Chemical Constituents from the Roots of Ranunculus ternatus and their Inhibitory Effects on Mycobacterium tuberculosis
Abstract
:1. Introduction
2. Results and Discussion

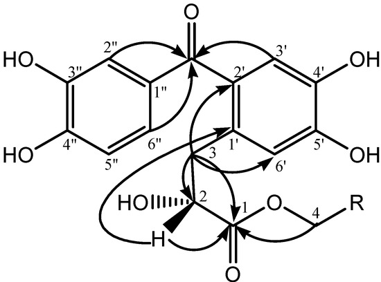
+30.2 (c 0.1, MeOH). Its molecular formula was established to be C17H16O8 by HRESI-MS (m/z 349.0919, calcd. 349.0918 [M+H]+). The IR bands at 3,264, 1,730, 1,590 and 1,519 cm−1 revealed the presence of hydroxyl, carbonyl and aromatic ring groups. The 1H-NMR spectrum (Table 1) of compound 1 show three aromatic protons signals at δH 7.28 (d, 1H, J = 2.0 Hz), 7.17 (dd, 1H, J = 8.0 and 2.0 Hz), 6.82 (d, 1H, J = 8.0 Hz) as an ABX-type system and two at δH 6.79 (s, 2H). In addition, one methylene at δH 3.04 (dd, 1H, J = 13.6 and 5.2 Hz), 2.91 (dd, 1H, J = 13.6 and 8.0 Hz) and one oxygenated methine at δH 4.30 (dd, 1H, J = 8.0 and 5.2 Hz), as well as one methoxyl group at δH 3.64 (s, 3H) were observed. The 13C-NMR spectrum (Table 1) combined with HSQC of compound 1 exhibited the signals for 17 carbons, including two phenyls, one carbonyl ketone and one carbonyl ester groups etc. In the HMBC spectrum (Figure 2), the correlation between H-3', H-2'', H-6'' and C=O (δC 197.7) displayed that compound 1 possessed a diphenylketone skeleton. Moreover, H-3 correlated with C-1, C-2, C-2' and C-6'; H-2 correlated with C-1 and C-1'; H-4 correlated with C-1. The absolute configuration of C-2 was determined as R by comparing its CD spectrum [219 (∆ε −7.38), 289 nm (∆ε −0.618)] with that of ethyl (S)-3-[2-(3,4-dihydroxybenzoyl)-4,5-dihydroxyphenyl]-2-hydroxypropanoate [219 (∆ε +15.5), 273 nm (∆ε +1.99)] isolated from R. ternatus [8,11,12]. Based on the above evidence, the structure of compound 1 was elucidated to be methyl (R)-3-[2-(3,4-dihydroxybenzoyl)-4,5-dihydroxyphenyl]-2-hydroxypropanoate. | No. | 1 | 2 | ||
|---|---|---|---|---|
| δH | δC | δH | δC | |
| 1 | 174.4 | 174.2 | ||
| 2 | 4.30 (dd, 1H, 8.0, 5.2) | 71.9 | 4.25 (dd, 1H, 8.0, 5.6) | 71.9 |
| 3 | 3.04 (dd, 1H, 13.6, 5.2) | 36.8 | 3.00 (dd, 1H, 13.6, 5.6) | 37.0 |
| 2.91 (dd, 1H, 13.6, 8.0) | 2.93 (dd, 1H, 13.6, 8.0) | |||
| 4 | 3.64 (s, 3H) | 50.9 | 4.02 (t, 2H, 6.8) | 64.3 |
| 5 | 1.52 (m, 2H) | 30.3 | ||
| 6 | 1.29 (m, 2H) | 18.6 | ||
| 7 | 0.90 (t, 3H, 7.2) | 12.6 | ||
| CO | 197.7 | 197.7 | ||
| 1' | 128.9 | 128.7 | ||
| 2' | 130.3 | 130.4 | ||
| 3' | 6.79 (s, 1H) | 117.1 | 6.80 (s, 1H) | 117.0 |
| 4' | 142.6 | 142.7 | ||
| 5' | 147.5 | 147.4 | ||
| 6' | 6.79 (s, 1H) | 117.9 | 6.80 (s, 1H) | 118.0 |
| 1'' | 130.1 | 130.1 | ||
| 2'' | 7.28 (d, 1H, 2.0) | 116.8 | 7.29 (d, 1H, 2.0) | 116.8 |
| 3'' | 144.8 | 144.9 | ||
| 4'' | 150.9 | 150.9 | ||
| 5'' | 6.82 (d, 1H, 8.0) | 114.2 | 6.81 (d, 1H, 8.0) | 114.2 |
| 6'' | 7.17 (dd, 1H, 8.0, 2.0) | 124.4 | 7.17 (dd, 1H, 8.0, 2.0) | 124.4 |

+19.0 (c 0.06, MeOH). Its HRESI-MS showed [M+H]+ at m/z 391.1385 (calcd. 391.1387), corresponding to the molecular formula C20H22O8. Its IR spectrum indicated the presence of hydroxyl (3,291 cm−1), carbonyl (1,728 cm−1) and aromatic rings (1,592 and 1,519 cm−1). In comparison with compound 1, the spectra (1H-, 13C-NMR, 1H-1H COSY, HSQC and HMBC) are quite similar, except for the methoxyl group of compound 1, which was replaced by an n-butoxy group (δc 64.3, 30.3, 18.6, 12.6) of compound 2. By analysis of the HMBC spectrum, the correlation of H-4 correlated with C-1 indicated that the n-butoxy moiety was linked at the C-1 position. Moreover, the CD spectrum showed a negative Cotton effect at 219 (∆ε −7.09) and 276 nm (∆ε −0.502) [8,9], indicating the R-configuration of C-2. Thus, compound 2 was elucidated to be n-butyl (R)-3-[2-(3,4-dihydroxybenzoyl)-4,5-dihydroxyphenyl]-2-hydroxypropanoate.| Sample | Control | |||||
