Simultaneous Determination of 14 Phenolic Compounds in Grape Canes by HPLC-DAD-UV Using Wavelength Switching Detection
Abstract
:1. Introduction
| Sample | Individual phenolics a | Detector | Detection wavelength (nm) | Ref. |
|---|---|---|---|---|
| Grape & Wine | PCA, EC, PA, CA, GA, CAT, VA, SYA | UV-vis | 280 | [25] |
| Cumin organs | PCA, EC, PA, GA, QC, CAT, VA, SYA | UV-vis | 280 | [26] |
| Grape seeds | PCA, EC, GA, QC, CAT, RT, VA, SYA | UV-vis | 280 | [27] |
| Wine | RES | UV-vis | 310 | [28] |
| Jujube | GA, CA | UV-vis | 280 | [29] |
| Wine and tea | GA, PA, VA, CA, CAT, EC, SYA, QC, RT | UV-vis | 280 | [30] |
| RT (Synthesized) | UV-vis | 280 | [31] | |
| Mushroom | RT | UV-vis | 300 | [32] |
| Wine | EC, CA, QC, RES, CAT, RT | UV-vis | EC, CAT, RES-280; CA-320; QC, RT-360 | [33] |
| Guava leaf | MR, GA, QC, CAT | UV-vis | 280 | [34] |
| Grape waste | CA, GA, QC, RES, CAT, RT, SYA | UV-vis | 280 | [35] |
| Wine | QC, RT, MR | UV-vis | 360 | [36] |
| Cheonggukjang | CA, EC, PA, MR, GA, CAT, VA | UV-vis | 280 | [37] |
| Plant material | PHA, VA, CA, SYA, PCA | UV-vis | 254 | [38] |
| Wine | PCA, EC, PA, CA, GA, QC, RES, CAT, VA | DAD | 280 | [39] |
| Knotweed | CAT, EC, RES | DAD | RES-315; CAT, EC-220 | [40] |
| Grape cane | RES | DAD | 320 | [10] |
| Mescal | SYA | DAD | 260 | [41] |
| Tea | GA, PA, VA, CA, CAT, EC, RT, QC. | DAD | 280 | [42] |
| Peanut skin | RES | DAD | 280 | [43] |
| Ma-mao juice | EC, QC, RES, CAT, RT | DAD | 254 | [44] |
| Guava leaf | GA, CAT, QC | DAD | 280 | [45] |
| Beverage | CAT, EC, QC | DAD | QC-360; CAT, EC-230 | [46] |
| Grape seed and skin | EC, GA, CAT, VA, SYA | DAD | 280 | [47] |
| Grape product | GA, CAT, EC, RES, CA, PCA, QC | DAD | GA, CAT, EC-280; RES, CA, PCA-320; QC-360 | [48] |
2. Results and Discussion
2.1. Optimization of Chromatographic Conditions

| Name | Retention time ± SD | MAW (nm) | Response time, duration (min) | Switching time, duration (min) |
|---|---|---|---|---|
| Gallic acid | 5.883 ± 0.014 | 271 | 5.513–6.243, 0.730 | 5.463–6.293, 0.830 |
| Protocatechuic acid | 8.932 ± 0.015 | 260 | 8.707–9.157, 0.449 | 8.657–9.207, 0.549 |
| (+)-Catechin | 12.705 ± 0.019 | 280 | 12.205–13.125, 0.920 | 12.155–13.175, 1.020 |
