Abstract
The scope of the Pauson-Khand reaction (PKR) of internal trifluoromethyl alkynes, previously described with norbornadiene, is expanded to norbornene and ethylene. A thorough structural analysis of the resulting PK adducts has been carried out to unveil that α-trifluoromethylcyclopentenones are preferred in all cases, independently of the electronic properties of the alkyne. The regioselectivity observed with norbornadiene and ethylene is higher than in the case of norbornene.
1. Introduction
The Pauson-Khand reaction (PKR) is a cobalt catalyzed [2+2+1] cycloaddition between an alkene, an alkyne and carbon monoxide to give a cyclopentenone [1]. The intramolecular PKR has been extensively used in organic synthesis since both the regio- and the stereochemical outcome of the reaction are substrate-controlled. However, the intermolecular PKR has been less exploited mainly because of the small range of reactive alkenes. The intermolecular reaction with terminal alkynes is completely regioselective affording adducts with the substituent always in α-position of the enone. In the case of internal dissymmetric alkynes, the regioselectivity of the PK adducts depends on a combination of steric and electronic effects [2,3,4,5,6,7]. In the absence of steric effects, electron-donating groups (EDGs) show preference for the α-position whereas electron-withdrawing groups (EWGs) tend to place at the β-position [3,4,5]. However, recent studies have shown that the electronic effects are less significant than previously described [3,4,5] and can, therefore, be overcome by steric effects [6,7]. In this context, we became interested in exploring the reactivity of dissymmetric fluorinated alkynes in the intermolecular PKR in order to uncover how the particular electronic and steric properties of these substrates affect the regiochemical outcome of the intermolecular PKR [8,9].
The remarkable physicochemical properties [10] of fluorinated compounds has led to an increasing effort to the development of reliable methods for their preparation and to an exploration of the effect that fluorinated substituents have on reactivity [11,12]. In spite of the great development that fluorine chemistry has experienced during the last decade, only a few examples of the PKR of fluorinated alkynes have been reported to date. The first examples of fluorinated alkynes in the intramolecular PKR were reported at the beginning of the past decade [13,14,15,16,17,18]. In 2010 the first example of intermolecular PKR of fluorinated alkynes with norbornadiene was reported [8]. The most striking result from this study was the fact that the PKR of fluorinated alkynes was extremely regioselective leading, unexpectedly, to the α-fluorinated cyclopentenones. These observations were further confirmed recently, when we described [9] the PKR of a large set of internal trifluoromethyl alkynes bearing electron-donating and electron-withdrawing groups with norbornadiene. With no exception, only the α-trifluoromethylcyclopentenone was obtained in good yield. Given that the electronic effect should direct the most electron-withdrawing substituent to the β-position, we hypothesized that it was being overridden by the steric hindrance of the trifluoromethyl group. On the other hand, Konno and co-workers [19] described the PKR of several trifluoromethyl alkynes with norbornene instead of norbornadiene and reported that the regioselectivity of the PKR was not complete. To confirm these findings and to shed some light into this somewhat surprising difference between norbornene and norbornadiene, we sought to study the PKR of internal dissymmetric alkynes with norbornene and ethylene in order to understand how the alkene can influence the regioselectivity of the PKR.
2. Results and Discussion
In order to cover a wide range of electronic properties, we chose trifluoromethyl alkynes 1a–d containing electron-donating and electron-withdrawing substituted aromatic rings and aliphatic chains (Figure 1). The cobalt hexacarbonyl complexes 2a–d of these alkynes were synthesized from the corresponding terminal alkynes following the methodology described by us [9] based on Qing’s trifluoromethylation reaction [20,21].
Figure 1.
Dissymmetric fluorinated alkynes used in this study.
Figure 1.
Dissymmetric fluorinated alkynes used in this study.

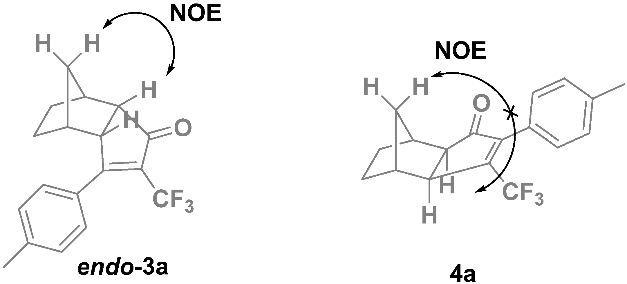
We first carried out the PKR between the cobalt complex of p-tolyltrifluoromethylacetylene (2a) and norbornene under typical thermal conditions. The reaction proceeded smoothly and gave the PK adducts in an excellent 87% yield as an 86:14 mixture of isomers (Table 1, entry 1). The structure of the major isomer 3a was easily determined by NMR and confirmed by chemical correlation: the same compound was obtained from the PK adduct of 2a with norbornadiene by catalytic hydrogenation (Pd/C, H2, MeOH). The structure of the minor isomer was more difficult to ascertain, since it could be either the regioisomer 4a or the endo isomer endo-3a (Figure 2). Careful study by NMR allowed us to rule out the endo isomer. One diagnostic observation was the absence of the NOE correlations expected for endo-3a (Figure 2). Therefore, we could confirm that the minor PK adduct was the regioisomer 4a with the CF3 at the β-position. It is worth to mention that the PKR of the same substrate with norbornadiene is completely regioselective.
Figure 2.
Characteristic NOE's for the endo diastereomers that are not present in the exo isomers.
Figure 2.
Characteristic NOE's for the endo diastereomers that are not present in the exo isomers.

