Aquilarin A, a New Benzenoid Derivative from the Fresh Stem of Aquilaria sinensis
Abstract
1. Introduction

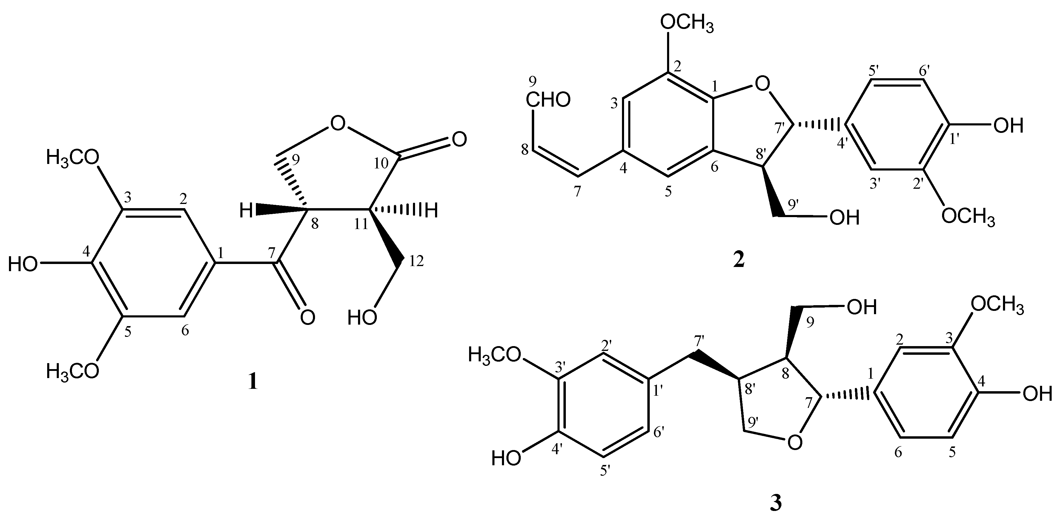
2. Results and Discussion
| Position | δC | δH |
|---|---|---|
| 1 | 125.7 | |
| 2 | 106.6 | 7.30 (1H, s) |
| 3 | 147.8 | |
| 4 | 141.8 | |
| 5 | 147.8 | |
| 6 | 106.6 | 7.30 (1H, s) |
| 7 | 195.7 | |
| 8 | 43.6 | 4.58 (1H, overlapped) |
| 9 | 68.0 | 4.58 (1H, overlapped), 4.20 (1H, dd, 6.3, 7.7 Hz) |
| 10 | 176.6 | |
| 11 | 45.7 | 3.00 (1H, m) |
| 12 | 58.9 | 3.83 (1H, dd, 3.5, 11.0), 3.61 (1H, dd, 3.5, 11.0 Hz) |
| OCH3 | 56.2 | 3.84 (6H, s) |

| Compound | SGC-7901 | SMMC-7721 |
|---|---|---|
| 1 | − | − |
| 2 | 34.0 | − |
| 3 | 80.0 | 75.2 |
| Mitomycin Ca | 8.8 | 2.2 |
3. Experimental
3.1. General
3.2. Plant material
3.3. Extraction and isolation
3.4. Characterization of Compounds 1−3
3.5. Bioassay
4. Conclusions
Acknowledgements
References and Notes
- Song, Z.Y. Modern Research on Chinese Herbal Medicine; Peking Medical College and Peking Union Medical College Associated Press: Beijing, China, 1997; pp. 1–30. [Google Scholar]
- Dai, H.F.; Mei, W.L. Modern Research on Medicinal Plants in Hainan; China Science and Technology Press: Beijing, China, 2007; pp. 31–33. [Google Scholar]
- Mei, W.L.; Zeng, Y.B.; Liu, J.; Dai, H.F. GC-MS analysis of volatile constituents from five different kinds of Chinese eaglewood. J. Chin. Med. Mat. 2007, 30, 551–555. [Google Scholar]
- Liu, J.; Wu, J.; Zhao, Y.X.; Deng, Y.Y.; Mei, W.L.; Dai, H.F. A new cytotoxic 2-(2-phenylethyl) chromone from Chinese eaglewood. Chin. Chem. Lett. 2008, 19, 934–936. [Google Scholar] [CrossRef]
- Mei, W.L.; Zeng, Y.B.; Wu, J.; Cui, H.B.; Dai, H.F. Chemical composition and anti-MRSA activity of the essential oil from Chinese eaglewood. J. Chin. Pharm. Sci. 2008, 17, 225–229. [Google Scholar]
- Dai, H.F.; Liu, J.; Zeng, Y.B.; Han, Z.; Wang, H.; Mei, W.L. A new 2-(2-phenylethyl)chromone from Chinese eaglewood. Molecules 2009, 14, 5765–5168. [Google Scholar]
- Sy, L.K.; Brown, G.D. Coniferaldehyde derivatives from tissue culture of Artemisia annua and Tanacetum parthenium. Phytochemistry 1999, 50, 781–785. [Google Scholar]
- Xie, L.H.; Akao, T.; Hamasaki, K.; Deyama, T.; Hattori, M. Biotransformation of pinoresinoldiglucoside to mammalian lignans by human intestinal microflora, and isolation of Enterococcus faecalis strain PDG-1 responsible for the transformation of (+)-pinoresinol to (+)-lariciresinol. Chem. Pharm. Bull. 2003, 51, 508–515. [Google Scholar] [CrossRef]
- Mosmann, T. Rapid colorimetric assay for cellular growth and survival: application to proliferation and cytotoxicity assays. J. Immunol. Method. 1983, 65, 55–63. [Google Scholar] [CrossRef]
- Sample Availability: Samples of the compounds 1-3 are available from the authors.
© 2010 by the authors;
Share and Cite
Wang, Q.-H.; Peng, K.; Tan, L.-H.; Dai, H.-F. Aquilarin A, a New Benzenoid Derivative from the Fresh Stem of Aquilaria sinensis. Molecules 2010, 15, 4011-4016. https://doi.org/10.3390/molecules15064011
Wang Q-H, Peng K, Tan L-H, Dai H-F. Aquilarin A, a New Benzenoid Derivative from the Fresh Stem of Aquilaria sinensis. Molecules. 2010; 15(6):4011-4016. https://doi.org/10.3390/molecules15064011
Chicago/Turabian StyleWang, Qing-Huang, Ke Peng, Le-He Tan, and Hao-Fu Dai. 2010. "Aquilarin A, a New Benzenoid Derivative from the Fresh Stem of Aquilaria sinensis" Molecules 15, no. 6: 4011-4016. https://doi.org/10.3390/molecules15064011
APA StyleWang, Q.-H., Peng, K., Tan, L.-H., & Dai, H.-F. (2010). Aquilarin A, a New Benzenoid Derivative from the Fresh Stem of Aquilaria sinensis. Molecules, 15(6), 4011-4016. https://doi.org/10.3390/molecules15064011
