Next Article in Journal
Regulatory Effects of Fisetin on Microglial Activation
Previous Article in Journal
Phenoxyacetohydrazide Schiff Bases: β-Glucuronidase Inhibitors
 
 
Font Type:
Arial Georgia Verdana
Font Size:
Aa Aa Aa
Line Spacing:
Column Width:
Background:
Article

Synthesis and Cytotoxicity Evaluation of Naphthalimide Derived N-Mustards

State Key Laboratory of Natural and Biomimetic Drugs, Department of Chemical Biology, School of Pharmaceutical Sciences, Peking University, Beijing 100191, China
*
Authors to whom correspondence should be addressed.
These authors contributed equally to this work.
Molecules 2014, 19(7), 8803-8819; https://doi.org/10.3390/molecules19078803
Submission received: 21 May 2014 / Revised: 10 June 2014 / Accepted: 17 June 2014 / Published: 25 June 2014

Abstract

:
A series of N-mustards, which was conjugated to mono- or bis-naphthalimides with a flexible amine link, were synthesized and evaluated for cytotoxicity against five cancer cell lines (HCT-116, PC-3, U87 MG, Hep G2 and SK-OV-3). Several compounds displayed better activities than the control compound amonafide. Further evaluations by fluorescence spectroscopy studies and DNA-interstrand cross-linking assays revealed that the derivatives showed both alkylating and intercalating properties. Among the derivatives, the bis-naphthalimide N-mustard derivative 11b was found to exhibit the highest cytotoxic activity and DNA cross-linking ability. Both 11b and 7b induce HCT-116 cell apoptosis by S phase arrest.

1. Introduction

As the earliest agents used for chemotherapy, DNA alkylating nitrogen mustards have been widely utilized in oncology treatment, and many such agents are still in clinical use (Figure 1) [1,2,3,4,5]. However, progress in developing new N-mustard agents is limited due to its drawbacks [6]. Its necessarily high chemical reactivity leads to serious adverse effects [3,7,8] by randomly alkylating other cellular nucleophiles. They lack specific affinity to tumor cells and induce bone marrow toxicity [6,9]. To overcome those drawbacks, one of the strategies has been to synthesize bifunctional compounds by linking N-mustards with DNA-affine molecules, such as DNA-intercalators (e.g., acridines [6,9,10], cyclopentanthraquinone [11]) or DNA minor groove binders (e.g., distamycin A and related analogues [12,13,14]). Previous research has demonstrated that linking with an appropriate carrier can modify the specificity of DNA alkylation and thus improve the therapeutic efficacy of N-mustard agents. This strategy has been widely applied in the search for new drugs [9,15,16].
Figure 1. Chemical structures of N-mustard antineoplastic drugs and derivatives.
Figure 1. Chemical structures of N-mustard antineoplastic drugs and derivatives.
Molecules 19 08803 g001
Naphthalimide, a well-defined DNA-intercalator, has been extensively investigated as an antitumor agent [17]. Several naphthalimide derivatives such as mitonafide, amonafide, ethonafide, elinafide, and bisnafide (Figure 2) are currently undergoing clinical trials, [17]. Elinafide and bisnafide, which are bis-intercalators prepared by linking two naphthalimide groups with a polyamine linker, showed much higher cytotoxicity than the mono-intercalators mitonafide and amonafide [18,19]. However, only limited research have been done in the area of linking N-mustard with DNA-binding naphthalimide, and they showed enhanced cytotoxicities [20,21,22,23].
Herein, we designed and synthesized N-mustard derivatives of naphthalimides by linking the N-mustard moiety with naphthalimides. The conjugates acted as both alkylating agents and intercalators. Encouraged by the generally stronger cytotoxicities and high binding capacities of the bis-intercalators, we decided to synthesize both mono and bis-naphthalimide [18] conjugates to compare their cytotoxic activities.
Figure 2. Structures of naphthalimides and N-mustard analogs.
Figure 2. Structures of naphthalimides and N-mustard analogs.
Molecules 19 08803 g002

2. Results and Discussion

2.1. Chemistry

To attach the N-mustard moiety to the naphathalimide core, we synthesized compound 2 from naphthalic anhydride [24,25]. Compound 2 was refluxed with an aminoalcohol in CH3CN to yield the key precursor compound 3, which was converted to compound 4 by refluxing in HCHO and HCOOH. The chlorination of alcohol 4 in the presence of SOCl2 to produce 5 was successful [26]. The N-mustard precursor 6 was synthesized by condensing compound 5 with diethanolamine in the presence of K2CO3/KI [27]. The final target compound 7 was obtained from 6 by reacting with SOCl2 (Scheme 1).
Scheme 1. Synthesis of compounds 7ab.
Scheme 1. Synthesis of compounds 7ab.
Molecules 19 08803 g007
Reagents and conditions: (i) 3-amino-1-propanol, EtOH, reflux; (ii) PPh3/NBS, CH2Cl2, rt; (iii) aminoalcohol, K2CO3, CH3CN, 70 °C; (iv) HCHO/HCOOH, reflux; (v) SOCl2, CHCl3, rt; (vi) diethanolamine, K2CO3/KI, CH3CN, reflux; (vii) SOCl2, reflux.
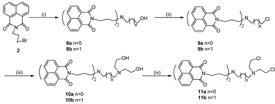
The synthesis of bis-naphthalimide derivatives is illustrated in Scheme 2. Starting from compound 2, the target compounds 11a,b were obtained following the procedures described below.
Scheme 2. Synthesis of bis-naphthalimide derivatives.
Scheme 2. Synthesis of bis-naphthalimide derivatives.
Molecules 19 08803 g008
Reagents and conditions: (i) aminoalcohol, K2CO3, CH3CN, 80 °C; (ii) SOCl2, CH2Cl2, rt; (iii) diethanolamine, K2CO3/KI, CH3CN, reflux; (iv) SOCl2, reflux.

