Anti-Plasmodial Activity of Some Zulu Medicinal Plants and of Some Triterpenes Isolated from Them
Abstract
:1. Introduction
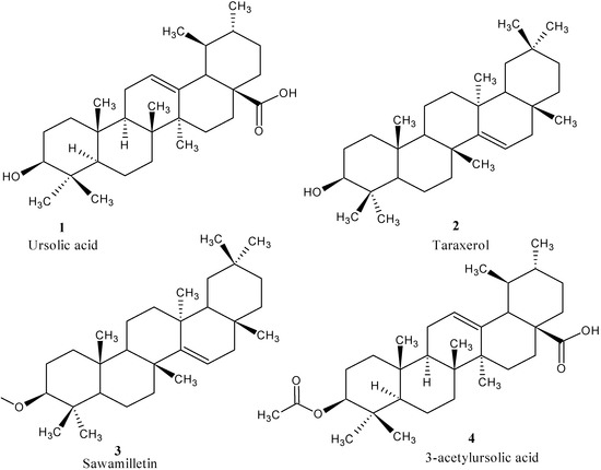
2. Results and Discussion
| Sample | a IC50 (µg/mL) | b Average % parasitemia | b Average % suppression | a Cytotoxicity (μg/mL) | |
|---|---|---|---|---|---|
| HEK293 | HepG2 | ||||
| M. caffra(leaves) | 2.14 | NT | NT | ||
| M. obtusifolia (bark) | 32.5 | NT | NT | ||
| H. colchicifolia (bulb) | NA | NT | NT | ||
| Ursolic acid | 6.8 | NT | NT | ||
| Ursolic acid acetate | 1.9 | 0.07 | 94.01 | 366.00 | 566.09 |
| 3-oxo-ursolic acid | 7.3 | NT | NT | ||
| Taraxerol | >100 | NT | NT | ||
| Sawamilletin | >100 | NT | NT | ||
| Artesunate | 5.1 * | NT | NT | ||
| Chloroquine | 14.1 * | 0.07 | 83.43 | ||
3. Experimental
3.1. Plant Collection
3.2. Extraction and Isolation
3.3. Structural Elucidation

| Carbon Position | UA(1) | δ 1H (ppm) | DEPT | UAA(4) | DEPT | ||
|---|---|---|---|---|---|---|---|
| δ 13C (ppm) | δ 13C (ppm) | ||||||
| 1 | 38.7 | CH2 | 38.3 | CH2 | |||
| 2 | 23.5 | CH2 | 24.1 | CH2 | |||
| 3 | 79 | 3.43 (1H, brs) | CH | 80.9 | CH | ||
| 4 | 39.6 | C | 37.7 | C | |||
| 5 | 52.7 | CH | 55.3 | CH | |||
| 6 | 18.3 | CH2 | 18.2 | CH2 | |||
| 7 | 33 | CH2 | 32.9 | CH2 | |||
| 8 | 39.1 | C | 39.5 | C | |||
| 9 | 47.6 | CH | 47.9 | CH | |||
| 10 | 36.7 | C | 36.7 | C | |||
| 11 | 23.7 | CH | 23.3 | CH | |||
| 12 | 125.8 | 5.50 (1H, brs) | CH | 125.8 | CH | ||
| 13 | 138 | C | 138 | C | |||
| 14 | 42 | C | 41.9 | C | |||
| 15 | 29.4 | CH2 | 30.6 | CH2 | |||
| 16 | 23.3 | CH2 | 23.6 | CH2 | |||
| 17 | 47.9 | C | 47.5 | C | |||
| 18 | 55.3 | 2.52 (1H, d, J = 11.0 Hz) | CH | 52.6 | CH | ||
| 19 | 30.6 | CH | 39 | CH | |||
| 20 | 30.4 | CH | 38.8 | CH | |||
| 21 | 27.3 | CH2 | 30.6 | CH2 | |||
| 22 | 37 | CH2 | 36.9 | CH2 | |||
| 23 | 23.4 | 1.24 (3H, s) | CH3 | 23.6 | CH3 | ||
| 24 | 17 | 1.02 (3H, s) | CH3 | 17.1 | CH3 | ||
| 25 | 17 | 0.93 (3H, s) | CH3 | 16.7 | CH3 | ||
| 26 | 15.5 | 1.05 (3H, s) | CH3 | 17.1 | CH3 | ||
