Anti-Proliferative Effect of Camellianin A in Adinandra nitida Leaves and Its Apoptotic Induction in Human Hep G2 and MCF-7 Cells
Abstract
:1. Introduction
2. Results and Discussion
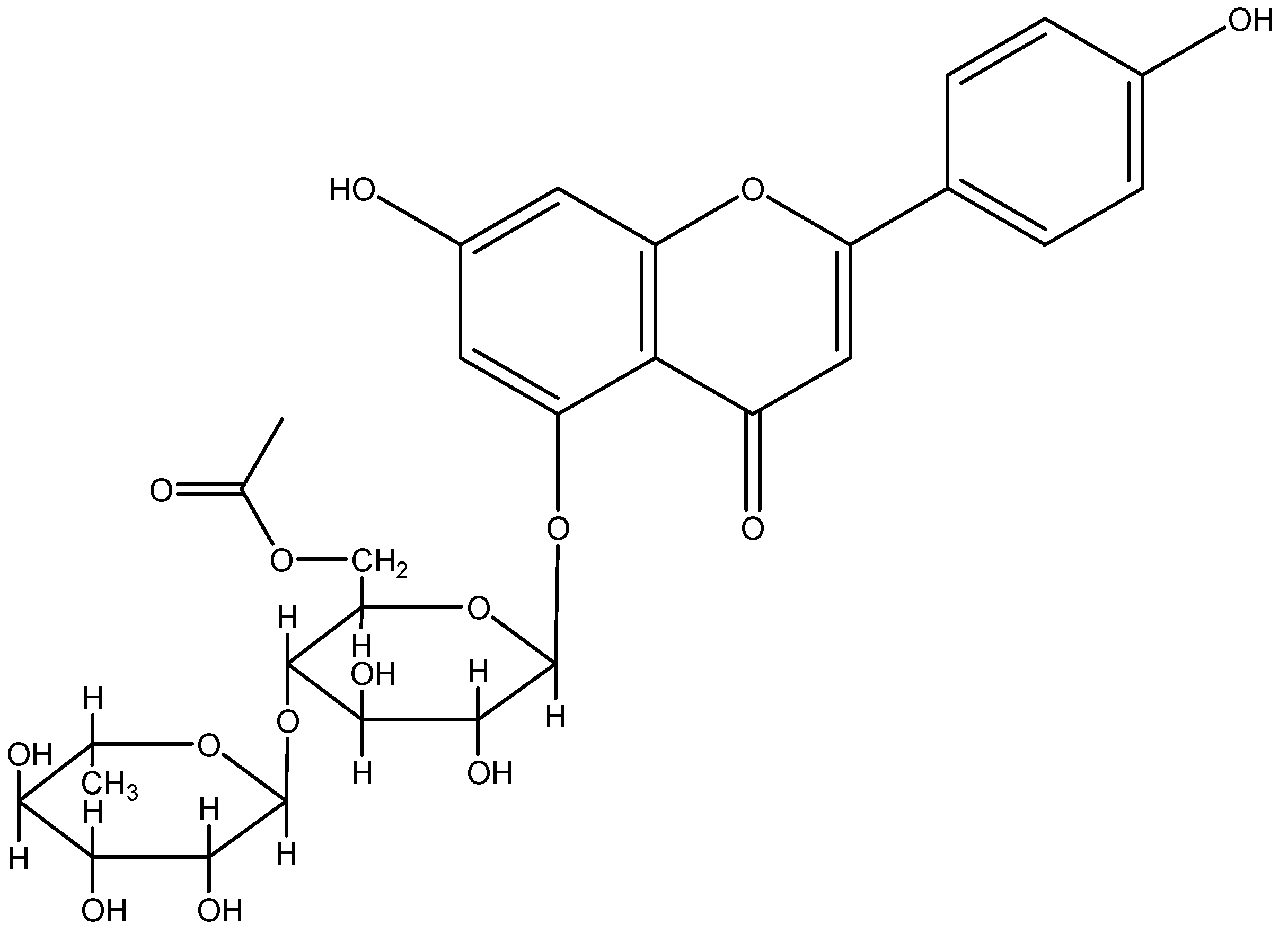
2.1. Identification and determination of Camellianin A
2.2. Anti-proliferative effect of camellianin A on human Hep G2 and MCF-7 cells
2.3. Cell cycle analysis
2.4. Flow cytometry analysis of cell apoptosis
3. Experimental
3.1. Materials and chemicals
3.2. Preparation of Camellianin A
3.3. HPLC-PDA-ESI/MS analysis
3.4. Determination of the content of Camellianin A in A. nitida leaves by HPLC
3.5. Cell culture and drug treatment
3.6. MTT assay
3.7. Flow cytometry analysis
3.8. Statistical analysis
4. Conclusions
References and Notes
- Burda, S.; Oleszek, W. Antioxidant and antiradical activities of flavonoids. J. Agric. Food Chem. 2001, 49, 2774–2779. [Google Scholar] [CrossRef] [PubMed]
- Zou, Y.; Lu, Y.; Wei, D. Antioxidant activity of a flavonoid-rich extract of Hypericum perforatum L. in vitro. J. Agric. Food Chem. 2004, 52, 5032–5039. [Google Scholar] [CrossRef] [PubMed]
- Wang, Y.; Chen, S.B.; Ni, J.; Yao, X.; Ye, W.C.; Zhao, S.X. Chemical studies on the Adinandra nitida (In Chinese). J. China Pharm. Univ. 2003, 34, 407–409. [Google Scholar]
- Zhang, J.; Yang, J.; Duan, J.; Liang, Z.; Zhang, L.; Huo, Y.; Zhang, Y. Quantitative and qualitative analysis of flavonoids in leaves of Adinandra nitida by high performance liquid chromatography with UV and electrospry ionization tandem mass spectrometry detection. Anal. Chim. Acta 2005, 532, 97–104. [Google Scholar] [CrossRef]
- Yu, J.; Chen, M. Studies on flavonoids extraction from Adinandra nitida Merr. ex H. L. Li. and on their antioxidative and bacteriostatic bioactivities (in Chinese). J. Shantou Univ. 1997, 12, 52–58. [Google Scholar]
- Liu, B.; Ning, Z.; Zhan, Y.; Xu, K.; Gao, J. Characterization and 1, 1-diphenyl-2-picrylhydrazyl radical scavenging activity of methanol and supercritical carbon dioxide extracts from leaves of Adinandra nitida. J. Food Biochem. 2008, 32, 431–442. [Google Scholar] [CrossRef]
- Yuan, E.; Liu, B.; Ning, Z. Preparation and antioxidant activity of camellianin A from Adinandra nitida leaves. J. Food Process Pres. 2008, 32, 785–797. [Google Scholar] [CrossRef]
