Synthesis and Biological Evaluation of RGD-Conjugated MEK1/2 Kinase Inhibitors for Integrin-Targeted Cancer Therapy
Abstract
:1. Introduction

2. Results and Discussion
2.1. Development of the RGD-MEKI Conjugates with Alkoxylamine Analog MEKIs
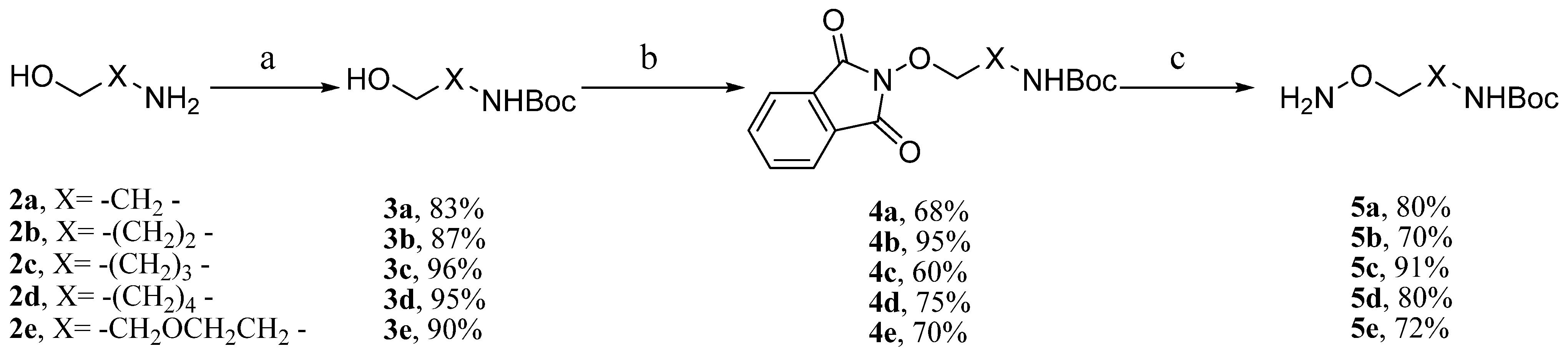
2.1.1. Synthesis of the Alkoxylamine Analog Conjugates 9a–g



2.1.2. Kinase-Inhibiting Activity Study of Conjugates 9a–g
| Compound | BRAF-MEK1 assay (%) a | MEK1-ERK2 assay (%) b | A375 cell c | |||
|---|---|---|---|---|---|---|
| 1 μM | 0.1 μM | 0.01μM | 10 μM | 1 μM | IC50(μM) | |
| PD0325901 | 97.3 ± 1.9 | 95.0 ± 1.4 | 94.0 ± 1.4 | 100.6 ± 0.4 | 100.0 ± 1.5 | 0.00045 |
| 9a | 74.2 ± 7.2 | 30.0 ± 4.7 | 0.3 ± 0.0 | 88.4 ± 1.4 | 66.5 ± 7.7 | 4.4 |
| 9b | 77.6 ± 7.5 | 58.5 ± 8.5 | 6.7 ± 8.5 | 93.5 ± 2.2 | 69.9 ± 3.2 | 2.1 |
| 9c | 91.5 ± 0.7 | 48.5 ± 9.5 | 38.9 ± 10 | 99.5 ± 0.7 | 63.8 ± 2.9 | 4.0 |
| 9d | 97.9 ± 2.4 | 46.0 ± 12.5 | 26.1 ± 15 | 99.9 ± 1.4 | 80.5 ± 2.0 | 5.6 |
| 8b | 57.5 ± 1.7 | 39.6 ± 9.3 | 12.5 ± 3.2 | 83.4 ± 1.2 | 29.1 ± 12.0 | 14.2 |
| 9g | 78.8 ± 4.4 | 39.0 ± 7.2 | 25.9 ± 11 | 91.8 ± 2.5 | 40.6 ± 5.5 | 0.65 |
| 9f | 80.5 ± 2.9 | 42.6 ± 5.6 | 39.0 ± 7.4 | 95.0 ± 1.0 | 49.1 ± 7.8 | 3.1 |
| 13 | 95.7 ± 1.9 | 95.1 ± 0.9 | 48.4 ± 3.2 | - | - | 0.0176 |
2.1.3. In Vitro Anti-Proliferation Assay of Conjugates 9a–g

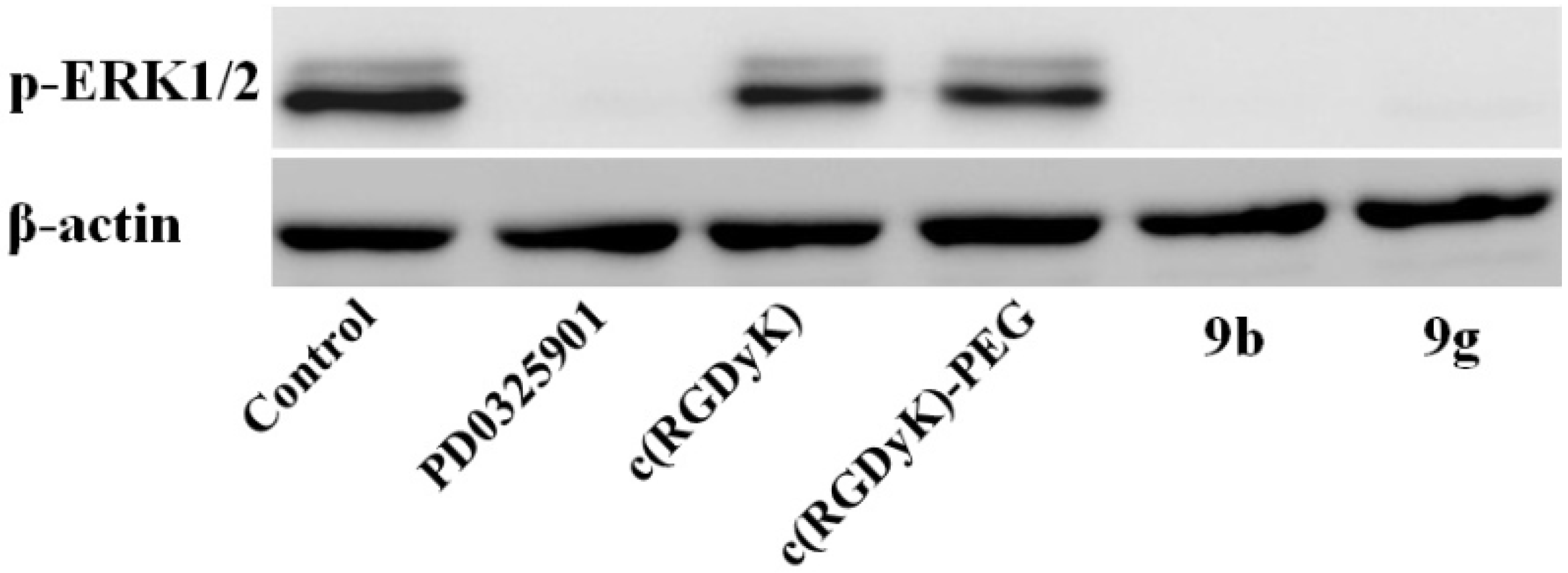
2.1.4. Inhibition of ERK Pathway

2.1.5. The Cell Cycle Analysis of Conjugates

2.2. Development of the RGD-PD0325901 Direct Conjugates 13
2.2.1. Synthesis of Conjugate 13

2.2.2. In Vitro Biological Evaluation of Conjugate 13


3. Experimental
3.1. General Experimental Conditions
3.2. Chemistry
3.2.1. General Procedure for the Synthesis of Tert-butyl-(2-hydroxyethyl)carbamate 3a and Its Derivatives (3b–e) [25,26,27,28,29]
3.2.2. General Procedure for the Synthesis of Tert-butyl-(2-((1,3-dioxoisoindolin-2-yl)oxy)ethyl) carbamate 4a and Its Derivatives (4b–e) [30,31,32,33]
3.2.3. General Procedure for the Synthesis of Tert-butyl-(2-(aminooxy)ethyl) carbamate 5a and Its Derivatives (5b–e) [32,33,34]
3.2.4. General Procedure for the Synthesis of Tert-butyl-(2-((3,4-difluoro-2-(2-fluoro-4-iodobenzyl) benzamido)oxy)ethyl)carbamate 6a and Its Derivatives (6b–e)
