Abstract
A series of novel azo-disperse dyes containing alkylhydrazonopyridinone structures were synthesized. 4-Methyl-2,6-dioxo-1-propyl-1,2,5,6-tetrahydropyridine-3-carbonitrile (8) is synthesized by one-pot synthesis using ethyl cyanoacetate, propylamine, and ethyl acetoacetate. Compound 8 is then coupled with aromatic and heteroaromatic diazonium salts to afford the corresponding aryl- and heteroaryl-4-methyl-2,6-dioxo-1-propyl-1,2,5,6-tetrahydropyridine-3-carbonitriles 12a,b and 13a–c. Structural assignments to the dyes were made using NMR spectroscopic methods. A high temperature dyeing method was employed to apply these dyes to polyester fabrics. Most of the dyed fabrics tested displayed very good light fastness levels and good wash fastness. Finally, the biological activity of the prepared dyes against Gram positive bacteria and Gram negative bacteria were evaluated.
1. Introduction
Arylhydrazonopyridinones are now replacing arylazopyrazolones in the classical dye industry. Moreover, reasonable solubility of these derivatives in lipophilic solvents gives these dyes high potential for utilization in dye diffusion thermal transfer printing [1]. Pyridinone derivatives are relatively recent heterocyclic intermediates for the preparation of dyes. The azopyridinone dyes give bright hues and are therefore of investigative interest [2]. Owing to their improved brightness and light fastness, pyridinone disperse dye derivatives have found many applications on different fibres [3,4,5,6,7,8].
Moreover, the pyridinone nucleus has been proven to constitute the active part of several biologically active compounds [9,10]. Keeping in mind the biological importance of the above mentioned heterocyclic compounds and in continuation to our endeavor towards environmentally benign synthesis [11,12,13,14,15,16,17], we report herein the synthesis of 4-methyl-2,6-dioxo-1-propyl-1,2,5,6-tetrahydro-pyridine-3-carbonitrile (8) as a good precursor to novel aryl- and heteroaryl-4-methyl-2,6-dioxo-1-propyl-1,2,5,6-tetrahydropyridine-3-carbonitriles and their application as disperse dyes for the dyeing of polyester fabrics. The antibacterial activities of these dyes were also studied.
