Synthesis and Pharmacological Activities of Some New Triazolo- and Tetrazolopyrimidine Derivatives
Abstract
:1. Introduction
2. Results and Discussion
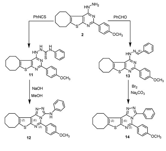
2.1. Chemistry



2.2. Pharmacological Screening
2.2.1. Anti-inflammatory Activity
| Compound No. | Edema inhibition (Means ± E.M) a,b (%) | ||
|---|---|---|---|
| 1 h | 2 h | 3 h | |
| 2 | 42.3 ± 1.1 | 49.2 ± 1.2 | 57.1 ± 1.4 |
| 3 | 37.2 ± 1.3 | 46.3 ± 1.5 | 54.4 ± 1.1 |
| 4 | 16.5 ± 1.3 | 17.2 ± 1.1 | 19.3 ± 1.2 |
| 5 | 11.7 ± 1.1 | 13.2 ± 1.2 | 15.2 ± 1.5 |
| 6 | 34.5 ± 1.2 | 42.1 ± 1.3 | 48.2 ± 1.2 |
| 7 | 20.8 ± 1.4 | 22.3 ± 1.3 | 25.1 ± 1.4 |
| 8 | 21.3 ± 1.2 | 24.6 ± 1.1 | 26.5 ± 1.2 |
| 9 | 31.2 ± 1.2 | 35.1 ± 1.5 | 40.2 ± 1.6 |
| 10 | 39.1 ± 1.5 | 48.4 ± 1.2 | 55.6 ± 1.1 |
| 12 | 19.4 ± 1.6 | 21.3 ± 1.3 | 23.3 ± 1.2 |
| 14 | 7.3 ± 1.1 | 9.8 ± 1.2 | 11.2 ± 1.5 |
| Indomethacin | 44.7 ± 1.2 | 52.4 ± 1.2 | 61.2 ± 1.3 |
2.2.2. Ulcerogenicity
| Compd. No. | Dose (mg/kg)a | ||
|---|---|---|---|
| 10 | 50 | 100 | |
| Control | 0/6 | 0/6 | 0/6 |
| 2 | 0/6(0) | 0/6(0) | 0/6(0) |
| 10 | 0/6(0) | 0/6(0) | 0/6(0) |
| Indomethacin | 3/6(1.4 ± 0.2) b,c | 5/6(1.9 ± 0.2) b,c | 6/6(2.1 ± 0.2) b,c |
2.2.3. Acute Toxicity
| Compound No. | LD50[mg/kg] * |
|---|---|
| 2 | 2.514 ± 0.012 |
| 3 | 2.131 ± 0.013 |
| 6 | 2.047 ± 0.012 |
| 9 | 1.832 ± 0.012 |
| 10 | 2.341 ± 0.011 |
| Indomethacin | 1.817 ± 0.015 |
2.3. Structure Activity Relationships
3. Experimental
3.1. General
3.2. Chemical Synthesis
Synthesis of Compounds 4 and 5
3.3. Pharmacological Screening
3.3.1. Animals
3.3.2. Anti-inflammatory Activity
3.3.3. Ulcerogenic Activity
3.3.4. Acute Toxicity
3.3.5. Statistical Analysis
4. Conclusions
Acknowledgments
Conflicts of Interest
References
- Al-Mohizea, A.M.; Al-Omar, M.A.; Abdalla, M.M.; Amr, A.E. 5α-Reductase inhibitors, antiviral and anti-tumor activities of some steroidal cyanopyridinone derivatives. Int. J. Biol. Macromol. 2012, 50, 171–179. [Google Scholar] [CrossRef]
- Abdalla, M.M.; Al-Omar, M.A.; Bhat, M.A.; Amr, A.E.; Al-Mohizeae, A.M. Steroidal pyrazolines evaluated as aromatase and quinone reductase-2 inhibitors for chemoprevention of cancer. Int. J. Biol. Macromol. 2012, 50, 1127–1132. [Google Scholar] [CrossRef]
- Bahashwan, S.A.; Al-Harbi, N.O.; Fayed, A.A.; Amr, A.E.; Shadid, K.A.; Alalawi, A.M.; Bassati, I.M.S. Synthesis and pharmacological evaluation of novel triazolo[4,3-b]pyrazolo[3,4-c]pyridazine derivatives. Int. J. Biol. Macromol. 2012, 51, 7–17. [Google Scholar] [CrossRef]
- Al-Harbi, N.O.; Bahashwan, S.A.; Fayed, A.A.; Aboonq, M.S.; Amr, A.E. Anti-parkinsonism, hypoglycemic and anti-microbial activities of some new poly ring heterocyclic candidates. Int. J. Biol. Macromol. 2013, 57, 165–173. [Google Scholar] [CrossRef]
- Alanazi, A.M.; Al-Omar, M.A.; Abdulla, M.M.; Amr, A.E. Anti-arthritic and immune-suppressive activities of substituted triterpenoidal candidates. Int. J. Biol. Macromol. 2013, 58, 245–252. [Google Scholar] [CrossRef]