2.2. Biological Assay

2.2.1. Cytotoxic Activity

The N-mustard naphthalimide derivatives 7ab, 11ab and the precursors 6ab, 10ab in their dihydrochloride forms were screened for their cytotoxic activities against five cancer cell lines, which were HCT-116 (colorectal carcinoma), PC-3 (prostate carcinoma), U87 MG (brain tumor), Hep G2 (liver cancer), and SK-OV-3 (ovarian cancer), with an in vitro cell growth assay using amonafide as positive control. The results were listed in Table 1. The activity of compound 11b was the highest among all the compounds and was increased by several fold (1.4–11) compared to amonafide, while compound 7b showed a similar activity with amonafide. N-mustards 7b and 11b displayed more activity than their precursors 6b, 10b. Furthermore, compared with compounds 7b and 11b, 7a and 11a unexpectedly showed much lower activities (>10 μM). Because quaternary ammonium salts of 7a and 11a were used in this cytotoxicity assay, the six-membered rings in 7a and 11a, which make them less flexible, may be the reason for the lower activities.
Table 1. IC50 values of naphthalimide derivatives against five cancer cell lines a.
Table 1. IC50 values of naphthalimide derivatives against five cancer cell lines a.
Compound bIC5 (μM)
HCT-116PC-3U87MGHep G2SK-OV-3
6a73.77 ± 2.54225.80 ± 6.4140.80 ± 3.1442.81 ± 26.3963.35 ± 5.42
6b6.96 ± 1.6469.97 ± 10.1410.24 ± 0.199.39 ± 4.3712.76 ± 1.40
7a33.29 ± 3.1373.10 ± 14.6110.77 ± 0.0715.38 ± 2.8835.31 ± 5.69
7b2.42 ± 0.123.02 ± 0.341.95 ± 0.071.40 ± 0.073.59 ± 0.70
10a1.30 ± 0.092.98 ± 0.081.77 ± 0.141.25 ± 0.162.33 ± 0.28
10b2.80 ± 0.363.33 ± 0.172.04 ± 0.130.82 ± 0.062.43 ± 0.13
11a31.54 ± 18.6696.35 ± 64.6924.88 ± 3.1731.76 ± 18.2115.40 ± 6.22
11b1.01 ± 0.060.35 ± 0.030.39 ± 0.030.89 ± 0.150.61 ± 0.04
Amonafide4.81 ± 0.543.89 ± 0.282.60 ± 0.321.23 ± 0.075.10 ± 0.76
a Cell growth inhibition was measured by the MTT assay, and values were expressed as mean IC50 of the triplicate experiment; b All these compounds (6, 7, 10, 11) are in its di-hydrochloride forms.
We also screened all the synthetic intermediates in its mono-hydrochloride form against the same five cancer cell lines (Table 2). It was unexpected to find that compounds 8a and 8b which acted only as DNA-intercalators, exhibited close activities to 11b. These results indicated that N-mustards can increase the cytotoxic activity of the naphathalimide derivatives, but not efficiently.
Table 2. IC50 values of synthetic intermediates over five cancer cell lines a.
Table 2. IC50 values of synthetic intermediates over five cancer cell lines a.
Compound bIC5 (μM)
HCT-116PC-3U87MGHep G2SK-OV-3
3a13.45 ± 0.8845.82 ± 3.1315.39 ± 1.3922.60 ± 8.2924.18 ± 4.64
3b12.52 ± 1.4749.17 ± 6.6914.25 ± 1.1912.17 ± 0.6517.48 ± 1.68
4a12.00 ± 0.4625.54 ± 2.2414.08 ± 0.869.43 ± 2.3915.07 ± 2.17
4b23.72 ± 2.5367.16 ± 8.7927.50 ± 5.0218.80 ± 1.9121.05 ± 3.09
5a8.44 ± 0.687.40 ± 0.643.33 ± 0.374.20 ± 0.2016.71 ± 1.47
5b81.69 ± 3.7964.16 ± 14.1236.89 ± 13.1531.19 ± 1.09102.58 ± 6.99
8a0.78 ± 0.061.83 ± 0.070.77 ± 0.020.71 ± 0.100.89 ± 0.03
8b0.77 ± 0.051.38 ± 0.180.65 ± 0.020.56 ± 0.020.87 ± 0.03
9b2.07 ± 0.2414.60 ± 0.532.26 ± 0.371.04 ± 0.075.29 ± 0.31
amonafide4.81 ± 0.543.89 ± 0.282.60 ± 0.321.23 ± 0.075.10 ± 0.76
a Cell growth inhibition was measured by the MTT assay, and values were expressed as mean IC50 of the triplicate experiment. b All these compounds (3, 4, 5, 8, 9) are in its mono-hydrochloride forms.
Figure 3. Fluorescence spectra of (a) 6b (b) 7b (c) 10b (d) 11b.
Figure 3. Fluorescence spectra of (a) 6b (b) 7b (c) 10b (d) 11b.
Molecules 19 08803 g003
Conditions: Fluorescence spectra of (a) 6b (b) 7b (c) 10b (d) 11b (all in their dihydrochloride form) at different concentrations after incubated with ctDNA (50 μM). The concentrations of the four compounds were 1, 5, 10, 20 and 25 μM. The insets showed the relationship between the intensity of fluorescence and the concentration of the four compounds.

2.2.2. Fluorescence Studies

A fluorescence study was employed to evaluate the interaction properties of the synthesized derivatives with DNA. Figure 3 illustrates the changes of fluorescence properties of compounds 6b, 7b, 10b and 11b before and after being mixed with calf thymus DNA (ctDNA).The solutions of various concentrations of compounds with ctDNA were incubated at 30 °C for 3 days, then the florescence spectra were recorded. We found that the fluorescence intensity of compound 6b showed little change with or without ctDNA at all five concentrations, indicating a weak intercalating ability. On the contrary, compound 7b exhibited an evident decrease of fluorescence intensity when ctDNA was added, which demonstrated the N-mustard is essential to increase the binding strength to DNA. Both compounds 10b and 11b showed obvious decreases of fluorescence intensity, but the difference between them is not significant. Those results indicate that: (1) an N-mustard residue is able to stabilize the DNA-compound complex after the intercalating process, and the binding potency is enhanced for N-mustard derivatives; (2) bis-naphthalimides 10b, 11b show generally much higher intercalating potential than mono-naphthalimides such as 6b, 7b, which is in accordance with previous research [19].
Figure 4. Agarose Gel Cross-Link Assay.
Figure 4. Agarose Gel Cross-Link Assay.
Molecules 19 08803 g004
Conditions: compound and 2 μL supercoiled plasmid DNA (pUC-19, 0.16 μg/μL) were incubated at 37 °C for 1 h in Tris-HCl buffer (0.05 M, pH = 7.4). Con: precursor of each specific nitrogen mustard (6a/b, 10a/b). Concentrations of drugs, from left to right: 1, 5, 10, 50 μM. All the compounds used in the assay are in their dihydrochloride form.

2.2.3. DNA Interstrand Cross-Linking Assay

To evaluate the potency of DNA interstrand cross-linking brought by the N-mustard moiety [15], compounds 7a, b and 11a, b were selected to undergo an agarose gel cross-linking assay, at four concentration levels (Figure 4). Considering that naphthalimide chromophore can intercalate with DNA and so slow down DNA migration on the gel, 6a,b and 10a,b were employed, respectively, as controls for each mustine derivative. Compounds 7a, 7b and 11b displayed DNA cross-linking potency at 1, 1 and 5 μM, respectively; while 11a displayed almost no DNA cross-linking ability. The results for 7b, 11a and 11b were consistent with their cytotoxic data. However, different from the cytotoxicity data, 7a exhibited high DNA cross-linking activity, even at 1 μM concentration. The different performance of 7a in cells and under agarose gel (with Tris-HCl buffer) conditions may result from its insufficient transmembrane access to the nucleus. The controls 10a and 10b displayed no DNA cross-linking abilities when compared with the N-mustards 11a and 11b, which showed similar activities in the previous tests. This result suggested the possibility that the N-mustard moiety did not show significant differences in in vitro tests, but played an efficient role in interacting with DNA.

2.2.4. Flow Cytometry Assay

Compounds that target DNA by intercalating or cross-linking often interfere with cellular DNA replication, thus inhibiting cell proliferation by inducing cell cycle arrest. To evaluate the effects of the compounds on cell cycle progression, the cell cycle distribution of HCT-116 cells was examined by flow cytometry after treatment with indicated concentrations of compounds 7b, 9b and 11b for 24 h. As shown in Figure 5, compounds 7b and 11b induced G2/M and S phase cell cycle arrest, suggesting that these compounds could interfere with DNA synthesis. Compound 11b showed a more pronounced arrest in G2/M phase at 1 μM than 7b, which is in agreement with the higher cytotoxicity associated with 11b. However, compound 9b, a homo-N-mustard, exhibited marginal effects on the cell cycle distribution, even at 5 μM, implying the N-mustard moiety is essential for inhibition of DNA synthesis.
Figure 5. Effects of compounds on cell cycle distribution of HCT-116 cells.
Figure 5. Effects of compounds on cell cycle distribution of HCT-116 cells.
Molecules 19 08803 g005
Conditions: Cells were incubated with indicated concentrations of 7b, 9b, 11b for 24 h, then cells were stained by PI (20 μg/mL) and tested by flow cytometry.