The alkyne cobalt complexes 2b-c were submitted to the same reaction conditions and both 1H and 19F-NMR of the crude reaction products also showed two sets of signals. Careful purification and analysis of their NMR spectra showed that the major isomers were the α-fluorinated compounds 3b–c whereas the minor isomers were the β-fluorinated PK adducts (Table 1). However, in the case of 3d the presence of the minor regioisomer was marginal, so it could only be detected by 19F-NMR. These results are in agreement with those reported by Konno and co-workers [19]. The regioselectivities we detect for the PKR of 2b and 2c are in concordance with their results for the same substrates. The spectroscopical data is also coincident with the one given in their report, although in our case we provide complete characterization for all the major and minor diastereomers for the first time.
The fact that the regioselectivity was poorer with an electron-withdrawing substituent in the alkyne (compound 2c) than with electron-donating substituents (compounds 2a–b) adds more difficulty in understanding the regiochemistry of the PKR. If we assume that the trifluoromethyl group will preferentially occupy the α-position in the final product mainly for steric reasons, we could argue that this tendency should be reinforced when having an electron-withdrawing substituent partner, since it would prefer the β-position, and diminished with an electron-donating group, that would compete for the α-position. Theoretical studies on the regiochemistry of these reactions are ongoing in our laboratory in order to explain these results.
Table 1.
Regioselectivity of the PKR of trifluoromethyl alkynes 1a–d with norbornene.
| Entry | SM | R | Product | Yield (%) | Ratio 3:4 |
|---|---|---|---|---|---|
| 1 | 2a | p-MePh | 3a, 4a | 87 | 86:14 |
| 2 | 2b | p-MeOPh | 3b, 4b | 51 | 86:14 |
| 3 | 2c | p-ClPh | 3c, 4c | 41 | 71:29 |
| 4 | 2d | C11H23 | 3d | 40 | >95:5 |
Once explored the reactivity of norbornene in the PKR, we tackled the PKR of dissymmetric fluorinated alkynes with ethylene [2], tetramethylnorbornadiene [22], and (E)-cyclooctene [23], all of them used as alkenes in the PKR. As for the PKR with norbornene and in order to cover a representative range of electronic properties, we selected the same alkynes 1a–c as before. However, instead of the alkyne 1d with an aliphatic side chain, we selected ethylphenyltrifluoromethylacetylene (1e) in order to decrease the volatility and lipophilicity of the final product and therefore simplify its isolation and handling.
We first carried out an optimization of the ethylene reaction with the cobalt complex 1a as a model. The beneficial effect of the use of molecular sieves as an additive for the intermolecular PKR is well-established [24,25], and our group had already experienced how the use of this zeolite in PKRs with ethylene increased the reaction yields dramatically [2]. At sight of these precedents, we decided to include molecular sieves in our optimization reactions. These zeolites are supposed to promote the PKR by increasing the availability of ethylene in the solvent and by acting as a micro-reactor. In order to further increase the presence of ethylene in the liquid sine of the reaction, we decided to carry out the reaction at low temperature and to activate it with N-methylmorpholine-N-oxide (NMO), the addition of which was done slowly in order to prevent decomposition of the starting cobalt-alkyne complex (Table 2).
The yields obtained were very low in all cases when activating the reaction by the addition of NMO. The use of molecular sieves did not improve the reaction yield (entry 1), and our attempts to carry out the reaction at lower temperature to slow down the oxidation of our cobalt complex and to increase the solubility of ethylene were fruitless (entries 2, 3).
Table 2.
PKR of trifluoromethyl alkynes 1a–e with ethylene.
| Entry | SM | R | Conditions | Product | Yield |
|---|---|---|---|---|---|
| 1 | 1a | p-MePh | 6 bars ethylene, NMO b (10 equiv), 4 Å MS (activated a; 15x alkyne mass), rt, DCM | 5a | 18% |
| 2 | 1a | p-MePh | 6 bars ethylene, NMO b (10 equiv), rt, DCM | 5a | 25% |
| 3 | 1a | p-MePh | 6 bars ethylene, NMO b (10 equiv), 0 °C, DCM | 5a | 9% |
| 4 | 1a | p-MePh | 6 bars ethylene, 70 °C to 80 °C, toluene | 5a | 53% |
| 5 | 1b | p-MeOPh | 6 bars ethylene, 80 °C to 85 °C, toluene | 5b | 58% |
| 6 | 1c | p-ClPh | 6 bars ethylene, 80 °C to 85 °C, toluene | 5c | 56% |
| 7 | 1e | PhC2H4 | 6 bars ethylene, 80 °C to 85 °C, toluene | 5e | 23% |
a dried at 200 °C under high vacuum for 8 h, then stored in a vacuum oven; b slow addition; rate: 1 equiv./20 min.
Our best result was obtained when carrying out the reaction thermally and without the presence of molecular sieves (entry 4). Once explored the reaction conditions, we proceeded to test the remaining selected substrates (entries 5–7). Even though the yields were moderate, the crude reaction mixtures were very clean and the final products very easy to purify. In all cases only one PK adduct could be recovered upon purification and, after careful NMR analysis, all of them were assigned as the α-trifluoromethylcyclopentenones. Unfortunately, the reactions with other olefins were unsuccessful; complex 2d showed no reactivity with tetramethylnorbornadiene [22] after 24 h at 80 °C, whereas complex 2c decomposed in the presence of (E)-cyclooctene [23] and NMO in methylene chloride.