|---|---|---|---|---|---|---|
| 1 | 2 | 3 | 4 | Mixture of 1 + 3 (1:1) | Mixture of 1 + 4 (1:1) | |
| 41.67 ± 14.43 * | 266.67 ± 115.47 | 83.33 ± 28.87 * | 66.67 ± 28.87 | 83.33 ± 28.87 * | 20.83 ± 7.22 * | 2.08 ± 0.90 |
3. Experimental
3.1. General Procedures
3.2. Plant Material
3.3. Extraction and Isolation
3.3.1. Methyl (R)-3-[2-(3,4-dihydroxybenzoyl)-4,5-dihydroxyphenyl]-2-hydroxypropanoate (1)
+30.2 (c 0.10, MeOH); IR bands (KBr): 3,264, 2,957, 1,731, 1,591, 1,519, 1,441, 1,366, 1,296, 1,222, 1,160, 1,115, 1,024, 889, 833, 783, 771, 631 cm−1; positive ion HRESIMS m/z: [M+H]+ 349.0919 for C17H16O8 + H (calcd. 349.0918); 1H-NMR (CD3OD, 400 MHz) and 13C-NMR (CD3OD, 100 MHz) are shown in Table 1.3.3.2. n-Butyl (R)-3-[2-(3,4-dihydroxybenzoyl)-4,5-dihydroxyphenyl]-2-hydroxypropanoate "(2)
+19.0 (c 0.06, MeOH); IR bands (KBr): 3,291, 2,961, 1,728, 1,592, 1,518, 1,441, 1,372, 1,295, 1,216, 1,160, 1,113, 1,083, 892, 834, 783, 630 cm−1; positive ion HRESIMS m/z: [M+H]+ 391.1385 for C17H16O8 + H (calcd. 391.1387); 1H-NMR (CD3OD, 400 MHz) and 13C-NMR (CD3OD, 100 MHz) are shown in Table 1.3.4. Anti-Tuberculosis Activity
4. Conclusions
Supplementary Materials
Acknowledgments
Conflicts of Interest
References
- Guo, X.M.; Zhou, Z.L.; Hong, Y.F. Studies on the chemical constituents of Ranunculus ternatus Thunb. Acta Pharm. Sin. 1995, 30, 931–934. [Google Scholar]
- Xiong, Y.; Deng, K.Z.; Gao, W.Y.; Guo, Y.Q. Studies on the chemical constituents of Ranunculus ternatus. Chin. J. Chin. Mater. Med. 2008, 33, 909–911. [Google Scholar]
- Zhang, X.G.; Tian, J.K. Studies on chemical constituents of Ranunculus ternatus (III). Chin. Pharm. J. 2006, 41, 1460–1461. [Google Scholar]
- Xiong, Y.; Deng, K.Z.; Guo, Y.Q.; Gao, W.Y. Studies on the chemical constituents of flavonoids and glycosides in Ranunculus ternatus. Chin. Tradit. Herb. Drugs 2008, 39, 1449–1452. [Google Scholar]
- Zhao, Y.; Ruan, J.L.; Wang, J.H.; Kong, Y.; Song, S.; Cai, Y.L.; Fang, W.; Zhou, D.L. Chemical constituents of radix Ranunculus ternati. Nat. Prod. Res. 2008, 22, 233–240. [Google Scholar] [CrossRef]
- Tian, J.K.; Sun, F.; Cheng, Y.Y. Two new glycosides from the roots of Ranunculus ternatus. Chin. Chem. Lett. 2005, 16, 928–930. [Google Scholar]
- Zhang, L.; Yang, Z.; Tian, J.K. Two new indolopyridoquinazoline alkaloidal glycosides from Ranunculus ternatus. Chem. Pharm. Bull. 2007, 55, 1267–1269. [Google Scholar] [CrossRef]
- Xiong, Y.; Deng, K.Z.; Gao, W.Y.; Guo, Y.Q. A novel alkenoic acid ester and a new benzophenone from Ranunculus ternatus. Chin. Chem. Lett. 2007, 18, 1364–1366. [Google Scholar] [CrossRef]
- Chi, Y.M.; Yang, Y.Q.; Yu, S. Effect and composition of organic acid of radix Ranunculus ternati. J. Nanjing TCM Univ. 2007, 23, 365–367. [Google Scholar]
- Ji, X.Y.; Li, S.Y.; Meng, S.; Xiao, C.L.; You, X.F.; Li, Z.R. Synthesis and antimycobacterial activity of ternatolide. J. Chin. Pharm. Sci. 2012, 21, 265–268. [Google Scholar]