2.2.5. Immunoblotting Assay

Poly(ADP-ribose) polymerase (PARP-1) is specifically cleaved by caspases during the execution phase of apoptosis in response to DNA damage, thus its cleavage has been regarded as a biomarker of apoptosis [28]. Therefore, the cleavage of PARP-1 in HCT-116 cells treated with various compounds was detected by western blotting. As shown in Figure 6, both 7b and 11b induced significant cleavage of the original 116 kDa PARP-1 into 89 kDa and 24 kDa fragments, suggesting that these two compounds induced DNA-damage related apoptosis. In agreement with the results above, the homo-mustard 9b showed no observable effect on the cleavage of PARP-1. Taken together, the above results suggest that compounds 7b and 11b induced DNA damage-related cell cycle arrest and apoptosis in HCT-116 cells, but 9b might have a different mechanism of action.
Figure 6. Effect of compounds on PARP-1 cleavage in HCT-116 cell.
Figure 6. Effect of compounds on PARP-1 cleavage in HCT-116 cell.
Molecules 19 08803 g006
Conditions: HCT-116 cells were treatment for 24 h in the presence of indicated concentrations of 7b, 9b, 11b, and then cleavage of PARP1 was detected by immunoblotting. GAPDH, a house-keeping gene product, was used as loading control.

3. Experimental Section

3.1. General Information

All the solvents were of analytical grade. 1H-NMR and 13C-NMR spectra were obtained with JEOL-300 all examples below are 300 MHz but in Supplementary file spectra are labelled as 400 Mhz. Explain this confusing situation spectrometers. The chemical shifts were reported in ppm using TMS as internal standard. High resolution mass spectrometry was measured on a Bruker MicrOTOF-Q. Column chromatography was conducted on silica gel (200~300 mesh). Temperature range for rt is 25 ± 2 °C.