| Vanillic acid | 18.637 ± 0.018 | 260 | 18.324–18.997, 0.673 | 18.274–19.047, 0.773 |
| Caffeic acid | 20.574 ± 0.020 | 324 | 20.129–21.025, 0.896 | 20.079–21.075, 0.996 |
| Syringic acid | 31.683 ± 0.019 | 275 | 31.174–32.184, 1.010 | 31.124–32.234, 1.110 |
| (‒)-Epicatechin | 33.712 ± 0.011 | 280 | 33.28–34.133, 0.853 | 33.230–34.183, 0.953 |
| p-Coumaric acid | 37.486 ± 0.017 | 309 | 37.143–37.835, 0.692 | 37.093–37.885, 0.792 |
| Rutin | 41.058 ± 0.019 | 255 | 40.882–41.234, 0.352 | 40.832–41.284, 0.452 |
| Salicylic acid | 44.927 ± 0.016 | 304 | 44.502–45.353, 0.851 | 44.452–45.403, 0.951 |
| Coumarin | 49.384 ± 0.018 | 280 | 48.881–49.886, 1.005 | 48.831–49.936, 1.105 |
| trans-Resveratrol | 53.115 ± 0.015 | 306 | 52.610–53.624, 1.014 | 52.560–53.674, 1.114 |
| Morin | 55.867 ± 0.015 | 256 | 55.251–56.489, 1.238 | 55.201–56.539, 1.338 |
| Quercetin | 62.342 ± 0.020 | 374 | 61.839–62.845, 1.006 | 61.789–62.895, 1.106 |

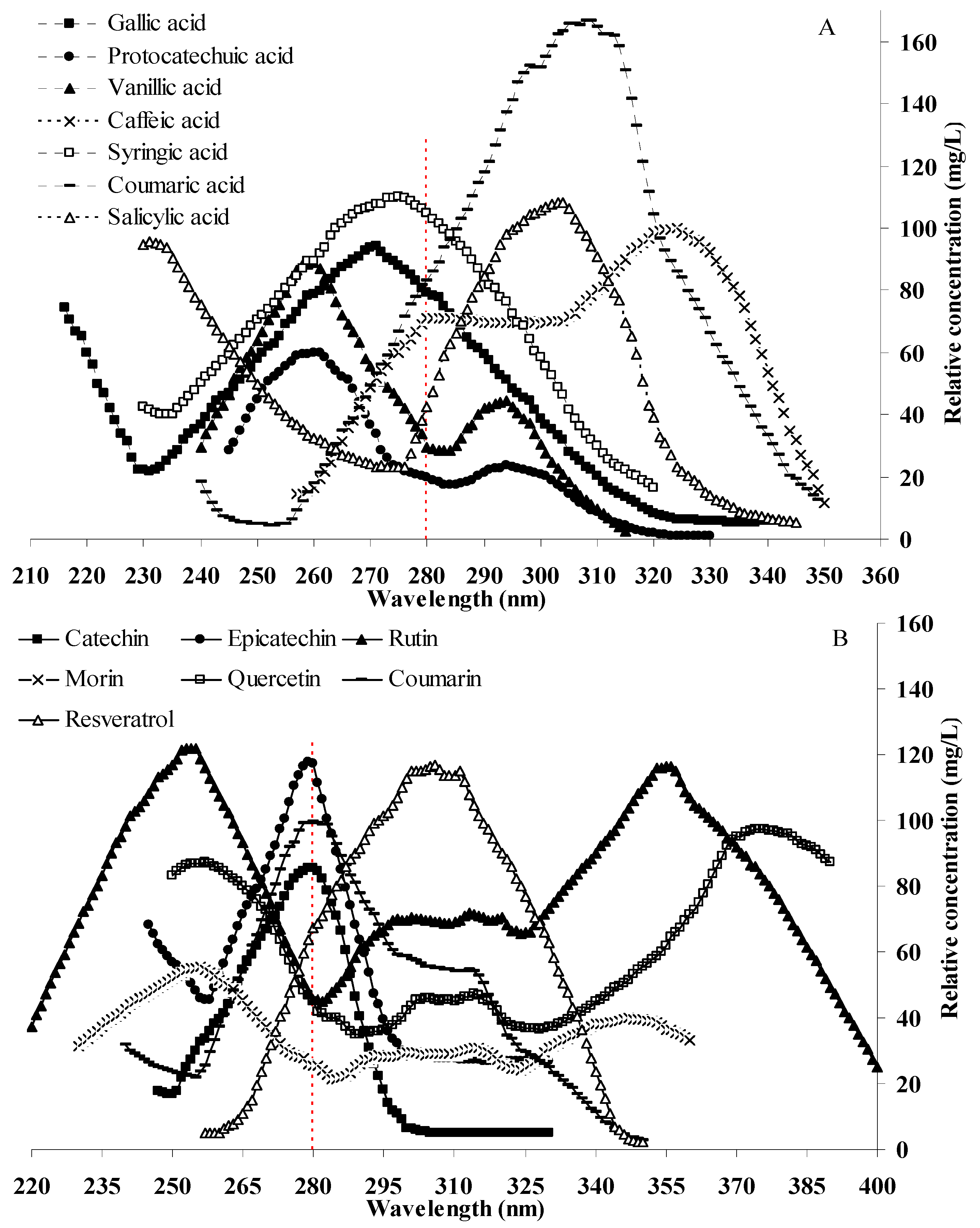
2.2. Fine-Tuning of Detection Wavelength

2.3. Validation of the Method
| Name a | Linear equation b | Corr. coeff. (r2) | UV detector | DAD detector | ||||||
|---|---|---|---|---|---|---|---|---|---|---|
| Constant (280 nm) | Switching | Constant (280 nm) | Switching | |||||||
| LOD | LOQ | LOD | LOQ | LOD | LOQ | LOD | LOQ | |||
| GA | C = 46051(±385)A − 209260(±3821) | 0.9993 | 0.032 | 0.098 | 0.021 | 0.062 | 0.064 | 0.188 | 0.043 | 0.119 |
| PA | C = 27162(±321)A − 74702(±275) | 0.9993 | 0.044 | 0.125 | 0.015 | 0.043 | 0.134 | 0.387 | 0.048 | 0.151 |
| CAT | C = 11372(±199)A − 49365(±328) | 0.9991 | 0.026 | 0.073 | 0.026 | 0.073 | 0.120 | 0.290 | 0.120 | 0.290 |
| VA | C = 6648(±45)A + 1235(±41) | 0.9991 | 0.068 | 0.182 | 0.033 | 0.095 | 0.098 | 0.285 | 0.062 | 0.179 |
| CA | C = 85705(±612)A − 283259(±4372) | 0.9996 | 0.037 | 0.110 | 0.025 | 0.077 | 0.126 | 0.368 | 0.099 | 0.302 |
| SYA | C = 49634(±654)A − 106819(±1422) | 0.9993 | 0.013 | 0.038 | 0.009 | 0.026 | 0.034 | 0.097 | 0.040 | 0.116 |
| EC | C = 10877(±162)A − 73865(±705) | 0.9992 | 0.062 | 0.358 | 0.062 | 0.358 | 0.139 | 0.508 | 0.139 | 0.508 |
| PCA | C = 66221(±524)A − 138690(±2312) | 0.9997 | 0.019 | 0.058 | 0.013 | 0.037 | 0.047 | 0.145 | 0.030 | 0.085 |
