Effect of Monomer Dosing Rate in the Preparation of Mesoporous Polystyrene Nanoparticles by Semicontinuous Heterophase Polymerization
Abstract
:1. Introduction
2. Results and Discussion
2.1. Polymerization Kinetics

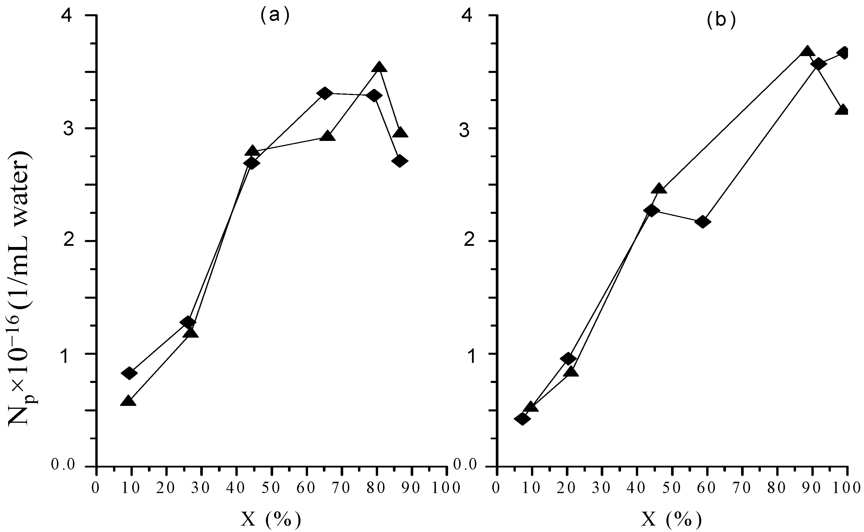
2.2. Particle Size and Number Density of Particles



2.3. Gel Percentage

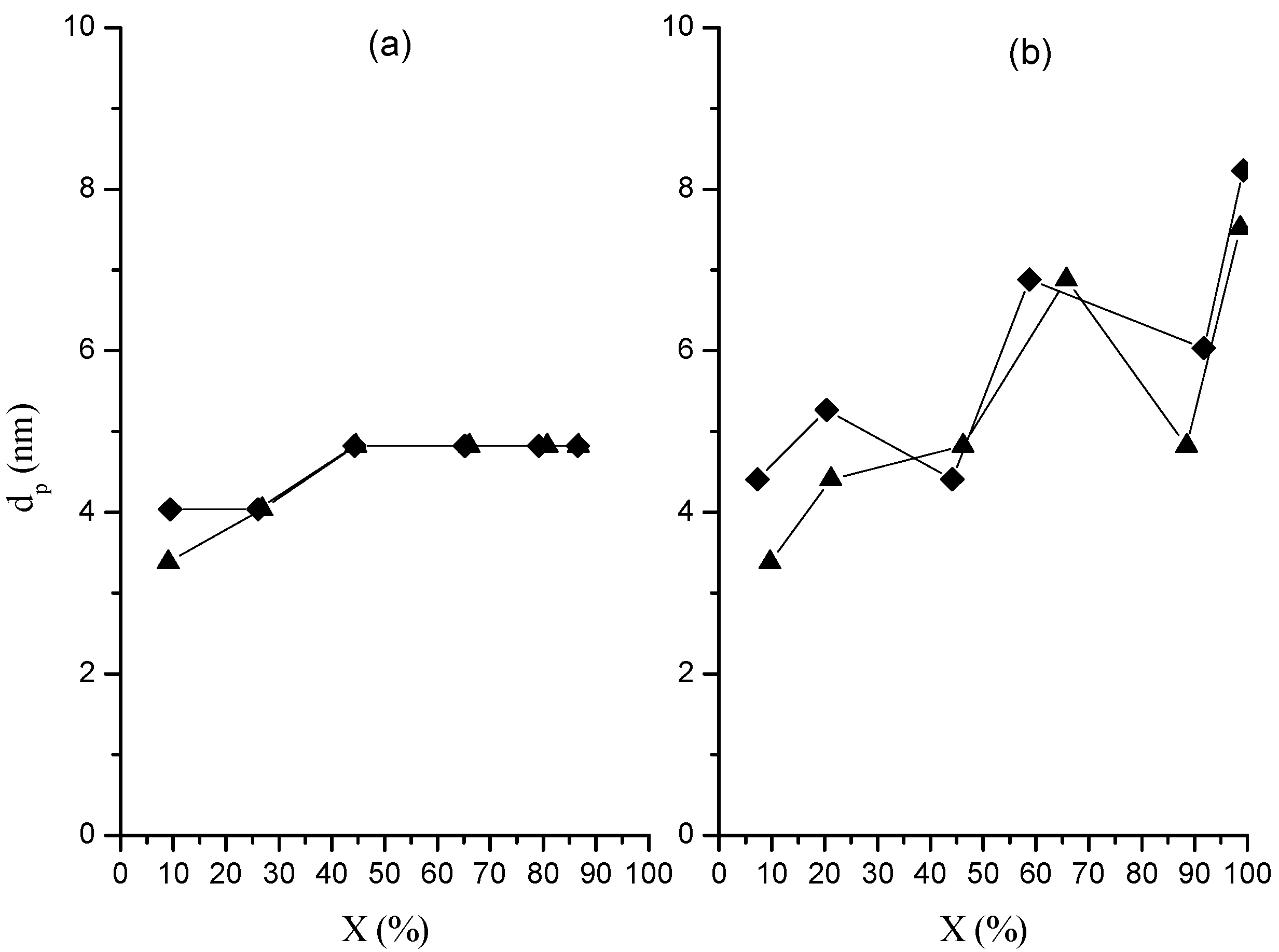
2.4. Porosity and Pore Diameter


2.5. Surface Tension

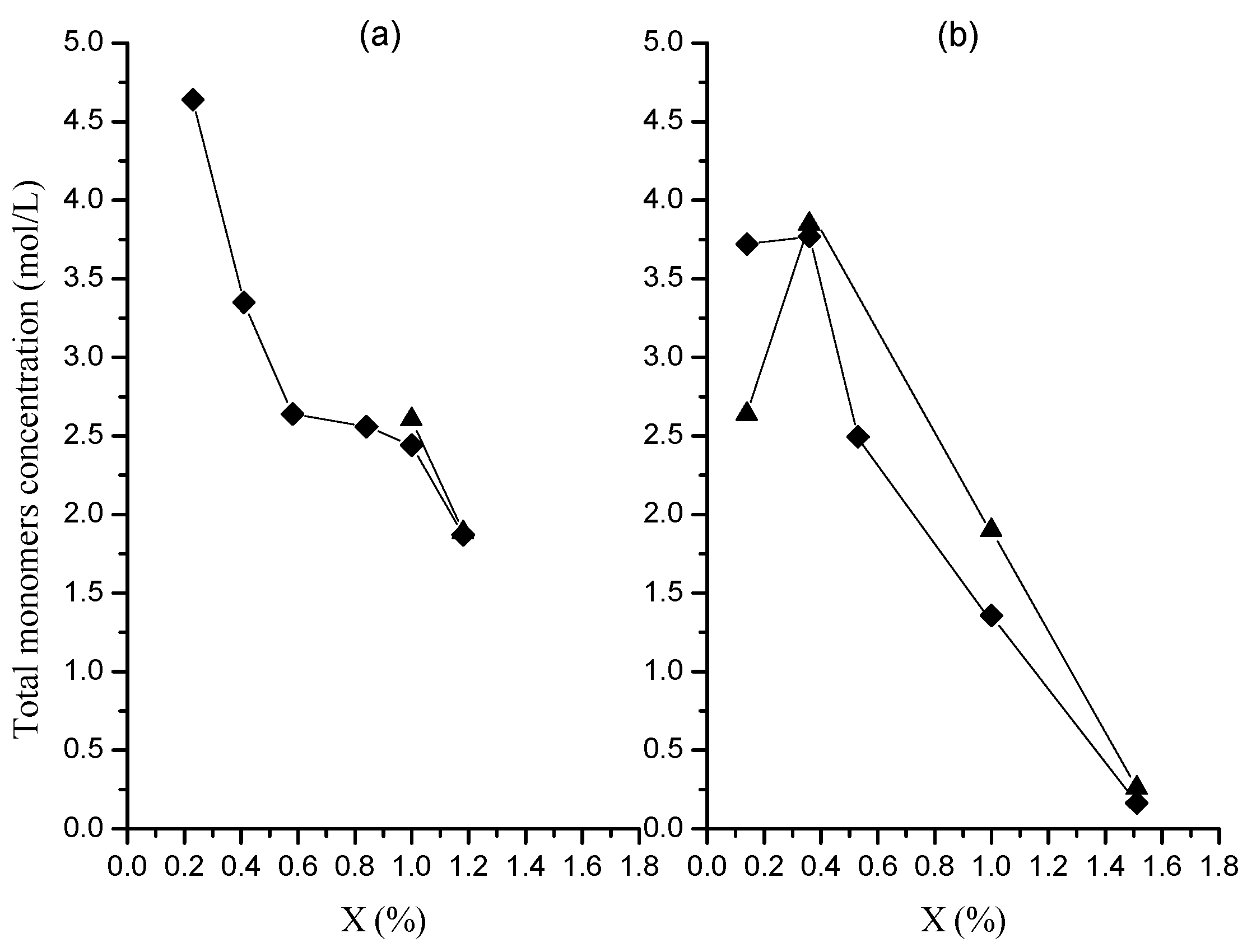
2.6. Monomer Concentrations in Particles
| Organic Phase Dosing Rate (g/min) | tr | Sulfur Content in Polymer-Surfactant Mixture (%) | Available Surfactant in the Latex for Forming Micelles (g) | Toluene and Residual Monomer in Micelles (g) | Residual Monomers in Particles(g) | Total Polymer in Particles (g) | Total Non-Cross-Linked Polymer in Particles (g) | ||||||||
|---|---|---|---|---|---|---|---|---|---|---|---|---|---|---|---|
| St | DVB | ||||||||||||||
| 0.05 | M | MR | M | MR | M | MR | M | MR | M | MR | M | MR | M | MR | |
| 0.23 | 3.71 | NA | 3.42 | NA | 1.64 | NA | 2.04 | NA | 0.32 | NA | 1.86 | 2.48 | 0.66 | 0.66 | |
| 0.41 | 2.79 | NA | 2.08 | NA | 0.99 | NA | 2.84 | NA | 0.19 | NA | 5.15 | 5.38 | 1.80 | 1.67 | |
| 0.58 | 2.65 | NA | 0.88 | NA | 0.41 | NA | 2.84 | NA | 0.34 | NA | 11.70 | 12.20 | 2.72 | 2.61 | |
| 0.84 | 1.88 | NA | 1.00 | NA | 0.47 | NA | 3.89 | NA | 0.55 | NA | 15.02 | 16.39 | 3.55 | 3.48 | |
| 1.00 | NR | NR | 0.00 | 0.00 | 0.00 | 0.00 | 4.43 | 4.78 | 0.47 | 0.53 | 23.22 | 22.60 | 3.80 | 3.63 | |
| 1.18 | NR | NR | 0.00 | 0.00 | 0.00 | 0.00 | 3.11 | 3.10 | 0.27 | 0.53 | 25.54 | 25.04 | 3.63 | 3.58 | |
| 0.15 | 0.14 | 4.22 | 3.90 | 3.20 | 2.97 | 1.53 | 1.41 | 0.44 | 0.20 | 0.33 | 0.17 | 2.29 | 2.37 | 0.36 | 0.35 |
| 0.36 | 3.92 | 3.96 | 1.58 | 1.33 | 0.76 | 0.64 | 1.02 | 1.69 | 2.49 | 1.17 | 6.66 | 6.55 | 0.72 | 0.79 | |
| 0.53 | 2.71 | NA | 0.55 | NA | 0.26 | NA | 2.17 | NA | 0.20 | NA | 11.09 | 10.97 | 1.21 | 1.43 | |
