Next Article in Journal
2-Methyl-5-chloromethyl-8-hydroxyquinoline
Previous Article in Journal
Synthesis of γ-Nitro Aliphatic Methyl Esters Via Michael Additions Promoted by Microwave Irradiation
 
 
Font Type:
Arial Georgia Verdana
Font Size:
Aa Aa Aa
Line Spacing:
Column Width:
Background:
Article

Preparation of Benzothiazole-Substituted Carbosilane Dendrimers up to the 7th Generation

Department of Chemistry, Dong-A University, Busan 604-714, Korea
*
Author to whom correspondence should be addressed.
Molecules 2009, 14(4), 1605-1613; https://doi.org/10.3390/molecules14041605
Submission received: 18 March 2009 / Revised: 13 April 2009 / Accepted: 20 April 2009 / Published: 21 April 2009

Abstract

:
Carbosilane dendrimers with 2-(2-phenyloxy)benzothiazole groups on the periphery were prepared from the 1st to the 7th generation. All dendrimers were characterized by 1H- and 13C-NMR, elemental analysis, MALDI TOF MS, GPC, and PL (photoluminescence) spectroscopy. Characteristic PDI (Polydisperse Index) values of the peaks corresponding to the respective dendrimers in the GPC data is in very narrow range of 1.00~1.04. All PL spectra show a blue-shift increasing with generation from the 1st to the 7th.

1. Introduction

Confirmation of dendrimer isomolecularity has been a controversial subject due to their architectural similarity, especially in the case of higher generations [1,2,3]. At this point the preparation and identification of defect-free dendrimer with uniform size is very important. The isomolecularity of low generation dendrimers, with molecular weights around a few thousand Daltons, has been confirmed by mass spectroscopy [4,5,6]. However this still does not provide any decisive information about structural defects of higher generations. Herein, novel carbosilane dendrimers (1st to 7th generation), having benzothiazoyl group chromophores on the periphery were synthesized and characterized. Uniformities in size of these carbosilane dendrimers were determined by GPC (Gel Permeation Chromatography) [7,9] and their dendritic effects were studied by PL (photoluminescence) spectroscopy.