| RT | C = 19525(±327)A − 29519(±342) | 0.9990 | 0.065 | 0.182 | 0.022 | 0.064 | 0.108 | 0.331 | 0.087 | 0.273 |
| SLA | C = 9282(±76)A − 46686(±366) | 0.9995 | 0.121 | 0.356 | 0.052 | 0.148 | 0.235 | 0.698 | 0.104 | 0.317 |
| CR | C = 65717(±678)A − 44484(±621) | 0.9996 | 0.034 | 0.133 | 0.034 | 0.133 | 0.136 | 0.405 | 0.136 | 0.405 |
| RES | C = 94435(±628)A + 250679(±2313) | 0.9997 | 0.007 | 0.023 | 0.003 | 0.008 | 0.067 | 0.207 | 0.032 | 0.092 |
| MR | C = 12833(±465)A + 73026(±665) | 0.9991 | 0.037 | 0.112 | 0.023 | 0.060 | 0.122 | 0.371 | 0.081 | 0.237 |
| QC | C = 31436(±973)A − 77114(±768) | 0.9998 | 0.041 | 0.125 | 0.017 | 0.053 | 0.142 | 0.422 | 0.076 | 0.232 |

| Name a | Control (mg) | Added (mg) | Found ± SD (mg) | Recovery (%) | Precision RSD (%) | Robustness RSD (%) | ||||||
|---|---|---|---|---|---|---|---|---|---|---|---|---|
| Intra-day | Inter-day | Flow rate (mL/min) | AcOH conc. (%, v/v) | Column temp. (°C) | ||||||||
| 0.75 | 0.85 | 2.95 | 3.05 | 29 | 31 | |||||||
| GA | 43.86 | 50 | 91.34 ± 2.26 | 97.31 | 2.67 | 2.80 | 1.43 | 2.31 | 2.55 | 2.13 | 0.84 | 0.65 |
| 150 | 195.59 ± 7.48 | 100.89 | 3.72 | 3.86 | ||||||||
| 250 | 292.86 ± 10.88 | 99.66 | 3.35 | 3.13 | ||||||||
| PA | 140.57 | 50 | 192.11 ± 5.57 | 100.81 | 2.72 | 3.33 | 1.67 | 1.73 | 2.35 | 2.86 | 1.29 | 0.98 |
| 150 | 297.21 ± 8.72 | 102.32 | 2.65 | 3.01 | ||||||||
| 250 | 395.14 ± 13.46 | 101.17 | 3.05 | 3.76 | ||||||||
| CAT | 733.77 | 50 | 799.92 ± 23.83 | 102.06 | 1.62 | 3.80 | 1.53 | 1.88 | 2.06 | 2.17 | 0.58 | 1.05 |
| 150 | 885.98 ± 25.49 | 100.25 | 2.80 | 3.90 | ||||||||
| 250 | 984.56 ± 36.48 | 100.08 | 3.79 | 3.92 | ||||||||
| VA | 46.84 | 50 | 100.09 ± 2.46 | 103.36 | 2.71 | 3.57 | 1.48 | 1.62 | 1.76 | 1.89 | 0.86 | 0.99 |
| 150 | 195.86 ± 5.22 | 99.50 | 2.82 | 3.10 | ||||||||
| 250 | 297.70 ± 9.87 | 100.29 | 2.96 | 3.13 | ||||||||
| CA | 44.56 | 50 | 95.28 ± 2.51 | 100.76 | 2.54 | 3.74 | 1.32 | 1.44 | 2.73 | 2.85 | 0.67 | 0.59 |
| 150 | 195.92 ± 6.14 | 100.70 | 3.32 | 3.65 | ||||||||
| 250 | 296.71 ± 11.32 | 100.73 | 3.42 | 3.69 | ||||||||
| SYA | 113.63 | 50 | 160.54 ± 3.78 | 98.11 | 2.26 | 2.51 | 1.76 | 1.85 | 2.65 | 1.87 | 1.12 | 1.06 |
| 150 | 272.96 ± 6.27 | 103.24 | 2.43 | 2.76 | ||||||||
| 250 | 367.48 ± 10.78 | 101.06 | 3.11 | 3.22 | ||||||||