- Yuan, E.; Liu, B.; Ning, Z.; Chen, C. Preparative separation of flavonoids in Adinandra nitida leaves by high-speed counter-current chromatography and their effects on human epidermal carcinoma cancer cells. Food Chem. 2009, 115, 1158–1163. [Google Scholar] [CrossRef]
- Jacobson, M.D.; Weil, M.; Raff, M.C. Programmed cell death in animal development. Cell 1997, 88, 347–354. [Google Scholar] [CrossRef]
- Nagata, S. Apoptosis by death factor. Cell 1997, 8, 355–365. [Google Scholar] [CrossRef]
- Kidd, V.J. Proteolytic activities that mediate apoptosis. Annul. Rev. Physiol. 1998, 60, 533–573. [Google Scholar] [CrossRef] [PubMed]
- Mosmann, T. Rapid colorimetric assay for cellular growth and survival: Application to proliferation and cytoxicity assays. J. Immunol. Method. 1983, 65, 55–63. [Google Scholar] [CrossRef]
Sample Availability: Samples of the compounds are available from the authors. |









© 2010 by the authors; licensee MDPI, Basel, Switzerland. This article is an Open Access article distributed under the terms and conditions of the Creative Commons Attribution license (http://creativecommons.org/licenses/by/3.0/).
Share and Cite
Gao, H.; Liu, B.; Liu, F.; Chen, Y. Anti-Proliferative Effect of Camellianin A in Adinandra nitida Leaves and Its Apoptotic Induction in Human Hep G2 and MCF-7 Cells. Molecules 2010, 15, 3878-3886. https://doi.org/10.3390/molecules15063878
Gao H, Liu B, Liu F, Chen Y. Anti-Proliferative Effect of Camellianin A in Adinandra nitida Leaves and Its Apoptotic Induction in Human Hep G2 and MCF-7 Cells. Molecules. 2010; 15(6):3878-3886. https://doi.org/10.3390/molecules15063878
Chicago/Turabian StyleGao, Han, Benguo Liu, Feng Liu, and Yongsheng Chen. 2010. "Anti-Proliferative Effect of Camellianin A in Adinandra nitida Leaves and Its Apoptotic Induction in Human Hep G2 and MCF-7 Cells" Molecules 15, no. 6: 3878-3886. https://doi.org/10.3390/molecules15063878
APA StyleGao, H., Liu, B., Liu, F., & Chen, Y. (2010). Anti-Proliferative Effect of Camellianin A in Adinandra nitida Leaves and Its Apoptotic Induction in Human Hep G2 and MCF-7 Cells. Molecules, 15(6), 3878-3886. https://doi.org/10.3390/molecules15063878