| 27 | 24.2 | 1.22 (3H, s) | CH3 | 21.3 | CH3 | ||
| 28 | 176 | C | 182.6 | C | |||
| 29 | 21.1 | 0.97 (3H, s) | CH3 | 15.5 | CH3 | ||
| 30 | 23.4 | 0.99 (3H, d, J = 6.1 Hz) | CH3 | 21.2 | CH3 | ||
| -COCH3 | 28.1 | ||||||
| -COCH3 | 171 | ||||||
| Carbon Position | Taraxerol (2) δ 13C (ppm) | DEPT | δ 1H (ppm) | ||||
| 1 | 38 | CH2 | |||||
| 2 | 27.2 | CH2 | |||||
| 3 | 79.1 | CH | |||||
| 4 | 39 | C | |||||
| 5 | 55.6 | CH | |||||
| 6 | 18.8 | CH2 | |||||
| 7 | 35.1 | CH2 | 2.0 (1H, dt, J = 3.1, 12.6 Hz, H-7a) | ||||
| 8 | 38.8 | C | |||||
| 9 | 48.8 | CH | |||||
| 10 | 37.6 | C | |||||
| 11 | 17.5 | CH2 | |||||
| 12 | 35.8 | CH2 | |||||
| 13 | 37.6 | C | |||||
| 14 | 158.1 | C | |||||
| 15 | 116.9 | CH | 5.5 (1H, dd, J = 3.2, 8.2 Hz) | ||||
| 16 | 36.7 | CH2 | 1.9 (1H, dd, J = 3.0, 14.6 Hz, H-16a) | ||||
| 17 | 37.7 | C | |||||
| 18 | 49.3 | CH | |||||
| 19 | 41.3 | CH2 | |||||
| 20 | 28.8 | C | |||||
| 21 | 33.7 | CH2 | |||||
| 22 | 33.1 | CH2 | |||||
| 23 | 28 | CH3 | 0.98 (3H, s, H-23) | ||||
| 24 | 15.4 | CH3 | 0.80 (3H, s, H-24) | ||||
| 25 | 15.5 | CH3 | 0.93 (3H, s, H-25) | ||||
| 26 | 29.8 | CH3 | 1.09 (3H, s, H-26) | ||||
| 27 | 25.9 | CH3 | 0.91 (3H, s, H-27) | ||||
| 28 | 29.9 | CH3 | 0.82 (3H, s, H-28) | ||||
| 29 | 33.4 | CH3 | 0.95 (3H, s, H-29) | ||||
| 30 | 21.3 | CH3 | 0.90 (3H, s, H-30) | ||||
3.4. Acetylation of Ursolic Acid
3.5. Preparation of 3-Oxoursolic Acid (5)

3.6. Drug Sensitivity Assay
3.6.1. In Vitro Antiplasmodial Activity
3.6.2. In Vivo Antiplasmodial Activity
3.6.2.1. Parasite Inoculation
3.6.2.2. Evaluation of Antimalarial Activity
3.7. MTT Cell Proliferation Assay
3.8. Statistical Analyses
4. Conclusion
Acknowledgments
Conflicts of Interest
References
- World Health Organization. World malaria situation in 1994. WHO Wkly. Epidemiol. Rec. 2012, 22, 161–167.
- World Health Organization. World Health Organization Malaria Fact Sheet No. 94. 2010. Available online: http://www.who.int/mediacentre/factsheets/fs094/en/print.html/ (accessed on 13 July 2013).
