Next Article in Journal
Synthesis of DNA/RNA and Their Analogs via Phosphoramidite and H-Phosphonate Chemistries
Previous Article in Journal
Simultaneous Determination of 14 Phenolic Compounds in Grape Canes by HPLC-DAD-UV Using Wavelength Switching Detection
 
 
Font Type:
Arial Georgia Verdana
Font Size:
Aa Aa Aa
Line Spacing:
Column Width:
Background:
Article

Gold Nanoparticles on Mesoporous SiO2-Coated Magnetic Fe3O4 Spheres: A Magnetically Separatable Catalyst with Good Thermal Stability

1
Research Institute of Applied Catalysis, Shanghai Institute of Technology, Shanghai 201418, China
2
Department of Physics, Faculty of Science, Ningbo University, Ningbo 315211, China
3
Shanghai Key Laboratory of Atmospheric Particle Pollution and Prevention (LAP3), Department of Environmental Science and Engineering, Fudan University, Shanghai 200433, China
4
Ningbo Institute of Materials Engineering and Technology, Chinese Academy of Sciences, Ningbo 315201, China
*
Authors to whom correspondence should be addressed.
These authors contributed equally to this work.
Molecules 2013, 18(11), 14258-14267; https://doi.org/10.3390/molecules181114258
Submission received: 22 October 2013 / Revised: 11 November 2013 / Accepted: 12 November 2013 / Published: 18 November 2013

Abstract

:
Fe3O4 spheres with an average size of 273 nm were prepared in the presence of CTAB by a solvothermal method. The spheres were modified by a thin layer of SiO2, and then coated by mesoporous SiO2 (m-SiO2) films, by using TEOS as a precursor and CTAB as a soft template. The resulting m-SiO2/Fe3O4 spheres, with an average particle size of 320 nm, a high surface area (656 m2/g), and ordered nanopores (average pore size 2.5 nm), were loaded with gold nanoparticles (average size 3.3 nm). The presence of m-SiO2 coating could stabilize gold nanoparticles against sintering at 500 °C. The material showed better performance than a conventional Au/SiO2 catalyst in catalytic reduction of p-nitrophenol with NaBH4. It can be separated from the reaction mixture by a magnet and be recycled without obvious loss of catalytic activity. Relevant characterization by XRD, TEM, N2 adsorption-desorption, and magnetic measurements were conducted.

1. Introduction

Gold was initially regarded as useless in catalysis, until Haruta and co-workers found that small gold nanoparticles supported on some reducible oxide supports can be highly active for CO oxidation [1,2,3]. This finding triggered a great deal of interest in exploring the application of gold catalysts in other reactions [4,5,6], such as organic catalysis [7,8,9,10,11]. Most of the heterogeneous gold catalysts reported so far involve oxide supports such as TiO2, ZrO2, Fe2O3, CeO2, Al2O3, and SiO2. These oxide supports are not magnetic, thus making the supported gold catalysts difficult to separate after conducting organic reactions. In addition, many gold catalysts tend to sinter under elevated temperatures due to the low melting points of gold nanoparticles. The sintering can occur even under mild reaction conditions in organic catalysis. Therefore, for the sake of practical applications, it is desirable to design magnetically separable gold catalysts with good thermal stability.
Fe3O4 is a magnetic oxide. It can be used for designing magnetically separable catalysts and other functional materials [12,13,14,15,16,17,18,19,20]. For instance, Yin and co-workers prepared SiO2/Au/Fe3O4 catalysts by coating an Au/Fe3O4 catalyst with a SiO2 matrix, followed by controlled etching [21]. That way, the gold nanoparticles were protected by the SiO2 shell, and the SiO2 shell was porous, allowing for the diffusion of reactants and products. Alternatively, Zhao and co-workers prepared SiO2/Au/Fe3O4 catalysts by assembling a porous SiO2 shell on top of an Au/Fe3O4 catalyst, with the aid of a soft template [22]. The resulting SiO2/Au/Fe3O4 catalyst has enhanced stability against sintering. These SiO2/Au/Fe3O4 catalysts are particularly useful in organic catalysis, because they can be separated from the liquid phase after reaction by simply using a magnet.
Here we prepare another catalyst, Au/m-SiO2/Fe3O4 (Scheme 1). First, magnetic Fe3O4 particles were prepared by a solvothermal method. The particles were treated by a small amount of TEOS in the absence of a soft template (CTAB), and subsequently coated by mesoporous SiO2 (m-SiO2) films with the aid of the soft template. Gold nanoparticles were then deposited onto the m-SiO2-coated Fe3O4 support. The resulting catalyst is magnetically separable, thermally stable, and shows better catalytic activity than Au/SiO2 in the catalytic reduction of p-nitrophenol with NaBH4.
Scheme 1. Synthesis of Au/m-SiO2/Fe3O4 that can be separated by a magnet.
Scheme 1. Synthesis of Au/m-SiO2/Fe3O4 that can be separated by a magnet.
Molecules 18 14258 g009