- Clark, J.; Shohhet, M.S.; Korakas, D.; Varvounis, G. Synthesis of thieno{2,3-d]pyrimidines from 4,6-di chloropyrimidin-5-carbaldehydes. J. Heterocycl. Chem. 1993, 30, 1065–1072. [Google Scholar] [CrossRef]
- Kogowwra, I.Y.; Yimatsusita, N.N.; Pfkador, J.K. Synthesis of substituted 2,4-dioxo thieno pyrimidin-1-acetic acid and their evalution as aldose reductase inhibitors. Eur. J. Med. Chem. 1993, 28, 769–781. [Google Scholar] [CrossRef]
- Tozkoparan, B.; Ertan, M.; Kelicen, P.; Demirdamar, R. Synthesis and anti-inflammatory activities of some thiazolo[3,2-a] pyrimidine derivatives. II Farmaco. 1999, 54, 588–593. [Google Scholar] [CrossRef]
- Kurasawa, Y.; Mitomi, T.; Okamoto, Y.; Kim, H.S. A new tautomeric Zwitterion form of 2-acylamino-4H-1,3,4-oxadiazino[5,6-b]quinoxalines in solution. J. Heterocycl. Chem. 1998, 35, 1333–1338. [Google Scholar] [CrossRef]
- Nargund, L.V.G.; Badiger, V.V.; Yarnal, S.U. Synthesis and antibacterial activity of substituted 4-Aryloxypyrimido[5,4-c]cinnolines. Eur. J. Med. Chem. 1994, 29, 245–247. [Google Scholar] [CrossRef]
- Vanlaar, M.; Volerts, E.; Verbaten, M. Subchronic effect of the GABA-agonist lorazepan and the 5-HT2A/2C antagonist ritanserin on driving performance, Slow wave sleep and daytime sleepiness in healthy volunteers. Psychopharmacology 2001, 154, 189–197. [Google Scholar] [CrossRef]
- Danel, K.; Pedersen, E.B.; Nielsen, C. Synthesis and anti-HIV-1 activity of novel 2,3- dihydro- 7H-thiazolo[3,2-a]pyrimidin-7-ones. J. Med. Chem. 1998, 41, 191–198. [Google Scholar] [CrossRef]
- Vijesh, A.M.; Isloor, A.M.; Shetty, P.; Sundershan, S.; Fun, H.K. New pyrazole derivatives containing 1,2,4-triazoles and benzoxazoles as potent antimicrobial and analgesic agents. Eur. J. Med. Chem. 1962, 10, 410–415. [Google Scholar]
- Amr, A.E.; Hegab, M.I.; Ibrahim, A.A.; Abdalah, M.M. Synthesis and reactions of some fused oxazinone, pyrimidinone, thiopyrimidnone and triazinone derivatives with thiophene ring as analgesic, Anticonvulsant and antiparkinsonian agents. Monatsh. Chem. 2003, 134, 1395–1409. [Google Scholar] [CrossRef]
- Abou-Ghalia, M.H.; Amr, A.E. Synthesis and investigation of a new cyclo-(Nα-dipicolinoyl)-pentapeptide of a breast and CNS cytotoxic activity and an ionophoric specifity. Amino Acids 2004, 26, 283–289. [Google Scholar]
- Hammam, A.G.; Fahmy, A.F.M.; Amr, A.E.; Mohamed, A.M. Synthesis of novel tricyclic heterocyclic compounds as potential anticancer agents using chromanone and thiochromanone as synthons. Ind. J. Chem. 2003, 42B, 1985–1993. [Google Scholar]
- Amr, A.E.; Ali, K.A.; Abdalla, M.M. Cytotoxic, Antioxidant activities and structure activity relationship of some newly synthesized terpenoidal oxaliplatin analogs. Eur. J. Med. Chem. 2009, 44, 901–907. [Google Scholar] [CrossRef]
