b | 1 | CH3 | 4-CH3 | 100 | 100 | 0 | 0 | — | 0 |
| 7c | 1 | CH3 | 4-OCF3 | 80 | 50 | 0 | 0 | — | 0 |
| 7d | 1 | CH3 | 2-F | 100 | 0 | — | 0 | — | 0 |
| 7e | 1 | CH3 | 3-F | 100 | 40 | 0 | 0 | — | 0 |
| 7f | 1 | CH3 | 4-F | 100 | 100 | 100 | 0 | — | 0 |
| 7g | 1 | CH3 | 2-Cl | 100 | 0 | — | 20 | — | 0 |
| 7h | 1 | CH3 | 4-Cl | 100 | 0 | — | 0 | — | 0 |
| 7i | 1 | CH3 | 4-Br | 0 | — | — | 0 | — | 0 |
| 7j | 1 | CH3 | 4-I | 80 | 0 | — | 0 | — | 0 |
| 7k | 1 | CH3 | 3-NO2 | 100 | 100 | 0 | 20 | — | 0 |
| 7l | 1 | CH3 | 3-CF3 | 80 | 0 | — | 0 | — | 0 |
| 7m | 1 | CH3 | 2,4-Cl2 | 70 | — | — | 0 | — | 0 |
| 7n | 2 | CH3 | 2-F | 100 | 100 | 90 | 0 | — | 0 |
| 7o | 2 | CH3 | 4-F | 100 | 100 | 60 | 0 | — | 0 |
| 7p | 2 | CH3 | 2,4-F2 | 100 | 100 | 90 | 0 | — | 0 |
| 7q | 3 | CH3 | 4-F | 100 | 100 | 50 | 70 | 20 | 0 |
| 7r | 3 | C6H5 | 4-F | — | — | — | 0 | — | 0 |
| Pyridalyl | 100 | 100 | 100 | — | — | — | |||
| Imidacloprid | — | — | — | 100 | 100 | — | |||
| Fenpyroximate | — | — | — | — | — | 100 | |||
3. Experimental Section
3.1. Chemistry
3.1.1. General Procedures
3.1.2. General Procedure for the Preparation of 3a–3c
3.1.3. General Procedure for the Preparation of 6a–6r
3.1.4. General Procedure for the Preparation of 7a–7r
3.2. Biological Tests
3.2.1. Bioassay Methods
3.2.2. Acaricidal Activity against Tetranychus cinnabarinus
3.2.3. Larvicidal Activity against Oriental Armyworm
3.2.4. Insecticidal Activity against Aphis craccivora
4. Conclusions
Supplementary Materials
Acknowledgments
Author Contributions
Conflicts of Interest
References
- Li, Y.; Zhang, H.Q.; Liu, J.; Yang, X.P.; Liu, Z.J. Stereoselective synthesis and antifungal activities of (E)-α-(methoxyimino)benzeneacetate derivatives containing 1,3,5-substituted pyrazole ring. J. Agric. Food Chem. 2006, 54, 3636–3640. [Google Scholar] [CrossRef] [PubMed]
- Zhao, P.L.; Wang, L.; Zhu, X.L.; Huang, X.Q.; Zhan, C.G.; Wu, J.W.; Yang, G.F. Subnanomolar inhibitor of cytochrome bc1 complex designed by optimizing interaction with conformationally flexible residues. J. Am. Chem. Soc. 2010, 132, 185–194. [Google Scholar] [CrossRef] [PubMed]
- Chen, L.; Ou, X.M.; Mao, C.H.; Shang, J.; Huang, R.Q.; Bi, F.C.; Wang, Q.M. Synthesis and bioassay evaluation of 1-(4-substituteddidene-aminooxymethyl)-phenyl-3-(2,6-difluorobenzoyl)ureas. Bioorg. Med. Chem. 2007, 15, 3678–3683. [Google Scholar] [CrossRef] [PubMed]
- Dai, H.; Li, Y.Q.; Du, D.; Qin, X.; Zhang, X.; Yu, H.B.; Fang, J.X. Synthesis and biological activities of novel pyrazole oxime derivatives containing a 2-chloro-5-thiazolyl moiety. J. Agric. Food Chem. 2008, 56, 10805–10810. [Google Scholar] [CrossRef] [PubMed]
- Shi, Y.J.; Wang, S.L.; He, H.B.; Li, Y.; Li, Y.; Fang, Y.; Dai, H. Synthesis and bioactivity of novel pyrazole oxime ester derivatives containing furan moiety. Chin. J. Org. Chem. 2015, 35, 1785–1791. [Google Scholar] [CrossRef]
- Dai, H.; Xiao, Y.S.; Li, Z.; Xu, X.Y.; Qian, X.H. The thiazoylmethoxy modification on pyrazole oximes: Synthesis and insecticidal biological evaluation beyond acaricidal activity. Chin. Chem. Lett. 2014, 25, 1014–1016. [Google Scholar] [CrossRef]
- Ouyang, G.P.; Cai, X.J.; Chen, Z.; Song, B.A.; Bhadury, P.S.; Yang, S.; Jin, L.H.; Xue, W.; Hu, D.Y.; Zeng, S. Synthesis and antiviral activities of pyrazole derivatives containing an oxime moiety. J. Agric. Food Chem. 2008, 56, 10160–10167. [Google Scholar] [CrossRef] [PubMed]