2. Results and Discussion
2.1. Synthesis and Characteristics
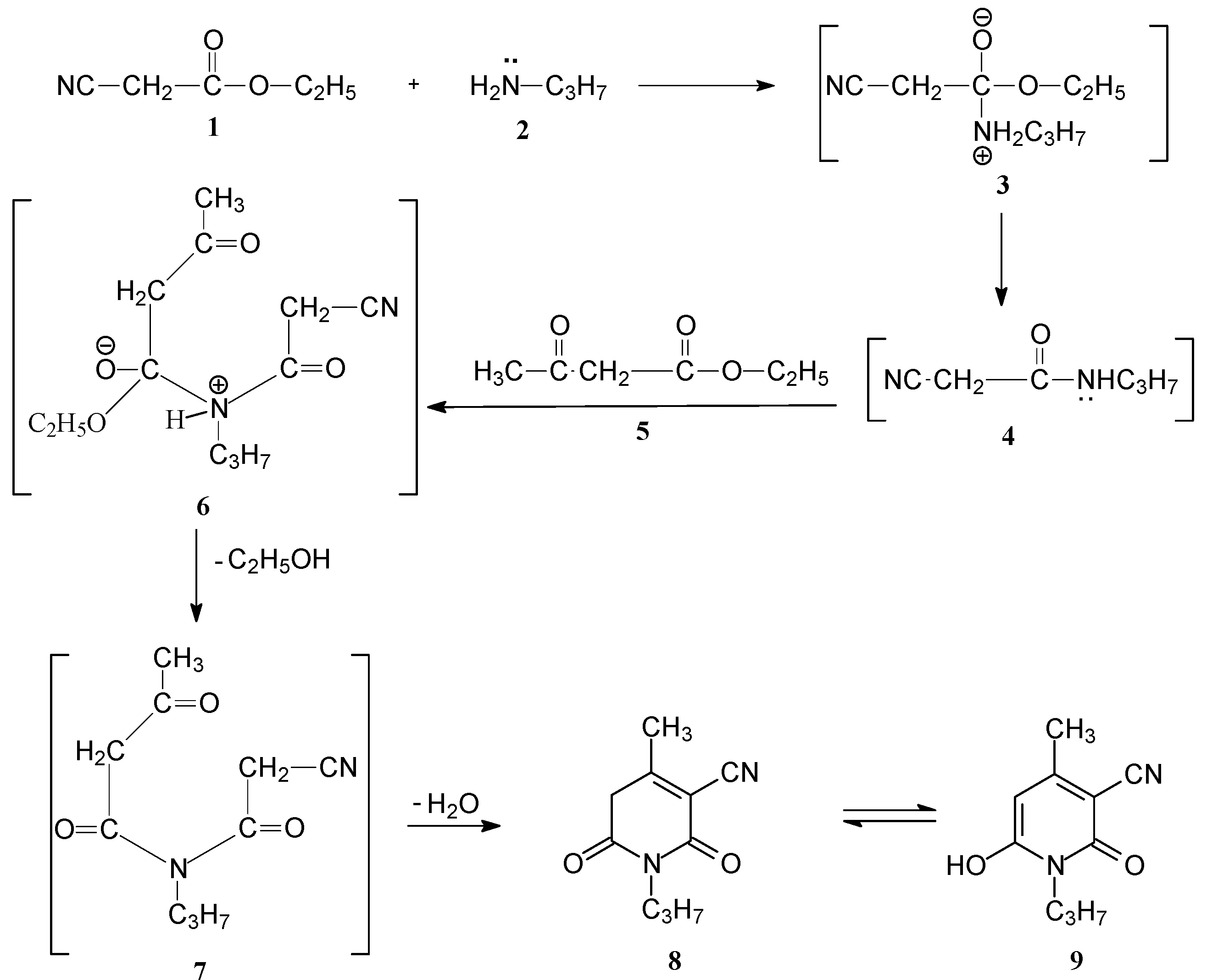
Our initial strategy aimed to synthesize the alkylhydrazonopyridinone 8 and convert it to the corresponding aryl- or heteroaryl-4-methyl-2,6-dioxo-1-propyl-1,2,5,6-tetrahydropyridine-3-carbo-nitriles 12a,b and 13a–c, which were anticipated to be excellent new disperse dyes for the dyeing of polyester fabrics employing a high temperature dyeing method. We introduce a one-pot three component condensation for the synthesis of alkylhydrazonopyridinone 8 under reflux and solvent-free conditions. Thus, the reaction of ethyl acetoacetate, ethyl cyanoacetate, and propyl amineunder reflux without solvent for 6 hours afforded compound 8 in good yield. The product was identified by IR and 1H-NMR spectroscopic data. Compound 8 may be exist in another tautmeric form 9 and in solution there is a very fast equilibrium between them [18,19]. The structure of compound 9 in solution was confirmed based on the basis of 1H-NMR spectral data (presence of a pyridonyl-H signal at δ 7.67 and hydroxyl group signal at δ 14.63, respectively).
It seems that the in-situ reaction of alkylcyanoester 1 and primary amine 2 leads to amide derivative 4 and reaction with β-ketoester 5 then gives 4-methyl-2,6-dioxo-1-propyl-1,2,5,6-tetrahydropyridine-3-carbonitrile (8) in high yield. The formation of compound 8 is assumed to proceed via intermediacy of 3, 4, 6 and 7. The one-pot nature of the present procedure makes it an acceptable alternative to multistep approaches. It also simplifies the laborious procedures and offers considerable advantages over the existing methodologies, such as elimination of solvent, high yield, and environmentally friendly character (cf. Scheme 1).
Scheme 1.
Preparation of 4-methyl-2,6-dioxo-1-propyl-1,2,5,6-tetrahydropyridine-3-carbonitrile (8).
Scheme 1.
Preparation of 4-methyl-2,6-dioxo-1-propyl-1,2,5,6-tetrahydropyridine-3-carbonitrile (8).