| EC | 545.71 | 50 | 600.18 ± 14.64 | 100.75 | 2.54 | 3.10 | 1.67 | 1.79 | 2.21 | 1.99 | 0.88 | 1.10 |
| 150 | 722.84 ± 21.73 | 103.90 | 3.14 | 3.29 | ||||||||
| 250 | 803.27 ± 34.32 | 100.95 | 3.74 | 4.01 | ||||||||
| PCA | 77.55 | 50 | 133.49 ± 3.39 | 104.66 | 2.09 | 2.76 | 1.58 | 1.62 | 2.71 | 2.90 | 0.84 | 0.93 |
| 150 | 229.53 ± 6.67 | 100.87 | 3.02 | 2.93 | ||||||||
| 250 | 327.26 ± 10.43 | 99.91 | 3.26 | 3.44 | ||||||||
| RT | 92.29 | 50 | 142.55 ± 4.36 | 100.18 | 1.79 | 2.67 | 1.78 | 1.75 | 2.65 | 2.68 | 0.79 | 0.89 |
| 150 | 244.45 ± 6.03 | 100.89 | 2.40 | 2.54 | ||||||||
| 250 | 344.07 ± 7.51 | 100.52 | 2.41 | 2.84 | ||||||||
| SLA | 179.62 | 50 | 229.37 ± 6.49 | 99.89 | 2.58 | 2.98 | 1.46 | 1.42 | 2.47 | 2.80 | 1.05 | 1.32 |
| 150 | 336.64 ± 10.54 | 102.13 | 2.94 | 3.26 | ||||||||
| 250 | 431.94 ± 13.84 | 100.54 | 2.93 | 3.35 | ||||||||
| CR | 25.33 | 50 | 75.85 ± 2.13 | 100.69 | 3.74 | 4.22 | 1.87 | 1.73 | 2.12 | 2.34 | 0.59 | 0.66 |
| 150 | 171.22 ± 5.38 | 97.65 | 2.84 | 3.15 | ||||||||
| 250 | 277.59 ± 8.37 | 100.82 | 3.07 | 3.31 | ||||||||
| RES | 1048.7 | 50 | 1125.44 ± 35.82 | 102.43 | 2.91 | 3.25 | 1.59 | 1.60 | 2.83 | 2.76 | 1.07 | 0.74 |
| 150 | 1191.31 ± 39.27 | 99.38 | 3.16 | 3.21 | ||||||||
| 250 | 1318.09 ± 41.22 | 101.49 | 2.95 | 3.24 | ||||||||
| MR | 192.68 | 50 | 252.90 ± 3.72 | 104.21 | 1.70 | 2.92 | 1.55 | 1.49 | 2.37 | 2.51 | 0.82 | 0.77 |
| 150 | 344.29 ± 8.28 | 100.47 | 2.56 | 2.56 | ||||||||
| 250 | 436.31 ± 14.28 | 98.56 | 3.20 | 3.20 | ||||||||
| QC | 87.85 | 50 | 137.63 ± 3.37 | 99.84 | 3.08 | 3.16 | 1.69 | 1.36 | 2.54 | 2.87 | 1.21 | 1.14 |
| 150 | 245.65 ± 7.99 | 103.28 | 3.05 | 3.43 | ||||||||
| 250 | 349.91 ± 10.43 | 103.57 | 3.26 | 3.53 | ||||||||
2.4. Application
3. Experimental
3.1. Chemicals
3.2. Preparation of Plant Materials
3.3. Extraction Process
3.4. Preparation of Standard Solution
3.5. HPLC-DAD-UV Analyses
3.6. Fine-Tuning Analysis of Detection Wavelength
3.7. Method Validation Procedure
4. Conclusions
Supplementary Materials
Acknowledgments
Conflicts of Interest
References
- Duthie, G.G.; Duthie, S.J.; Kyle, J.A.M. Plant polyphenols in cancer and heart disease: Implications as nutritional antioxidants. Nutr. Res. Rev. 2000, 13, 79–106. [Google Scholar] [CrossRef]