3.2.5. General Procedure for the Synthesis of N-(2-aminoethoxy)-3,4-difluoro-2-((2-fluoro-4-iodophenyl)amino)benzamide 7a and Its Derivatives (7b−e)
3.2.6. General Procedure for the Synthesis of 4-((2-((3,4-Difluoro-2-((2-fluoro-4-iodophenyl)amino) benzamido)oxy)ethyl)amino)-4-oxobutanoic Acid 8a and Its Derivatives (8b−e)
3.2.7. General Procedure for the Synthesis of 2,5-Dioxopyrrolidin-1-yl4-((3-(3,4- difluoro-2-((2-fluoro-4-iodophenylamino)benzamido)propyl)amino)-4-oxobutanoate 10
3.2.8. General Procedure for the Synthesis of Conjugate 9a and 9b−e
3.2.9. General Procedure for the Synthesis of Conjugates 9f–h
3.2.10. General Procedure for the Synthesis of (S)-4-(3-((3,4-difluoro-2-((2-fluoro-4-iodophenyl) amino)benzamido)oxy)-2-hydroxypropoxy)-4-oxobutanoic Acid 11
3.2.11. General Procedure for the Synthesis of (S)-3-((3,4-difluoro-2-((2-fluoro-4-iodophenyl)amino) benzamido)oxy)-2-hydroxypropyl (2,5-dioxopyrrolidin-1-yl) succinate 12
3.2.12. General Procedure for the Synthesis of Conjugate 13
3.3. General Procedure for the HTRF Phosphor-MEK1 and HTRF Phosphor-ERK2 Assays
3.4. Cell-Based Assays
3.4.1. Cell Culture
3.4.2. Anti-Proliferation Assay
3.4.3. Western Blotting Assay
3.4.4. Flow Cytometric Cell Cycle Analysis
3.4.5. DNA Replication Study
4. Conclusions
Abbreviations
| MEK | mitogen-activated protein kinase/extracellular signal regulated kinase |
| ERK | mitogen-activated protein kinase/extracellular signal-regulated kinase |
| pERK | phosphor-ERK; HTRF, homogeneous time-resolved fluorescence |
| NSCLC | non-small cell lung cancer; SRB, sulforhodamine B |
| PyBOP | benzotriazole-1-yl-oxy-tris-pyrrolidino-phosphonium hexafluoro phosphate |
| NHS | N-hydroxy succinimide |
| DCC | N, N'-dicyclohexyl-carbodiimide |
| CH2Cl2 | methylene chloride |
| FBS | fetal bovine serum |
| BCA | bicinchoninic acid |
| SDS-PAGE | sodium dodecyl sulfate polyacrylamide gel electrophoresis |
| PVDF membrane | polyvinylidenedifluoride membrane |
| PBST | phosphate buffered saline Tween-20 |
Supplementary Materials
Acknowledgments
Conflicts of Interest
References
- McCubrey, J.A.; Steelman, L.S.; Chappell, W.H.; Abrams, S.L.; Wong, E.W.; Chang, F.; Lehmann, B.; Terrian, D.M.; Milella, M.; Tafuri, A.; et al. Roles of the Raf/MEK/ERK pathway in cell growth, malignant transformation and drug resistance. Biochimi. Biophys. Acta 2007, 1773, 1263–1284. [Google Scholar]