- Verbit, L.; Heffron, P.J. Optically active aromatic chromophores-IV circular dichroism studies of some open-chain system. Tetrahedron 1968, 24, 1231–1236. [Google Scholar] [CrossRef]
- Yahara, S.; Satoshiro, M.; Nishioka, I.; Nagasawa, T.; Oura, H. Isolation and characterization of phenolic compounds from Coptidis Rhizoma. Chem. Pharm. Bull. 1985, 33, 527–531. [Google Scholar] [CrossRef]
- Wang, X.M.; Zhang, Q.; Rena, K.; Wang, X.L.; Wang, X.Q. Chemical constituents in whole plant of Cynomorium songaricum. Chin. Tradit. Herb. Drugs 2011, 42, 458–460. [Google Scholar]
- Camacho, C.M.R.; Ramírez, C.M.A.; González, S.O.; Garza, G.E.; Palacios, I.P.; Luna, H.J. Activity against drug resistant-tuberculosis strains of plants used in Mexican traditional medicine to treat tuberculosis and other respiratory diseases. Phytother. Res. 2008, 22, 82–85. [Google Scholar] [CrossRef]
- Fu, H.Z.; Yang, J.Z.; Li, C.J.; Zhang, M.D. A new benzophenone glycoside from the leaves of Psidium guajava L. Chin. Chem. Lett. 2011, 22, 178–180. [Google Scholar] [CrossRef]
- Feng, J.; Yang, X.W.; Wang, R.F. Bio-assay guided isolation and identification of α-glucosidase inhibitors from the leaves of Aquilaria sinensis. Phytochemistry 2011, 72, 242–247. [Google Scholar] [CrossRef]
- Orawan, M.; Wanchai, D.E.; Kaoru, U.; Yohko, Y.; Toshio, M.; Tsutomu, W.; Hiroshi, N. Phenolic constituents of the rhizomes of the thai medicinal plant Belamcanda chinensis with proliferative activity for two breast cancer cell lines. J. Nat. Prod. 2005, 68, 361–364. [Google Scholar] [CrossRef]
- Lee, S.S.; Tseng, C.C.; Chen, C.K. Three new benzophenone glucosides from the leaves of Planchonella obovata. Helv. Chim. Acta 2010, 93, 522–529. [Google Scholar]
- Nguyen, H.D.; Trinh, B.T.D.; Tran, Q.N.; Nguyen, H.D.; Pham, H.D.; Hansen, P.E.; Duus, F.; Connolly, J.D.; Nguyen, L.H.D. Friedolanostane, friedocycloartane and benzophenone constituents of the bark and leaves of Garcinia benthami. Phytochemistry 2011, 72, 290–295. [Google Scholar] [CrossRef]
- Sample Availability: Not available.
© 2013 by the authors; licensee MDPI, Basel, Switzerland. This article is an open access article distributed under the terms and conditions of the Creative Commons Attribution license (http://creativecommons.org/licenses/by/3.0/).
Share and Cite
Deng, K.-Z.; Xiong, Y.; Zhou, B.; Guan, Y.-M.; Luo, Y.-M. Chemical Constituents from the Roots of Ranunculus ternatus and their Inhibitory Effects on Mycobacterium tuberculosis. Molecules 2013, 18, 11859-11865. https://doi.org/10.3390/molecules181011859
Deng K-Z, Xiong Y, Zhou B, Guan Y-M, Luo Y-M. Chemical Constituents from the Roots of Ranunculus ternatus and their Inhibitory Effects on Mycobacterium tuberculosis. Molecules. 2013; 18(10):11859-11865. https://doi.org/10.3390/molecules181011859
Chicago/Turabian StyleDeng, Ke-Zhong, Ying Xiong, Bin Zhou, Yong-Mei Guan, and Yong-Ming Luo. 2013. "Chemical Constituents from the Roots of Ranunculus ternatus and their Inhibitory Effects on Mycobacterium tuberculosis" Molecules 18, no. 10: 11859-11865. https://doi.org/10.3390/molecules181011859
APA StyleDeng, K.-Z., Xiong, Y., Zhou, B., Guan, Y.-M., & Luo, Y.-M. (2013). Chemical Constituents from the Roots of Ranunculus ternatus and their Inhibitory Effects on Mycobacterium tuberculosis. Molecules, 18(10), 11859-11865. https://doi.org/10.3390/molecules181011859