| 0.76 | NA | NA | NA | NA | NA | NA | NA | NA | NA | NA | 16.64 | 16.37 | 1.75 | 1.97 | |
| 1.00 | NR | NR | 0.00 | 0.00 | 0.00 | 0.00 | 1.26 | 1.67 | 0.83 | 1.25 | 20.58 | 20.19 | 1.35 | 0.52 | |
| 1.51 | NR | NR | 0.00 | 0.00 | 0.00 | 0.00 | 0.09 | 0.13 | 0.11 | 0.19 | 22.10 | 22.06 | 0.54 | 0.44 | |
| 0.05 g/min | 0.15 g/min | ||||||||
|---|---|---|---|---|---|---|---|---|---|
| tr | St (mol/L) | DVB (mol/L) | tr | St (mol/L) | DVB (mol/L) | ||||
| M | MR | M | MR | M | MR | M | MR | ||
| 0.23 | 4.12 | NA | 0.52 | NA | 0.14 | 2.32 | 1.56 | 1.40 | 1.08 |
| 0.41 | 3.18 | NA | 0.17 | NA | 0.36 | 1.28 | 2.14 | 2.49 | 1.71 |
| 0.58 | 2.41 | NA | 0.23 | NA | 0.53 | 2.32 | NA | 0.17 | NA |
| 0.84 | 2.30 | NA | 0.26 | NA | 0.76 | NA | NA | NA | NA |
| 1.00 | 2.25 | 2.39 | 0.19 | 0.21 | 1.00 | 0.89 | 1.19 | 0.47 | 0.71 |
| 1.18 | 1.74 | 1.74 | 0.12 | 0.15 | 1.51 | 0.09 | 0.12 | 0.08 | 0.14 |

2.7. Polymerization Rate and Average Number of Radicals per Particle

| 0.05 g/min | 0.15 g/min | ||||
|---|---|---|---|---|---|
| tr | Ñ × 104 | tr | ñ × 103 | ||
| M | MR | M | MR | ||
| 0.23 | 6.9 | NA | 0.14 | 3.3 | 3.7 |
| 0.41 | 6.0 | NA | 0.36 | 1.8 | 2.3 |
| 0.58 | 3.4 | NA | 0.53 | 1.7 | NA |
| 0.84 | 2.6 | NA | 0.76 | NA | NA |
| 1.00 | 2.7 | 2.3 | 1.00 | 1.8 | 1.2 |
| 1.18 | 4.4 | 3.8 | 1.51 | 47.7 | 33.8 |
3. Experimental Section
3.1. Reagents
3.2. Polymerizations
| M1 | M2 | M3 | M4 | M5 | M6 | M1R | M2R | M3R | M4R | M5R | M6R | |
|---|---|---|---|---|---|---|---|---|---|---|---|---|
| Water (g) | 90.68 | 90.65 | 90.90 | 90.51 | 90.58 | 90.35 | 90.40 | 90.60 | 90.51 | 90.74 | 90.66 | 90.83 |
| SDS (g) | 4.75 | 4.50 | 4.54 | 4.58 | 4.53 | 4.60 | 4.50 | 4.50 | 4.51 | 4.57 | 4.59 | 4.63 |
| APS (g) | 0.04 | 0.04 | 0.04 | 0.04 | 0.04 | 0.04 | 0.04 | 0.04 | 0.04 | 0.04 | 0.04 | 0.04 |
| Organic Phase (g) | 7.60 | 13.70 | 19.20 | 28.40 | 34.00 | 34.00 | 7.70 | 13.70 | 19.10 | 28.30 | 34.00 | 34.00 |