2. Results and Discussion

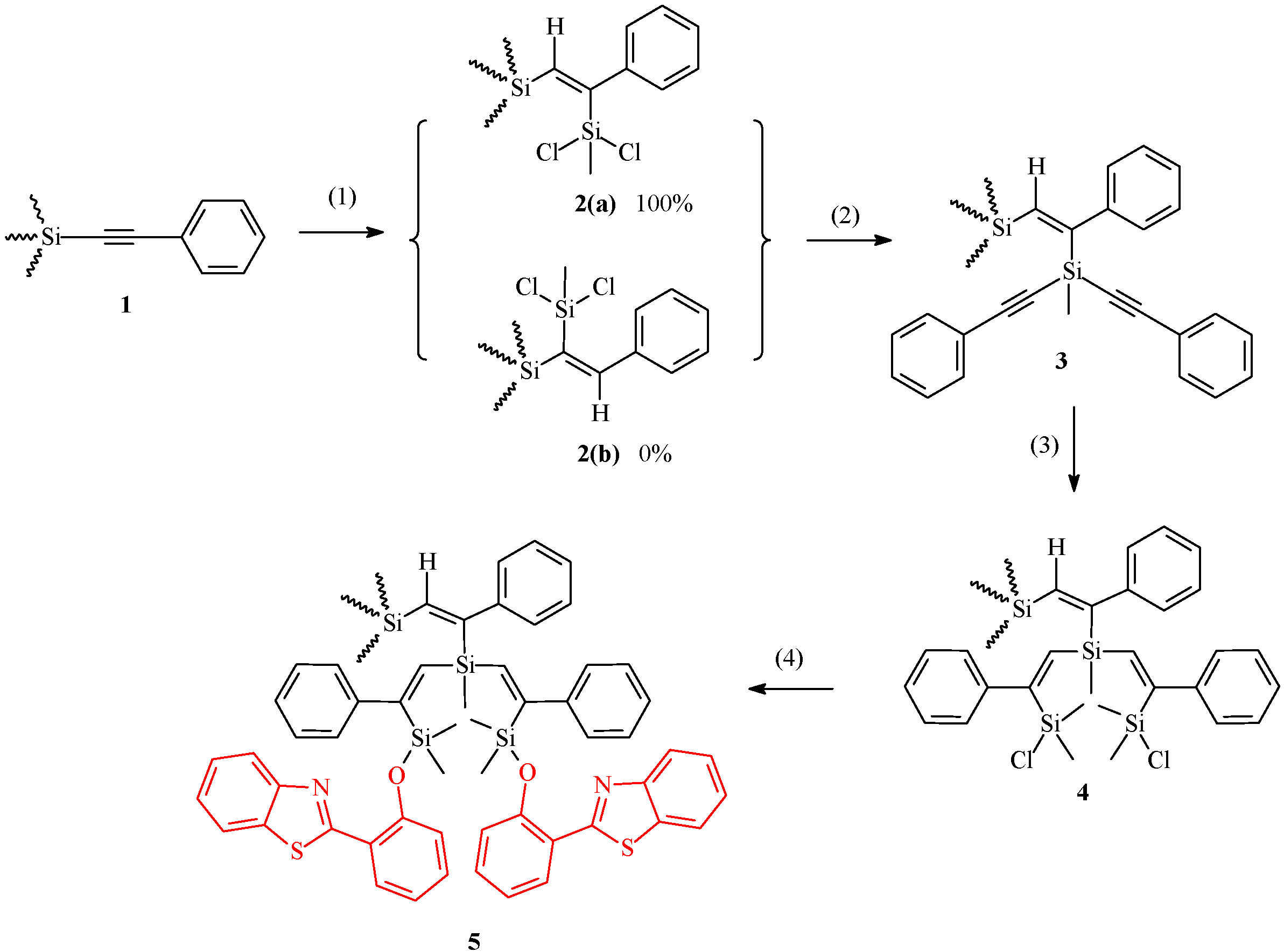
Hydrosilation of bis-(phenylacetylenyl)dimethylsilane with hydrosilane and substitution of chlorine in the Si-Cl bond by phenylacetylide are well described in previous papers [5,6]. The same hydrosilation and substitution reaction were repeated for the preparation of dendrimers from generations 1 to 7. They are quite stable in regular atmosphere and are readily soluble in organic solvents. Purification of reaction products by silica gel-toluene chromatography gives the respective dendrimers in high purity and they were characterized by 1H- and 13C-NMR, elemental analysis, MALDI TOF MS, GPC, and PL (photoluminescence) spectroscopy [8]. The 7th generation, having 256 phenylacetylenyl groups on the periphery was isolated and confirmed as having no structural defects; however, there is no evidence for the formation of the 8th generation. It seems to be that there is enough space for 256 phenylacetylenyl groups on the periphery of the 7th generation, but not enough space for 512 phenylacetylenyl groups on the periphery of the 8th generation [10]. Since the 2-benzothiazolephenyloxy group is bulkier than a phenylethynyl group, only one chlorine atom of the terminal silyl group can be substituted by a 2-benzothiazoylphenyloxy group from the 1st to 7th generation of nG[2,2n-1,1]-2nBT (n=1~7). These were prepared by the substitution of Si-Cl bonds on the dendritic periphery with 2-(2-hydroxyphenyl)benzoxazole in the presence of a base such as triethylamine and TMEDA, etc. (Scheme 1).
Scheme 1. Schematic view of the preparative methods. (1) Hydrosilation between dichloromethylsilane and dendritic branches, (2) Alkynylation, (3) Hydrosilation between chlorodimethylsilane for termination, and (4) Addition of benzothiazole.
Scheme 1. Schematic view of the preparative methods. (1) Hydrosilation between dichloromethylsilane and dendritic branches, (2) Alkynylation, (3) Hydrosilation between chlorodimethylsilane for termination, and (4) Addition of benzothiazole.
Molecules 14 01605 g003
The molecularity of the respective dendrimer of nG[2, 2n-1,1]-2nBT (Scheme 2) is determined by GPC, in which very narrow peak of PDI value closely to 1.00 is observed at shorter retention time with increasing the generation number (Figure 1).
Scheme 2. Schematic view of the benzothiazole 1st to 7th generation dendrimers .
Scheme 2. Schematic view of the benzothiazole 1st to 7th generation dendrimers .
Molecules 14 01605 g004
Figure 1. GPC chromatogram of 1st to 7th generation carbosilane dendrimers.
Figure 1. GPC chromatogram of 1st to 7th generation carbosilane dendrimers.
Molecules 14 01605 g001