Removal of the trifluoromethyl group from the norbornadiene PK adducts allowed us the preparation of the previously unknown regioisomeric PK adducts of terminal alkynes. [8] Therefore, the trifluoromethyl group was used as a steering group to control the regioselectivity of the PK. With the new norbornene PK adducts in hand we wanted to test the generality of the process. Following the conditions previously established by our group [8,9], the reactions proceeded smoothly and, even though the yields were only moderate, they were clean in general and the products could be easily purified. The only exception was adduct 3d since, even though the final product could be detected by NMR and isolated, it was accompanied by unidentified reaction by-products. The minor regioisomers were also submitted to these reaction conditions and no evolution could be observed in any case, which represents a further confirmation that the minor adducts correspond, as expected, to the β-trifluoromethyl regioisomers and not to the diastereomeric endo α-trifluoromethyl products. PK adducts with ethylene 5a–d were also submitted to the destrifluoromethylation reaction conditions (Table 3). However, probably due to the volatility of the final products, they could not be isolated.
Table 3.
Removal of the trifluoromethyl group form the norbornene PK adducts.
| Entry | SM | R | Product | Yield (%) |
|---|---|---|---|---|
| 1 | 3a | p-MePh | 6a | 28 |
| 2 | 3b | p-MeOPh | 6b | 49 |
| 3 | 3c | p-ClPh | 6c | 30 |
| 4 | 3d | C11H23 | 6d | nd |
3. Experimental
3.1. General
Non-aqueous reactions were carried out under nitrogen atmospheres and with flame-dried glassware. Dry toluene was purchased directly from Sigma-Aldrich (St. Louis, MO, USA). Commercially available reagents were used with no further purification. All reactions were monitored by TLC analysis using Merck 60 F254 silica gel on aluminum sheets. Silica gel chromatography was performed by using 35-70 µm silica or an automated chromatography system (Combiflash®, Teledyne Isco, Lincoln, NE, USA) with hexanes/ethyl acetate gradients as eluent, unless noted otherwise.
NMR spectra were recorded at room temperature on a Varian Mercury 400 or a Bruker 300 instrument. 1H and 13C-NMR spectra were referenced to the residual peaks of the deuterated solvent. 19F-NMR spectra were referenced by the spectrometer without any external pattern. The following abbreviations were used to define the multiplicities: s, singlet; d, doublet; t, triplet; q, quadruplet; p, quintuplet; m, multiplet; br s, broad signal. The chemical shifts (δ) are expressed in ppm and the coupling constants (J), in hertz (Hz). IR spectra were recorded in a Thermo Nicolet Nexus FT-IR apparatus, either by preparing a KBr disk or by depositing a film of the product on a NaCl window. Absorptions are given in wavenumbers (cm−1). Melting points were recorded in a Büchi B-540 apparatus. Mass spectrometry analysis was performed as high resolution ESI analysis.
3.2. General Conditions for the Pauson-Khand Reaction with Norbornene
The cobalt complexes 2 were prepared according to reference 9. The cobalt complex was dissolved in anhydrous toluene (4 mL/0.1 mmol complex) in a round bottom flask equipped with a magnetic stirrer and put under N2. Norbornene (10 eq.) was then added, and the system was heated up to 80 °C. The reaction was allowed to progress for 24 h. After that time, the solvent was removed under reduced pressure. The crude was purified by silica gel chromatography using mixtures of hexanes/AcOEt of increasing polarity.
(3aS*,4R*,7S*,7aR*)-3-(4-Tolyl)-2-(trifluoromethyl)-3a,4,5,6,7,7a-hexahydro-1H-4,7-methanoinden-1-one: The general procedure was followed starting from cobalt complex 2a (75 mg, 0.15 mmol) and heated at 80 °C for 24 h. The desired products were isolated as white solids (36 mg, 87%) and as a 5.9:1 mixture of regioisomers that could be separated by silica gel chromatography. Major regioisomer 3a: Mp: 94–96 °C. IR (KBr) νmax. = 2961, 2874, 1705, 1618, 1364, 1124, 983, 831 cm−1. 1H-NMR (400 MHz, CDCl3) δ = 1.01 (dp, J = 10.8 and 1.4 Hz, 1H), 1.12 (dp, J = 10.7 and 1.9 Hz, 1H), 1.35 (m, 2H), 1.63 (m, 2H), 2.00 (dd, J = 3.0 and 1.5 Hz, 1H), 2.42 (s, 2H), 2.45 (dt, J = 5.6 and 1.1 Hz, 1H), 2.60–2.56 (m, 1H), 3.09 (ddd, J = 4.9, 3.0 and 1.6 Hz, 1H), 7.31–7.24 (m, 4H). 13C-NMR (100 MHz, CDCl3) δ = 21.4 (CH3), 28.4 (CH2), 28.9 (CH2), 31.5 (CH2), 38.4 (CH), 39.6 (CH), 52.9 (CH), 54.3 (q, 4JCF = 1 Hz, CH), 121.5 (q, 1JCF = 273 Hz, C), 127.5 (q, 5JCF = 2 Hz, CH), 129.2 (CH), 130.9 (C), 132.0 (q, 2JCF = 31 Hz, C), 141.1 (C), 179.1 (q, 4JCF = 3 Hz, C), 203.6 (m, C). 19F-NMR (376 MHz, CDCl3) δ = −59.88 (d, J = 2.4 Hz, 3F). HRMS (ESI) calculated for C18H18F3O 307.1304, found 323.1303 [M+H]+. Minor regioisomer 4a: Mp: 94–96 °C. IR (KBr) νmax. = 2958, 1719, 1608, 1512, 1173, 1127 cm−1. 1H-NMR (400 MHz, CDCl3) δ = 1.23–1.08 (m, 2H), 1.39 (m, 2H), 1.70–1.59 (m, 1H), 1.84–1.72 (m, 1H), 2.40–2.35 (m, 3H), 2.45 (d, J = 5.5 Hz, 1H), 2.56–2.54 (m, 2H), 2.93 (d, J = 5.5 Hz, 1H), 7.15 (d, J = 8.1 Hz, 2H), 7.21 (d, J = 8.2 Hz, 2H). 13C-NMR (100 MHz, CDCl3) δ = 21.4 (CH3), 28.3 (CH2), 29.0 (CH2), 31.3 (CH2), 38.2 (CH), 40.1 (CH), 47.2 (q, 3JCF = 2 Hz, CH), 53.6 (CH), 124.2 (q, 1JCF = 274 Hz, C), 126.0 (C), 128.7 (q, 5JCF = 2 Hz, CH), 128.8 (CH), 139.2 (C), 155.4 (C), 207.9 (C). 19F-NMR (376 MHz, CDCl3) δ = −60.08 (s, 3F). HRMS (ESI) calculated for C18H18F3O 323.1304, found 323.1306 [M+H]+.