2. Results and Discussion

Many references have reported the synthesis of Fe3O4 spheres in the presence of a protecting agent [15,23,24,25]. The formation of Fe3O4 spheres generally involves nanocrystal nucleation, crystal growth, and self-assembly [24]. Our work used CTAB as a protecting agent. The synthesized Fe3O4 particles are spherical, as seen from the TEM and SEM images in Figure 1. The particle size distribution obtained from TEM analysis of a number of particles is shown in Figure S1 in the Supplementary Materials. The average particle size is 273 nm.
Figure 1. TEM (a) and SEM (b) images of Fe3O4 spheres.
Figure 1. TEM (a) and SEM (b) images of Fe3O4 spheres.
Molecules 18 14258 g001
The Fe3O4 sample has characteristic XRD peaks at 2θ = 30.2°, 35.6°, 43.2°, 53.6°, 57.2°, 62.8°, and 74.2° (Figure 2a), corresponding to the cubic phase of Fe3O4.
Figure 2. XRD patterns of (a) Fe3O4 spheres; (b) m-SiO2/Fe3O4 without calcination; (c) m-SiO2/Fe3O4 calcined at 500 °C to remove the soft template; (d) Au/m-SiO2/Fe3O4.
Figure 2. XRD patterns of (a) Fe3O4 spheres; (b) m-SiO2/Fe3O4 without calcination; (c) m-SiO2/Fe3O4 calcined at 500 °C to remove the soft template; (d) Au/m-SiO2/Fe3O4.
Molecules 18 14258 g002
To synthesize m-SiO2/Fe3O4, the Fe3O4 particles were first treated by a small amount of TEOS, resulting in the modification of Fe3O4 particles with a thin layer of SiO2 (see Figure S2 in the Supplementary Materials). Then the SiO2-modified Fe3O4 particles were treated with more TEOS in the presence of a soft template (CTAB), followed by calcination to remove the soft template, resulting in the formation of m-SiO2/Fe3O4. The average size of m-SiO2/Fe3O4 particles is about 320 nm, as seen from the TEM image in Figure 3. Figure 3 also shows that the thickness of the SiO2 layer is about 27 nm, and the SiO2 layer is porous. Figure S3 shows more TEM images of the sample.
Figure 3. TEM image of m-SiO2/Fe3O4.
Figure 3. TEM image of m-SiO2/Fe3O4.
Molecules 18 14258 g003
The material has a high surface area of 656 m2/g and an average pore size of 2.5 nm (Figure 4). For comparison, the surface area of Fe3O4 particles is only 30 m2/g.
Figure 4. The nitrogen adsorption-desorption isotherms and pore size distribution of m-SiO2/Fe3O4.
Figure 4. The nitrogen adsorption-desorption isotherms and pore size distribution of m-SiO2/Fe3O4.
Molecules 18 14258 g004
The SiO2 coating is amorphous, as shown by the XRD data (Figure 2b,c). Note that the material was calcined at 500 °C to remove the soft template and create mesopores. This calcination process increases the crystallinity of the Fe3O4 particles, as seen from the sharper peaks in Figure 2c.
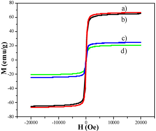
Figure 5 shows the magnetization curves of samples. The saturated susceptibility of Fe3O4 spheres is 65.0 emu/g. The modification of Fe3O4 spheres by a thin layer of SiO2 leads to a negligible decrease in saturated susceptibility. The saturated susceptibility of m-SiO2/Fe3O4 is 24.7 emu/g. The loading of gold nanoparticles onto m-SiO2/Fe3O4 leads to a negligible decrease in saturated susceptibility.
Figure 5. Hysteresis loops of samples at room temperature: (a) Fe3O4 particles; (b) thin SiO2-modified Fe3O4; (c) m-SiO2/Fe3O4; (d) Au/m-SiO2/Fe3O4.
Figure 5. Hysteresis loops of samples at room temperature: (a) Fe3O4 particles; (b) thin SiO2-modified Fe3O4; (c) m-SiO2/Fe3O4; (d) Au/m-SiO2/Fe3O4.
Molecules 18 14258 g005
Thermal stability is an important factor for practical applications of gold catalysts. Figure 6 shows the TEM images of Au/m-SiO2/Fe3O4 samples as prepared and calcined at 500 °C. For the as-prepared Au/m-SiO2/Fe3O4, the gold nanoparticles are highly dispersed, with an average particle size of 3.3 nm. The particle size distribution is shown in Figure S4. When the Au/m-SiO2/Fe3O4 is calcined at 500 °C for 2 h, the average gold particle size increases only slightly to 3.8 nm. On the other hand, the average size of gold nanoparticles in Au/SiO2 increases from 3.4 nm to 13.4 nm after calcination at 500 °C. Although the average size of gold nanoparticles (3.3 nm) is larger than the average pore size of the mesoporous SiO2 coating, the presence of mesoporous SiO2 still mitigates the sintering of gold nanoparticles.
Catalytic reduction of p-nitrophenol by NaBH4 was chosen to compare the performance of different gold catalysts. The reaction was carried out in a cuvette (rather than a round-bottom flask reported previously [26]) to allow for in situ monitoring. The reaction progress was followed by UV-Vis as the peak around 400 nm corresponds to the absorption of p-nitrophenol. Figure 7 shows the decreases in p-nitrophenol concentrations as the reaction proceeds. A faster decrease indicates higher catalytic activity. The conversions of p-nitrophenol on Au/m-SiO2/Fe3O4 and Au/SiO2 after 90 s reaction are 72.5% and 28.2%, respectively. After calcination at 500 °C, these catalysts show conversions of 49.4% and 4.5%, respectively. The catalysis data (also seen in Figure S5 and Table S1) again show the advantage of using a mesoporous SiO2 coating. As the catalytic activity drops greatly when the size of gold nanoparticles is increased [26], the low activity of the sintered Au/SiO2 catalyst is justified.
Figure 6. TEM images of as-synthesized Au/m-SiO2/Fe3O4 (a), Au/m-SiO2/Fe3O4 calcined at 500 °C (b), as-synthesized Au/SiO2 (c) and Au/SiO2 calcined at 500 °C (d).
Figure 6. TEM images of as-synthesized Au/m-SiO2/Fe3O4 (a), Au/m-SiO2/Fe3O4 calcined at 500 °C (b), as-synthesized Au/SiO2 (c) and Au/SiO2 calcined at 500 °C (d).
Molecules 18 14258 g006
Figure 7. Decrease in p-nitrophenol’s relative concentration during the hydrogenation reaction using different catalysts.
Figure 7. Decrease in p-nitrophenol’s relative concentration during the hydrogenation reaction using different catalysts.
Molecules 18 14258 g007
The catalyst recyclability was studied by testing the activity of Au/m-SiO2/Fe3O4 after separation using a magnet (see the photos in Scheme 1). No additional catalyst was added into the liquid phase. As shown in Figure 8, Au/m-SiO2/Fe3O4 shows stable activity in repeated runs.
Figure 8. Performance of Au/m-SiO2/Fe3O4 in repeated runs, after recycling of the catalyst.
Figure 8. Performance of Au/m-SiO2/Fe3O4 in repeated runs, after recycling of the catalyst.
Molecules 18 14258 g008