- Mugabe, J. Biodiversity and sustainable development in Africa. In National Systems of Conservation and Innovation in Africa; Mugabe, J., Clark, N., Eds.; African Centre for Technology Studies (ACTS): Nairobi, Kenya, 1998. [Google Scholar]
- Camacho, M.D.R.; Croft, S.L.; Phillipson, J.D. Natural products as sources of antiprotozoal drugs. Curr. Opin. AntiInfect. Investig. Drugs 2000, 2, 47–62. [Google Scholar]
- Ploypradith, P. Development of artemisinin and its structurally simplified trioxane derivatives as antimalarial drugs. Acta Trop. 2004, 89, 329–342. [Google Scholar] [CrossRef]
- Grover, J.K.; Yadav, S.; Vats, V. Medicinal plants of India with antidiabetic potential. J. Ethnopharmacol. 2002, 81, 81–100. [Google Scholar] [CrossRef]
- Nethengwe, M.F.; Opoku, A.R.; Dludla, P.V.; Madida, K.T.; Shonhai, A.; Smith, P.; Singh, M. Larvicidal, antipyretic and antiplasmodial activity of some Zulu medicinal plants. J. Med. Plants Res. 2012, 6, 1255–1262. [Google Scholar]
- Kaou, A.M.; Valérie, M.; Cécile, C.; Laurent, D.; Kujala, T.S.; Loponen, J.M.; Klika, K.D.; Pihlaja, K. Phenolics and betacyanins in red beetroot (Beta vulgaris) root: Distribution and effect of cold storage on the content of total phenolics and three individual Compounds. J. Agric. Food Chem. 2000, 48, 5388–5342. [Google Scholar]
- Salawu, O.A.; Tijani, A.Y.; Babayi, H.; Nwaeze, A.C.; Anagbogu, R.A.; Agbakwuru, V.A. Anti-malarial activity of ethanolic stem bark extract of Faidherbia Albida (Del) a. Chev (Mimosoidae) in mice. Arch. Appl. Sci. Res. 2012, 2, 261–268. [Google Scholar]
- Gathirwa, J.W.; Rukunga, G.M.; Njagi, S.A.; Omara, P.G.; Mwitaria, A.N.; Guantai, F.M.; Tolo, C.W.; Kimani, C.N.; Muthaura, P.G.; Kirira, T.N.; et al. The in vitro anti-plasmodial and in vivo anti-malarial efficacy of combinations of some medicinal plants used traditionally for treatment of malaria by the Meru community in Kenya. J. Ethnopharmacol. 2008, 115, 223–231. [Google Scholar] [CrossRef]
- Pooley, E. The Complete Field Guide to Trees of Natal, Zululand and Transkei; Natal Flora Publications Trust: Durban, South Africa, 1993. [Google Scholar]
- Kupicha, F.K. Sapotaceae. In Flora Zambesiaca; Launert, E., Ed.; Flora Zambesiaca Managing Committee: London, UK, 1983; Volume 7, pp. 210–247. [Google Scholar]
- Raimondo, D.; von Staden, L.; Foden, W.; Victor, J.E.; Helme, N.A.; Turner, R.C.; Kamundi, D.A.; Manyama, P.A. Red List of South African Plants. Strelitzia 25; South African National Biodiversity Institute: Pretoria, South Africa, 2009. [Google Scholar]
- Hutchings, A. Zulu Medicinal Plants: An Inventory; University of Natal: Pietermaritzburg, South Africa, 1996. [Google Scholar]
- Leistner, O.A. Seed Plants of Southern Africa: Families and Genera. Strelitzia 10; National Botanical Institute: Pretoria, South Africa, 2000. [Google Scholar]
- Klos, M.; van de Venter, M.; Milne, P.J.; Traore, H.N.; Meyer, D.; Oosthuizen, V. In vitro anti-HIV activity of five selected South African medicinal plant extracts. J. Ethnopharmacol. 2009, 124, 182–188. [Google Scholar] [CrossRef]
- Mahop, T.M.; Mayet, M. En route to biopiracy? Ethnobotanical research on anti-diabetic medicinal plants in the Eastern Cape Province, South Africa. Afr. J. Biotechnol. 2007, 6, 2945–2952. [Google Scholar]
- Christensen, S.B.; Kharazmi, A. Antimalarial natural products. Isolation, characterization and biological properties. In Bioactive Compounds from Natural Sources: Isolation, Characterization and Biological Properties; Tringali, C., Ed.; Taylor & Francis: London, UK, 2001; pp. 379–432. [Google Scholar]