3.2. Synthesis

2-(3-Hydroxypropyl)-1H-benzo[de]isoquinoline-1,3(2H)-dione (1) [24]. A mixture of 1,8-naphthalic anhydride (4 g, 20.8 mmol) and 3-amino-1-propanol (1.86 mL, 24.6 mmol) in ethanol (40 mL) was heated under reflux for 5 h. The resulting mixture was concentrated by evaporating ethanol under reduced pressure to afford a solid residue, which was purified by column chromatography over silica gel (CH2Cl2/MeOH = 1:1) to afford compound 1 as an off-white solid (4.27 g, 83%).
2-(3-Bromopropyl)-1H-benzo[de]isoquinoline-1,3(2H)-dione (2) [25]. To a solution of compound 1 (2 g, 7.84 mmol) and NBS (2.12 g, 11.9 mmol) in dichloromethane (20 mL, dry) was added PPh3 (2.49 g, 8.2 mmol) in portions in an ice bath. The resulting solution was kept at room temperature overnight, and then purified by column chromatography over silica gel (petroleum ether/CH2Cl2 = 3:1) to afford compound 2 (2.25 g, 90%).
N-[2-(1,3-Dioxo-2,3-dihydro-1H-benz[de]-isoquinolin-2-yl)propyl]-ethanolamine (3a). A mixture of compound 2 (1 g, 3.15 mmol), ethanolamine (2 mL, 33.1 mmol) and K2CO3 (1.8 g, 13.0 mmol) in 10 mL of CH3CN was heated at 70 °C for 30 h. The resulting mixture was filtered to remove the K2CO3 residue, condensed in vacuo, then dissolved in H2O (80 mL) and extracted with CH2Cl2 (100 mL). The extract was dried over Na2SO4 and purified by column chromatography (CH2Cl2/MeOH = 20:1~10:1) to yield pure 3a (0.79 g, 80%) as a faint yellow solid. 1H-NMR (300 MHz, CDCl3) δH (ppm): 1.94–2.01 (m, 2H), 2.69–2.76 (m, 4H, NHCH2 and OH), 2.82 (t, 2H, J = 5.1 Hz), 3.66 (t, 2H, J = 5.1 Hz), 4.29 (t, 2H, J = 6.9 Hz), 7.75 (dd, 2H, J = 7.5, 8.1 Hz), 8.21 (d, 2H, J = 8.4 Hz), 8.59 (d, 2H, J = 7.2 Hz). 13C-NMR (75 MHz, CDCl3): δ 164.3(2C), 134.0 (2C), 131.3 (4C), 126.9 (2C), 122.5 (2C), 60.6, 50.9, 46.2, 38.1, 28.3.HRMS (ESI): Calcd for C17H19N2O3: 299.1390 [M+H]+, Found: 299.1383 [M+H]+.
N-[2-(1,3-Dioxo-2,3-dihydro-1H-benz[de]-isoquinolin-2-yl)propyl]-3-amino-1-propanol (3b). Compound 3b was synthesized by a similar procedure as the synthesis of 3a. Compound 2 (1 g, 3.15 mmol) and 3-amino-1-propanol (2 mL, 27.1 mmol) were employed to produce 3b (yellow oil, 0.89 g, 91%). 1H-NMR (300 MHz, CDCl3) δH (ppm): 1.73–1.76 (m, 2H), 1.95–2.00 (m, 2H), 2.73 (t, 2H, J = 6.6 Hz), 2.90 (t, 1H, J = 5.4 Hz, NH), 3.46–3.47 (m, 3H, CH2N, OH), 3.83 (t, 2H, J = 5.1 Hz), 4.24 (t, 2H, J = 6.3 Hz), 7.71–7.76 (m, 2H), 8.19 (d, 2H, J = 7.2 Hz), 8.70 (d, 2H, J = 6.0 Hz). 13C-NMR (75 MHz, CDCl3): δ 164.2 (2C), 133.9 (2C), 131.4, 131.2 (3C), 126.8 (2C), 122.3 (2C), 63.7, 49.2, 46.7, 37.9, 30.6, 27.9; HRMS (ESI): Calcd for C18H21N2O3: 313.1547 [M+H]+, Found: 313.1555 [M+H]+.
N-[2-(1,3-Dioxo-2,3-dihydro-1H-benz[de]-isoquinolin-2-yl)propyl]-N-methylethanolamine (4a). To formaldehyde (37%, 1.2 mL) was added formic acid (5 mL) dropwise in an ice bath, and the resulting solution was added into compound 3a (711 mg, 2.39 mmol) and stirred for 10 min in an ice bath, then heated to 105 °C overnight. Removal of residual formaldehyde and formic acid under reduced pressure gave crude product, which was dissolved in water and treated with Na2CO3 to pH > 7, and extracted with CH2Cl2. The organic layer was dried with Na2SO4 and purified by column chromatography (CHCl3/MeOH = 30:1) to yield compound 4a (yellow oil, 0.64 g, 85.6%). 1H-NMR (300 MHz, CDCl3) δH (ppm): 1.90–1.99 (m, 2H), 2.29 (s, 3H), 2.54–2.59 (m, 4H), 3.02 (s, 1H), 3.61 (t, 2H, J = 5.1 Hz), 7.75 (dd, 2H, J = 7.5, 8.1 Hz), 8.21 (d, 2H, J = 8.4 Hz), 8.59–8.61 (m, 2H). 13C-NMR (75 MHz, CDCl3): δ 164.2 (2C), 133.9 (2C), 131.5, 131.2 (3C), 126.9 (2C), 122.6 (2C), 59.0, 58.5, 55.2, 41.4, 38.5, 25.7; HRMS (ESI): Calcd for C18H21N2O3: 313.1547 [M+H]+, Found: 313.1560 [M+H]+.
N-[2-(1,3-Dioxo-2,3-dihydro-1H-benz[de]-isoquinolin-2-yl)propyl]-N-methyl-3-amino-1-propanol (4b). Compound 4b was synthesized by a similar procedure as the synthesis of 4a. Compound 3b (852 mg, 2.72 mmol) was employed to produce 4b (yellow oil, 0.68 g, 77%). 1H-NMR (300 MHz, CDCl3) δH (ppm): 1.70–1.77 (m, 2H), 1.90–2.00 (m, 2H), 2.31 (s, 3H), 2.55 (t, 2H, J = 7.5 Hz), 2.64 (t, 2H, J = 5.7 Hz), 3.84 (t, 2H, J = 5.4 Hz), 4.22 (t, 2H, J = 7.5 Hz), 5.30 (s, 1H, OH), 7.75 (dd, 2H, J = 8.4, 7.2 Hz), 8.21 (d, 2H, J = 8.4 Hz), 8.59 (d, 2H, J = 7.2 Hz). 13C-NMR (75 MHz, CDCl3): δ 164.1 (2C), 133.9 (2C), 131.5, 131.2 (3C), 126.9 (2C), 122.5 (2C), 64.3, 57.8, 55.9, 41.8, 38.5, 27.8, 25.6; HRMS (ESI): Calcd for C19H23N2O3: 327.1703 [M+H]+, Found: 327.1704 [M+H]+.
N-[2-(1,3-Dioxo-2,3-dihydro-1H-benz[de]-isoquinolin-2-yl)propyl]-N-methyl-2-chloroethanamine (5a). To a solution of compound 4a (579 mg, 1.86 mmol) in CHCl3 (30 mL) was added SOCl2 (1 mL) dropwise and the mixture was stirred at room temperature for 48 h. Removal of the solvent under reduced pressure gave the crude product, which was dissolved in water, treated with Na2CO3 until pH > 7, and extracted with CH2Cl2. The organic layer was dried with Na2SO4 and purified by column chromatography (CHCl3/MeOH = 50:1) to yield compound 5a (pale yellow solid, 80.0%). 1H-NMR (300 MHz, CDCl3) δH (ppm): 1.87–1.97 (m, 2H), 2.32 (s, 3H), 2.59 (t, 2H, J = 7.2 Hz), 2.74 (t, 2H, J = 7.2 Hz), 3.56 (t, 2H, J = 7.2 Hz), 4.23 (t, 2H, J = 7.5 Hz), 7.75 (dd, 2H, J = 7.8, 7.5 Hz), 8.21 (d, 2H, J = 8.1 Hz), 8.59 (d, 2H, J = 7.2 Hz). 13C-NMR (75 MHz, CDCl3): δ 164.2 (2C), 133.9 (2C), 131.6, 131.2, 131.1 (2C), 126.9 (2C), 122.7 (2C), 58.9, 55.3, 42.1, 41.6, 38.7, 25.7; HRMS (ESI): Calcd for C18H20ClN2O2: 331.1208 [M+H]+, Found: 331.1219 [M+H]+.