3. Experimental

3.1. Chemicals

All chemicals were used as received. Anhydrous FeCl3, sodium acetate, ethylene glycol, aqueous ammonia, polyvinylprrolidone (PVP, MW-58000), p-nitrophenol was purchased from Sinopharm Chemical Reagent Co. (Shanghai, China). Tetraethoxysilane (TEOS), hexadecyl trimethyl ammonium bromide (CTAB), HAuCl4·4H2O and NaBH4 were purchased from Aladdin Co. (Shanghai, China).

3.2. Catalyst Preparation

3.2.1. Preparation of Fe3O4 Spheres

Anhydrous FeCl3 (0.54 g), CTAB (0.2 g) and sodium acetate (2.5 g) were dissolved in ethylene glycol (50 mL), transferred into an autoclave, and subjected to solvothermal treatment at 180 °C for 24 h. The obtained sample was washed by anhydrous ethanol and deionized water several times, and dried at room temperature.

3.2.2. Preparation of m-SiO2/Fe3O4

Fe3O4 spheres (0.1 g) were dispersed in deionized water (100 mL), then aqueous ammonia (3 mL) and TEOS (0.3 mL) were added, and the mixture was stirred mechanically for 1 h. The solid was collected by a magnet, washed with deionized water and ethanol, and dried at room temperature.
The solid product mentioned above (0.1 g) was mixed with deionized water (100 mL). CTAB (0.2 g) aqueous ammonia (3 mL) was added, and the mixture was stirred at room temperature for 30 min. TEOS (2 mL) was then added, and the mixture was continuously stirred for 8 h. The obtained product was washed with anhydrous ethanol and water several times, dried at 100 °C for 4 h, and calcined at 500 °C for 4 h. The resulting material is denoted as m-SiO2/Fe3O4.

3.2.3. Preparation of Au/m-SiO2/Fe3O4 and Au/SiO2 Catalysts

To prepare gold colloids, NaBH4 (19 mg) was dissolved in deionized water (5 g), and cooled in a refrigerator (5 °C). HAuCl4·4H2O (20 mg) and PVP (10 mg) were dissolved in deionized water (95 g). After stirring the mixture for 30 min, the NaBH4 solution was injected. After stirring for 1 h, gold colloid solution (3 mL, containing 0.3 mg Au) were mixed with m-SiO2/Fe3O4 spheres (0.1 g) or a conventional SiO2 support (surface area 176 m2/g), subjected to ultrasonic treatment for 10 min, and left standing for 10 min. The mixture was subjected to centrifugation after adding some water, and the obtained product was dried at room temperature. The theoretical gold content was 0.3 wt%, whereas the actual gold contents measure by ICP were 0.28 wt% and 0.30 wt%, respectively.

3.3. Characterization

XRD patterns were collected on a Bruker AXS D8 Advance diffractometer using Cu Kα radiation. SEM images were obtained by a FEI Quanta FEG 250 field-emission scanning electron microscope operated at 20 kV. TEM images were obtained by a Tecnai F20 transmission electron microscope operated at 200 kV. The surface areas were measured on an ASAP-2020 M analyzer. Magnetic properties were measured using MPMS SQUID VEM system. ICP analysis of gold content was conducted using Perkin-Elmer Optima 2100 instrument.