- Swanson, M.B.; Ivancic, W.A.; Saxena, A.M.; Allton, J.D.; O’Brien, G.K.; Suzuki, T.; Nishizawa, H.; Nokata, M. Direct photolysis of Fenpyroximate in a buffered aqueous solution under a xenon lamp. J. Agric. Food Chem. 1995, 43, 513–518. [Google Scholar] [CrossRef]
- Fu, C.R.; Pei, J.; Ning, Y.; Liu, M.; Shan, P.C.; Liu, J.; Li, Y.Q.; Hu, F.Z.; Zhu, Y.Q.; Yang, H.Z.; et al. Synthesis and insecticidal activities of novel pyrazole oxime ether derivatives with different substituted pyridyl rings. Pest Manag. Sci. 2014, 70, 1207–1214. [Google Scholar] [CrossRef] [PubMed]
- Yang, Y.Z.; Lin, D.Y.; Fu, C.R.; Zou, X.M. Synthesis and biological evaluation of novel pyrazole oxime ether derivatives containing chlorothiazole group and pyrimidine rings. Chin. J. Org. Chem. 2015, 35, 100–108. [Google Scholar] [CrossRef]
- Wang, S.L.; Shi, Y.J.; He, H.B.; Li, Y.; Li, Y.; Dai, H. Synthesis and bioactivity of novel pyrazole oxime derivatives containing oxazole ring. Chin. Chem. Lett. 2015, 26, 672–674. [Google Scholar] [CrossRef]
- Sakamoto, N.; Saito, S.; Hirose, T.; Suzuki, M.; Matsuo, S.; Izumi, K.; Nagatomi, T.; IKegami, H.; Umeda, K.; Tsushima, K.; et al. The discovery of pyridalyl: A novel insecticidal agent for controlling lepidopterous pests. Pest Manag. Sci. 2003, 60, 25–34. [Google Scholar] [CrossRef] [PubMed]
- Saito, S.; Isayama, S.; Sakamoto, N.; Umeda, K. Insecticidal activity of pyridalyl: Acute and sub-acute symptoms in Spodoptera litura larvae. J. Pestic. Sci. 2004, 29, 372–375. [Google Scholar] [CrossRef]
- Isayama, S.; Saito, S.; Kuroda, K.; Umeda, K.; Kasamatsu, K. Pyridalyl, a novel insecticide potency and insecticidal selectivity. Arch. Insect Biochem. Physiol. 2005, 58, 226–233. [Google Scholar] [CrossRef] [PubMed]
- Powell, G.F.; Ward, D.A.; Prescott, M.C.; Spiller, D.G.; White, M.R.H.; Earley, F.G.P. The molecular action of the novel insecticide, pyridalyl. Insect Biochem. Mol. Biol. 2011, 41, 459–469. [Google Scholar] [CrossRef] [PubMed]
- Tian, H.K.; Shi, F.X.; Liu, T.; Ni, J.P.; Ma, H.J.; Yang, C.L. Synthesis and insecticidal activity of dichloropropene derivatives containing a coumarin group. Chin. J. Pestic. Sci. 2009, 11, 421–426. [Google Scholar]
- Wu, T.W.; Ma, H.J.; Tian, H.K.; Ni, J.P.; Yun, Z. Synthesis and insecticidal activity of 3-[2,6-dichloro-4-(3,3-dichloroallyloxy)phenoxy]propyl pyrazole-5-carboxylate derivatives. Chin. J. Org. Chem. 2010, 30, 713–718. [Google Scholar]
- Guan, A.Y.; Qin, Y.K.; Wang, J.F.; Li, B. Synthesis and insecticidal activity of novel dihalopropene derivatives containing benzoxazole moiety: A structure-activity relationship study. J. Fluor. Chem. 2013, 156, 120–123. [Google Scholar] [CrossRef]
- Li, M.; Liu, C.L.; Zhang, J.; Wu, Q.; Hao, S.L.; Song, Y.Q. Design, synthesis, and structure-activity relationship of novel insecticidal dichloro-allyloxy-phenol derivatives containing substituted pyrazol-3-ols. Pest Manag. Sci. 2013, 69, 635–641. [Google Scholar] [CrossRef] [PubMed]
- Feng, M.L.; Li, Y.F.; Zhu, H.J.; Ni, J.P.; Xi, B.B. Design, synthesis, insecticidal activity and structure-activity relationship of 3,3-dichloro-2-propenyloxy-containing phthalic acid diamide structures. Pest Manag. Sci. 2012, 68, 986–994. [Google Scholar] [CrossRef] [PubMed]
