Sulphated Zirconia as an Eco-Friendly Catalyst in Acylal Preparation under Solvent-Free Conditions, Acylal Deprotection Assisted by Microwaves, and the Synthesis of Anhydro-Dimers of o-Hydroxybenzaldehydes
Abstract
:Introduction

Results and Discussion

| Surface area (SBET) | 90 m²/g |
| Pore volume (Vp) | 0.12 cm³/g |
| Pore diameter (Dp) | 52.7 Å |


| Entry | Substrate | Time (hr) | Product | Yield (%) |
|---|---|---|---|---|
| 1 | ![]() | 5.00a | ![]() | 99c |
| 6.00b | 97d | |||
| 2 | ![]() | 4.20a | ![]() | 100c |
| 5.00b | 99d | |||
| 3 | ![]() | 4.30a | ![]() | 99c |
| 8.00b | 90d | |||
| 4 | ![]() | 4.30a | ![]() | 97c |
| 5.00b | 94d | |||
| 5 | ![]() | 4.00a | ![]() | 99c |
| 5.00b | 97d | |||
| 6 | ![]() | 7.00a | ![]() | 95c |
| 4.30b | 90d | |||
| 7 | ![]() | 5.00a | ![]() | 99c |
| 5.00b | 95d | |||
| 8 | ![]() | 5.00a | ![]() | 99c |
| 5.00b | 85d | |||
| 9 | ![]() | 5.00a | ![]() | 100c |
| 5.00b | 90d | |||
| 10 | ![]() | 5.00a | ![]() | 99c |
| 5.00b | 85d | |||
| 11 | ![]() | 8.00a | ![]() | 99c |
| 5.00b | 95d |
| Entry | Substrate | Time(hr) | Product | Yield (%) |
|---|---|---|---|---|
| 1 | ![]() | 0.45a | ![]() | 100c,d |
| 6.00b | ||||
| 2 | ![]() | 0.45a | ![]() | 100c,d |
| 6.00b | ||||
| 3 | ![]() | 0.30a | ![]() | 100c,d |
| 6.00b | ||||
| 4 | ![]() | 0.30a | ![]() | 100c,d |
| 6.00b | ||||
| 5 | ![]() | 0.30a | ![]() | 100c,d |
| 6.00b | ||||
| 6 | ![]() | 1.00a | ![]() | 100c,d |
| 6.00b | ||||