| Organic Phase Composition | ||||||||||||
| Toluene (wt. %) | 24.92 | 24.89 | 24.68 | 25.02 | 25.34 | 24.50 | 24.95 | 24.59 | 25.00 | 24.94 | 24.72 | 24.96 |
| St (wt. %) | 60.04 | 60.37 | 60.43 | 59.95 | 59.65 | 60.63 | 60.13 | 60.48 | 59.95 | 59.79 | 60.44 | 60.06 |
| DVB (wt. %) | 15.04 | 14.74 | 14.89 | 15.03 | 15.01 | 14.87 | 14.93 | 14.93 | 15.05 | 15.27 | 14.84 | 14.98 |
| M1 | M2 | M3 | M4 | M5 | M6 | M1R | M2R | M3R | M4R | M5R | M6R | |
|---|---|---|---|---|---|---|---|---|---|---|---|---|
| Water (g) | 90.50 | 90.51 | 90.96 | 90.51 | 90.50 | 90.59 | 90.40 | 90.60 | 90.51 | 90.74 | 90.66 | 90.83 |
| SDS (g) | 4.52 | 4.58 | 4.51 | 4.51 | 4.50 | 4.57 | 4.50 | 4.50 | 4.51 | 4.57 | 4.59 | 4.63 |
| APS (g) | 0.04 | 0.04 | 0.04 | 0.04 | 0.04 | 0.04 | 0.04 | 0.04 | 0.04 | 0.04 | 0.04 | 0.04 |
| Organic Phase (g) | 4.70 | 12.10 | 18.80 | 25.80 | 33.90 | 34.10 | 4.69 | 12.10 | 18.80 | 25.10 | 33.90 | 33.80 |
| Organic Phase Composition | ||||||||||||
| Toluene (wt. %) | 24.92 | 24.89 | 24.68 | 25.02 | 25.34 | 24.50 | 24.95 | 24.59 | 25.00 | 24.94 | 24.72 | 24.96 |
| St (wt. %) | 60.04 | 60.37 | 60.43 | 59.95 | 59.65 | 60.63 | 60.13 | 60.48 | 59.95 | 59.79 | 60.44 | 60.06 |
| DVB (wt. %) | 15.04 | 14.74 | 14.89 | 15.03 | 15.01 | 14.87 | 14.93 | 14.93 | 15.05 | 15.27 | 14.84 | 14.98 |
3.3. Characterization
3.3.1. Particle Size
3.3.2. Gel Percentage
3.3.3. Porosity and Pore Size
3.3.4. Surface Tension
3.3.5. Sulfur Content in the Polymer-Surfactant Mixture
3.3.6. Styrene/Divinylbenzene Ratio in Particles
4. Conclusions
Acknowledgments
Author Contributions
Conflicts of Interest
References
- Arshady, R.; Lewith, A. Suspension polymerization and its application to the preparation of polymers supports. React. Polym. 1983, 1, 159–174. [Google Scholar]
- Maillard-Terrier, M.C.; Cazé, C. Texture pore use de copolymères 4-vinylpyridine divinylbenzène. Eur. Polym. J. 1984, 20, 113–118. [Google Scholar] [CrossRef]