3.4. Catalytic Reduction of p-Nitrophenol with NaBH4

Catalyst (10 mg) was dispersed in deionized water (50 mL) with the aid of ultrasonic treatment. 300 mM NaBH4 solution (1 mL), 3 mM p-nitrophenol solution (0.05 mL), and water (1 mL) containing catalyst (mentioned above, 0.2 mg) was added into a cuvette, and the mixture was subjected to absorption measurement at 400 nm every 2 s, by using an UV-Vis-3300 spectrometer (Shanghai Meipuda, Shanghai, China).

4. Conclusions

An Au/m-SiO2/Fe3O4 catalyst was prepared by using magnetic Fe3O4 spheres as a core and support, followed by coating the core with a porous SiO2 shell via a “soft-templating” approach and deposition of gold nanoparticles. The catalyst showed higher activity than Au/SiO2 in the catalytic reduction of p-nitrophenol with NaBH4. It also showed good thermal stability. The mesoporous SiO2 coatings play an important role in stabilizing supported gold nanoparticles.

Supplementary Materials

Supplementary materials can be accessed at: https://www.mdpi.com/1420-3049/18/11/14258/s1.

Acknowledgments

S.H. Zhou thanks China Zhejiang Provincial Natural Science Foundation (Grant No. Y4110116) and the Ministry of Science and Technology of China (Grant No. 2012DFA40550) for financial support. H.B. Yu thanks Natural Science Foundation of Ningbo (Grant No. 2013A610038) for financial support. Z. Ma acknowledges the financial support by National Natural Science Foundation of China (Grant Nos. 21007011 and 21177028), the Ph.D. Programs Foundation of the Ministry of Education in China (Grant No. 20100071120012), and the Overseas Returnees Start-Up Research Fund of the Ministry of Education in China.

Conflicts of Interest

The authors declare no conflict of interest.