- Fayed, A.A.; Hosni, H.M.; Flefel, E.M.; Amr, A.E. Synthesis and pharmacological activity of some new thieno[2,3-d]pyrimidine and pyrimidopyrazolothieno pyrimidine derivatives. World J. Chem. 2009, 4, 58–65. [Google Scholar]
- Hafez, H.N.; Abbas, H.A.; El-Gazzar, A.R. Synthesis and evaluation of analgesic, anti-inflammatory and ulcerogenic activities of some triazolo- and 2-pyrazolylpyrido[2,3-d]-pyrimidines. Acta Pharm. 2008, 58, 359–378. [Google Scholar]
- Bahashwan, S.A. Pharmacological studies of some pyrimidino derivatives. Afr. J. Pharm. Pharmaco. 2011, 5, 527–531. [Google Scholar]
- Singh, N.; Nargund, S.L.; Rashmi, P.; Nargund, L.V.G. Synthesis and antibacterial and anti-inflammatory activity of 4-substituted-thieno[2,3-d]pyrimidines. Chem. Sin. 2012, 3, 198–203. [Google Scholar]
- Hassan, N.A.; Hegab, M.I.; Rashad, A.E.; Fahmy, A.A.; Abdel-Megeid, F.M. Synthesis and antimicrobial activity of some cyclic and acyclic nucleosides of thieno[2,3-d]pyrimidines. Nucleos. Nucleot. Nucleic Acids 2007, 26, 379–390. [Google Scholar] [CrossRef]
- Prachayasittikul, S.; Worachartcheewan, A.; Nantasenamat, C.; Chinworrungsee, M.; Sornsongkhram, N.; Ruchirawat, S.; Prachayasittikul, V. Synthesis and structure-activity relationship of 2-thiopyrimidine-4-one analogs as antimicrobial and anticancer agents. Eur. J. Med. Chem. 2011, 46, 738–742. [Google Scholar] [CrossRef]
- Mosharef, M.D.; Khandker, M.D.; Rahman, M.; Kamrul, H.M.D.; Hossain, M.I.; Abu Naser, M. Synthesis and antimicrobial evaluation of some new thienopyrimidine derivatives. Acta Pharm. 2006, 5, 441–450. [Google Scholar]
- Shetty, N.S.; Lamani, R.S.; Khazi, I.A.M. Synthesis and antimicrobial activity of some novel thienopyrimidines and triazolothienopyrimidines. J. Chem. Sci. 2009, 121, 301–307. [Google Scholar] [CrossRef]
- Flefel, E.M.; Abdel-Mageid, R.E.; Tantawy, W.A.; Ali, M.A.; Amr, A.E. Heterocyclic compounds based on 3-(4-bromophenyl) azo-5-phenyl-2(3H)-furanone: anti-avian influenza virus (H5N1) activity. Acta Pharm. 2012, 62, 593–606. [Google Scholar]
- Ramakrishna, V.S.; Kambhampati, R.S.; Kothmirkar, P.; Arepalli, S.; Reddy, G.N. Convenient and efficient synthesis of some novel fused thieno pyrimidines using Gewald’s Reaction. Synth. Commun. 2011, 41, 2835–2851. [Google Scholar] [CrossRef]
- Abdel-Hafez, N.A.; Mohamed, A.M.; Amr, A.E.; Abdalla, M.M. Antiarrhythmic activities of some newly synthesized tricyclic and tetracyclic thienopyridine derivatives. Sci. Pharm. 2009, 77, 539–553. [Google Scholar] [CrossRef]
- Mojahidi, S.; Rakib, E.; Sekkak, H.; Abouricha, S.; Benchat, N.; Mousse, H.A.; Zyad, A. Synthesis and in vitro cytotoxic evaluation of novel pyridazin-4-one derivatives. Arch. Pharm. Chem. Life Sci. 2010, 343, 310–313. [Google Scholar]
- Butnariu, R.M.; Mangalagiu, I.I. New pyridazine derivatives: Synthesis, Chemistry and biological activity. Bioorg. Med. Chem. 2009, 17, 2823–2829. [Google Scholar] [CrossRef]