MALDI mass spectroscopy provides valuable information about the isomolecularity of lower generation dendrimers (1st generation, 1G[2,0,1]-2BT); however it gives no information about its purity and molecularities for higher generations. Therefore GPC has been used for the characterization of dendrimers along with various spectroscopic measurements and elemental analysis. The GPC chromatogram in Figure 1 shows very narrow peaks corresponding to the respective generations of the dendrimer. The first peak from the left is that of the highest generation dendrimer, 7G[2,2,2,2,2,2,2,1]-126BT with a molecular weight 67,736 Daltons, and the last peak from the left is that of the lowest generation dendrimer, 1G[2,0,1]-2BT (Mw: 831.27). The most significant feature of the chromatogram is that each peak has no shoulder in the left and the right side of the peak for the 1st to the 5th generation dendrimers. On the other hand for the 6th and 7th generation, a little shoulder can be recognized only on the left side of each peak. The shoulder in the left side of the peak must come from the corresponding dendrimer with impurities, which are stuck between its branches. It is plausible that a higher generation dendrimer has more probability to capture any impurities between its branches. Nevertheless no shoulder in the right side of each peak is observed. In addition the PDI values of the peaks are very close to 1.00 in the range from 1.00 to 1.04. It means that the calculated molecular weight from GPC is very slightly greater than that of the dendrimer (MwMn) [9].
The PL spectra of nG[2,2n-1,1]-2nBT ( n = 1 ~ 6) show one smaller λmax peak at the wavelength of 380 nm and the other bigger one at the wavelength of 512 nm. As the generation of nG[2,2n-1,1]-2nBT increased from the 1st to the 4th generation the intensity of the smaller λmax at the wavelength of 380 nm unexpectedly increased slowly, but the intensity of the bigger λmax at the wavelength of 512 nm is decreased. In the end the intensity of λmax at the wavelength of 380 nm is bigger than that of λmax at the wavelength of 512 nm for the 5th and the 6th generation of nG[2,2n-1,1]-2nBT (n=5, 6) dendrimers. This can be attributed to the fact that the space around the silicon atoms becomes smaller as the generations increase. In the lower generation dendrimers there is enough space around the silicon atoms for the bulky 2-benzothiazolephenoxy group to occupy a planar geometry, in which the nitrogen or sulfur atoms can coordinate equatorially with a silicon atom. However, in the higher generation dendrimers 2-benzothiazole group is too bulky to move around the Si atoms, therefore the benzothiazole and phenyl groups rotate to minimize the steric hindrance (Scheme 3). The same pattern of the PL spectra are observed for the dendrimers of nG[2,2n-1,1]-2nBO ( n = 1 ~6) [10].
Figure 2. PL properties of benzothiazole dendrimers from 1st to 6th generations.
Figure 2. PL properties of benzothiazole dendrimers from 1st to 6th generations.
Molecules 14 01605 g002
Scheme 3. Position of benzothiazole on dendritic periphery.
Scheme 3. Position of benzothiazole on dendritic periphery.
Molecules 14 01605 g005