- Sebolt-Leopold, J.S.; Herrera, R.; Ohren, J.F. The mitogen-activated protein kinase pathway for molecular-targeted cancer treatment. Recent Results Canc. Res. 2007, 172, 155–167. [Google Scholar]
- Cobb, M.H. MAP kinase pathways. Prog. Biophys. Mol. Biol. 1999, 71, 479–500. [Google Scholar] [CrossRef]
- Kolch, W. Meaningful relationships: The regulation of the Ras/Raf/MEK/ERK pathway by protein interactions. Biochem. J. 2000, 351, 289–305. [Google Scholar] [CrossRef]
- Montagut, C.; Settleman, J. Targeting the RAF-MEK-ERK pathway in cancer therapy. Cancer Lett. 2009, 283, 125–134. [Google Scholar] [CrossRef]
- Dhanasekaran, N.; Premkumar Reddy, E. Signaling by dual specificity kinases. Oncogene 1998, 17, 1447–1455. [Google Scholar]
- Henderson, Y.C.; Chen, Y.; Frederick, M.J.; Lai, S.Y.; Clayman, G.L. MEK inhibitor PD0325901 significantly reduces the growth of papillary thyroid carcinoma cells in vitro and in vivo. Mol. Cancer Ther. 2010, 9, 1968–1976. [Google Scholar] [CrossRef]
- Haura, E.B.; Ricart, A.D.; Larson, T.G.; Stella, P.J.; Bazhenova, L.; Miller, V.A.; Cohen, R.B.; Eisenberg, P.D.; Selaru, P.; Wilner, K.D.; et al. A phase II study of PD-0325901, an oral MEK inhibitor, in previously treated patients with advanced non-small cell lung cancer. Clin. Cancer Res. 2010, 16, 2450–2457. [Google Scholar] [CrossRef]
- LoRusso, P.A.; Krishnamurthi, S.S.; Rinehart, J.J.; Nabell, L.M.; Croghan, G.A.; Chapman, P.B.; Selaru, P.; Kim, S.; Ricart, A.D.; Wilner, K.D. Clinical aspects of a phase I study of PD-0325901, a selective oral MEK inhibitor, in patients with advanced cancer. Mol. Cancer Ther. 2007, 6, 3469S–3470S. [Google Scholar]
- Majumdar, S.; Siahaan, T.J. Peptide-mediated targeted drug delivery. Med. Res. Rev. 2012, 32, 637–658. [Google Scholar] [CrossRef]
- Danhier, F.; Le Breton, A.; Preat, V. RGD-based strategies to target alpha (v) beta (3) integrin in cancer therapy and diagnosis. Mol. Pharm. 2012, 9, 2961–2973. [Google Scholar] [CrossRef]
- Juliano, R.L.; Ming, X.; Nakagawa, O.; Xu, R.; Yoo, H. Integrin targeted delivery of gene therapeutics. Theranostics 2011, 1, 211–219. [Google Scholar]