(3aS*,4R*,7S*,7aR*)-3-(4-Methoxyphenyl)-2-(trifluoromethyl)-3a,4,5,6,7,7a-hexahydro-1H-4,7-methanoinden-1-one: The general procedure was followed starting from cobalt complex 2b (123 mg, 0.25 mmol) and heated at 80 °C for 96 h. The desired products were isolated as colorless oils (35 mg, 51%) and as a 6.4:1 mixture of regioisomers that could be separated by silica gel chromatography. Major regioisomer 3b: IR (film) νmax. = 2960, 2876, 1713, 1604, 1512, 1175, 839 cm−1. 1H-NMR (400 MHz, CDCl3) δ = 1.00 (dp, J = 10.8 and 1.4 Hz, 1H), 1.09 (m, 1H), 1.34–1.37 (m, 2H), 1.62–1.64 (m, 2H), 2.00 (s, 1H), 2.45 (dt, J = 5.7 and 1.1 Hz, 1H), 2.57 (dd, J = 2.6 and 1.4 Hz,1H), 3.12 (ddt, J = 5.9, 2.3 and 1.2 Hz, 1H), 3.87 (s, 3H), 6.93–7.02 (m, 2H), 7.37–7.42 (m, 2H). 13C-NMR (100 MHz, CDCl3) δ = 28.5 (CH2), 28.9 (CH2), 31.6 (CH2), 36.7 (CH), 39.6 (CH), 52.5 (CH), 54.2 (q, 4JCF = 1 Hz, CH), 55.4 (CH3), 114.0 (CH), 121.7 (q, 1JCF = 273 Hz, C), 125.7 (C), 129.8 (q, 5JCF = 2 Hz, CH), 130.9 (q, 2JCF = 25 Hz, C), 161.8 (C), 178.3 (q, 3JCF = 3 Hz, C), 203.6 (C). 19F-NMR (376 MHz, CDCl3) δ = −59.77 (d, J = 2.4 Hz, 3F). HRMS (ESI) calculated for C18H18F3O2 323.1253, found 323.1251 [M+H]+. Minor regioisomer 4b: IR (film) νmax. = 2958, 1719, 1608, 1512, 1173 cm−1. 1H-NMR (400 MHz, CDCl3) δ = 1.21–1.07 (m, 2H), 1.46–1.31 (m, 2H), 1.64 (tt, J = 12.6 and 4.2 Hz, 1H), 1.84–1.71 (m, 1H), 2.44 (d, J = 5.5 Hz, 1H), 2.57–2,51 (m, 2H), 2.92 (d, J = 5.5 Hz, 1H), 3.82 (d, J = 2.9 Hz, 4H), 6.97–6.89 (m, 2H), 7.27–7.19 (m, 2H). 13C-NMR (100 MHz, CDCl3) δ = 28.3 (CH2), 29.0 (CH2), 31.3 (CH2), 38.2 (CH), 40.1 (CH), 47.1 (q, 3JCF = 2 Hz, CH), 53.5 (CH), 55.2 (CH3), 113.6 (CH), 113.7 (q, 2JCF = 14 Hz, C), 128.3 (C), 130.3 (q, 5JCF = 2 Hz, CH), 156.1 (q, 1JCF = 220 Hz, C), 160.3 (C), 208.1 (C). 19F-NMR (376 MHz, CDCl3) δ = −60.90 (s, 3F). HRMS (ESI) calculated for C18H18F3O2 323.1253, found 323.1255 [M+H]+.