- Pietta, P.G. Flavonoids as antioxidants. J. Nat. Prod. 2000, 63, 1035–1042. [Google Scholar] [CrossRef]
- Rice-Evans, C.A.; Miller, N.J.; Paganga, G. Antioxidant properties of phenolic compounds. Trends Plant Sci. 1997, 2, 152–159. [Google Scholar] [CrossRef]
- Sies, H. Oxidative stress: Oxidants and antioxidants. Exp. Physiol. 1997, 82, 291–295. [Google Scholar]
- Lima, C.F.; Fernandes-Ferreira, M.; Pereira-Wilson, C. Phenolic compounds protect HepG2 cells from oxidative damage: Relevance of glutathione levels. Life Sci. 2006, 79, 2056–2068. [Google Scholar] [CrossRef]
- Montilla, P.; Espejo, I.; Muñoz, M.C.; Bujalance, I.; Muñoz-Castañeda, J.R.; Tunez, I. Protective effect of red wine on oxidative stress and antioxidant enzyme activities in the brain and kidney induced by feeding high cholesterol in rats. Clin. Nutr. 2006, 25, 146–153. [Google Scholar] [CrossRef]
- Semalty, M.; Semalty, A.; Joshi, G.P.; Rawat, M.S.M. Comparison of in vitro Antioxidant Activity of Trigonella foenum-graecum and T. corniculata Seeds. Res. J. Phytochem. 2009, 3, 63–67. [Google Scholar] [CrossRef]
- Dani, C.; Oliboni, L.S.; Agostini, F.; Funchal, C.; Serafini, L.; Henriques, J.A.; Salvador, M. Phenolic content of grapevine leaves (Vitis labrusca var. Bordo) and its neuroprotective effect against peroxide damage. Toxicol. In Vitro 2010, 24, 148–153. [Google Scholar]
- Soliman, M.M.A.; Fadel, H.M.; Kaousar, A.H. Effect of flavour extraction on the phenolic constituents of grape leaves. Eur. J. Lipid Sci. Technol. 1995, 97, 471–473. [Google Scholar]
- Karacabey, E.; Mazza, G. Optimization of solid-liquid extraction of resveratrol and other phenolic compounds from milled grape canes (Vitis vinifera). J. Agric. Food Chem. 2008, 56, 6318–6325. [Google Scholar] [CrossRef]
- Bustamante, M.A.; Moral, R.; Paredes, C.; Pérez-Espinosa, A.; Moreno-Caselles, J.; Pérez-Murcia, M.D. Agrochemical characterisation of the solid by-products and residues from the winery and distillery industry. Waste Manage. 2008, 28, 372–380. [Google Scholar] [CrossRef]
- OIV, State of the Vitiviniculture World Market. Available online: http://www.oiv.int/oiv/info/enconjoncture/ (accessed on 14 November 2010).