- Ohren, J.F.; Chen, H.; Pavlovsky, A.; Whitehead, C.; Zhang, E.; Kuffa, P.; Yan, C.; McConnell, P.; Spessard, C.; Banotai, C.; et al. Structures of human MAP kinase kinase 1 (MEK1) and MEK2 describe novel noncompetitive kinase inhibition. Nat. Struct. Mol. Biol. 2004, 11, 1192–1197. [Google Scholar] [CrossRef]
- Wallace, M.B.; Adams, M.E.; Kanouni, T.; Mol, C.D.; Dougan, D.R.; Feher, V.A.; O’Connell, S.M.; Shi, L.; Halkowycz, P.; Dong, Q. Structure-based design and synthesis of pyrrole derivatives as MEK inhibitors. Bioorg. Med. Chem. Lett. 2010, 20, 4156–4158. [Google Scholar] [CrossRef]
- Barrett, S.D.; Bridges, A.J.; Dudley, D.T.; Saltiel, A.R.; Fergus, J.H.; Flamme, C.M.; Delaney, A.M.; Kaufman, M.; LePage, S.; Leopold, W.R.; et al. The discovery of the benzhydroxamate MEK inhibitors CI-1040 and PD 0325901. Bioorg. Med. Chem. Lett. 2008, 18, 6501–6504. [Google Scholar] [CrossRef]
- Neustadt, B.R. Facile Preparation of N-(Sulfonyl)Carbamates. Tetrahedron Lett. 1994, 35, 379–380. [Google Scholar] [CrossRef]
- Li, X.F.; Atkinson, R.N.; King, S.B. Preparation and evaluation of new L-canavanine derivatives as nitric oxide synthase inhibitors. Tetrahedron 2001, 57, 6557–6565. [Google Scholar] [CrossRef]
- Vassis, S.; Karigiannis, G.; Balayiannis, G.; Militsopoulou, M.; Mamos, P.; Francis, G.W.; Papaioannou, D. Simple syntheses of N-alkylated spermidine fragments and analogues of the spermine alkaloid kukoamine A. Tetrahedron Lett. 2001, 42, 1579–1582. [Google Scholar]
- Deutsch, H.M.; Glinski, J.A.; Hernandez, M.; Haugwitz, R.D.; Narayanan, V.L.; Suffness, M.; Zalkow, L.H. Synthesis of congeners and prodrugs .3. Water-soluble prodrugs of taxol with potent antitumor-activity. J. Med. Chem. 1989, 32, 788–792. [Google Scholar] [CrossRef]
- Wu, Y.; Zhang, X.Z.; Xiong, Z.M.; Cheng, Z.; Fisher, D.R.; Liu, S.; Gambhir, S.S.; Chen, X.Y. microPET imaging of glioma integrin alpha(V)beta(3) expression using Cu-64-labeled tetrameric RGD peptide. J. Nucl. Med. 2005, 46, 1707–1718. [Google Scholar]
- Wu, Y.; Cai, W.B.; Chen, X.Y. Near-infrared fluorescence imaging of tumor integrin alpha(v)beta(3) expression with Cy7-labeled RGD multimers. Mol. Imaging. Biol. 2006, 8, 226–236. [Google Scholar] [CrossRef]
- Zhang, X.Z.; Xiong, Z.M.; Wu, Y.; Cai, W.B.; Tseng, J.R.; Gambhir, S.S.; Chen, X.Y. Quantitative PET imaging of tumor integrin alpha(v)beta(3) expression with F-18-FRGD2. J. Nucl. Med. 2006, 47, 113–121. [Google Scholar]