(3aS*,4R*,7S*,7aR*)-3-(4-Chlorophenyl)-2-(trifluoromethyl)-3a,4,5,6,7,7a-hexahydro-1H-4,7-methanoinden-1-one: The general procedure was followed starting from cobalt complex 2c (100 mg, 0.20 mmol) and heated at 80 °C for 72 h. The desired products were isolated as colorless oils (19 mg, 41%) and as a 2.5:1 mixture of regioisomers that could be separated by silica gel chromatography. Major regioisomer 3c: IR (film) νmax. = 2961, 1718, 1365, 1188, 1128 cm−1. 1H-NMR (400 MHz, CDCl3) δ = 1.01–1.10 (m,1H), 1.17–1.08 (m, 1H), 1.41–1.29 (m, 2H), 1.69–1.60 (m, 2H), 2.04–1.98 (m, 1H), 2.48 (dd, J = 5.6 and 1.3 Hz, 1H), 2.63–2.57 (m, 1H), 3.09–3.02 (m, 1H), 7.34–7.27 (m, 2H), 7.49–7.41 (m, 1H) . 13C-NMR (100 MHz, CDCl3) δ = 28.4 (CH2), 28.9 (CH2), 31.5 (CH2), 38.1 (CH), 40.0 (CH), 53.0 (CH), 54.3 (CH), 121.2 (q, 1JCF = 274 Hz, C), 128.7 (q, 5JCF = 2 Hz, CH), 128.9 (CH), 132.2 (C), 133.0 (q, 2JCF = 31 Hz, C), 136.7 (C), 177.2 (q, 4JCF = 3 Hz, C), 203.1 (C). 19F-NMR (376 MHz, CDCl3) δ = −59.97 (d, J = 2.1 Hz, 3F). HRMS (ESI) calculated for C17H15ClF3O 327.0758, found 327.0759 [M+H]+. Minor regioisomer 4c: IR (film) νmax. = 2960, 1720, 1492, 1175 cm−1. 1H-NMR (400 MHz, CDCl3) δ = 1.12–1.18 (m, 2H), 1.47–1.34 (m, 2H), 1.69–1.60 (m, 1H), 1.84–1.73 m, 1H), 2.47 (d, J = 5.5 Hz, 1H), 2.56 (s, 2H), 2.98–2.91 (m, 1H), 7.21–7.17 (m, 2H), 7.40–7.36 (m, 2H). 13C-NMR (100 MHz, CDCl3) δ = 28.2 (CH2), 29.1 (CH2), 31.3 (CH2), 38.2 (CH), 40.2 (CH), 47.3 (q, 3JCF = 2 Hz, CH), 53.6 (CH), 124.0 (C), 127.4 (C), 128.5 (C), 130.2 (q, 5JCF = 2 Hz, CH), 135.4 (C), 207.3 (C) .19F-NMR (376 MHz, CDCl3) δ = −60.16 (s, 3F). HRMS (ESI) calculated for C17H15ClF3O 327.0758, found 327.0760 [M+H]+.
(3aS*,4R*,7S*,7aR*)-2-(Trifluoromethyl)-3-undecyl-3a,4,5,6,7,7a-hexahydro-1H-4,7-methanoinden-1-one (3d): The general procedure was followed starting from cobalt complex 2d (150 mg, 0.28 mmol) and heated at 80 °C for 19 h. The desired product was isolated as a colorless oil (41 mg, 40%). IR (film) νmax. = 2927, 2855, 1718, 1638, 1367, 1130 cm−1. 1H-NMR (400 MHz, CDCl3) δ = 0.91–0.86 (m, 3H), 1.06–1.03 (m, 2H), 1.65–1.60 (m, 20H), 1.78–1.70 (m, 1H), 2.28 (d, J = 5.5 Hz, 1H), 2.37 (d, J = 4.4 Hz, 1H), 2.43 (m, 1H), 2.50 (d, J = 4.1 Hz, 1H), 2.70 (dd, J = 5.6 and 2.4 Hz, 1H), 2.85–2.75 (m, 1H). 13C-NMR (100 MHz, CDCl3) δ = 14.1 (CH3), 22.7 (CH2), 28.3 (CH2), 28.51–28.3 (q, 6JCF = 1 Hz, CH2), 29.2 (CH2), 29.3 (CH2), 29.3 (CH2), 29.4 (CH2), 29.6 (CH2), 29.9 (CH2), 30.5 (q, 5JCF = 2 Hz, CH2), 31.5 (CH2), 31.9 (CH2), 38.0 (CH), 39.4 (CH), 51.6 (CH), 54.0 (CH), 122.0 (d, 1JCF = 273 Hz, C), 132.7 (q, 2JCF = 31 Hz, C), 184.6 (q, 3JCF = 3 Hz, C), 203.9 (C). 19F-NMR (376 MHz, CDCl3) δ = −61.06 (s, 3F). HRMS (ESI) calculated for C22H34F3O 371.2556, found 371.2559 [M+H]+.
3.3. General Conditions for the Des-trifluoromethylation Reaction
The desired PK adduct was dissolved in nitromethane (3 mL/0.1 mmol) in a round bottom flask equipped with a magnetic stirrer and a condenser and the system was put under nitrogen. Water (5 eq.) and DBU (1 eq.) were then added, and the system was heated to reflux until no starting material could be detected by TLC analysis. Upon completion of the reaction, the solvent was removed under vacuum and the crude was purified by silica gel chromatography with mixtures of hexanes/EtOAc of increasing polarity.
(3aS*,4R*,7S*,7aR*)-3-(4-Tolyl)-3a,4,5,6,7,7a-hexahydro-1H-4,7-methanoinden-1-one (6a): The general procedure was followed starting from adduct 3a (77 mg, 0.24 mmol). The reaction proceeded during 12 h and, after purification, the desired product was obtained as a colorless oil (16 mg, 28%). IR (film) νmax. = 2957, 1688, 1591, 1193 cm−1. 1H-NMR (400 MHz, CDCl3) δ = 0.97–1.02 (m, 1H), 1.17–1.11 (m, 1H), 1.50–1.33 (m, 2H), 1.76–1.63 (m, 2H), 2.32–2.29 (m, 1H), 2.39 (d, J = 5.5 Hz, 1H), 2.41 (s, 3H), 2.50–2.48 (m, 1H), 3.17–3.14 (m, 1H), 6.59 (d, J = 1.1 Hz, 1H), 7.28–7.24 (m, 2H), 7.60–7.56 (m, 2H). 13C-NMR (100 MHz, CDCl3) δ = 21.5 (CH3), 28.6 (CH2), 29.2 (CH2), 31.8 (CH2), 38.7 (CH), 39.0 (CH), 50.2 (CH), 55.2 (CH), 127.6 (CH), 129.3 (CH), 129.6 (CH), 130.7 (C), 141.6 (C), 175.0 (C), 210.7 (C) . HRMS (ESI) calculated for C17H19O 239.1430, found 239.1430 [M+H]+.