3. Experimental

All reactions were carried out under a dried nitrogen atmosphere attached to vacuum line. NMR spectra were recorded on a Bruker AC 200 instrument. UV spectra were measured with a HP 8452A diode array ultraviolet visible spectrophotometer. The gel permeation chromatography (GPC) was performed in THF at 25 oC with a Waters 515 HPLC pump and a Waters 2410 Refractive Index Detector connected with three columns (Ultrastyragel 0.78 x 30 cm; 103, 104 and 105), which were calibrated with a narrow molecular weight polystyrene standard. Elemental analyses were carried out at KBSI in Daegu, Korea. The following abbreviations are used: BT refers to benzothiazole, PA refers to phenylethynyl groups and TMEDA refers to tetramethylethylenediamine. In the representation of nG[2,2n-1,1]-2nX, the nG (specially Gn in figure and experimental part) refers to generation number, the first 2 in bracket refers to the number of branch in core, the 2n-1refers to the number of branches in inner shell and last 1 in the bracket refers to the number of functional groups on the periphery and last 2nBT refers to the number of benzothiazole groups on the whole periphery Gn-mCl refer to number of Si-Cl (m=2,4,..) bonds in nth generation. The hydrosilation and alkynylation processes were described in previous reports [5,10].
1G[2,1,1]-2BT: 1G[2,0,1]-2Cl (0.30 g, 0.67 mmol) in toluene (25 mL) was slowly added to a mixed solution of 2-(2-hydroxyphenyl)benzothiazole (0.33 g, 1.45 mmol) and TMEDA (0.17 g, 1.45 mmol) in dried toluene (50 mL) at room temperature. Then, the reaction mixture was warmed and kept at 60 oC for 1.5 hr. The reaction mixture was filtered to remove the TMEDA-HCl salt. 1G[2,0,1]-2BO was purified and isolated by silica gel chromatography with chloroform-hexane (3:2) as eluent. Yield: 0.44 g (0.53 mmol, 80%) of a light yellow glass. 1H-NMR (ppm, CDCl3): δ = -0.42 (s, 6H, SiMe, G0), 0.42 (s, 12H, SiMe, G1), 6.42 (s, 2H, CH=C, G0), 6.84~7.00, 7.04~7.22, 7.22~7.39, 7.39~7.54, 7.80~7.90, 8.05~8.15, 8.42~8.54 (26H, BT, Ph); 13C-NMR (ppm, CDCl3): δ = -0.56 (SiMe, G1), -0.08 (SiMe, G0), 116.97, 118.04, 119.71, 121.68, 122.35, 125.72, 126.15, 126.86, 127.53, 127.63, 127.98, 128.04, 128.58, 132.77, 132.93, 144.69, 152.02, 158.09, 164.34, 169.55 (BT, Ph); Anal. Calc. for C48H46N2O2S2Si3 (Mw: 831.28): C, 69.29%, H, 5.54%, N, 3.37%, S, 7.71%. Found: C, 68.77%, H, 5.56%, N, 3.40%, S, 7.71%; MALDI TOF MS, Calc.: 831.28, Found: 831.27 (M+); UV/Vis, λmax = 287 nm, εmax = 0.34×105; GPC: PDI value (Mw/Mn), 1.01 (682/674); Rt, 19.96 mins.