N-[2-(1,3-Dioxo-2,3-dihydro-1H-benz[de]-isoquinolin-2-yl)propyl]-N-methyl-3-chloro-1-propylamine (5b). Compound 5b was synthesized by a similar procedure as the synthesis of 5a. Compound 4b (625 mg, 1.92 mmol) was employed to produce 5b (light yellow solid, 0.55 g, 82.9%). 1H-NMR (300 MHz, CDCl3) δH (ppm): 2.36–2.39 (brs, 4H), 3.78 (s, 3H), 3.16 (brs, 4H), 3.67 (t, 2H, J = 5.4 Hz), 4.32 (t, 2H, J = 6.9 Hz), 7.78 (t, 2H, J = 7.8 Hz), 8.25 (d, 2H, J = 8.4 Hz), 8.60 (d, 2H, J = 7.2 Hz). 13C-NMR (75 MHz, CDCl3): δ 164.2 (2C), 134.4 (2C), 131.6 (4C), 128.1, 127.0, 122.1 (2C), 54.3, 54.1, 41.8, 40.1, 37.6, 26.9, 22.9; HRMS (ESI): Calcd for C19H22ClN2O2: 345.1364 [M+H]+, Found: 345.1361 [M+H]+.
N-[2-(1,3-Dioxo-2,3-dihydro-1H-benz[de]-isoquinolin-2-yl)propyl]-N-methyl-N',N'-bis(2-hydroxyethyl)-ethylenediamine (6a). A mixture of compound 5a (431 mg, 1.31 mmol), K2CO3 (300 mg, 2.17 mmol), KI (100 mg, 0.60 mmol) and diethanolamine (0.8 mL) in CH3CN (15 mL) was stirred at 80 °C under N2 for 72 h. The resulting mixture was evaporated under reduced pressure to give the crude product. The residue was dissolved in water (50 mL) and extracted with CH2Cl2. The organic layer was dried with Na2SO4 and purified by column chromatography (CHCl3/MeOH = 30:1~10:1) to yield compound 6a (yellow oil, 58%). 1H-NMR (300 MHz, CDCl3) δH (ppm): 1.93–1.98 (m, 2H), 2.28 (s, 3H), 2.49–2.71 (m, 10H), 3.58 (m, 4H), 4.20 (t, 2H, J = 7.5 Hz), 4.34 (brs, 2H, OH), 7.70–7.75 (m, 2H), 8.18 (d, 2H, J = 8.1 Hz), 8.56 (d, 2H, J = 7.2 Hz). 13C-NMR (75 MHz, CDCl3): δ 164.0 (2C), 133.8 (2C), 131.4, 131.1 (3C), 126.8 (2C), 122.4 (2C), 59.9 (2C), 57.3 (2C), 56.1, 55.1, 51.7, 41.5, 38.6, 25.0; HRMS (ESI): Calcd for C22H30N3O4: 400.2231 [M+H]+, Found: 400.2241 [M+H]+.
N-[2-(1,3-Dioxo-2,3-dihydro-1H-benz[de]-isoquinolin-2-yl)propyl]-N-methyl-N',N'-bis(2-hydroxyethyl)-1,3-diamine (6b). Compound 6b was synthesized by a similar procedure as the synthesis of 6a. Compound 5b (451 mg, 1.31 mmol) was employed to produce 6b (yellow oil, 91.2%). 1H-NMR (300 MHz, CDCl3) δH (ppm): 1.66 (t, 2H, J = 6.3 Hz), 1.95 (t, 2H, J = 6.9 Hz), 2.25 (s, 3H), 2.47–2.65 (m, 10H), 3.63 (t, 3H, J = 5.1 Hz), 3.99 (brs, 2H), 4.21 (t, 2H, J = 7.5 Hz), 7.74 (t, 2H, J = 7.5 Hz), 8.20 (d, 2H, J = 8.1 Hz), 8.58 (d, 2H, J = 7.5 Hz). 13C-NMR (75 MHz, CDCl3): δ 164.1 (2C), 133.9 (2C), 131.4, 131.1 (2C), 128.0, 126.9 (2C), 122.5 (2C), 59.9 (2C), 56.1 (2C), 54.9, 54.6, 52.0, 41.9, 38.8, 25.0, 24.4; HRMS (ESI): Calcd for C23H32N3O4: 414.2387 [M+H]+, Found: 414.2384 [M+H]+.
N-[2-(1,3-Dioxo-2,3-dihydro-1H-benz[de]-isoquinolin-2-yl)propyl]-N-methyl-N',N'-bis(2-chloroethyl)-ethylenediamine (7a). The solution of compound 6a (75 mg, 0.19 mmol) in SOCl2 (2 mL) was stirred at room temperature overnight. The remaining SOCl2was completely removed by adding Et2O and then condensing the mixture several times in vacuo. The residue was dissolved in CH2Cl2; by adding Et2O into the solution, a white solid was formed and a gray solid was obtained by filtration with a yield of 85%. The purity of 7a as determined by NMR meets the requirements for the cytotoxicity assay. 1H- NMR (300 MHz, D2O) δH (ppm): 1.93 (brs, 2H), 2.88 (s, 3H), 3.46–3.86 (m, 14H), 7.24–7.30 (m, 2H), 7.72–7.78 (m, 4H). 13C-NMR (75 MHz, D2O): δ165.2 (2C), 135.8 (2C), 131.9, 130.9 (3C), 127.5 (2C), 120.3 (2C), 55.6(4C), 51.5, 48.4, 40.7, 39.1, 37.6, 24.9.HRMS (ESI): Calcd for C22H28Cl2N3O2: 436.1553 [M+H]+, Found: 436.1559 [M+H]+.
N-[2-(1,3-Dioxo-2,3-dihydro-1H-benz[de]-isoquinolin-2-yl)propyl]-N-methyl-N',N'-bis(2-chloroethyl)-1,3-diamine (7b). To a solution of compound 6b (123 mg, 0.30 mmol) in CHCl3 (20 mL) was added SOCl2 (0.15 mL) dropwise, and the solution became turbid. After the reaction was kept at 65 °C for 4 h, the solution became clear. The solvent was removed in vacuo to give the crude product, which was dissolved in conc. NaHCO3 solution and extracted with CH2Cl2. The organic layer was washed by conc. NaCl, dried by Na2SO4 and purified by column chromatography (CHCl3/MeOH = 50:1) to yield 7b (yellow oil, 45%) 1H-NMR (300 MHz, CDCl3) δH(ppm): 1.62 (t, 2H, J = 7.2 Hz), 1.92–1.99 (m, 2H), 2.27 (s, 3H), 2.43 (t, 2H, J = 6.6 Hz), 2.52–2.62 (m, 4H), 2.84 (t, 4H, J = 7.2 Hz), 3.50 (t, 4H, J = 6.9 Hz), 4.22 (t, 2H, J = 7.5 Hz), 7.74 (t, 2H, J = 7.8 Hz), 8.19 (d, 2H, J = 7.8 Hz), 8.57 (d, 2H, J = 7.2 Hz). 13C-NMR (75 MHz, CDCl3): δ 164.0 (2C), 133.8 (2C), 131.4, 131.1 (3C), 127.9, 126.8, 122.5 (2C), 56.3 (2C), 55.2, 54.9, 52.4, 41.9 (2C), 41.7, 38.7, 25.4, 25.2; HRMS (ESI): Calcd for C23H30Cl2N3O2: 450.1710 [M+H]+, Found:450.1716 [M+H]+.
N,N-Bis[2-(1,3-dioxo-2,3-dihydro-1H-benz[de]-isoquinolin-2-yl)propyl]ethanolamine (8a). A mixture of compound 2 (318 mg, 1 mmol), ethanolamine (30 μL, 0.5 mmol) and K2CO3 (552 mg, 4 mmol) in CH3CN (10 mL) was heated at 80 °C in and oil bath under N2 for 24 h. The resulting mixture was filtrated to remove the solid salt and concentrated in vacuo, then purified by column chromatography over silica gel (CH2Cl2/MeOH = 30:1~20:1) to yield 8a (light yellow solid, 174 mg, 65%). 1H-NMR (300 MHz, CDCl3) δH(ppm): 1.87–1.96 (m, 4H), 2.64–2.69 (m, 6H), 3.63 (m, 2H), 4.24 (t, 4H, J = 7.5 Hz), 7.71 (t, 4H, J = 7.5 Hz), 8.16 (d, 4H, J = 8.1 Hz), 8.54 (d, 4H, J = 7.2 Hz). 13C-NMR (75 MHz, CDCl3): δ 164.0 (4C), 133.8 (4C), 131.4 (2C), 131.1 (4C), 128.0 (2C), 126.8 (4C), 122.6 (4C), 59.1, 56.3, 51.6 (2C), 38.6 (2C), 25.7 (2C); HRMS (ESI): Calcd for C32H30N3O5: 536.2180 [M+H]+, Found:536.2184 [M+H]+.