References

  1. Haruta, M.; Kobayashi, T.; Sano, H.; Yamada, N. Novel gold catalysts for the oxidation of carbon-monoxide at a temperature far below 0 °C. Chem. Lett. 1987, 16, 405–408. [Google Scholar]
  2. Haruta, M.; Yamada, N.; Kobayashi, T.; Iijima, S. Gold catalysts prepared by coprecipitation for low-temperature oxidation of hydrogen and of carbon monoxide. J. Catal. 1989, 115, 301–309. [Google Scholar] [CrossRef]
  3. Haruta, M.; Tsubota, S.; Kobayashi, T.; Kageyama, H.; Genet, M.J.; Delmon, B. Low-temperature oxidation of CO over gold supported on TiO2, α-Fe2O3, and Co3O4. J. Catal. 1993, 144, 175–192. [Google Scholar] [CrossRef]
  4. Hashmi, A.S.K. The catalysis gold rush: New claims. Angew. Chem. Int. Ed. 2005, 44, 6990–6993. [Google Scholar] [CrossRef]
  5. Bond, G.C.; Louis, C.; Thompson, D.T. Catalysis by Gold; Imperial College Press: London, UK, 2006. [Google Scholar]
  6. Takei, T.; Akita, K.; Nakamura, I.; Fujitani, T.; Okumura, M.; Okazaki, K.; Huang, J.H.; Ishida, T.; Haruta, M. Heterogeneous catalysis by gold. Adv. Catal. 2012, 55, 1–126. [Google Scholar] [CrossRef]
  7. Della Pina, C.; Falletta, E.; Prati, L.; Rossi, M. Selective oxidation using gold. Chem. Soc. Rev. 2008, 37, 2077–2095. [Google Scholar] [CrossRef]
  8. Corma, A.; Garcia, H. Supported gold nanoparticles for organic reactions. Chem. Soc. Rev. 2008, 37, 2096–2126. [Google Scholar] [CrossRef]
  9. Zhang, Y.; Cui, X.J.; Shi, F.; Deng, Y.Q. Nano-gold catalysis in fine chemical synthesis. Chem. Rev. 2012, 112, 2467–2505. [Google Scholar] [CrossRef]
  10. Stratakis, M.; Garcia, H. Catalysis by supported gold nanoparticles: Beyond aerobic oxidative processes. Chem. Rev. 2012, 112, 4469–4506. [Google Scholar] [CrossRef]
  11. Davis, S.E.; Ide, M.S.; Davis, R.J. Selective oxidation of alcohols and aldehydes over supported metal nanoparticles. Green Chem. 2013, 15, 17–45. [Google Scholar] [CrossRef]
  12. Deng, Y.H.; Qi, D.W.; Deng, C.H.; Zhang, X.M.; Zhao, D.Y. Superparamagnetic high-magnetization microspheres with an Fe3O4@SiO2 core and perpendicularly aligned mesoporous SiO2 shell for removal of microcystins. J. Am. Chem. Soc. 2007, 130, 28–29. [Google Scholar]
  13. Xuan, S.H.; Jiang, W.Q.; Gong, X.L.; Hu, Y.; Chen, Z.Y. Magnetically separable Fe3O4/TiO2 hollow spheres: Fabrication and photocatalytic activity. J. Phys. Chem. C 2008, 113, 553–558. [Google Scholar]
  14. Stjerndahl, M.; Andersson, M.; Hall, H.E.; Pajerowski, D.M.; Meisel, M.W.; Duran, R.S. Superparamagnetic Fe3O4/SiO2 nanocomposites: Enabling the tuning of both the iron oxide load and the size of the nanoparticles. Langmuir 2008, 24, 3532–3536. [Google Scholar] [CrossRef]
  15. Wang, P.; Shi, Q.H.; Shi, Y.F.; Clark, K.K.; Stucky, G.D.; Keller, A.A. Magnetic permanently confined micelle arrays for treating hydrophobic organic compound contamination. J. Am. Chem. Soc. 2008, 131, 182–188. [Google Scholar]