- Stationary Point and Area Sources. AP-42: Compilation of Air Pollutant Emission Factors, 5th ed.; United States Environmental Protection Agency: Washington, DC, USA, 1995. [Google Scholar]
- Anl, R.E.; Vural, N.; Kızılet, E. An alternative method for the determination of some of the antioxidant phenolics in varietal turkish red wines. J. Inst. Brew. 2008, 114, 239–245. [Google Scholar] [CrossRef]
- Hawrył, M.A.; Hawrył, A.; Soczewiński, E. Application of normal- and reversed-phase 2D TLC on a cyanopropyl-bonded polar stationary phase for separation of phenolic compounds from the flowers of Sambucus nigra L. Jpc. J. Planar Chromat. Mod. Tlc 2002, 15, 4–10. [Google Scholar] [CrossRef]
- Kvasnička, F.; Čopíková, J.; Ševčík, R.; Krátká, J.; Syntytsia, A.; Voldřich, M. Determination of phenolic acids by capillary zone electrophoresis and HPLC. Central Eur. J. Chem. 2008, 6, 410–418. [Google Scholar] [CrossRef]
- Passarinha, L.A.; Bonifácio, M.J.; Queiroz, J.A. The effect of temperature on the analysis of metanephrine for catechol-O-methyltransferase activity assay by HPLC with electrochemical detection. Biomed. Chromatogr. 2006, 20, 937–944. [Google Scholar] [CrossRef]
- Zheng, J.B.; Liu, X.X.; Zhou, Y.Z.; Suo, Z.R. Simultaneous determination of five phenolic compounds in dried flowers by LC using DAD combined electrochemical detection. Chromatographia 2007, 65, 707–712. [Google Scholar] [CrossRef]
- Hollman, P.C.H.; Trijp, J.M.P.V.; Buysman, M.N.C.P. Fluorescence detection of flavonols in HPLC by postcolumn chelation with aluminum. Anal. Chem. 1996, 68, 3511–3515. [Google Scholar] [CrossRef]
- Cui, H.; Zhou, J.; Xu, F.; Lai, C.Z.; Wan, G.H. Determination of phenolic compounds using high-performance liquid chromatography with Ce4+-Tween 20 chemiluminescence detection. Anal. Chim. Acta 2004, 511, 273–279. [Google Scholar] [CrossRef]
- Karim, M.M.; Alam, S.M.; Lee, S.H. Application of a lanthanide composite nanoparticle-sensitized luminescence method for the determination of salicylic acid in pharmaceutical formulations and human plasma. Luminescence 2008, 23, 417–423. [Google Scholar] [CrossRef]
- Lewisa, D.A.; Fields, W.N.; Shaw, G.P. A natural flavonoid present in unripe plantain banana pulp (Musa sapientum L. var. paradisiaca) protects the gastric mucosa from aspirin-induced erosions. J. Ethnopharmacol. 1999, 65, 283–288. [Google Scholar] [CrossRef]
- Yu, Q.T.; Qi, L.W.; Li, P.; Yi, L.; Zhao, J.; Bi, Z.M. Determination of seventeen main flavonoids and saponins in the medicinal plant Huang-qi (Radix Astragali) by HPLC-DAD-ELSD. J. Sep. Sci. 2007, 30, 1292–1299. [Google Scholar] [CrossRef]
- Li, W.K.; Fitzloff, J.F. Determination of andrographolide in commercial Andrographis (Andrographis paniculata) products using HPLC with evaporative light scattering detection. J. Liq. Chromatogr. Relat. Technol. 2002, 25, 1335–1343. [Google Scholar] [CrossRef]
- Tian, R.R.; Pan, Q.H.; Zhan, J.C.; Li, J.M.; Wan, S.B.; Zhang, Q.H.; Huang, W.D. Comparison of phenolic acids and flavan-3-ols during wine fermentation of grapes with different harvest times. Molecules 2009, 14, 827–838. [Google Scholar] [CrossRef]
- Bourgou, S.; Ksouri, R.; Bellila, A.; Skandrani, I.; Falleh, H.; Marzouk, B. Phenolic composition and biological activities of Tunisian Nigella sativa L.shoots and roots. C. R. Biol. 2008, 331, 48–55. [Google Scholar] [CrossRef]
- Tounsi, M.S.; Ouerghemmi, I.; Wannes, W.A.; Ksouri, R.; Zemni, H.; Marzouk, B; Kchouk, M.E. Valorization of three varieties of grape. Ind. Crops Prod. 2009, 30, 292–296. [Google Scholar] [CrossRef]