N,N-Bis[2-(1,3-dioxo-2,3-dihydro-1H-benz[de]-isoquinolin-2-yl)propyl]-3-amino-1-propanol (8b). Compound 8b was synthesized by a similar procedure as the synthesis of 8a. Compound 2 (318 mg, 1 mmol), 3-amino-1-propanol (0.037 mL, 0.5 mmol) and K2CO3 (552 mg, 4 mmol) were employed to produce 8b (light yellow oil, 137 mg, 50%). 1H-NMR (300 MHz, CDCl3) δH(ppm): 1.76 (m, 2H), 1.95 (m, 4H), 2.64–2.72 (m, 6H), 3.88 (t, 2H), 4.21 (t, 4H, J = 7.5 Hz), 7.69 (t, 4H, J = 7.2 Hz), 8.15 (d, 4H, J = 8.4 Hz), 8.49 (d, 4H, J = 7.5 Hz). 13C-NMR (75 MHz, CDCl3):δ 163.9 (4C), 133.7 (4C), 131.3 (2C), 130.9 (4C), 127.8 (2C), 126.7 (4C), 122.3 (4C), 62.9, 52.7, 51.6 (2C), 38.7 (2C), 28.4, 25.2 (2C); HRMS (ESI): Calcd for C33H32N3O5: 550.2336 [M+H]+, Found: 550.2346 [M+H]+.
N,N-Bis[2-(1,3-dioxo-2,3-dihydro-1H-benz[de]-isoquinolin-2-yl)propyl]-3-chloro-1-propylamine (9b). To a solution of compound 8b (1.100 g, 2.0 mmol) in CHCl3 (20 mL) was added SOCl2 (0.8 mL) dropwise and the mixture was stirred at room temperature for 2 days. The resulting mixture was concentrated under reduced pressure to give a yellow solid residue. The residue was rapidly purified by column chromatography over silica gel (CH2Cl2/MeOH = 40:1) to yield 9b (light yellow solid, 87.5%). Compound 9b was easily transferred into the corresponding ammonium salt, so it should be used immediately for next step. 1H-NMR (300 MHz, CDCl3) δH (ppm): 1.88–2.04 (m, 6H), 2.64 (t, 6H, J = 6.3 Hz), 3.69 (t, 2H, J = 6.3 Hz), 4.21 (t, 4H, J = 6.6 Hz), 7.68 (t, 4H, J = 7.2 Hz), 8.26 (d, 4H, J = 8.1 Hz), 8.77 (d, 4H, J = 7.2 Hz). 13C-NMR (75 MHz CDCl3): δ 163.8 (4C), 133.6 (4C), 131.3 (2C), 130.9 (4C), 127.8 (2C), 126.7 (4C), 122.5 (4C), 51.6, 50.7 (2C), 43.4, 38.8 (2C), 30.5, 25.5 (2C); HRMS (ESI): Calcd for C33H30ClN3O4: 568.2003 [M+H]+, Found: 568.1982 [M+H]+.
N,N-Bis[2-(1,3-dioxo-2,3-dihydro-1H-benz[de]-isoquinolin-2-yl)propyl]-N',N'-bis(2-hydroxyethyl)-ethylenediamine (10a). The synthesis of compound 10a was divided into two parts. Firstly, compound 8a (560 mg, 1.05 mmol) was employed to produce 9a through a similar procedure as 9b. Then compound 9a was directly used for the next step. A mixture of 9a (350 mg, 0.63 mmol), K2CO3 (540 mg, 3.91 mmol), KI (100 mg, 0.60 mmol) and diethanolamine (0.8 mL) in CH3CN (10 mL) was refluxed under N2 for 60 h. The resulting mixture was filtrated to remove solid K2CO3, and then concentrated under reduced pressure. The crude product was purified by column chromatography over silica gel (CHCl3/MeOH = 30:1) to yield 10a (light yellow oil, 86.0%).1H-NMR (300 MHz, CDCl3) δH (ppm): 1.94 (t, 4H, J = 6.9 Hz), 2.62–2.70 (m, 12H), 3.61 (brs, 6H), 4.22 (t, 4H, J = 6.6 Hz), 7.72 (t, 4H, J = 7.2 Hz), 8.18 (d, 4H, J = 8.1 Hz), 8.54 (d, 4H, J = 7.2 Hz). 13C-NMR (75 MHz, CDCl3): δ 164.1 (4C), 133.8 (4C), 131.4 (2C), 131.1 (6C), 126.8 (4C), 122.6 (4C), 59.9 (2C), 57.2 (2C), 52.6, 52.4, 51.4 (2C), 38.9 (2C), 24.8 (2C); HRMS (ESI): Calcd for C36H39N4O6: 536.2180 [M+H]+, Found:536.2848 [M+H]+.
N,N-Bis[2-(1,3-dioxo-2,3-dihydro-1H-benz[de]-isoquinolin-2-yl)propyl]-N',N'-bis(2-hydroxyethyl)-1,3-diamine (10b). Compound 10b was synthesized by a similar procedure as the synthesis of 10a. Compound 8b (1.000 g, 1.8 mmol) was employed to produce 9b, which was then used immediately for the next step to yield 10b (light yellow oil, 81.6%). 1H-NMR (300 MHz, CDCl3) δH (ppm): 1.68–1.73 (t, 2H), 1.89–1.96 (m, 4H), 2.56–2.68 (m, 12H), 3.38 (brs, 2H), 3.64–3.67 (t, 4H), 4.22 (t, 4H, J = 7.5 Hz), 7.72 (t, 4H, J = 7.5 Hz), 8.17 (d, 4H, J = 7.8 Hz), 8.55 (d, 4H, J = 7.5 Hz). 13C-NMR (75 MHz, CDCl3): δ164.2 (4C), 133.8 (4C), 131.5 (2C), 131.2 (4C), 128.0 (2C), 126.9 (4C), 122.6 (4C), 59.8 (2C), 56.6 (2C), 52.8, 51.8 (2C), 51.1, 39.0 (2C), 25.3 (2C), 24.8; HRMS (ESI): Calcd for C37H41N4O6: 637.3021 [M+H]+, Found: 637.3027 [M+H]+.
N,N-Bis[2-(1,3-dioxo-2,3-dihydro-1H-benz[de]-isoquinolin-2-yl)propyl]-N',N'-bis(2-chloroethyl)–ethylenediamine hydrochloride (11a). The solution of compound 10a (50 mg, 0.08 mmol) in SOCl2 (1 mL) was stirred at room temperature overnight. The remaining SOCl2 was completely removed by adding Et2O and then condensed for several times in vacuo. The residue was dissolved in a mixed solution of methanol and a little methylene chloride, then a drop of concentrated hydrochloric acid was added to afford a white solid precipitate. The suspension was filtered to yield crude product 11a hydrochloride as white solid (30 mg, 51.0%). 1H-NMR (300 MHz, DMSO-d6) δH(ppm): 2.09 (brs, 4H), 3.07–3.77 (brs, 16H), 4.09 (t, 4H, J = 6.3 Hz), 7.82 (t, 4H, J = 7.8 Hz), 8.36–8.44 (m, 8H). 13C- NMR (75 MHz, DMSO-d6): δ 163.7 (4C), 134.5 (4C), 131.3 (2C), 130.8 (4C), 127.4 (2C), 127.2 (4C), 122.1 (4C), 54.4 (2C), 50.3 (2C), 47.6 (2C), 37.2 (4C), 22.1 (2C); HRMS (ESI): Calcd for C36H37Cl2N4O4: 659.2186 [M+H]+, Found:659.2180 [M+H]+.
N,N-Bis[2-(1,3-dioxo-2,3-dihydro-1H-benz[de]-isoquinolin-2-yl)propyl]-N',N'-bis(2-chloroethyl)-1,3-diamine (11b). To a solution of compound 10b (190 mg, 0.30 mmol) in CHCl3 (25 mL) was added SOCl2 (0.15 mL) dropwise and the mixture stirred at 65 °C for 2 h. The solvent was removed under reduced pressure, then water (20 mL) and solid Na2CO3 were added to neutralize the solution, which was extracted with CH2Cl2 (50 mL). The organic layer was washed with saturated NaCl, dried over MgSO4, concentrated and then purified by column chromatography over silica gel (CHCl3/MeOH = 50:1) to yield 11b (yellow oil, 77.0%). 1H-NMR (300 MHz, CDCl3) δH (ppm): 1.65 (brs, 2H), 1.92 (brs, 4H), 2.63–2.67 (m, 8H), 2.86 (t, 4H, J = 7.2 Hz), 3.51 (t, 4H, J = 7.2 Hz), 4.23 (t, 4H, J = 7.2 Hz), 7.72 (t, 4H, J = 7.8 Hz), 8.18 (d, 4H, J = 7.8 Hz), 8.54 (d, 4H, J = 7.2 Hz). 13C-NMR (75 MHz, CDCl3): δ 164.0 (4C), 133.7 (4C), 131.5 (2C), 131.1 (4C), 128.0 (2C), 126.8 (4C), 122.6 (4C), 56.4 (2C), 52.7, 51.6 (2C), 51.3, 42.0 (2C), 38.8 (2C), 25.2 (3C); HRMS (ESI): Calcd for C37H39Cl2N4O4: 673.2343 [M+H]+, Found: 673.2341 [M+H]+.