| 7 | ![]() | 0.30a | ![]() | 100c,d |
| 6.00b | ||||
| 8 | ![]() | 2.00a | ![]() | 100c,d |
| 6.00b | ||||
| 9 | ![]() | 0.60a | ![]() | 100c,d |
| 6.00b | ||||
| 10 | ![]() | 2.00a | ![]() | 100c,d |
| 6.00b | ||||
| 11 | ![]() | 2.00a | ![]() | 100c,d |
| 6.00b |
| Cycle No. | % Yield Protection | % Yield Deprotection |
|---|---|---|
| 1st | 92 | 90 |
| 2nd | 90 | 89 |
| 3rd | 90 | 89 |
| 4th | 86 | 87 |




Experimental
General
Sulphated zirconia synthesis
Procedure for the conversion of aldehydes to geminal diacetates under solvent free conditions
Procedure for the deprotection of 1,1 diacetates to aldehydes using Microwave synthesizer
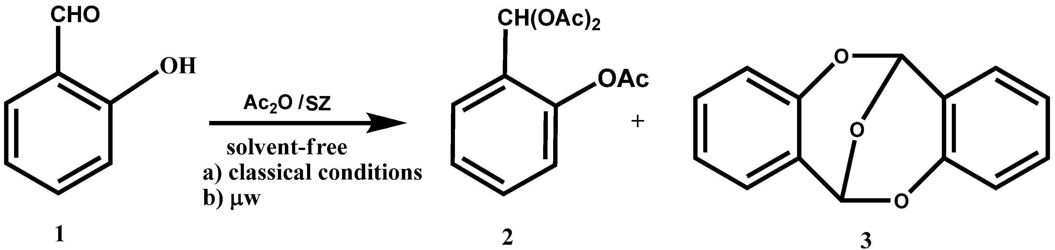
Procedure for the formation of o-hydroxybenzaldehyde dimer (6,12-epoxydibenzo-6H,12H-dibenzo[b,f][1,5] dioxocin, 3) using the conventional thermal method
Procedure for the formation of o-hydroxybenzaldehyde dimer (6,12-epoxydibenzo-6H,12H-dibenzo[b,f][1,5] dioxocin, 3) using microwave irradiation
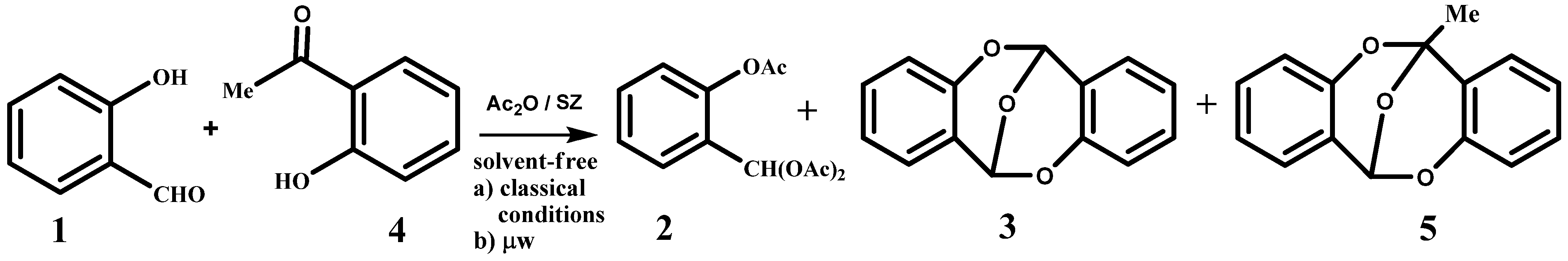
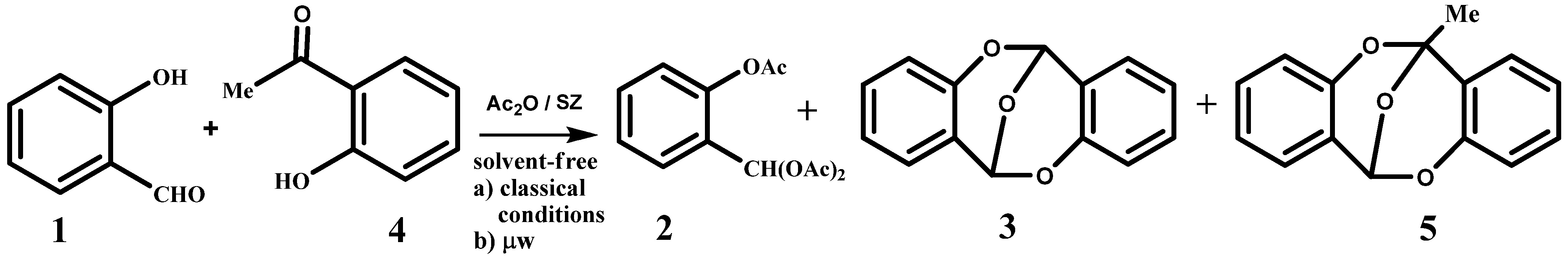
Procedure for the preparation of the dimer 6-methyl-6,12-epoxy-6H,12H-dibenzo[b,f][1,5]dioxocin (5) using the conventional thermal method
Procedure for the preparation of the dimer 6-methyl-6,12-epoxy-6H,12H-dibenzo[b,f][1,5]dioxocin (5) using microwave irradiation
Conclusions
Acknowledgements
- Sample Availability: Samples of the compounds are available from the authors.