- Lorusso, P.M.; Adjei, A.A.; Varterasian, M.; Gadgeel, S.; Reid, J.; Mitchell, D.Y.; Hanson, L.; DeLuca, P.; Bruzek, L.; Piens, J.; et al. Phase I and pharmacodynamic study of the oral MEK inhibitor CI-1040 in patients with advanced malignancies. J. Clin. Oncol. 2005, 23, 5281–5293. [Google Scholar] [CrossRef]
- Adjei, A.A.; Cohen, R.B.; Franklin, W.; Morris, C.; Wilson, D.; Molina, J.R.; Hanson, L.J.; Gore, L.; Chow, L.; Leong, S.; et al. Phase I pharmacokinetic and pharmacodynamic study of the oral, small-molecule mitogen-activated protein kinase kinase 1/2 inhibitor AZD6244 (ARRY-142886) in patients with advanced cancers. J. Clin. Oncol. 2008, 26, 2139–2146. [Google Scholar] [CrossRef]
- Elduque, X.; Sánchez, A.; Sharma, K.; Pedroso, E.; Grandas, A. Protected maleimide building blocks for the decoration of peptides, peptoids, and peptide nucleic acids. Bioconjugate Chem. 2013, 24, 832–839. [Google Scholar] [CrossRef]
- Aufort, M.; Gonera, M.; Lelait, M.A.; Czarny, B.; Clainche, L.L.; Thaï, R.; Landra, A.; Brimont, M.R.; Dugave, C. Synthesis, in vitro screening and in vivo evaluation of cyclic RGD analogs cyclizedthrough oxorhenium and oxotechnetium coordination. Eur. J. Med. Chem. 2011, 46, 1779–1788. [Google Scholar] [CrossRef]
- Zhu, H.; Wickenden, J.G.; Campbell, N.E.; Leung, J.C.T.; Johnson, K.M.; Sammis, G.M. Construction of carbo- and heterocycles using radical relay cyclizations initiated by alkoxy radicals. Org. Lett. 2009, 11, 2019–2022. [Google Scholar] [CrossRef]
- Ballini, R.; Petrini, M. A new procedure for dethioacetalization via equilibrium exchange with aqueous acetone, paraformaldehyde and amberlyst 15 as acidic catalyst. Synthesis 1990, 4, 336–337. [Google Scholar] [CrossRef]
- Chang, S.Y.; Bae, S.J.; Lee, M.Y.; Baek, S.H.; Chang, S.; Kim, S.H. Chemical affinity matrix-based identification of prohibitin as a binding protein to anti-resorptive sulfonyl amidine compounds. Bioorg. Med. Chem. Lett. 2011, 21, 727–729. [Google Scholar]
- Ramalingam, K.; Raju, N. Heteroatom-Bearing Ligands and Metal Complexes Thereof. U.S. Patent 5608110, 1997. [Google Scholar]
- Miao, Z.W.; Liu, J.J.; Thea, N.; Russell, D. Compositions Containing, Methods Involving, and Uses of Non-Natural Amino Acids and Polypeptides. WO 2006/069246, 2006. [Google Scholar]