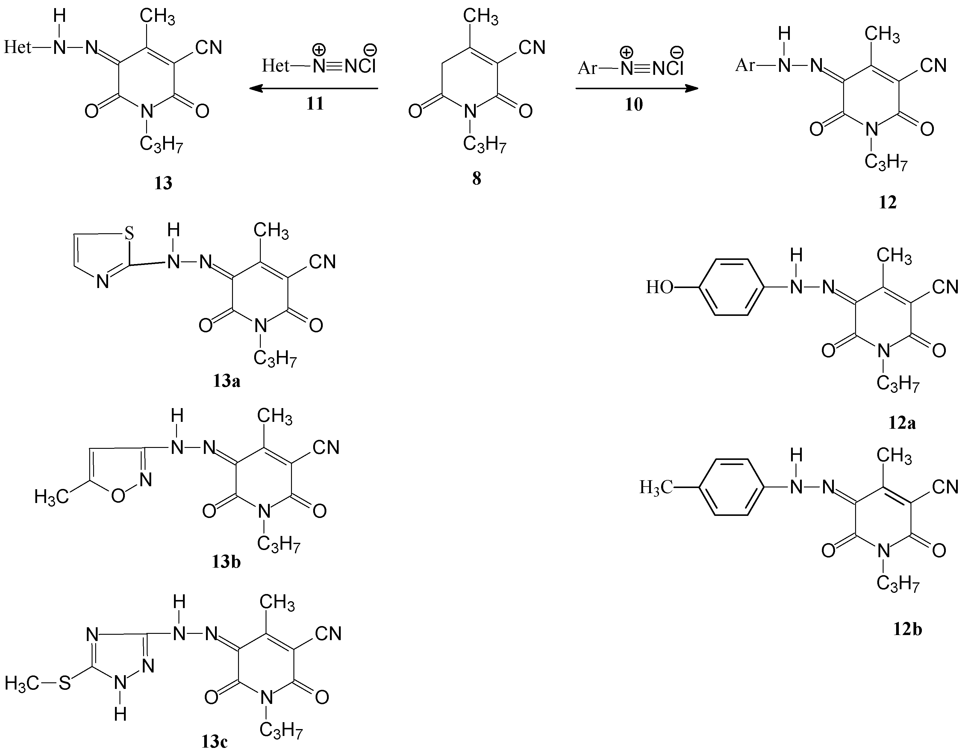
Coupling of compound 8 with aromatic and heteroaromatic diazonium salts (Ar and Het, respectively) afforded the corresponding aryl- and heteroaryl-4-methyl-2,6-dioxo-1-propyl-1,2,5,6-tetrahydropyridine-3-carbonitriles 12a,b and 13a–c. Structural assignments to these dyes were made using NMR spectroscopic methods (cf. Scheme 2).
Scheme 2.
Synthesis of some novel biologically active disperse dyes 12a,b and 13a–c.
Scheme 2.
Synthesis of some novel biologically active disperse dyes 12a,b and 13a–c.

2.2. Dyeing and Fastness Properties
Disperse dyes 12a,b and 13a,b were applied to polyester fabrics at 1% o.w.f., using high temperature dyeing method (HT) at 130 °C. Dark orange, yellow, orange and light green color shades were obtained. The dyeing properties on the polyester fabrics were evaluated in terms of their fastness properties (e.g., fastnesses to washing and light). The color of dyeing on polyester fabrics is expressed in terms of CIELAB values (Table 1), and the following CIELAB coordinates were measured: lightness (L*); chroma (C*); hue angle (H) from 0 to 360°; a*, whose value represents the degree of redness (positive) and greenness (negative); and b*, whose value represents the degree of yellowness (positive) and blueness (negative).
Table 1.
Optical measurements of the synthesized dyes on the polyester fabrics.
| Dye No. | DL* | Da* | Db* | DC* | Dh* | CMC dE |
|---|---|---|---|---|---|---|
| 12a | −25.66 | 40.68 | 84.09 | 92.89 | −9.82 | 126.14 |
| 12b | −14.95 | 7.24 | 97.52 | 97.63 | −5.52 | 131.81 |
| 13a | −22.16 | 18.14 | 83.08 | 84.77 | −6.75 | 114.79 |
| 13b | −13.22 | −8.06 | 42.03 | 36.13 | −0.37 | 48.89 |
In general, the color hues of the dye 13b on the polyester fabric shifted in the greenish direction; this was indicated by the negative values of a* (red–green axis). The positive values of b* (yellow–blue axis) indicated that the color hues of the dyes 12a, 12band 13a on the polyester fabric shifted to the yellowish direction.
The physical data for the dyed fibers, given in Table 2, shows that the disperse dyeing displayed good wash fastness properties to five multiple washes in terms of shade change and also very little staining to the adjacent fiber strip occurred. Table 2, shows that the light fastness is very good with respect to most of the tested compounds, except compound 13a (1% o.w.f) which showed good results.