References
- Yadav, G.D.; Pujari, A.A. Friedel-Crafts acylation using sulfated zirconia as a catalyst. Green Chem. 1999, 1, 69–74. [Google Scholar] [CrossRef]
- Ahmed, A.I.; Hakam, E.I.; Samra, S.E.; EL-Khouly, A.A.; Khder, A.S. Structural characterization of sulfated zirconia and their catalytic activity in dehydration of ethanol. Colloids Surf. A Physicochem. Eng. Asp. 2008, 317, 62–70. [Google Scholar] [CrossRef]
- Das, B.; Krishnaiah, M.; Laxminarayana, K.; Reddy, K.R. A simple and efficient one-pot synthesis of β-acetamido carbonyl compounds using sulfated zirconia as a heterogeneous recyclable catalyst. J. Mol. Catal. A. Chem. 2007, 270, 284–288. [Google Scholar] [CrossRef]
- Greene, T.W.; Wuts, P.G.M. Protective Groups in Organic Synthesis, 3rd ed; Wiley-Interscience: New York, NY, USA, 1999; p. 306. [Google Scholar]
- Kocienski, P.J. Protecting Groups; Georg Thieme Verlag: Stuttgart, Germany; New York, NY, USA, 1994; pp. 156–164. [Google Scholar]
- Manjula, K.; Pasha, M.A. Rapid and efficient method for the synthesis of acylals from aldehydes and their deprotection catalyzed by p-toluene sulfonic acid. Synth. Commun. 2007, 37, 1563–1569. [Google Scholar] [CrossRef]
- Yin, L.; Zhang, Z.H.; Wang, Y.M. A stable intermediate: a new insight into the mechanism of Lewis acids promoted formation of acylals from aldehydes. Tetrahedron Lett. 2007, 48, 3119–3122. [Google Scholar] [CrossRef]
- Yadav, J.S.; Reddy, B.V.S.; Sreedhar, P.; Kondaji, G.; Nagaiah, K. Mild and efficient conversion of aldehydes to gem-diacetates using 2nd generation ionic liquids. Catal. Commun. 2008, 9, 590–593. [Google Scholar]
- Hajipour, A.R.; Nasreesfahani, Z.; Ruoho, A.E. An efficient and chemoselective synthesis of aldehyde 1,1 diacetate using morpholinum bisulfate as a Brönsted acid ionic liquid under solvent free conditions. Org. Prep. Proc. Int. 2008, 40, 385–391. [Google Scholar] [CrossRef]
- Bhattacharya, A.K.; Mujahid, M.; Natu, A.A. An efficient method for the synthesis of acylals from aldehydes under solvent free conditions catalyzed by antimony trichloride. Synth. Commun. 2008, 38, 128–134. [Google Scholar]
- Ono, F.; Nishioka, K.; Itami, S.; Takenaka, H.; Sato, T. An improved method for the synthesis of allylic gem diacetates from α,β unsatured aldehydes catalyzed by lithiumte trafluoroborate. Chem. Lett. 2008, 37, 1248–1249. [Google Scholar] [CrossRef]
- Wang, M.; Song, Z.; Gong, H.; Jiang, H. Synthesis of 1,1 diacetates using a new combined catalytic system, copper p- toluensulfonate/HOAc. Synth. Commun. 2008, 38, 961–966. [Google Scholar] [CrossRef]
- Kumar, S.; Saini, A.; Sandhu, J.S. Gallium (III) chloride: an efficient catalyst for facile preparation of gem diacetates from aldehydes. ARKIVOC 2007, 14, 27–33. [Google Scholar]
- Hajipour, A.R.; Khazdooz, L.; Ruoho, A.E. Brönsted acidic ionic liquid as an efficient catalyst for chemoselective synthesis of 1,1 diacetates under solvent free. Catal. Commun. 2007, 9, 89–96. [Google Scholar]
- Mirjalili, B.F.; Zolfigol, M.A.; Bamoniri, A.; Amrollahi, M.A.; Sheikhan, N. Chemoselective synthesis of 1,1 diacetates from aldehydes in the presence of Al(HSO4)3 under mild solvent free conditions. Russ. J. Org. Chem. 2007, 43, 852–854. [Google Scholar] [CrossRef]
- Bandgar, B.P.; Joshi, N.S.; Kamble, V.T. A versatile and practical synthesis of 1,1-diacetates fromaldehydes catalyzed by cyanuric chloride. J. Chin. Chem. Soc. 2007, 54, 489–492. [Google Scholar]
- Heravi, M.M.; Bakhtiari, K.; Benmorad, T.; Oskoore, H. V5O4.5H2O A mild and efficient catalyst for chemoselective conversion of aldehydes to 1, 1 diacetates. J. Chin. Chem. Soc. 2007, 54, 273–275. [Google Scholar]
- Sartori, G.; Ballini, R.; Bigi, F.; Bosica, G.; Maggi, R.; Righi, P. Protection and deprotection of functional groups in organic synthesis by heterogeneous catalysis. Chem. Rev. 2004, 104, 199–250. [Google Scholar]