  16. Xu, Z.H.; Li, C.X.; Kang, X.J.; Yang, D.M.; Yang, P.P.; Hou, Z.Y.; Lin, J. Synthesis of a multifunctional nanocomposite with magnetic, mesoporous, and near-IR absorption properties. J. Phys. Chem. C 2010, 114, 16343–16350. [Google Scholar] [CrossRef]
  17. Wang, Y.Y.; Li, B.; Zhang, L.M.; Li, P.; Wang, L.L.; Zhang, J. Multifunctional magnetic mesoporous silica nanocomposites with improved sensing performance and effective removal ability toward Hg(II). Langmuir 2011, 28, 1657–1662. [Google Scholar]
  18. Ma, W.-F.; Zhang, Y.; Li, L.-L.; You, L.-J.; Zhang, P.; Zhang, Y.-T.; Li, J.-M.; Yu, M.; Guo, J.; Lu, H.-J.; Wang, C.-C. Tailor-made magnetic Fe3O4@mTiO2 microspheres with a tunable mesoporous anatase shell for highly selective and effective enrichment of phosphopeptides. ACS Nano 2012, 6, 3179–3188. [Google Scholar] [CrossRef]
  19. Ding, H.L.; Zhang, Y.X.; Wang, S.; Xu, J.M.; Xu, S.C.; Li, G.H. Fe3O4@SiO2 core/shell nanoparticles: The silica coating regulations with a single core for different core sizes and shell thicknesses. Chem. Mater. 2012, 24, 4572–4580. [Google Scholar] [CrossRef]
  20. Zhu, G.-T.; Li, X.-S.; Gao, Q.; Zhao, N.-W.; Yuan, B.-F.; Feng, Y.-Q. Pseudomorphic synthesis of monodisperse magnetic mesoporous silica microspheres for selective enrichment of endogenous peptides. J. Chromatogr. A 2012, 1224, 11–18. [Google Scholar]
  21. Ge, J.P.; Zhang, Q.; Zhang, T.R.; Yin, Y.D. Core-satellite nanocomposite catalysts protected by a porous silica shell: Controllable reactivity, high stability, and magnetic recyclability. Angew. Chem. Int. Ed. 2008, 47, 8924–8928. [Google Scholar] [CrossRef]
  22. Deng, Y.H.; Cai, Y.; Sun, Z.K.; Liu, J.; Liu, C.; Wei, J.; Li, W.; Liu, C.; Wang, Y.; Zhao, D.Y. Multifunctional mesoporous composite microspheres with well-designed nanostructure: A highly integrated catalyst system. J. Am. Chem. Soc. 2010, 132, 8466–8473. [Google Scholar] [CrossRef]
  23. Xuan, S.H.; Wang, F.; Lai, J.M.Y.; Sham, W.Y.; Wang, Y.-X.; Lee, S.-F.; Yu, J.C.; Cheng, C.H.K.; Leung, K.C. Synthesis of biocompatible, mesoporous Fe3O4 nano/microspheres with large surface area for magnetic resonance imaging and therapeutic applications. ACS Appl. Mater. Interfaces 2011, 3, 237–244. [Google Scholar] [CrossRef]
  24. Zhu, M.Y.; Diao, G.W. Synthesis of porous Fe3O4 nanospheres and its application for the catalytic degradation of xylenol orange. J. Phys. Chem. C 2011, 115, 18923–18934. [Google Scholar] [CrossRef]
  25. Liu, H.F.; Ji, S.F.; Zheng, Y.Y.; Li, M.; Yang, H. Modified solvothermal synthesis of magnetic microspheres with multifunctional surfactant cetyltrimethyl ammonium bromide and directly coated mesoporous shell. Power Technol. 2013, 246, 520–529. [Google Scholar] [CrossRef]
  26. Lin, C.; Tao, K.; Hua, D.Y.; Ma, Z.; Zhou, S.H. Size effect of gold nanoparticles in catalytic reduction of p-nitrophenol with NaBH4. Molecules 2013, 18, 12609–12620. [Google Scholar] [CrossRef]
  • Sample Availability: Samples of the catalyst samples are available from the authors.