(3aS*,4R*,7S*,7aR*)-3-(4-Methoxyphenyl)-3a,4,5,6,7,7a-hexahydro-1H-4,7-methanoinden-1-one (6b): The general procedure was followed starting from adduct 3b (55 mg, 0.17 mmol). The reaction proceeded during 12 h and, after purification, the desired product was obtained as a colorless oil (21 mg, 49%). IR (film) νmax. = 2957, 1678, 1554, 1178 cm−1. 1H-NMR (400 MHz, CDCl3) δ = 0.96–1.05 (m, 1H), 1.19–1.10 (m, 1H), 1.51–1.31 (m, 2H), 1.74–1.61 (m, 2H), 2.31 (d, J = 4.0 Hz, 1H), 2.38 (dt, J = 5.5 and 1.2 Hz, 1H), 2.49 (d, J = 3.8 Hz, 1H), 3.13 (d, J = 5.3 Hz, 1H), 3.87 (s, 3H), 6.53 (d, J = 1.0 Hz, 1H), 6.94 (m, 2H), 7.67–7.62 (m, 2H) . 13C-NMR (100 MHz, CDCl3) δ = 28.6 (CH2), 29.2 (CH2), 31.8 (CH2), 38.6 (CH), 39.1 (CH), 50.2 (CH), 55.2 (CH), 55.4 (CH), 114.3 (CH), 126.0 (C), 128.1 (CH), 129.4 (CH), 161.9 (C), 174.6 (C), 210.5 (C). HRMS (ESI) calculated for C17H19O2 255.1380, found 255.1378 [M+H]+.
(3aS*,4R*,7S*,7aR*)-3-(4-Chlorophenyl)-3a,4,5,6,7,7a-hexahydro-1H-4,7-methanoinden-1-one (6c): The general procedure was followed starting from adduct 3c (19 mg, 0.06 mmol). The reaction proceeded during 12h and, after purification, the desired product was obtained as a colorless oil (4 mg, 30%). IR (film) νmax. = 2954, 1677, 1593, 1092 cm−1. 1H-NMR (400 MHz, CDCl3) δ = 0.99–1.06 (m, 1H), 1.16–1.09 (m,1H), 1.50–1.33 (m, 2H), 1.77–1.60 (m, 2H), 2.30–2.25 (m, 1H), 2.40 (dt, J = 5.5 and 1.2 Hz, 1H), 2.50 (d, J = 4.1 Hz, 1H), 3.14 (d, J = 5.4 Hz, 1H), 6.60 (d, J = 1.1 Hz, 1H), 7.45–7.41 (m, 2H), 7.62–7.59 (m, 2H). 13C-NMR (100 MHz, CDCl3) δ = 28.6 (CH2), 29.2 (CH2), 31.8 (CH2), 38.8 (CH), 50.2 (CH), 55.2 (CH), 128.8 (CH), 129.2 (CH), 130.5 (CH), 131.9 (C) 137.1 (C), 173.4 (C), 210.3 (C). HRMS (ESI) calculated for C16H16ClO 259.0884, found 259.0884 [M+H]+.
3.4. General Conditions for the Pauson-Khand Reaction with Ethylene
The cobalt complex of the desired alkyne (2)was dissolved in anhydrous toluene (7 mL/0.1 mmol complex) in a pressure flask provided with a manometer and a magnetic stirrer. The system was then loaded with ethylene (6 bars) and heated up at 80–85 °C until no starting cobalt complex could be detected by TLC. After that time, the solvent was removed under reduced pressure. The crude was purified by silica gel chromatography using mixtures of hexanes/EtOAc of increasing polarity.
3-(p-Tolyl)-2-(trifluoromethyl)cyclopent-2-en-1-one (5a): The general procedure was followed starting from cobalt complex 2a (63 mg, 0.13 mmol). The desired product was isolated as a white solid (17 mg, 53%). Mp: 83–85 °C. IR (KBr) νmax. = 2978, 1681, 1594, 1092 cm−1. 1H-NMR (400 MHz, CDCl3) δ = 2.38 (s, 3H), 2.70 (m, 2H), 2.87 (m, 2H), 7.16 (d, J = 8.0 Hz, 2H), 7.22 (d, J= 8.0 Hz, 2H). 13C-NMR (100 MHz, CDCl3) δ = 21.3 (CH3), 24.08 (CH2), 34.0 (CH2), 122.5 (q, 1JCF = 273 Hz, C), 125.9 (C), 128.8 (q, 5JCF = 2 Hz, CH), 128.9 (CH), 139.2 (C), 145.5 (C), 153.4 (C), 206.1 (C). 19F-NMR (376 MHz, CDCl3) δ = −62.82 (s, 3F) .HRMS (ESI) calculated for C13H12F3O 241.0835, found 241.0836 [M+H]+.