- Boban, N.; Tonkic, M.; Modun, D.; Budimir, D.; Mudnic, I.; Sutlovic, D.; Punda-Polic, V.; Boban, M. Thermally treated wine retains antibacterial effects to food-born pathogens. Food Control 2010, 21, 1161–1165. [Google Scholar] [CrossRef]
- Zhang, H.; Jiang, L.; Ye, S.; Ye, Y.B.; Ren, F.Z. Systematic evaluation of antioxidant capacities of the ethanolic extract of different tissues of jujube (Ziziphus jujuba Mill.) from China. Food Chem. Toxicol. 2010, 48, 1461–1465. [Google Scholar] [CrossRef]
- Spáčil, Z.; Nováková, L.; Solich, P. Analysis of phenolic compounds by high performance liquid chromatography and ultra performance liquid chromatography. Talanta 2008, 76, 189–199. [Google Scholar] [CrossRef]
- Viskupicova, J.; Danihelova, M.; Ondrejovic, M.; Liptaj, T.; Sturdik, E. Lipophilic rutin derivatives for antioxidant protection of oil-based foods. Food Chem. 2010, 123, 45–50. [Google Scholar] [CrossRef]
- Jayakumar, T.; Thomas, P.A.; Geraldine, P. In-vitro antioxidant activities of an ethanolic extract of the oyster mushroom, Pleurotus ostreatus. Innov. Food Sci. Emerg. Technol. 2009, 10, 228–234. [Google Scholar] [CrossRef]
- Quirós, A.R.B.; Lage-Yusty, M.A.; López-Hernández, J. HPLC-analysis of polyphenolic compounds in Spanish white wines and determination of their antioxidant activity by radical scavenging assay. Food Res. Int. 2009, 42, 1018–1022. [Google Scholar] [CrossRef]
- Nantitanon, W.; Yotsawimonwat, S.; Okonogi, S. Factors influencing antioxidant activities and total phenolic content of guava leaf extract. LWT Food Sci. Technol. 2010, 43, 1095–1103. [Google Scholar] [CrossRef]
- Casazza, A.A.; Aliakbarian, B.; Mantegna, S.; Cravotto, G.; Perego, P. Extraction of phenolics from Vitis vinifera wastes using non-conventional techniques. J. Food Eng. 2010, 100, 50–55. [Google Scholar] [CrossRef]
- Fang, F.; Li, J.M.; Pan, Q.H.; Huang, W.D. Determination of red wine flavonoids by HPLC and effect of aging. Food Chem. 2007, 101, 428–433. [Google Scholar] [CrossRef]
- Cho, K.M.; Hong, S.Y.; Math, R.K.; Lee, J.H.; Kambiranda, D.M.; Kim, J.M.; Islam, S.M.A.; Yun, M.G.; Cho, J.J.; Lim, W.J.; Yun, H.D. Biotransformation of phenolics (isoflavones, flavanols and phenolic acids) during the fermentation of cheonggukjang by Bacillus pumilus HY1. Food Chem. 2009, 114, 413–419. [Google Scholar] [CrossRef]
- Zgórka, G.; Kawka, S. Application of conventional UV, photodiode array (PDA) and fluorescence (FL) detection to analysis of phenolic acids in plant material and pharmaceutical preparations. J. Pharm. Biomed. Anal. 2001, 24, 1065–1072. [Google Scholar] [CrossRef]
- Bravo, M.N.; Silva, S.; Coelho, A.V.; Boas, L.V.; Bronze, M.R. Analysis of phenolic compounds in Muscatel wines produced in Portugal. Anal. Chim. Acta 2006, 563, 84–92. [Google Scholar] [CrossRef]
- Vrchotová, N.; Šerá, B.; Tříska, J. The stilbene and catechin content of the spring sprouts of Reynoutria species. Acta Chromatogr. 2007, 19, 21–28. [Google Scholar]
- Ávila-Reyes, J.A.; Almaraz-Abarca, N.; Delgado-Alvarado, E.A.; González-Valdez, L.S.; Toro, G.V.; Páramo, E.D. Phenol profile and antioxidant capacity of mescal aged in oak wood barrels. Food Res. Int. 2010, 43, 296–300. [Google Scholar] [CrossRef]
- Nováková, L.; Spáčil, Z.; Seifrtová, M.; Opletal, L.; Solich, P. Rapid qualitative and quantitative ultra high performance liquid chromatography method for simultaneous analysis of twenty nine common phenolic compounds of various structures. Talanta 2010, 80, 1970–1979. [Google Scholar] [CrossRef]
- Ballard, T.S.; Mallikarjunan, P.; Zhou, K.; O’Keefe, S. Microwave-assisted extraction of phenolic antioxidant compounds from peanut skins. Food Chem. 2010, 120, 1185–1192. [Google Scholar] [CrossRef]