- Arshady, R. Beaded polymer supports and gels. II. Physico-chemical criteria and functionalization. J. Chromatogr. A 1991, 586, 199–219. [Google Scholar] [CrossRef]
- Chengyou, K.; Huihui, L.; Qing, Y.; Yiangzheng, K. Preparation of porous latex particles by emulsion polymerization. Korea Polym. 1997, 5, 221–227. [Google Scholar]
- Liu, Q.; Li, Y.; Shen, S.; Shanshan, Z. The influence of crosslinking density on the pore morphology of copolymer beads prepared with a novel pore-forming agent. Mater. Chem. Phy. 2011, 125, 315–318. [Google Scholar] [CrossRef]
- Liu, Q.; Duan, Y.; Zhou, Z.; Wang, J.; Wang, M.; Shen, S. The influence of different porogens with halogen substituents on the pore structure of polydivinylbenzene beads. Mater. Chem. Phy. 2012, 134, 122–126. [Google Scholar] [CrossRef]
- Zhu, H.; Chen, H.; Zeng, X.; Wang, Z.; Zhang, X.; Wu, Y.; Gao, Y.; Zhang, J.; Liu, K. Co-delivery of chemoterapeutic drugs with vitamin E TPGS by porous PLGA nanoparticles for enhanced chemoteraphy against multi-drug resistance. Biomaterials 2014, 35, 2391–2400. [Google Scholar] [CrossRef] [PubMed]
- Kowalczuk, A.; Trzcinska, R.; Trzebicka, B.; Muller, A.H.E.; Dworak, A.; Tsvetanov, C.B. Loading of polymer nanocarriers: Factors, mechanisms and applications. Prog. Polym. Sci. 2014, 39, 43–86. [Google Scholar] [CrossRef]
- Gu, X.; Sun, Z.; Wu, S.; Qi, W.; Wang, H.; Xu, X.; Su, D. Surfactant-free hydrothermal synthesis of sub-10 nm γ-Fe2O3-polymer porous composites with high catalytic activity for reduction of nitroarenes. Chem.Commun. 2013, 49, 10088–10090. [Google Scholar] [CrossRef]
- Xie, Y.M.; Lu, L.; Li, M.H.; Pan, B.C.; Chen, Q.; Zhang, W.M.; Zhang, Q.X. Development of cation exchanger-based nano-CdS hybrid catalyst for visible-light photodegradation of rhodamine B from water. Sci. China Chem. 2012, 55, 409–415. [Google Scholar] [CrossRef]