2G[2,2,1]-4BT: The same method as described for the preparation of G1-2BT was used with G2-4Cl (0.45 g, 0.40 mmol), TMEDA (0.19 g, 1.71 mmol) and 2-(2-hydroxyphenyl)benzoxazole (0.39 g, 1.71 mmol). Yield: 0.59 g (0.31 mmol, 78%) of a light yellow glass.1H-NMR (ppm, CDCl3): δ = -0.66 (s, 6H, SiMe, G0), -0.54 (s, 6H, SiMe, G1), 0.34 (s, 24H, SiMe, G2), 6.02 (s, 2H, CH=C, G0), 6.32 (s, 4H, CH=C, G1), 6.70~6.89, 7.02~7.15, 7.15~7.40, 7.40~7.55, 7.80~7.89, 8.02~8.12, 8.40~8.54 (64H, BT, Ph); 13C-NMR (ppm, CDCl3): δ = -2.47 (SiMe, G0), -0.53 (SiMe, G1), 1.23 (SiMe, G1), 116.97, 118.04, 119.71, 121.68, 122.35, 125.75, 126.17, 126.90, 127.64, 127.69, 127.96, 127.99, 128.62, 132.77, 132.93, 144.56, 144.48, 152.09, 158.09, 164.25, 169.59 (BT, Ph); Anal. Calc. for C112H104N4O4S4Si7 (Mw: 1,894): C, 71.03%, H, 5.49%, N, 2.96, S, 7.71%. Found: C, 70.98%, H, 5.54%, N, 3.04%, S, 6.77%; UV/Vis, λmax = 287 nm, εmax = 0.70×105; GPC: PDI value (Mw/Mn), 1.01 (910/895); Rt, 19.14 mins.
3G[2,2,2,1]-8BT: The same method as that of G1-2BT was used with G3-8Cl (0.49 g, 0.20 mmol), TMEDA (0.20 g, 1.75 mmol) and 2-(2-hydroxyphenyl)benzothiazole (0.40 g, 1.75 mmol). Yield: 0.68 g (0.17 mmol, 85%) of a light yellow glass. 1H-NMR (ppm, CDCl3): δ = -0.82 (s, 6H, SiMe, G0), -0.75 (s, 12H, SiMe, G2), -0.51 (s, 12H, SiMe, G1), 0.30 (s, 48H, SiMe, G3), 6.00~6.12 (s, 6H, CH=C, G0~G1), 6.22 (s, 8H, CH=C, G2), 6.64~6.86, 6.96~7.12, 7.12~7.39, 7.39~7.54, 7.76~7.89, 8.04~8.15, 8.40~8.52 (134H, BT, Ph); 13C-NMR (ppm, CDCl3): δ = -2.92 (SiMe, G0~G1), -0.61 (SiMe, G3), 0.87 (SiMe, G2), 116.97, 118.04, 119.71, 121.68, 122.35, 125.75, 126.17, 126.90, 127.64, 127.69, 127.96, 127.99, 128.62, 132.77, 132.93, 144.56, 144.48, 152.09, 158.09, 164.25, 169.59 (BT, Ph); Anal. Calc. for C240H220N8O8S8Si15 (Mw: 4,016): C, 71.71%, H, 5.47%, N, 2.78%, S, 6.37%. Found: C, 71.00%, H, 5.44%, N, 2.30%, S, 6.38%; UV/Vis, λmax = 287 nm, εmax = 1.43×105; GPC: PDI (Mw/Mn), 1.01 (3,241/3,197); Rt, 17.87 mins.
4G[2,2,2,2,1]-16BT: The same method as that of G1-2BO was used with G2-4Cl (0.32 g, 0.061 mmol), TMEDA (0.12 g, 1.06 mmol) and 2-(2-hydroxyphenyl)benzothiazole (0.24 g, 1.71 mmol). Yield: 0.42 g (0.051 mmol, 83%) of a light yellow glass. 1H-NMR (ppm, CDCl3): δ = -0.86 (s, 18H, SiMe, G0, G2), -0.75 (s, 24H, SiMe, G3), -0.57 (s, 6H, SiMe, G1), 0.26 (s, 96H, SiMe, G4), 6.04~6.19 (s, 14H, CH=C, G0~G2), 6.21 (s, 16H, CH=C, G3), 6.56~6.85, 6.85~7.14, 7.14~7.36, 7.36~7.50, 7.72~7.84, 8.00~8.12, 8.40~8.50 (278H, BT, Ph); 13C-NMR (ppm, CDCl3): δ = -2.87 (SiMe, G0~G2), -0.85 (SiMe, G4), 0.89 (SiMe, G3), 116.97, 118.04, 119.71, 121.68, 122.35, 125.75, 126.17, 126.90, 127.64, 127.69, 127.96, 127.99, 128.62, 132.77, 132.93, 144.56, 144.48, 152.09, 158.09, 164.25, 169.59 (Ph, BT); Anal. Calc. for C496H452N16O16S16Si31 (Mw: 8,264): C, 72.02%, H, 5.47%, N, 2.71%, S, 6.19%. Found: C, 71.83%, H, 5.59%, N, 2.21%, S, 6.18%; UV/Vis, λmax = 287 nm, εmax = 2.74×105; GPC: PDI (Mw/Mn), 1.04 (4,311/4,114); Rt, 16.69 mins.