3.3. Fluorescence Study Experiment

Each compound was divided into two groups: one was added with a constant concentration of ctDNA (calf thymus DNA, 50 μM) and the other was without the ctDNA as control. Various concentrations of compounds ranging from 1 μM to 25 μM (1, 5, 10, 20 and 25 μM) were used. To every sample was added Tris-HCl buffer (25 mM, pH = 7.4) to get a final volume of 4 mL, which was stirred constantly at 30 °C in the dark for 3 days before recording each spectrum.

3.4. Agarosegel Cross-Linking Assay

Each compound was tested at four concentrations (1, 5, 10, 50 μM). To each sample was added 2 μL plasmid DNA (PUC-19, 0.16 μg/μL) and various concentrations of compounds, diluted by Tris-HCl buffer (0.05 M, pH = 7.4) to reach a final volume of 15 μL. Every group has a pure DNA sample as blank control and its own control sample by using its own precursor in concentration of 10 μM. All the above samples were incubated at 37 °C for 1 h and separated on an agarose gel (120 V, 45 min).

3.5. In Vitro Cytotoxicity Evaluation

All the compounds were tested in their mono- or dihydrochloride form. The samples were prepared by adding a stoichiometric amount of 1 M HCl to the solution, and then removing the solvent to obtain the target compounds. All cells used in the research were prepared at 3.5 × 104 cells/mL concentration and each 100 μL cells suspension was seeded in 96-well cell incubated for 24 h (37 °C, 5% CO2). Then each solution was added and incubated for another 72 h. For the control group, equivalent concentration of DMSO (final concentration 0.5%) was added. MTT (3-[4,5-dimethylthiazol-2yl]-diphenyltetrazolium bromide) method was employed to measure the number of surviving cells and the OD value was recorded at 492 nm/620 nm. The IC50 values were calculated using Prism Graphpad software of the triplicate experiment.

3.6. Flow Cytometry Assay

Cells were trypsinized and washed twice with PBS, then fixed in 75% alcohol for at least 30 min at 4 °C. The fixed cells were recovered by centrifugation and washed twice with PBS, and then stained with PI in PBS containing RNAase and 0.1% Triton-X100 for 30 min at 37 °C. The cellular DNA content was measured by a FACScalibur flow cytometer (BD Bioscience, San Jose, CA, USA).

3.7. Immunoblotting Assay

Cells were lysed using RIPA lysis buffer containing PMSF and phosphatase/protease inhibitors. The total cellular protein extracts was qualified by BCA assay. 20 μg of total protein was resolved on 10% SDS-PAGE, then electro-transferred onto PVDF membranes, and incubated with appropriate antibodies overnight at 4 °C, then washed in PBS containing 0.1% Tween 20 and incubated with corresponding secondary antibodies for 1 h at room temperature. After that the membranes were developed with the enhanced chemiluminescence Western Blotting detection reagent (Amersham-Pharmacia, Piscataway, NJ, USA).

4. Conclusions

A series of mono- and bisnaphthalimide N-mustard derivatives were synthesized as potent antitumor agents. Through conjugating N-mustard to naphthalimide, improved cytotoxicity was obtained. Compound 11b exhibited considerably cytotoxicity compared with amonafide, and showed potency as an antitumor agent. Even though more investigation is still needed to evaluate the efficiency of the N-mustard moiety, the bioactivity results suggest that the length of the flexible amine link and naphthalimide core could improve the cytotoxicity. Our work is meaningful in compensating for the lack of research in this field of combining N-mustards with naphthalimides.

Supplementary Materials

Supplementary materials can be accessed at: https://www.mdpi.com/1420-3049/19/7/8803/s1.

Acknowledgments

The authors thank financial supports from National Natural Science Foundation of China (NSFC No. 81273370) and the PKU Care Pharmaceutical R&D Center.

Author Contributions

X.M. and Z.L. conceived the project. Q.L., W.Z. and S.L. designed the experiments and executed the chemical synthesis. L.J. and S.Y. performed the biological experiments. Q.L., W.Z. and X.M. wrote the paper. All authors discussed the results and commented on the manuscript.

Conflicts of Interest

The author declares no conflict of interest.