- Desai, U.V.; Thopate, T.S.; Pore, D.M.; Wadgaonkar, P.P. An efficient solvent-free method for the chemoselective synthesis of acylals from aldehydes and their deprotection catalyzed by silica sulfuric acid as a reusable solid acid catalyst. Catal. Commun. 2006, 7, 508–511. [Google Scholar]
- Li, T.S.; Zhang, Z.H.; Fu, C.G. Montmorillonite clay catalysis V: An efficient and facile procedure for deprotection of 1,1-diacetates. Tetrahedron Lett. 1997, 38, 3285–3288. [Google Scholar] [CrossRef]
- Barua, A.; Das, P.J. Solvent free diacetylation of aldehydes using solid acid under microwave irradiation and a simple route to their regeneration. Indian J. Chem. 2008, 47B, 938–941. [Google Scholar]
- Hajipour, A.R.; Zarei, A.; Ruoho, A.E. P2O5/Al2O3 as an efficient heterogeneous catalyst for chemoselective synthesis of 1,1-diacetates under solvent free. Tetrahedron Lett. 2007, 48, 2881–2884. [Google Scholar]
- Romanelli, G.; Dimitroff, P.; Vázquez, P.; Autino, J.C. Chemoselective preparation of 1,1- diacetates of aldehydes, mediated by a Keggin heteropolyacid under solvent free conditions at room temperature. Eur. J. Chem. 2007, 4, 83–89. [Google Scholar]
- Kamble, V.T.; Jamode, V.S.; Joshi, N.S.; Biradar, A.V.; Deshmukh, R.Y. An efficient method for synthesis of acylals from aldehydes using silica supported perchloric acid. Tetrahedron Lett. 2006, 47, 5573–5576. [Google Scholar]
- Khan, A.T.; Choudhury, L.H.; Ghosh, S. Silica supported perchloric acid: A highly efficient and reusable catalyst for germinal diacylation of aldehydes under solvent free conditions. J. Mol. Catal. A.: Chem. 2006, 255, 230–235. [Google Scholar] [CrossRef]
- Jin, T.S.; Zhao, Y.; Gu, S.Q.; Liu, L.B.; Li, T.S. An efficient procedure for the synthesis of 1,1-diacetates from aldehydes with acetic anhydride catalyzed by silica sulfate. Ind. J. Chem. Sec. B Org. Chem. 2006, 45B, 1054–1056. [Google Scholar]
- Kumar, R.; Tiwari, P.; Maulik, P.R.; Misra, A.K. HClO4-SiO2 catalyzed chemoselective synthesis of acylals from aldehydes under solvent free conditions. J. Mol. Catal. A. Chem. 2006, 247, 27–30. [Google Scholar] [CrossRef]
- Hajipour, A.R.; Zarei, A.; Khazdooz, L.; Mirjaili, B.B.; Sheikhan, N.; Zahmatkesh, S.; Ruoho, A.E. Silica sulfuric acid as an efficient heterogeneous catalyst for the synthesis of acylals from aldehydes under solvent free conditions. Synthesis 2005, 20, 3644–3648. [Google Scholar]
- Hydarzadeh, S.; Salavati-Niasari, M. An efficient method for the selective synthesis of germinal diacetates (acylals) from aromatic aldehydes using alumina supported InCl3. J. Mol. Catal. A Chem. 2005, 237, 254–258. [Google Scholar] [CrossRef]
- Reddy, B.M.; Patil, M.K. Organic Syntheses and Transformations Catalyzed by Sulfated Zirconia. Chem. Rev. 2009, 109, 2185–2208. [Google Scholar] [CrossRef]
- Xinhua, Q.; Masaru, W.; Taku, M.A. Sulfated zirconia as a solid acid catalyst for the dehydration of fructose to 5-hydroxymethylfurfural. Catal. Commun. 2009, 10, 1771–1775. [Google Scholar] [CrossRef]
- Murata, M.; Takamiya, N. Method to produce zirconia particles and zirconia transparent dispersion. Jpn. Kokai Tokkyo Koho. 2009, 16. [Google Scholar]
- Reddy, B.M. Reddy, G.K.; Rao, K.N.; Katta, L. Influence of alumina and titania on the structure and catalytic properties of sulfated zirconia: Beckmann rearrangement. J. Mol. Catal. A Chem. 2009, 306, 62–68. [Google Scholar] [CrossRef]
- Negrón, G.; Angeles, D.; Lomas, L.; Martínez, A.; Ramírez, M.; Martínez, R. An efficient synthesis of 6,6 dimethyl-2- (4-nitrophenyl)-1-(R-phenyl)-4,5,6,7-tetrahydro-1H-4-indolones using solid sulphated zirconia catalyst. Heterocycles 2004, 63, 367–372. [Google Scholar]
- Negrón, G.E.; Palacios, L.N. Angeles, B.; Lomas, L.; Gaviño, R. A mild efficient method for chemoselective synthesis of acylals from aromatic aldehydes and their deprotections catalyzed by sulfated zirconia. J. Braz. Chem. Soc. 2005, 16, 490–494. [Google Scholar] [CrossRef]