- Wang, X.; Zhou, Z.; Jing, G. Synthesis of Fe3O4 poly(styrene-glycidyl methacrylate) magnetic porous microspheres and application in the immobilization of Klebsiella sp. FD-3 to reduce Fe(III)EDTA in a NO(x) scrubbing solution. Bioresour. Technol. 2013, 130, 750–756. [Google Scholar] [CrossRef] [PubMed]
- Lee, J.-Y.; Kim, J.-H. Highly porous organic nanoparticles formed from supercritical carbon dioxide mediated sol-emulsion-gel method. Chem. Lett. 2004, 33, 526–527. [Google Scholar] [CrossRef]
- Esquivel, O.; Treviño, M.E.; Saade, H.; Puig, J.E.; Mendizábal, E.; López, R.G. Mesoporous polystyrene nanoparticles synthesized by semicontinuous heterophase polymerization. Polym. Bull. 2011, 67, 217–226. [Google Scholar] [CrossRef]
- Wu, X.; Li, H.; Xu, Y.; Xu, B.; Tong, H.; Wang, L. Thin film fabricated from solution-dispersable porous hyperbranched conjugated polymer nanoparticles without surfactants. Nanoscale 2014, 6, 2375–2380. [Google Scholar] [CrossRef] [PubMed]
- Thassu, D.; Deleers, M.; Pathak, Y. Nanoparticulate Drug Delivery System; Informa Healthcare USA, Inc.: New York, NY, USA, 2007; pp. 1–31. [Google Scholar]
- Ledezma, R.; Treviño, M.E.; Elizalde, L.E.; Pérez-Carrillo, L.A.; Mendizábal, E.; Puig, J.E.; López, R.G. Semicontinuous heterophase polymerization under monomer starved conditions to prepare nanoparticles with narrow size distributions. J. Polym. Sci. A Polym. Chem. 2007, 45, 1463–1473. [Google Scholar] [CrossRef]
- Aguilar, J.; Arellano, M.R.; Rabelero, M.; Nuño-Donlucas, S.M.; Mendizábal, E.; López, R.G.; Puig, J.E. Narrow size-distribution nanoparticles of poly(methyl methacrylate) made by semicontinuous heterophase polymerization. J. Appl. Polym. Sci. 2011, 119, 1827–1834. [Google Scholar] [CrossRef]
- Pérez-García, M.G.; Rabelero, M.; Nuño-Donlucas, S.M.; Mendizábal, E.; Martínez-Richa, A.; López, R.G.; Arellano, M.; Puig, J.E. Semicontinuous heterophase polymerization of n-butyl methacrylate: Effect of monomer feeding rate. J. Macromol. Sci. Pure Appl. Chem. 2012, 49, 539–546. [Google Scholar] [CrossRef]