3-(4-Methoxyphenyl)-2-(trifluoromethyl)cyclopent-2-en-1-one (5b): The general procedure was followed starting from cobalt complex 2b (35 mg, 0.07 mmol). The desired product was isolated as a colorless oil (11 mg, 58%). IR (film) νmax. = 2934, 1725, 1608, 1513, 1259, 1173 cm−1. 1H-NMR (400 MHz, CDCl3) δ = 2.69 (m, 2H), 2.87 (m, 2H), 3.83 (s, 3H), 6.94 (m, 2H), 7.25 (m, 2H). 13C-NMR (100 MHz, CDCl3) δ = 24.7 (q, 4JCF = 2 Hz, CH2), 30.4 (CH2), 55.2 (CH3), 113.7 (CH), 121.0 (C), 122.6 (q, 1JCF = 273 Hz, C), 130.4 (q, 5JCF = 2 Hz, CH), 145.0 (q, 3JCF = 3 Hz, C), 152.6 (q, 2JCF = 34 Hz, C), 160.3 (C), 206.3 (C) . 19F-NMR (376 MHz, CDCl3) δ = −62.76 (s, 3F) . HRMS (ESI) calculated for C13H15F3NO 274.1049, found 274.1045 [M+NH4]+.
3-(4-Chlorophenyl)-2-(trifluoromethyl)cyclopent-2-en-1-one (6c): The general procedure was followed starting from cobalt complex 2c (34 mg, 0.07 mmol). The desired product was isolated as a yellow oil (10 mg, 56%). IR (film) νmax. = 2917, 1723, 1489, 1257, 1126 cm−1. 1H-NMR (400 MHz, CDCl3) δ = 2.71 (m, 2H), 2.90 (m, 2H), 7.21 (m, 2H), 7.39 (m, 2H). 13C-NMR (100 MHz, CDCl3) δ = 24.9 (CH2), 34.0 (CH2), 127.2 (C), 128.5 (CH), 130.3 (CH), 135.5 (C), 205.4 (C). 19F-NMR (376 MHz, CDCl3) δ = −62.87 (s, 3F). HRMS (ESI) calculated for C12H9ClF3O 261.0289, found 261.0285 [M+H]+.
3-Phenethyl-2-(trifluoromethyl)cyclopent-2-en-1-one (6e): The general procedure was followed starting from cobalt complex 2e (74 mg, 0.15 mmol). The desired product was isolated as a colorless oil (9 mg, 23%). IR (film) νmax. = 2933, 1721, 1236, 1129 cm−1. 1H-NMR (400 MHz, C6D6) δ = 1.45 (m, 2H), 1.59 (m, 2H), 2.35–2.48 (m, 4H), 6.73–6.92 (m, 5H). 13C-NMR (100 MHz, C6D6) δ = 24.0 (CH2), 25.8 (CH2), 32.8 (CH2), 34.3 (q, 4JCF = 1 Hz, CH2), 123.2 (q, 1JCF = 273 Hz, C), 124.7 (C), 125.9 (C), 126.2 (C), 128.2 (CH), 128.3 (CH), 128.4 (CH), 205.4 (q, 3JCF = 20 Hz, C). 19F-NMR (376 MHz, C6D6) δ = −64.40 (s, 3F). HRMS (ESI) calculated for C14H14F3O 285.1461, found 285.1461 [M+H]+.
4. Conclusions
In summary, we have expanded the PKR of dissymmetric trifluoromethyl alkynes to alkenes other than norbornadiene such as norbornene and ethylene. The regioselectivity of these reactions was complete in the case of ethylene, but mixtures of α- and β-trifluoromethyl cylopentenones were detected in the PK adducts of norbornene. The structure of the β-trifluoromethyl cyclopentenones was confirmed by chemical correlation and by NMR analysis.
Acknowledgments
We thank the Spanish Ministerio de Economia y Competitividad (CTQ2011-23620), the Generalitat de Catalunya (2009SGR 00901) and IRB Barcelona for financial support. N.A. thanks the Ministerio de Ciencia e Innovación for a fellowship.
Conflicts of Interest
The authors declare no conflict of interest.
References
- Ríos, R. The Pauson-Khand Reaction; Wiley-VCH: Weinheim, Germany, 2012. [Google Scholar]
- Vazquez-Romero, A.; Cardenas, L.; Blasi, E.; Verdaguer, X.; Riera, A. Synthesis of Prostaglandin and Phytoprostane B1 Via Regioselective Intermolecular Pauson-Khand Reactions. Org. Lett. 2009, 11, 3104–3107. [Google Scholar] [CrossRef]
- De Bruin, T.J.M.; Michel, C.; Vekey, K.; Greene, A.E.; Gimbert, Y.; Milet, A. First C-C bond formation in the Pauson-Khand reaction: Influence of carbon-carbon triple bond polarization on regiochemistry. J. Organomet. Chem. 2006, 691, 4281–4288. [Google Scholar] [CrossRef]
- De Bruin, T.J.M.; Milet, A.; Robert, F.; Gimbert, Y.; Greene, A.E. Theoretical Study of the Regiochemistry-Determining Step of the Pauson-Khand Reaction. J. Am. Chem. Soc. 2001, 123, 7184–7185. [Google Scholar] [CrossRef]
- Robert, F.; Milet, A.; Gimbert, Y.; Konya, D.; Greene, A. E. Regiochemistry in the Pauson-Khand Reaction: Has a Trans Effect Been Overlooked? J. Am. Chem. Soc. 2001, 123, 5396–5400. [Google Scholar] [CrossRef]
- Fager-Jokela, E.; Muuronen, M.; Patzschke, M.; Helaja, J. Electronic Regioselectivity of Diarylalkynes in Cobalt-Mediated Pausond-Khand Reaction: An Experimental and Computational Study with Para- and Meta-Substituted Diarylalkynes and Norbornene. J. Org. Chem. 2012, 77, 9134–9147. [Google Scholar] [CrossRef]