- Suksamrarn, S.; Panseeta, P.; Kunchanawatta, S.; Distaporn, T.; Ruktasing, S.; Suksamrarn, A. Ceanothane- and lupane-type triterpenes with antiplasmodial and antimycobacterial activities from Ziziphus cambodiana. Chem. Pharm. Bull. 2006, 54, 535–537. [Google Scholar] [CrossRef]
- Attioua, B.; Yeo, D.; Lagnika, L.; Harisolo, R.; Antheaume, C.; Weniger, B.; Kaiser, M.; Lobstein, A.; Vonthron-Sénécheau, C. In vitro antileishmanial, antiplasmodial and cytotoxic activities of a new ventiloquinone and five known triterpenes from Parinari excelsa. Pharm. Biol. 2012, 50, 801–806. [Google Scholar] [CrossRef]
- Amusan, O.O.; Adesogan, E.K.; Makinde, J.M. Anti-malarial active principles of Spathodea campanulata stem bark. Phytother. Res. 1996, 10, 692–693. [Google Scholar] [CrossRef]
- Bai, K.; Yu, Z.; Chen, F.; Li, F.; Li, W.; Guo, Y. Synthesis and evaluation of ursolic acid derivatives as potent cytotoxic agents. Bioorg. Med. Chem. Lett. 2012, 22, 2488–2493. [Google Scholar] [CrossRef]
- Leal, S.A.; Salvador, A.R.J.; Yongkui, J. Novel ursolic acid derivatives with potent antitumor activity. Cancer Res. 2012, 72, 1931–1940. [Google Scholar]
- Suffness, M.; Pezzuto, J.M. Assays related to cancer drug discovery. In Methods in Plant Biochemistry: Assays for Bioactivity; Hostettman, K., Ed.; Academic Press: London, UK, 1990; pp. 71–133. [Google Scholar]
- Trager, W.; Jensen, J.B. Human malaria parasite in continuous culture. Science 1976, 193, 673–675. [Google Scholar]
- Makler, M.T.; Ries, J.M.; Williams, J.A.; Bancroft, J.E.; Piper, R.C.; Gibbins, B.L.; Hinrichs, D.J. Parasite lactate dehydrogenase as an assay for Plasmodium failciparum drugs sensitivity. Am. J. Trop. Med. Hyg. 1993, 48, 739–741. [Google Scholar]
- Peters, W.; Portus, J.H.; Robinson, B.L. The chemotherapy of rodent malaria, XXV: Anti-malarial activity of WR 122, 455(9-phenanthrenemethanol) in vivo and in vitro. Ann. Trop. Med. Parasitol. 1975, 70, 262. [Google Scholar]
- Mosman, T. Rapid coloricmetric assay for cellular growth and survival: Application to proliferation and cytotoxicity assays. J. Immunol. Methods 1983, 65, 55–65. [Google Scholar] [CrossRef]
- Sample Availability: Samples of the compounds (1–5) are available from the authors.
© 2013 by the authors; licensee MDPI, Basel, Switzerland. This article is an open access article distributed under the terms and conditions of the Creative Commons Attribution license (http://creativecommons.org/licenses/by/3.0/).
Share and Cite
Simelane, M.B.C.; Shonhai, A.; Shode, F.O.; Smith, P.; Singh, M.; Opoku, A.R. Anti-Plasmodial Activity of Some Zulu Medicinal Plants and of Some Triterpenes Isolated from Them. Molecules 2013, 18, 12313-12323. https://doi.org/10.3390/molecules181012313
Simelane MBC, Shonhai A, Shode FO, Smith P, Singh M, Opoku AR. Anti-Plasmodial Activity of Some Zulu Medicinal Plants and of Some Triterpenes Isolated from Them. Molecules. 2013; 18(10):12313-12323. https://doi.org/10.3390/molecules181012313
Chicago/Turabian StyleSimelane, Mthokozisi B. C., Addmore Shonhai, Francis O. Shode, Peter Smith, Mogie Singh, and Andy R. Opoku. 2013. "Anti-Plasmodial Activity of Some Zulu Medicinal Plants and of Some Triterpenes Isolated from Them" Molecules 18, no. 10: 12313-12323. https://doi.org/10.3390/molecules181012313
APA StyleSimelane, M. B. C., Shonhai, A., Shode, F. O., Smith, P., Singh, M., & Opoku, A. R. (2013). Anti-Plasmodial Activity of Some Zulu Medicinal Plants and of Some Triterpenes Isolated from Them. Molecules, 18(10), 12313-12323. https://doi.org/10.3390/molecules181012313