Table 2.
Shade and Fastness properties of azo disperse dyes on polyester fabrics.
| Dye No. | Color shade on polyester | Wash fastness * | Light fastness | ||
|---|---|---|---|---|---|
| Washes | Change in colour | SC | |||
| 12a | Dark orange | 1 | 4–5 | 5 | 7–8 |
| 2 | 3–4 | 4 | |||
| 3 | 3–4 | 4 | |||
| 4 | 3–4 | 4 | |||
| 5 | 3–4 | 4 | |||
| 12b | Yellow | 1 | 4–5 | 5 | 7 |
| 2 | 4–5 | 4–5 | |||
| 3 | 4 | 4-5 | |||
| 4 | 4 | 4–5 | |||
| 5 | 4 | 4–5 | |||
| 13a | Orange | 1 | 4–5 | 5 | 5–6 |
| 2 | 4–5 | 4–5 | |||
| 3 | 4 | 4–5 | |||
| 4 | 4 | 4–5 | |||
| 5 | 4 | 4-5 | |||
| 13b | Light green | 1 | 4–5 | 5 | 6–7 |
| 2 | 4 | 4 | |||
| 3 | 4 | 4 | |||
| 4 | 4 | 4 | |||
| 5 | 4 | 4 | |||
* SC = staining on cotton.
2.3. Antimicrobial Activities
The antimicrobial activities of the synthesized dyes were screened against selected bacteria by the agar well diffusion method and their inhibition zones diameters, given in Table 3, reveal that three of the tested dyes showed positive antimicrobial activities against at least one of the tested microorganisms. Two dyes, 12a and 13a showed strong activities, while two dyes 13b and 13c showed moderate activities with significant inhibition zones >10 mm, against Staphylococcus auerus and Bacillus subtilus (Gram positive bacteria). It is worth mention here that dye 12b has showed no antimicrobial activities against any of the tested microorganisms, and all the dyes have no antimicrobial activities against Escherichia coli, Klebsiellae pneumoniae and Pseudomonas aeruginosa (Gram negative bacteria).
Table 3.
Diameter of the zones of inhibition of the tested compounds that showed weak to strong antimicrobial against microorganisms.
| Dye No. | Conc. % of Dye | Inhibition zone diameter (Nearest mm) | ||||
|---|---|---|---|---|---|---|
| Gram positive bacteria | Gram negative bacteria | |||||
| S. aureus | B. subtilus | E. coli | K. pneumoniae | P. aeruginosa | ||
| 12a | 0.25 mg/mL | - | - | - | - | - |
| 12b | - | - | - | - | - | |
| 13a | - | - | - | - | - | |
| 13b | - | - | - | - | - | |
| 13c | - | - | - | - | - | |
| 12a | 0.50 mg/mL | - | - | - | - | - |
| 12b | - | - | - | - | - | |
| 13a | 16 | 16 | - | - | - | |
| 13b | - | - | - | - | - | |
| 13c | - | - | - | - | - | |
| 12a | 1.00 mg/mL | 18 | 13 | - | - | - |
| 12b | - | - | - | - | - | |
| 13a | 20 | 19 | - | - | - | |
| 13b | - | 14 | - | - | - | |
| 13c | 10 | 10 | - | - | - | |
| 12a | 2.00 mg/mL | 21 | 18 | - | - | - |
| 12b | - | - | - | - | - | |
| 13a | 24 | 20 | - | - | - | |
| 13b | - | 15 | - | - | - | |
| 13c | 12 | 12 | - | - | - | |
| 12a | 3.00 mg/mL | 25 | 22 | - | - | - |
| 12b | - | - | - | - | - | |
| 13a | 30 | 22 | - | - | - | |
| 13b | - | 17 | - | - | - | |
| 13c | 16 | 16 | - | - | - | |
(-): No inhibition.
The results obtained for the synthesized compounds in this study support the findings of the other researchers [9] who showed that alkylhydrazonopyridinones cores have various biological activities. alkylhydrazonopyridinones were proved to possess biological effects, including antimicrobial activities [10]. Therefore, the new synthesized classes showed promising results for possessing the potentials to be utilized for medicinal purposes.