- Krackeler, J.J.; Naidus, H. Particle size and molecular weight distributions of various polystyrene emulsions. J. Polym. Sci. Part. C 1969, 27, 207–235. [Google Scholar] [CrossRef]
- Smith, W.V.; Ewart, R.H. Kinetics of emulsion polymerization. J. Chem. Phys. 1948, 16, 592–599. [Google Scholar] [CrossRef]
- Puig, J.E.; Mendizábal, E.; López-Serrano, F.; López, R.G. Surfactant assisted polymerization methods. In Encyclopedia of Surface and Colloids Science, 2nd ed.; Somasundaran, P., Ed.; Taylor and Francis: New York, NY, USA, 2012. [Google Scholar] [CrossRef]
- Schrader, D. Physical constants of some important polymers. In Polymer Handbook, 4th ed.; Brandrup, J., Immergut, E.H., Grulke, E.A., Eds.; John Wiley & Sons, Inc.: Hoboken, NJ, USA, 1999; pp. V/1–V/170. [Google Scholar]
- Dusek, K. Inhomogeneities induced by crosslinking in the course of crosslinking copolymerization. In Polymer Networks: Structure and Mechanical Properties; Chompff, A.J., Newman, S., Eds.; Plenum Press: New York, NY, USA, 1971; pp. 245–260. [Google Scholar]
- Sajjadi, S.; Brooks, B.W. Unseeded semibatch emulsion polymerization of butyl acrylate: Bimodal particle size distribution. J. Polym. Sci. A Polym. Chem. 2000, 38, 528–545. [Google Scholar] [CrossRef]
- Ramírez, A.G.; López, R. G.; Tauer, K. Studies on semibatch microemulsion polymerization of butyl acrylate: Influence of the potassium peroxidisulfate concentration. Macromolecules 2004, 37, 2738–2747. [Google Scholar] [CrossRef]
- Gehlen, M.H.; de Schryver, F.C. Fluorescence quenching in micelles in the presence of a probe-quencher ground-state charge-transfer complex. J. Phys. Chem. 1993, 97, 11242–11248. [Google Scholar] [CrossRef]
- Vivaldo-Lima, E. Development of an Effective Model for Particle Size Distribution in Suspension Copolimerization of Styrene/Divinilbenzene. Ph.D. Thesis, Mc Master University, Hamilton, Canada, 1998. [Google Scholar]