- Guan, L.; Sui, X.; Deng, X.Q.; Quan, Y.C.; Quan, Z.S. Synthesis and anticonvulsant activity of a new 6-alkoxy[1,2,4]triazolo[4,3-b]pyridazine. Eur. J. Med. Chem. 2010, 45, 1746–1752. [Google Scholar] [CrossRef]
- Nagawade, R.R.; Khanna, V.V.; Bhagwat, S.S.; Shinde, D.B. Synthesis of new series of 1-aryl-1,4-dihydro-4-oxo-6-methylpyridazine-3-carboxylic acid as potential antibacterial agents. Eur. J. Med. Chem. 2005, 40, 1325–1330. [Google Scholar] [CrossRef]
- Rao, A.; Balzarini, J.; Cafbone, A.; Chimirri, A. 2-(2,6-Dihalophenyl)-3-(pyrimidin-2-yl)-1,3-thia-zolidin-4-ones as non nucleoside HIV-1reverse transcriptase. Antivir. Res. 2004, 63, 79–84. [Google Scholar] [CrossRef]
- Abdel-Fattah, B.; Kandeel, M.M.; Abdel-Hakeem, M.; Fahmy, Z.M. Synthesis of certain fused thienopyrimidines of biological interest. J. Chin. Chem. Soc. 2006, 53, 403–412. [Google Scholar]
- Hernadezperez, M.; Rabanal, R.M.; Delatorre, M.C.; Rodriguez, B. Analgesic, Anti-inflammatory, Antipyretic and haematological effects of aethiopinone, an o-naphthoquinone diterpenoid from Salvia aethiopis roots and two hemisynthetic derivatives. Planta Med. 1995, 61, 505–509. [Google Scholar] [CrossRef]
- Ikuta, H.; Shirota, H.; Kobayshi, S.; Yamagishi, Y.; Yamada, K.; Yamatsu, I.; Katayama, K. Synthesis and antiinflammatory activities of 3-(3,5-ditertbutyl-4-hydroxybenzylidene)-pyrrolidin-2-ones. J. Med. Chem. 1987, 30, 1995–1998. [Google Scholar] [CrossRef]
- Sztaricskai, F.; Takacs, E.I.; Pusztai, F.; Szabo, G.; Csipo, I. Antiulcer effect of 5-amino salicylic acid. Arch. Pharm. Med. Chem. 1999, 332, 321–326. [Google Scholar] [CrossRef]
- Sample Availability: Samples of the compounds are available from the authors.
© 2013 by the authors; licensee MDPI, Basel, Switzerland. This article is an open access article distributed under the terms and conditions of the Creative Commons Attribution license (http://creativecommons.org/licenses/by/3.0/).
Share and Cite
Bahashwan, S.A.; Fayed, A.A.; Amr, A.E.-G.E.; Flefel, E.M.; Kalmouch, A. Synthesis and Pharmacological Activities of Some New Triazolo- and Tetrazolopyrimidine Derivatives. Molecules 2013, 18, 15051-15063. https://doi.org/10.3390/molecules181215051
Bahashwan SA, Fayed AA, Amr AE-GE, Flefel EM, Kalmouch A. Synthesis and Pharmacological Activities of Some New Triazolo- and Tetrazolopyrimidine Derivatives. Molecules. 2013; 18(12):15051-15063. https://doi.org/10.3390/molecules181215051
Chicago/Turabian StyleBahashwan, Saleh A., Ahmed A. Fayed, Abd El-Galil E. Amr, Eman M. Flefel, and Atef Kalmouch. 2013. "Synthesis and Pharmacological Activities of Some New Triazolo- and Tetrazolopyrimidine Derivatives" Molecules 18, no. 12: 15051-15063. https://doi.org/10.3390/molecules181215051
APA StyleBahashwan, S. A., Fayed, A. A., Amr, A. E.-G. E., Flefel, E. M., & Kalmouch, A. (2013). Synthesis and Pharmacological Activities of Some New Triazolo- and Tetrazolopyrimidine Derivatives. Molecules, 18(12), 15051-15063. https://doi.org/10.3390/molecules181215051