3. Experimental
3.1. General
Melting points were recorded on a Gallenkamp apparatus. IR spectra were recorded using KBr pellets on a Jasco FTIR-6300 FT-IR spectrophotometer. 1H and 13C-NMR spectra were recorded on Bruker DPX 400 MHz. The colorimetric parameters of the dyed polyester fibers were determined on a reflectance spectrophotometer (Datacolor SF 600X Spectraflash, Switzerland). Mass spectra were measured on a high resolution GC/MS DFS-Thermo. Microanalyses were performed on Elementar-Vario Micro cube Analyzer.
3.2. Synthesis of 4-Methyl-2,6-dioxo-1-propyl-1,2,5,6-tetrahydropyridine-3-carbonitrile (8)
A mixture of ethyl acetoacetate (26.00 g, 0.2 mol), ethyl cyanoacetate (22.62 g, 0.2 mol), propylamine (11.82 g, 0.2 mol) was refluxed until the reaction was completed (about 6 h). During the reaction, the white product precipitated. The crude product was filtered, dried and recrystallized from ethanol to give white crystals (82%), m.p. 218–220 °C, IR (KBr): 2217 (CN) and 1735 (CO) cm−1; 1H-NMR (400 MHz, DMSO-d6): δ = 0.85 (t, J = 7 Hz, 3H, CH3CH2), 1.49 (m, 2H, CH2), 2.39 (s, 3H, CH3), 3.69 (s, 2H, CH2N), 7.67 (s, 1H, CH), 14.63 (br, 1H, OH, D2O exchangeable); MS (EI): m/z(%) = 193 ([M+1]+, 56). 151 (12), 120 (5), 94 (7).
3.3. General Procedure for the Synthesis of Azo Disperse Dyes
A cold solution of arenediazonium salt (10 mmol) was prepared by adding a solution of sodium nitrite (1.00 g in 10 mL H2O) to a cold solution of aryl amine hydrochloride or aryl amine nitrate (10 mmol) with stirring as described earlier. The resulting solution of the arenediazonium was then added to a cold solution of compound 8 (10 mmol) in ethanol (20 mL) containing sodium acetate (2.00 g). The mixture was stirred at room temperature for 1 h and the solid product so formed was collected by filtration and recrystallized from ethanol to give compounds 12a,b and 13a–c, respectively.
5-[(4-Hydroxyphenyl)-hydrazono]-4-methyl-2,6-dioxo-1-propyl-1,2,5,6-tetrahydropyridine-3-carbo-nitrile (12a). Red crystals from toluene (88%), m.p. 252–255 °C, IR (KBr): 3407 (OH), 2222 (CN) and 1657 (CO) cm−1; 1H-NMR (400 MHz, DMSO-d6): δ = 0.85 (t, J = 7 Hz, 3H, CH3CH2), 1.51 (m, 2H, CH2), 2.45 (s, 3H, CH3), 3.78 (t, J = 7 Hz, 2H, CH2N), 6.86 (d, J = 7 Hz, 2H, arom-H), 7.55 (d, J = 7 Hz, 2H, arom-H), 10.02 (br, 1H, OH, D2O exchangeable) 14.84 (br, 1H, NH, D2O exchangeable); 13C-NMR (DMSO-d6): δ = 160.5, 160.0 (2CO), 158.7, 157.5, 133.0, 121.5, 119.2, 116.3, 115.4, 98.2, 29.3 (CH2), 20.4 (CH2). 16.1 (CH3), 11.2 (CH3). MS (EI): m/z (%) = 312 ([M]+, 100). 295 (8), 270 (52), 121 (24), 108 (43), 93 (24). HRMS: m/z (EI) for C16H16N4O3; calcd. 312.1216; found: 312.1216.
4-Methyl-2,6-dioxo-1-propyl-5-(p-tolylhydrazono)-1,2,5,6-tetrahydropyridine-3-carbonitrile (12b). Yellow crystals from ethanol (86%), m.p. 215–218 °C, IR (KBr): 3432 (NH), 2223 (CN) and 1679 (CO) cm−1; 1H-NMR (400 MHz, DMSO-d6): δ = 0.88 (t, J = 7 Hz, 3H, CH3CH2), 1.52 (m, 2H, CH2), 2.32 (s, 3H, CH3), 2.50 (s, 3H, CH3), 3.78 (t, J = 7 Hz, 2H, CH2N), 7.27 (d, J = 7 Hz, 2H, arom-H), 7.58 (d, J = 7 Hz, 2H, arom-H), 14.62 (s, 1H, NH, D2O exchangeable); MS (EI): m/z (%) = 310 ([M]+, 100). 293 (9), 268 (26), 177 (12), 106 (32), 91 (56). HRMS: m/z (EI) for C17H18N4O2; calcd. 310.1424; found: 310.1424.