- Jeenphakdee, M.; Samappito, S. Optimization of an analytical method for determining flavonoid content of Ma-mao juice. J. Sci. Technol. Mahasarakham Univ. 2009, 28, 171–177. [Google Scholar]
- Wu, J.W.; Hsieh, C.L.; Wang, H.Y.; Chen, H.Y. Inhibitory effects of guava (Psidium guajava L.) leaf extracts and its active compounds on the glycation process of protein. Food Chem. 2009, 113, 78–84. [Google Scholar] [CrossRef]
- Tabart, J.; Kevers, C.; Pincemail, J.; Defraigne, J.O.; Dommes, J. Evaluation of spectrophotometric methods for antioxidant compound measurement in relation to total antioxidant capacity in beverages. Food Chem. 2010, 120, 607–614. [Google Scholar] [CrossRef]
- Obreque-Slier, E.; Peña-Neira, A.; López-Solís, R.; Zamora-Marín, F.; Ricardo-da Silva, J.M.; Laureano, O. Comparative study of the phenolic composition of seeds and skins from Carménère and Cabernet Sauvignon grape varieties (Vitis vinifera L.) during ripening. J. Agric. Food Chem. 2010, 58, 3591–3599. [Google Scholar] [CrossRef]
- Anastasiadi, M.; Pratsinis, H.; Kletsas, D.; Skaltsounis, A.L.; Haroutounian, S.A. Bioactive non-coloured polyphenols content of grapes, wines and vinification by-products: Evaluation of the antioxidant activities of their extracts. Food Res. Int. 2010, 43, 805–813. [Google Scholar] [CrossRef]
- Huang, W.; Liu, X.P. Determination of sudan dyes in foods with HPLC diode array detector. Chin. J. Health Lab. Technol. 2005, 15, 1327–1328. [Google Scholar]
- Sharma, V.; Gulati, A.; Ravindranath, S.D.; Kumar, V. A simple and convenient method for analysis of tea biochemicals by reverse phase HPLC. J. Food Compost. Anal. 2005, 18, 583–594. [Google Scholar] [CrossRef]
- Guillaume, Y.; Guinchard, C. Marked differences between acetonitrile/water and methanol/water mobile phase systems on the thermodynamic behavior of benzodiazepines in reversed phase liquid chromatography. Chromatographia 1995, 41, 84–87. [Google Scholar]
- Q2 (R1) Validation of Analytical Procedures: Text and Methodology. Available online: http://www.fda.gov/Drugs/GuidanceComplianceRegulatoryInformation/Guidances/ucm265700.htm/ (accessed on 14 November 2013).
- Sample Availability: Not available.
© 2013 by the authors; licensee MDPI, Basel, Switzerland. This article is an open access article distributed under the terms and conditions of the Creative Commons Attribution license (http://creativecommons.org/licenses/by/3.0/).
Share and Cite
Zhang, A.; Wan, L.; Wu, C.; Fang, Y.; Han, G.; Li, H.; Zhang, Z.; Wang, H. Simultaneous Determination of 14 Phenolic Compounds in Grape Canes by HPLC-DAD-UV Using Wavelength Switching Detection. Molecules 2013, 18, 14241-14257. https://doi.org/10.3390/molecules181114241
Zhang A, Wan L, Wu C, Fang Y, Han G, Li H, Zhang Z, Wang H. Simultaneous Determination of 14 Phenolic Compounds in Grape Canes by HPLC-DAD-UV Using Wavelength Switching Detection. Molecules. 2013; 18(11):14241-14257. https://doi.org/10.3390/molecules181114241
Chicago/Turabian StyleZhang, Ang, Li Wan, Cuiyun Wu, Yulin Fang, Guomin Han, Hua Li, Zhenwen Zhang, and Hua Wang. 2013. "Simultaneous Determination of 14 Phenolic Compounds in Grape Canes by HPLC-DAD-UV Using Wavelength Switching Detection" Molecules 18, no. 11: 14241-14257. https://doi.org/10.3390/molecules181114241
APA StyleZhang, A., Wan, L., Wu, C., Fang, Y., Han, G., Li, H., Zhang, Z., & Wang, H. (2013). Simultaneous Determination of 14 Phenolic Compounds in Grape Canes by HPLC-DAD-UV Using Wavelength Switching Detection. Molecules, 18(11), 14241-14257. https://doi.org/10.3390/molecules181114241