5G[2,2,2,2,2,1]-32BT: The same method as that of G1-2BO was used with G5-32Cl (0.40 g, 0.037 mmol), TMEDA (0.14 g, 1.20 mmol) and 2-(2-hydroxyphenyl)benzothiazole (0.27 g, 1.20 mmol). Yield: 0.51 g (0.030 mmol, 82%) of a light yellow glass. 1H-NMR (ppm, CDCl3): δ = -0.95~-0.48 (96H, SiMe, G0~G4), 0.23 (192H, SiMe, G5), 5.84~6.10, 6.10~6.32 (62H, CH=C, G0~G4), 6.55~6.82, 6.82~7.16, 7.16~7.34, 7.34~7.52, 7.68~7.84, 7.96~8.27, 8.38~8.55 (566H, BT, Ph); 13C-NMR (ppm, CDCl3): δ = -2.86 (SiMe, G0~G4), -0.84 (SiMe, G5), 117.03, 118.10, 119.73, 121.72, 122.41, 125.75, 126.10, 126.90, 127.61, 127.94, 128.62, 132.82, 132.96, 144.69, 152.02, 158.09, 164.34, 169.55 (Ph, BT); Anal. Calc. for C1008H916N32O32S32Si63 (Mw: 16,760): C, 72.17%, H, 5.46%, N, 2.67%, S, 6.11%. Found: C, 71.82%, H, 5.60%, N, 2.67%, S, 6.11%; UV/Vis, λmax = 287 nm, εmax = 5.37×105; GPC: PDI (Mw/Mn), 1.02 (8,222/8,201); Rt, 16.09 mins.
6G[2,2,2,2,2,2,1]-64BT: The same method as that of G1-2BO was used with G2-4Cl (0.32 g, 0.015 mmol), TMEDA (0.12 g, 1.06 mmol) and 2-(2-hydroxyphenyl)benzothiazole (0.24 g, 1.06 mmol). Yield: 0.43 g (0.013 mmol, 83%) of a light yellow glass. 1H-NMR (ppm, CDCl3): δ = -1.76~-0.66 (s, 192H, SiMe, G0~G5), 0.08~0.38 (s, 384H, SiMe, G6), 5.72~6.28 (126H, CH=C, G0~G5), 6.48~6.80, 6.80~7.12, 7.12~7.32, 7.32~7.48, 7.62~7.80, 7.97~8.10, 8.30~8.52 (1142H, BT, Ph); 13C-NMR (ppm, CDCl3): δ = -1.23 (SiMe, G0~G5), -0.43 (SiMe, G6), 117.03, 118.10, 119.74, 121.73, 122.41, 125.76, 126.91, 127.92, 128.34, 128.63, 132.83, 132.97, 144.69, 152.02, 158.09, 164.34, 169.55 (Ph, BT); Anal. Calc. for C2032H1844N64O64S64Si127 (Mw: 33,752): C, 72.24%, H, 5.46%, N, 2.65%, S, 6.07%. Found: C, 71.54%, H, 5.89%, N, 2.64%, S, 6.20%; UV/Vis, λmax = 287 nm, εmax = 1.08×106; GPC: PDI (Mw/Mn), 1.01 (11,536/11,397); Rt, 15.55 mins.
7G[2,2,2,2,2,2,2,1]-128BT: The same method as that of G1-2BO was used with G7-128Cl (0.27 g, 0.0062 mmol), TMEDA (0.10 g, 0.88 mmol) and 2-(2-hydroxyphenyl)benzothiazole (0.20 g, 0.88 mmol). Yield: 0.36 g (0.0053 mmol, 86%) of a light yellow glass. 1H-NMR (ppm, CDCl3): δ = -1.02~-0.60 (s, 384H, SiMe, G0), 0.18~0.40 (s, 768H, SiMe, G7), 5.72~6.28 (254H, CH=C, G0~G6), 6.40~7.46, 7.46~7.82, 7.82~8.10, 8.29~8.54 (2294H, BT, Ph); 13C-NMR (ppm, CDCl3): δ = -1.27 (SiMe, G7), - 0.53 (SiMe, G0~G6), 117.84, 121.16, 125.29, 122.78, 124.56, 125.29, 125.89, 126.69, 127.77, 128.22, 129.03, 129.76, 131.22, 131.80, 135.78, 142.86, 144.127, 152.04, 153.21, 163.13 (Ph, BT); Anal. Calc. for C4080H3700N128O128S128Si255 (Mw: 67,736): C, 72.28%, H, 5.46%, N, 2.64%, S, 6.05%. Found: C, 71.87%, H, 5.90%, N, 2.62%, S, 6.02%; UV/Vis, λmax = 287 nm, εmax = 2.27×106; GPC: PDI (Mw/Mn), 1.02 (15,206/14,890); Rt, 15.20 mins.