- Li, J.; Wang, Z.Y.; Wu, Q.Y.; Yang, G.F. Design, synthesis, and insecticidal activity of novel 1,1-dichloropropene derivatives. Pest Manag. Sci. 2015, 71, 694–700. [Google Scholar] [CrossRef] [PubMed]
- Cao, G.; Han, Z. Tebufenozide resistance selected in Plutella xylostella and its cross-resistance and fitness cost. Pest Manag. Sci. 2006, 62, 746–751. [Google Scholar] [CrossRef] [PubMed]
- Guan, A.Y.; Liu, C.L.; Yang, X.P.; Dekeysers, M. Application of the intermediate derivatization approach in agrochemical discovery. Chem. Rev. 2014, 114, 7079–7107. [Google Scholar] [CrossRef] [PubMed]
- Li, Q.; Yu, H.B.; Guan, A.Y.; Liang, S.J.; Song, Y.Q.; Li, B. Synthesis and insecticidal activity of sulfinic esters containing dichloropropene. Chin. J. Org. Chem. 2012, 32, 1736–1740. [Google Scholar] [CrossRef]
- Park, M.S.; Park, H.J.; Park, K.H.; Lee, K.I. Introduction of N-containing heterocycles into pyrazole by nucleophilic aromatic substitution. Synth. Commun. 2004, 34, 1541–1550. [Google Scholar] [CrossRef]
- Song, H.J.; Liu, Y.X.; Xiong, L.X.; Li, Y.Q.; Yang, N.; Wang, Q.M. Design, synthesis, and insecticidal evaluation of new pyrazole derivatives containing imine, oxime ether, oxime ester, and dihydroisoxazoline groups based on the inhibitor binding pocket of respiratory complex I. J. Agric. Food Chem. 2013, 61, 8730–8736. [Google Scholar] [CrossRef] [PubMed]
- Chen, Q.C.; Xiong, L.X.; Luo, M.; Wang, J.; Hu, C.Y.; Zhang, X.; Yu, S.J.; Li, Y.H.; Sun, D.Q. Synthesis, larvicidal activities and antifungal activities of novel chlorantraniliprole derivatives and their target in the ryanodine receptor. Molecules 2015, 20, 3854–3867. [Google Scholar] [CrossRef] [PubMed]
- Xu, R.B.; Xia, R.; Luo, M.; Xu, X.Y.; Cheng, J.G.; Shao, X.S.; Li, Z. Design, synthesis, crystal structures, and insecticidal activities of eight-membered azabridge neonicotinoid analogues. J. Agric. Food Chem. 2014, 62, 381–390. [Google Scholar] [CrossRef] [PubMed]
- Sample Availability: Samples of the compounds 7a–7r are available from the authors.
© 2015 by the authors. Licensee MDPI, Basel, Switzerland. This article is an open access article distributed under the terms and conditions of the Creative Commons by Attribution (CC-BY) license ( http://creativecommons.org/licenses/by/4.0/).
Share and Cite
Dai, H.; Ye, L.; Zhuang, H.; Dai, B.; Fang, Y.; Shi, Y. Design, Synthesis and Bioactivities of Novel Dichloro-Allyloxy-Phenol-Containing Pyrazole Oxime Derivatives. Molecules 2015, 20, 21870-21880. https://doi.org/10.3390/molecules201219811
Dai H, Ye L, Zhuang H, Dai B, Fang Y, Shi Y. Design, Synthesis and Bioactivities of Novel Dichloro-Allyloxy-Phenol-Containing Pyrazole Oxime Derivatives. Molecules. 2015; 20(12):21870-21880. https://doi.org/10.3390/molecules201219811
Chicago/Turabian StyleDai, Hong, Linyu Ye, Huiyang Zhuang, Baojiang Dai, Yuan Fang, and Yujun Shi. 2015. "Design, Synthesis and Bioactivities of Novel Dichloro-Allyloxy-Phenol-Containing Pyrazole Oxime Derivatives" Molecules 20, no. 12: 21870-21880. https://doi.org/10.3390/molecules201219811
APA StyleDai, H., Ye, L., Zhuang, H., Dai, B., Fang, Y., & Shi, Y. (2015). Design, Synthesis and Bioactivities of Novel Dichloro-Allyloxy-Phenol-Containing Pyrazole Oxime Derivatives. Molecules, 20(12), 21870-21880. https://doi.org/10.3390/molecules201219811