- Capek, I. On the kinetics of heterogeneous free radical crosslinking polymerization. J. Dispers. Sci. Technol. 1996, 17, 139–244. [Google Scholar] [CrossRef]
- Duda, J.T.; Jagiello, L.; Jagiello, J.; Milewska-Duda, J. Complementary study of microporous adsorbents with DFT and LBET. Appl. Surf. Sci. 2007, 253, 5616–5621. [Google Scholar] [CrossRef]
- Sample Availability: Samples of the compounds are not available from the authors.
© 2014 by the authors. Licensee MDPI, Basel, Switzerland. This article is an open access article distributed under the terms and conditions of the Creative Commons Attribution license ( http://creativecommons.org/licenses/by/4.0/).
Share and Cite
Sosa, D.Y.; Guillén, L.; Saade, H.; Mendizábal, E.; Puig, J.E.; López, R.G. Effect of Monomer Dosing Rate in the Preparation of Mesoporous Polystyrene Nanoparticles by Semicontinuous Heterophase Polymerization. Molecules 2015, 20, 52-69. https://doi.org/10.3390/molecules20010052
Sosa DY, Guillén L, Saade H, Mendizábal E, Puig JE, López RG. Effect of Monomer Dosing Rate in the Preparation of Mesoporous Polystyrene Nanoparticles by Semicontinuous Heterophase Polymerization. Molecules. 2015; 20(1):52-69. https://doi.org/10.3390/molecules20010052
Chicago/Turabian StyleSosa, Dalia Y., Lourdes Guillén, Hened Saade, Eduardo Mendizábal, Jorge E. Puig, and Raúl G. López. 2015. "Effect of Monomer Dosing Rate in the Preparation of Mesoporous Polystyrene Nanoparticles by Semicontinuous Heterophase Polymerization" Molecules 20, no. 1: 52-69. https://doi.org/10.3390/molecules20010052
APA StyleSosa, D. Y., Guillén, L., Saade, H., Mendizábal, E., Puig, J. E., & López, R. G. (2015). Effect of Monomer Dosing Rate in the Preparation of Mesoporous Polystyrene Nanoparticles by Semicontinuous Heterophase Polymerization. Molecules, 20(1), 52-69. https://doi.org/10.3390/molecules20010052