Acknowledgements

This work was supported by the Basic Research Program of Dong-A University (2009).

References

  1. Tomalia, D.A.; Hedstrand, D.M.; Ferritto, M.S. Comb-burst dendrimer topology: new macromolecular architecture derived from dendritic grafting. Macromolecules 1991, 24, 1435–1438. [Google Scholar] [CrossRef]
  2. Vögtle, F.; Gestermann, S.; Hesse, R.; Schwierz, H.; Windischb, B. Functional dendrimers. Prog. Polym. Sci. 2000, 25, 987–1041. [Google Scholar] [CrossRef]
  3. Inoue, K. Functional dendrimers, hyperbranched and star polymers. Prog. Polym. Sci. 2000, 25, 435–571. [Google Scholar] [CrossRef]
  4. Higuchi, M.; Shiki, S.; Ariga, K.; Yamamoto, K. First Synthesis of Phenylazomethine Dendrimer Ligands and Structural Studies. J. Am. Chem. Soc. 2001, 123, 4414–4420. [Google Scholar] [CrossRef]
  5. Kim, C.; Seo, W.; Oh, M.-J. Synthesis of Silafluorene on Dendritic Periphery. Bull. Korean Chem. Soc. 2007, 28, 1963–1966. [Google Scholar] [CrossRef]
  6. Kim, C.; Kim, H. Synthesis of Farnesyl Terminated Carbosilane Dendrimer. Synthesis 2005, 381–386. [Google Scholar] [CrossRef]
  7. Trollsås, M.; Hedrick, J.L. Dendrimer-like Star Polymers. J. Am. Chem. Soc. 1998, 120, 4644–4651. [Google Scholar] [CrossRef]
  8. Feng, X.-H.; Taton, D.; Ibarboure, E.; Chaikof, E.L.; Gnanou, Y. Janus-Type Dendrimer-like Poly(ethylene oxide)s. J. Am. Chem. Soc. 2008, 130, 11662–11676. [Google Scholar] [CrossRef]
  9. Li, S.; McGrath, D.V. Effect of Macromolecular Isomerism on the Photomodulation of Dendrimer Properties. J. Am. Chem. Soc. 2000, 122, 6795–6796. [Google Scholar] [CrossRef]
  10. Kim, C.; Kim, H.; Oh, M.-J.; Hong, J.-H. Preparation and unequivocal identification of chromophores-substituted carbosilane dendrimers up to 7th generations. Bull. Kor. Chem. Soc. 2009, (in press).. [Google Scholar]
  • Sample Availability: Samples are available from the authors.

Share and Cite

MDPI and ACS Style

Kim, C.; Kim, H. Preparation of Benzothiazole-Substituted Carbosilane Dendrimers up to the 7th Generation. Molecules 2009, 14, 1605-1613. https://doi.org/10.3390/molecules14041605

AMA Style

Kim C, Kim H. Preparation of Benzothiazole-Substituted Carbosilane Dendrimers up to the 7th Generation. Molecules. 2009; 14(4):1605-1613. https://doi.org/10.3390/molecules14041605

Chicago/Turabian Style

Kim, Chungkyun, and Hyojeong Kim. 2009. "Preparation of Benzothiazole-Substituted Carbosilane Dendrimers up to the 7th Generation" Molecules 14, no. 4: 1605-1613. https://doi.org/10.3390/molecules14041605

APA Style

Kim, C., & Kim, H. (2009). Preparation of Benzothiazole-Substituted Carbosilane Dendrimers up to the 7th Generation. Molecules, 14(4), 1605-1613. https://doi.org/10.3390/molecules14041605

Article Metrics

Back to TopTop