- Barrett, S.D.; Biwersi, C.M.; Chen, M.H.G.; Kaufman, M.D.; Tecle, H.; Warmus, J.S. Oxygenated Esters of 4-Lodo Phenylamino Benzhydroxamic Acids. U.S. Patent 2004/0054172A1, 2004. [Google Scholar]
- Miao, Z.W.; Atkinson, K.C.; Biroc, S.; Buss, T.; Cook, M.; Krayonv, V.; Marsden, R.; Pinkstaff, J.; Skidmore, L.; Sun, Y.; Szydlik, A.; Valenta, I. Compositions Containing, Methods Involving, and Uses of Non-Natural Amino Acid Linked Dolastatin Derivatives. WO 2012/166560A1, 2012. [Google Scholar]
- Wallace, E.; Hurley, B.; Yang, H.W.; Lyssikatos, J.; Blake, J.; Marlow, A.L. Heterocyclic Inhibitors of MEK and Methods of Use Thereof. U.S. Patent 2005/0054701A1, 2005. [Google Scholar]
- Sample Availability: Samples of the compounds are available from the authors.
© 2013 by the authors; licensee MDPI, Basel, Switzerland. This article is an open access article distributed under the terms and conditions of the Creative Commons Attribution license (http://creativecommons.org/licenses/by/3.0/).
Share and Cite
Li, X.; Hou, J.; Wang, C.; Liu, X.; He, H.; Xu, P.; Yang, Z.; Chen, Z.; Wu, Y.; Zhang, L. Synthesis and Biological Evaluation of RGD-Conjugated MEK1/2 Kinase Inhibitors for Integrin-Targeted Cancer Therapy. Molecules 2013, 18, 13957-13978. https://doi.org/10.3390/molecules181113957
Li X, Hou J, Wang C, Liu X, He H, Xu P, Yang Z, Chen Z, Wu Y, Zhang L. Synthesis and Biological Evaluation of RGD-Conjugated MEK1/2 Kinase Inhibitors for Integrin-Targeted Cancer Therapy. Molecules. 2013; 18(11):13957-13978. https://doi.org/10.3390/molecules181113957
Chicago/Turabian StyleLi, Xiaoxiao, Jianjun Hou, Chao Wang, Xinjie Liu, Hongyan He, Ping Xu, Zhenjun Yang, Zili Chen, Yun Wu, and Lihe Zhang. 2013. "Synthesis and Biological Evaluation of RGD-Conjugated MEK1/2 Kinase Inhibitors for Integrin-Targeted Cancer Therapy" Molecules 18, no. 11: 13957-13978. https://doi.org/10.3390/molecules181113957
APA StyleLi, X., Hou, J., Wang, C., Liu, X., He, H., Xu, P., Yang, Z., Chen, Z., Wu, Y., & Zhang, L. (2013). Synthesis and Biological Evaluation of RGD-Conjugated MEK1/2 Kinase Inhibitors for Integrin-Targeted Cancer Therapy. Molecules, 18(11), 13957-13978. https://doi.org/10.3390/molecules181113957