- Moulton, B.E.; Whitwood, A.C.; Duhme-Klair, A.K.; Lynam, J.M.; Fairlamb, I.J.S. Regiochemistry in cobalt-mediated intermolecular Pauson-Khand reactions of unsymmetrical internal heteroaromatic alkynes with norbornene. J. Org. Chem. 2011, 76, 5320–5334. [Google Scholar] [CrossRef]
- Kizirian, J.; Aiguabella, N.; Pesquer, A.; Fustero, S.; Bello, P.; Verdaguer, X.; Riera, A. Regioselectivity in Intermolecular Pauson-Khand Reactions of Dissymmetric Fluorinated Alkynes. Org. Lett. 2010, 12, 5620–5623. [Google Scholar] [CrossRef]
- Aiguabella, N.; del Pozo, C.; Verdaguer, X.; Fustero, S.; Riera, A. Synthesis and Application of β-Substituted Pauson-Khand Adducts: Trifluoromethyl as a Removable Steering Group. Angew. Chem. Int. Ed. 2013, 52, 5355–5359. [Google Scholar]
- Peer, K. Modern Fluoroorganic Chemistry: Synthesis, Reactivity, Applications; Wiley-VCH: Weinheim, Germany, 2004. [Google Scholar]
- Liu, H.; Gu, Z.; Jiang, X. Direct Trifluoromethylation of the C-H Bond. Adv. Synth. Catal. 2013, 355, 617–626. [Google Scholar] [CrossRef]
- Liang, T.; Neumann, C.N.; Ritter, T. Introduction of Fluorine and Fluorine-Containing Functional Groups. Angew. Chem. Int. Ed. 2013, 52, 8214–8264. [Google Scholar] [CrossRef]
- Arimitsu, S.; Bottom, R.L.; Hammond, G.B. Selective enhancement effects of silver salts on the transition metal-catalyzed synthesis of gem-difluorinated heterocyclics using 2,2-difluorohomopropargyl amides. J. Fluorine Chem. 2008, 129, 1047–1051. [Google Scholar] [CrossRef]
- Ferry, A.; Billard, T.; Langlois, B.R. Synthesis of alpha-Trifluoromethylated nitrogen bicycles. Synlett 2005, 1027–1029. [Google Scholar]
- Harthong, S.; Billard, T.; Langlois, B.R. Towards the syntheses of alpha-trifluoromethylated oxygenated heterocycles and their precursors. Synthesis 2005, 2253–2263. [Google Scholar]
- Ishizaki, M.; Suzuki, D.; Hoshino, O. Scope and limitation of intramolecular Pauson-Khand reaction of fluorine-containing enynes. J. Fluorine Chem. 2001, 111, 81–90. [Google Scholar] [CrossRef]
- Nadano, R.; Fuchibe, K.; Ikeda, M.; Takahashi, H.; Ichikawa, J. Rapid and Slow Generation of 1-Trifluoromethylvinyllithium: Syntheses and Applications of CF3-Containing Allylic Alcohols, Allylic Amines, and Vinyl Ketones. Chem. Asian J. 2010, 5, 1875–1883. [Google Scholar] [CrossRef]
- Nadano, R.; Ichikawa, J. A facile synthesis of N-[2-(trifluoromethyl)allyl]amides and their transformation into angularly trifluoromethylated bicyclic cyclopentenones. Chem. Lett. 2007, 36, 22–23. [Google Scholar] [CrossRef]
- Konno, T.; Kida, T.; Tani, A.; Ishihara, T. A novel synthesis of fluorine-containing cyclopentenones via Pauson-Khand reaction. J. Fluorine Chem. 2012, 144, 147–156. [Google Scholar] [CrossRef]
- Zhang, K.; Qiu, X.; Huang, Y.; Qing, F. An Improved Copper-Mediated Oxidative Trifluoromethylation of Terminal Alkynes. Eur. J. Org. Chem. 2012, 58–61. [Google Scholar] [CrossRef]
- Chu, L.; Qing, F. Copper-Mediated Aerobic Oxidative Trifluoromethylation of Terminal Alkynes with Me3SiCF3. J. Am. Chem. Soc. 2010, 132, 7262–7263. [Google Scholar] [CrossRef]
- Revés, M.; Lledó, A.; Ji, Y.; Blasi, E.; Riera, A.; Verdaguer, X. Tetramethylnorbornadiene, a versatile alkene for cyclopentenone synthesis through intermolecular Pauson-Khand reactions. Org. Lett. 2012, 14, 3534–3537. [Google Scholar] [CrossRef]
- Lledó, A.; Fuster, A.; Revés, M.; Verdaguer, X.; Riera, A. The Pauson-Khand reaction of medium sized trans-cycloalkenes. Chem. Commun. 2013, 49, 3055–3057. [Google Scholar] [CrossRef]
- Perez-Serrano, L.; Blanco-Urgoiti, J.; Casarrubios, L.; Dominguez, G.; Perez-Castells, J. Synthesis of Tricyclic Aromatic Compounds by the Intramolecular Pauson-Khand Reaction Promoted by Molecular Sieves. J. Org. Chem. 2000, 65, 3513–3519. [Google Scholar] [CrossRef]
- Perez-Serrano, L.; Casarrubios, L.; Dominguez, G.; Perez-Castells, J. Pauson-Khand Reaction Induced by Molecular Sieves. Org. Lett. 1999, 1, 1187–1188. [Google Scholar] [CrossRef]
- Sample Availability: Samples of all the compounds are available from the authors.
© 2014 by the authors. Licensee MDPI, Basel, Switzerland. This article is an open access article distributed under the terms and conditions of the Creative Commons Attribution license ( http://creativecommons.org/licenses/by/3.0/).