Share and Cite

MDPI and ACS Style

Liu, H.; Lin, C.; Ma, Z.; Yu, H.; Zhou, S. Gold Nanoparticles on Mesoporous SiO2-Coated Magnetic Fe3O4 Spheres: A Magnetically Separatable Catalyst with Good Thermal Stability. Molecules 2013, 18, 14258-14267. https://doi.org/10.3390/molecules181114258

AMA Style

Liu H, Lin C, Ma Z, Yu H, Zhou S. Gold Nanoparticles on Mesoporous SiO2-Coated Magnetic Fe3O4 Spheres: A Magnetically Separatable Catalyst with Good Thermal Stability. Molecules. 2013; 18(11):14258-14267. https://doi.org/10.3390/molecules181114258

Chicago/Turabian Style

Liu, Huan, Chao Lin, Zhen Ma, Hongbo Yu, and Shenghu Zhou. 2013. "Gold Nanoparticles on Mesoporous SiO2-Coated Magnetic Fe3O4 Spheres: A Magnetically Separatable Catalyst with Good Thermal Stability" Molecules 18, no. 11: 14258-14267. https://doi.org/10.3390/molecules181114258

APA Style

Liu, H., Lin, C., Ma, Z., Yu, H., & Zhou, S. (2013). Gold Nanoparticles on Mesoporous SiO2-Coated Magnetic Fe3O4 Spheres: A Magnetically Separatable Catalyst with Good Thermal Stability. Molecules, 18(11), 14258-14267. https://doi.org/10.3390/molecules181114258

Article Metrics

Back to TopTop