4-Methyl-2,6-dioxo-1-propyl-5-(thiazol-2-yl-hydrazono)-1,2,5,6-tetrahydropyridine-3-carbonitrile (13a). Yellow crystals from toluene (65%), m.p. 210 °C, IR (KBr): 3405 (NH), 2224 (CN) and 1684 (CO) cm−1; 1H-NMR (400 MHz, DMSO-d6): δ = 0.87 (t, J = 7 Hz, 3H, CH3CH2), 1.50 (m, 2H, CH2), 2.47 (s, 3H, CH3), 3.79 (t, J = 7 Hz, 2H, CH2N), 7.48 (d, J = 7 Hz, 1H, arom-H), 7.67 (d, J = 7 Hz, 1H, arom-H), MS (EI): m/z(%) = 303 ([M]+, 100). 288 (7), 218 (12), 190 (90), 149 (17), 86 (27). HRMS: m/z(EI) for C13H13N5O2S; calcd. 303.0782; found: 303.0782.
4-Methyl-5-[(5-methylisoxazol-3-yl)-hydrazono]-2,6-dioxo-1-propyl-1,2,5,6-tetrahydropyridine-3-carbonitrile (13b). Yellowish-green crystals from ethanol (80%), m.p. 266–268 °C, IR (KBr): 3429 (NH), 2225 (CN) and 1688 (CO) cm−1; 1H-NMR (400 MHz, DMSO-d6): δ = 0.88 (t, J = 7 Hz, 3H, CH3CH2), 1.51 (m, 2H, CH2), 2.44 (s, 3H, CH3), 2.45 (s, 3H, CH3), 3.79 (t, J = 7 Hz, 2H, CH2N), 6.67 (s, 1H, arom-H), 14.24, 14.62 (s, 1H, NH, D2O exchangeable); MS (EI): m/z (%) = 301 ([M]+, 100). 286 (8), 216 (52), 190 (72), 149 (42), 68 (42). HRMS: m/z (EI) for C14H15N5O3; calcd. 301.1163; found: 301.1163.
4-Methyl-5-[(5-methylsulfanyl-1H-[1,2,4]triazol-3-yl)-hydrazono]-2,6-dioxo-1-propyl-1,2,5,6-tetra-hydropyridine-3-carbonitrile (13c). Yellow crystals from ethanol (82%), m.p. 271–272 °C, IR (KBr): 3431 (NH), 2232 (CN) and 1684 (CO) cm−1; 1H-NMR (400 MHz, DMSO-d6): δ = 0.88 (t, J = 7 Hz, 3H, CH3CH2), 1.51 (m, 2H, CH2), 2.47 (s, 3H, CH3), 2.50 (s, 3H, CH3), 3.78 (t, J = 7 Hz, 2H, CH2N), 14.20 (s, 1H, NH), 14.60 (s, 1H, triazolyl-NH), MS (EI): m/z (%) = 333 ([M]+, 100). 291 (12), 256 (12), 205 (32), 149 (12), 97 (36). HRMS: m/z (EI) for C13H15N7O2S; calcd. 333.1002; found: 333.1002.
3.4. High Temperature Dyeing Method (HT)
3.4.1. Materials
Scoured and bleached polyester 100% was used. The fabric was treated before dyeing with a solution containing non-ionic detergent (5 g/L) and sodium carbonate (2 g/L) in a ratio of 50:1 at 60 °C for 30 min, then thoroughly washed with water and air dried at room temperature.
3.4.2. Dyeing
The dye baths were prepared from the dye (1.0% weight of fibre) to a final liquor of 40:1, w/w. The pH value of the bath was adjusted to 4–5 with acetic acid (10%). The polyester fabrics, previously wetted, were placed into the liquor at 25 °C–30 °C. The temperature was raised to 130 °C at the rate of 2 °C/min, and dyeing continued for 60 min. After cooling, the dyed fabrics were then washed and dried [20].
3.4.3. Color Assessment
The colorimetric parameters (Table 1) of the dyed polyester fibers were determined on a reflectance spectrophotometer (Datacolor SF 600X) equipped with a D65 source.