References

  1. Neidle, S.; Thurston, D.E. Chemical approaches to the discovery and development of cancer therapies. Nat. Rev. Cancer 2005, 5, 285–296. [Google Scholar] [CrossRef]
  2. Chu, P.M.; Chen, L.H.; Chen, M.T.; Ma, H.I.; Su, T.L.; Hsieh, P.C.; Chien, C.S.; Jiang, B.H.; Chen, Y.C.; Lin, Y.H.; et al. Targeting autophagy enhances BO-1051-induced apoptosis in human malignant glioma cells. Cancer Chemother. Pharmacol. 2012, 69, 621–633. [Google Scholar] [CrossRef]
  3. Kakadiya, R.; Dong, H.; Kumar, A.; Narsinh, D.; Zhang, X.; Chou, T.C.; Lee, T.C.; Shah, A.; Su, T.L. Potent DNA-directed alkylating agents: Synthesis and biological activity of phenyl N-mustard-quinoline conjugates having a urea or hydrazinecarboxamide linker. Bioorg. Med. Chem. 2010, 18, 2285–2299. [Google Scholar] [CrossRef]
  4. Jiang, Y.; Han, J.; Yu, C.; Vass, S.O.; Searle, P.F.; Browne, P.; Knox, R.J.; Hu, L. Design, synthesis, and biological evaluation of cyclic and acyclic nitrobenzylphosphoramide mustards for E. coli nitroreductase activation. J. Med. Chem. 2006, 49, 4333–4343. [Google Scholar] [CrossRef]
  5. Duan, J.X.; Jiao, H.L.; Kaizerman, J.; Stanton, T.; Evans, J.W.; Lan, L.; Lorente, G.; Banica, M.; Jung, D.; Wang, J.W.; et al. Potent and highly selective hypoxia-activated achiral phosphoramidate mustards as anticancer drugs. J. Med. Chem. 2008, 51, 2412–2420. [Google Scholar] [CrossRef]
  6. Kapuriya, N.; Kapuriya, K.; Dong, H.; Zhang, X.; Chou, T.C.; Chen, Y.T.; Lee, T.C.; Lee, W.C.; Tsai, T.H.; Naliapara, Y.; et al. Novel DNA-directed alkylating agents: Design, synthesis and potent antitumor effect of phenyl N-mustard-9-anilinoacridine conjugates via a carbamate or carbonate linker. Bioorg. Med. Chem. 2009, 17, 1264–1275. [Google Scholar] [CrossRef]
  7. Maze, R.; Carney, J.P.; Kelley, M.R.; Glassner, B.J.; Williams, D.A.; Samson, L. Increasing DNA repair methyltransferase levels via bone marrow stem cell transduction rescues mice from the toxic effects of 1,3-bis(2-chloroethyl)-1-nitrosourea, a chemotherapeutic alkylating agent. Proc. Natl. Acad. Sci. USA 1996, 93, 206–210. [Google Scholar]
  8. Suzukake, K.; Vistica, B.P.; Vistica, D.T. Dechlorination of l-phenylalanine mustard by sensitive and resistant tumor cells and its relationship to intracellular glutathione content. Biochem. Pharmacol. 1983, 32, 165–167. [Google Scholar] [CrossRef]
  9. Su, T.L.; Lin, Y.W.; Chou, T.C.; Zhang, X.; Bacherikov, V.A.; Chen, C.H.; Liu, L.F.; Tsai, T.J. Potent antitumor 9-anilinoacridines and acridines bearing an alkylating N-mustard residue on the acridine chromophore: Synthesis and biological activity. J. Med. Chem. 2006, 49, 3710–3718. [Google Scholar]
  10. Kapuriya, N.; Kapuriya, K.; Zhang, X.; Chou, T.C.; Kakadiya, R.; Wu, Y.T.; Tsai, T.H.; Chen, Y.T.; Lee, T.C.; Shah, A.; et al. Synthesis and biological activity of stable and potent antitumor agents, aniline nitrogen mustards linked to 9-anilinoacridines via a urea linkage. Bioorg. Med. Chem. 2008, 16, 5413–5423. [Google Scholar] [CrossRef]
  11. Kohler, B.; Su, T.L.; Chou, T.C.; Jiang, X.J.; Watanabe, K.A. Synthesis of cyclopentanthraquinones: Analogs of mitomycin C. J. Org. Chem. 1993, 58, 1680–1686. [Google Scholar] [CrossRef]
  12. Baraldi, P.G.; Beria, I.; Cozzi, P.; Geroni, C.; Espinosa, A.; Gallo, M.A.; Entrena, A.; Bingham, J.P.; Hartley, J.A.; Romagnoli, R. Cinnamoyl nitrogen mustard derivatives of pyrazole analogues of tallimustine modified at the amidino moiety: Design, synthesis, molecular modeling and antitumor activity studies. Bioorg. Med. Chem. 2004, 12, 3911–3921. [Google Scholar] [CrossRef]
  13. Baraldi, P.G.; Romagnoli, R.; Giovanna Pavani, M.; del Carmen Nunez, M.; Bingham, J.P.; Hartley, J.A. Benzoyl and cinnamoyl nitrogen mustard derivatives of benzoheterocyclic analogues of the tallimustine: Synthesis and antitumour activity. Bioorg. Med. Chem. 2002, 10, 1611–1618. [Google Scholar] [CrossRef]
  14. Baraldi, P.G.; Romagnoli, R.; Guadix, A.E.; Pineda de las Infantas, M.J.; Gallo, M.A.; Espinosa, A.; Martinez, A.; Bingham, J.P.; Hartley, J.A. Design, synthesis, and biological activity of hybrid compounds between uramustine and DNA minor groove binder distamycin A. J. Med. Chem. 2002, 45, 3630–3638. [Google Scholar] [CrossRef]
  15. Pors, K.; Paniwnyk, Z.; Ruparelia, K.C.; Teesdale-Spittle, P.H.; Hartley, J.A.; Kelland, L.R.; Patterson, L.H. Synthesis and biological evaluation of novel chloroethylaminoanthraquinones with potent cytotoxic activity against cisplatin-resistant tumor cells. J. Med. Chem. 2004, 47, 1856–1859. [Google Scholar] [CrossRef]
  16. Denny, W.A. DNA minor groove alkylating agents. Curr. Med. Chem. 2001, 8, 533–544. [Google Scholar] [CrossRef]
  17. Brana, M.F.; Ramos, A. Naphthalimides as anti-cancer agents: Synthesis and biological activity. Curr. Med. Chem. Anticancer Agents 2001, 1, 237–255. [Google Scholar] [CrossRef]
  18. Brana, M.F.; Castellano, J.M.; Moran, M.; Perez de Vega, M.J.; Perron, D.; Conlon, D.; Bousquet, P.F.; Romerdahl, C.A.; Robinson, S.P. Bis-naphthalimides 3: Synthesis and antitumor activity of N,N'-bis[2-(1,8-naphthalimido)-ethyl] alkanediamines. Anticancer Drug Des. 1996, 11, 297–309. [Google Scholar]
  19. Brana, M.F.; Castellano, J.M.; Moran, M.; Perez de Vega, M.J.; Romerdahl, C.R.; Qian, X.D.; Bousquet, P.; Emling, F.; Schlick, E.; Keilhauer, G. Bis-naphthalimides: A new class of antitumor agents. Anticancer Drug Des. 1993, 8, 257–268. [Google Scholar]
  20. Pain, A.; Samanta, S.; Dutta, S.; Saxena, A.K.; Shanmugavel, M.; Kampasi, H.; Qazi, G.N.; Sanyal, U. Evaluation of naphthalmustine, a nitrogen mustard derivative of naphthalimide as a rationally-designed anticancer agent. J. Exp. Clin. Cancer Res. 2003, 22, 411–418. [Google Scholar]
  21. Pain, A.; Samanta, S.; Dutta, S.; Saxena, A.K.; Shanmugavel, M.; Kampasi, H.; Qazi, G.N.; Sanyal, U. Evaluation of napromustine, a nitrogen mustard derivative of naphthalimide, as a rationally designed mixed-function anticancer agent. Exp. Oncol. 2002, 24, 173–179. [Google Scholar]
  22. Pain, A.; Samanta, S.; Dutta, S.; Saxena, A.K.; Shanmugavel, M.; Kampasi, H.; Quazi, G.N.; Sanyal, U. Synthesis and evaluation of substituted naphthalimide nitrogen mustards as rationally designed anticancer compounds. Acta. Pol. Pharm. 2003, 60, 285–291. [Google Scholar]
  23. Xu, F.; Gan, Y.; Zhang, Y.; Luo, W.; Ma, H.; Wang, C.; Zhao, J. Synthesis and biological activity of two kinds of nitrogen mustard derivatives. Chin. J. Org. Chem. 2011, 31, 1122–1126. [Google Scholar]
  24. Hossain, S.U.; Sengupta, S.; Bhattacharya, S. Synthesis and evaluation of antioxidative properties of a series of organoselenium compounds. Bioorg. Med. Chem. 2005, 13, 5750–5758. [Google Scholar] [CrossRef]
  25. Teiichi, M.; Kiyotaka, F. One-pot synthesis of aryl sulfones from alcohols. Synthesis 2002, 4, 479–482. [Google Scholar]
  26. Woo, L.W.; Bubert, C.; Sutcliffe, O.B.; Smith, A.; Chander, S.K.; Mahon, M.F.; Purohit, A.; Reed, M.J.; Potter, B.V. Dual aromatase-steroid sulfatase inhibitors. J. Med. Chem. 2007, 50, 3540–3560. [Google Scholar] [CrossRef]
  27. Hegde, R.; Thimmaiah, P.; Yerigeri, M.C.; Krishnegowda, G.; Thimmaiah, K.N.; Houghton, P.J. Anti-calmodulin acridone derivatives modulate vinblastine resistance in multidrug resistant (MDR) cancer cells. Eur. J. Med. Chem. 2004, 39, 161–177. [Google Scholar] [CrossRef]
  28. Kaufmann, S.H.; Desnoyers, S.; Ottaviano, Y.; Davidson, N.E.; Poirier, G.G. Specific proteolytic cleavage of poly(ADP-ribose) polymerase: An early marker of chemotherapy-induced apoptosis. Cancer Res. 1993, 53, 3976–3985. [Google Scholar]
  • Sample Availability: Samples of the compounds are available from the authors.

Share and Cite

MDPI and ACS Style

Lou, Q.; Ji, L.; Zhong, W.; Li, S.; Yu, S.; Li, Z.; Meng, X. Synthesis and Cytotoxicity Evaluation of Naphthalimide Derived N-Mustards. Molecules 2014, 19, 8803-8819. https://doi.org/10.3390/molecules19078803

AMA Style

Lou Q, Ji L, Zhong W, Li S, Yu S, Li Z, Meng X. Synthesis and Cytotoxicity Evaluation of Naphthalimide Derived N-Mustards. Molecules. 2014; 19(7):8803-8819. https://doi.org/10.3390/molecules19078803

Chicago/Turabian Style

Lou, Qinghua, Liyan Ji, Wenhe Zhong, Shasha Li, Siwang Yu, Zhongjun Li, and Xiangbao Meng. 2014. "Synthesis and Cytotoxicity Evaluation of Naphthalimide Derived N-Mustards" Molecules 19, no. 7: 8803-8819. https://doi.org/10.3390/molecules19078803

APA Style

Lou, Q., Ji, L., Zhong, W., Li, S., Yu, S., Li, Z., & Meng, X. (2014). Synthesis and Cytotoxicity Evaluation of Naphthalimide Derived N-Mustards. Molecules, 19(7), 8803-8819. https://doi.org/10.3390/molecules19078803

Article Metrics

Back to TopTop