3.5. Fastness Testing
The dyed fabrics were tested, employing ISO standard methods [21]. Wash fastness tests were carried out in accordance with ISO: 105-C01-C05:1989(E):Test 1–5, ISO: 105-A02:1993(E) and ISO: 105-A03:1993(E). Daylight fastness was carried out in accordance with ISO: 105-B01:1994.
3.6. Antimicrobial Activities Test
The antimicrobial activities of four disperse dyes were tested against five different microbial cultures using the agar-well diffusion technique [22]. Pure cultures of Staphylococcus auerus and Bacillus subtilus (Gram positive bacteria), Escherichia coli, Klebsiellae pneumoniae and Pseudomonas aeruginosa (Gram negative bacteria) were employed in the test. An aliquot of each bacterial strain (0.1 mL) was inoculated and spread on nutrient agar (NA). The inoculated plates were supplied with 100 µL of each of the tested dyes with concentrations of 0.25, 0.50, 1.00, 2.00 and 3.00 mg·mL−1. The dyes were placed in 4 mm wells produced by sterile cork borer. The NA plates were incubated at 37 °C for 24 h. The zones of inhibition around the wells were determined and the averages based on three replicas were recorded.
4. Conclusions
In summary, 4-methyl-2,6-dioxo-1-propyl-1,2,5,6-tetrahydropyridine-3-carbonitrile (8) was synthesized by one-pot synthesis using ethyl cyanoacetate, propylamine, and ethyl acetoacetate. Compound 8 is then coupled with aromatic and heteroaromatic diazonium salts to afford the corresponding aryl- and heteroaryl-4-methyl-2,6-dioxo-1-propyl-1,2,5,6-tetrahydropyridine-3-carbonitriles. The dyes produced in this manner were then applied to polyester fabrics by using a HT dyeing method. The dyed fabrics, which displayed yellow to light green hues on polyester fabrics, have very good fastness level to light and good fastness to wash. Finally, the biological activity of the synthesized dyes against Gram positive bacteria, Gram negative bacteria was discussed.
References
- Al-Zaydi, K.M.; Borik, R.M.; Elnagdi, M.H. Studies with arylhydrazonopyridinones: Synthesis of new arylhydrazono thieno[3,4-c]pyridinones as novel D2T2 dye class; classical verse green methodologies. Ultrason. Sonochem. 2009, 16, 660–668. [Google Scholar] [CrossRef]
- Helal, M.H. Synthesis and characterisation of a new series of pyridinone azo dyes for dyeing of synthetic fibers. Pigm. Resin Technol. 2004, 33, 165–171. [Google Scholar] [CrossRef]
- Desai, V.R.; Patel, D.; Desai, C.M.; Joshi, H.D. Sulphaphenazolamino-anthraquinone acid, reactive and substituted pyridone disperse dyes-part I. J. Inst. Chem. (India) 2000, 72, 228–229. [Google Scholar]
- Bach, V.; Hansen, G.; Lamm, G.; Sens, R. [(Acylphenyl)azo]pyridone disperse dyes and their use. Eur. Pat. 1991. Appl. 413229.. [Google Scholar]
- Sakoma, K.J.; Bello, K.A.; Yakubu, M.K. Synthesis of Some Azo Disperse Dyes from 1-Substituted 2-Hydroxy-6-pyridone Derivatives and Their Colour Assessment on Polyester Fabric. Open J. Appl. Sci. 2012, 2, 54–59. [Google Scholar] [CrossRef]
- Bello, K.A. Methine and Azomethine Dyes Derived from 2-Pyridone. Dyes Pigments 1995, 28, 83–90. [Google Scholar] [CrossRef]
- Chien, C.C.; Wang, I.J. Synthesis of Some Pyridone Azo Dyes from 1-Substituted 2-Hydroxy-6-pyridone Derivatives and Their Colour Assessment. Dyes Pigments 1991, 15, 69–82. [Google Scholar]
- Ertan, N.; Gurkan, P. Synthesis and Properties of Some Azo Pyridone Dyes and Their Cu(II) Complexes. Dyes Pigments 1997, 33, 137–147. [Google Scholar]
- El-Bayouki, M.; Abdel Hameed, K.; Asyouni, W.M.; Mohamed, Y.A.; Aly, M.M.; Abbas, S.Y. Novel 4(3H)-quinazolinones containing biologically active thiazole, pyridinone and chromene of expected antitumor and antifungal activities. Eur. J. Chem. 2011, 2, 455–462. [Google Scholar] [CrossRef]
- Afanas'Ev, I.I.; Korkina, L.G.; Kozlov, A.V.; Afanas'Ev, I.B. Spectrophotometric, electron spin resonance, polarographic, and chemiluminescent study of biologically active chelators: 1-Allyl-2-methyl-3-hydroxy-4-pyridinone, lipoic and dihydrolipoic acids. Phys. Chem. Biol. Med. 1996, 3, 25–30. [Google Scholar]
- El-Dusouqui, O.M.E.; Abdelkhalik, M.M.; Al-Awadi, N.A.; Dib, H.H.; George, B.J.; Elnagdi, M.H. Chemistry of 2-arylhydrazonals: utility of substituted 2-arylhydrazono-3-oxoalkanals as precursors for 3-oxoalkanonitriles, 3-aminoisoxazole and 1,2,3- and 1,2,4-triazoles. J. Chem. Res. 2006, 5, 295–302. [Google Scholar]
- Al-Etaibi, A.M.; El-Apasery, M.A.; Huda, H.M.; Al-Awadi, N.A. One-Pot Synthesis of Disperse Dyes Under Microwave Irradiation: Dyebath Reuse in Dyeing of Polyester Fabrics. Molecules 2012, 17, 4266–4280. [Google Scholar]
- Al-Etaibi, A.M.; Al-Awadi, N.A.; El-Apasery, M.A.; Ibrahim, M.R. Synthesis of some novel pyrazolo[1,5-a]pyrimidine derivatives and their application as disperse dyes. Molecules 2011, 16, 5182–5193. [Google Scholar] [CrossRef]
- Al-Etaibi, A.M.; Al-Awadi, N.A.; El-Apasery, M.A.; Ibrahim, M.R. A facile synthesis of new monoazo disperse dyes derived from 4-hydroxyphenylazopyrazole-5-amines: Evaluation of microwave assisted dyeing behavior. Color. Technol 2012. submitted for publication. [Google Scholar]
- EI-Apasery, M.A.; Al-Mousawi, S.M.; Mahmoud, H.; Elnagdi, M.H. Novel routes to biologically active enaminones, dienoic acid amides, arylazonicotinates and dihydropyridazines under microwave irradiation. Int. Res. J. Pure Appl. Chem. 2011, 1, 69–83. [Google Scholar]
- El-Apasery, M.A. Solvent-Free One-Pot Synthesis of Some Azo Disperse Dyes under Microwave Irradiation: Dyeing of Polyester Fabrics. J. Appl. Polym. Sci. 2008, 109, 695–699. [Google Scholar] [CrossRef]
- El-Apasery, M.A. Synthesis of some azo disperse dyes by the use of focused microwave heating. Pol. J. Appl. Chem. 2006, 50, 75–81. [Google Scholar]
- Elguero, J.; Marzin, C.; Katritzky, A.R.; Linda, P. The Tautomerism of Heterocyles. In Heterocyclic Chemistry; Academic Press: New York, NY, USA, 1976; pp. 106–109. [Google Scholar]
- Balalaie, S.; Kowsari, E.; Hashtroudi, M.S. An Efficient Method for the Synthesis of 3-Cyano-6-hydroxy-2(1H)-pyridinones under Microwave Irradiation and Solvent-free Conditions. Chem. Mon. 2003, 134, 453–456. [Google Scholar] [CrossRef]
- Maradiya, H.R. Synthesis Of azobenzo[b]thiophen derivatives and their dyeing performance on polyster fiber. Turk. J. Chem. 2001, 25, 441–450. [Google Scholar]
- Chrysler, L.P. Methods of Test for Color Fastness of Textiles and Leather, 7th ed; Bradford: London, UK, 1990; pp. 89–94. [Google Scholar]
- Dhingra, V.; Pakki, M.; Srinivas, R.; Narasu, L. Antimicrobial activity of artemisinin and its precursors. Curr. Sci. 2000, 78, 708–713. [Google Scholar]
- Sample Availability: Samples of the compounds 8, 12a,b and 13a–c are available from the authors.
© 2012 by the authors; licensee MDPI, Basel, Switzerland. This article is an open-access article distributed under the terms and conditions of the Creative Commons Attribution license (http://creativecommons.org/licenses/by/3.0/).