- Negrón, G.; Angeles, D.; Lomas, L.; Lara, V.H.; Gonzalez, E. Sulfated zirconia-catalyzed synthesis of 3,4-dihydropyrimidin-2(1H)-ones (DHPMs) under solventless conditions. Competitive multicomponent Biginelli vs. Hantzsch reactions. Molecules 2006, 11, 731–738. [Google Scholar] [CrossRef]
- Negrón, G.; Hernández, C.X.; Angeles, D.; Lomas, L.; Gónzalez, E.; Méndez, J. Comparative study of regioselective synthesis of beta-aminoalcohols under solventless conditions catalyzed by sulfated zirconia and SZ/MCM-41. Molecules 2007, 12, 2515–2532. [Google Scholar] [CrossRef]
- Negrón, G.; Hernández, C.X.; Angeles, D.; Lomas, L.; Gónzalez, E.; Méndez, J. Microwave-enhanced sulphated zirconia and SZ/MCM-41 catalyzed regioselective synthesis of beta-amino alcohols under solvent-free conditions. Molecules 2008, 13, 977–985. [Google Scholar] [CrossRef]
- Zane, F.; Melada, S.; Signoretto, M.; Pinna, S. Active and recyclable sulphated zirconia catalysts for the acylation of aromatic compounds. Appl. Catal. A. 2006, 299, 137–144. [Google Scholar]
- Yang, X.; Jentoft, F.C.; Girgsdies, F.; Ressler, T. Sulfated zirconia with ordered mesopores as an active catalyst for n-butane isomerization. Catal. Lett. 2002, 81, 25–31. [Google Scholar]
- Webb, P.A.; Orr, C. Analytical Methods in Fine Particle; Technology Micrometrics Instrument Corporation Norcross: Georgia, USA, 1997; p. 301. [Google Scholar]
- Kulkarni, V.S.; Hosangadi, B.D. A facile synthesis of anhydro dimers of o-hydroxybenzaldehydes. Synth. Commun. 1986, 16, 191–193. [Google Scholar] [CrossRef]
- Ragot, J.P.; Prime, M.E.; Archibald, S.J.; Taylor, R.J.K. A novel route to Preussomerins via 2-Arylacetal anions. Org. Lett. 2000, 2, 1613–1616. [Google Scholar]
- Adams, R.; Fogler, M.F.; Kreger, W. The structure of disalicyl aldehydes. J. Am. Chem. Soc. 1922, 44, 1126–1133. [Google Scholar] [CrossRef]
- Jones, P.R.; Gelinas, R.M. The first spectral confirmation for the structures of anhydro dimers of o-hydroxybenzaldehydes. J. Org. Chem. 1981, 46, 194–196. [Google Scholar] [CrossRef]
© 2009 by the authors; licensee Molecular Diversity Preservation International, Basel, Switzerland. This article is an open access article distributed under the terms and conditions of the Creative Commons Attribution license ( http://creativecommons.org/licenses/by/3.0/).
Share and Cite
Palacios-Grijalva, L.N.; Cruz-González, D.Y.; Lomas-Romero, L.; González-Zamora, E.; Ulibarri, G.; Negrón-Silva, G.E. Sulphated Zirconia as an Eco-Friendly Catalyst in Acylal Preparation under Solvent-Free Conditions, Acylal Deprotection Assisted by Microwaves, and the Synthesis of Anhydro-Dimers of o-Hydroxybenzaldehydes. Molecules 2009, 14, 4065-4078. https://doi.org/10.3390/molecules14104065
Palacios-Grijalva LN, Cruz-González DY, Lomas-Romero L, González-Zamora E, Ulibarri G, Negrón-Silva GE. Sulphated Zirconia as an Eco-Friendly Catalyst in Acylal Preparation under Solvent-Free Conditions, Acylal Deprotection Assisted by Microwaves, and the Synthesis of Anhydro-Dimers of o-Hydroxybenzaldehydes. Molecules. 2009; 14(10):4065-4078. https://doi.org/10.3390/molecules14104065
Chicago/Turabian StylePalacios-Grijalva, Laura Nadxieli, Deysi Y. Cruz-González, Leticia Lomas-Romero, Eduardo González-Zamora, Gerardo Ulibarri, and Guillermo E. Negrón-Silva. 2009. "Sulphated Zirconia as an Eco-Friendly Catalyst in Acylal Preparation under Solvent-Free Conditions, Acylal Deprotection Assisted by Microwaves, and the Synthesis of Anhydro-Dimers of o-Hydroxybenzaldehydes" Molecules 14, no. 10: 4065-4078. https://doi.org/10.3390/molecules14104065
APA StylePalacios-Grijalva, L. N., Cruz-González, D. Y., Lomas-Romero, L., González-Zamora, E., Ulibarri, G., & Negrón-Silva, G. E. (2009). Sulphated Zirconia as an Eco-Friendly Catalyst in Acylal Preparation under Solvent-Free Conditions, Acylal Deprotection Assisted by Microwaves, and the Synthesis of Anhydro-Dimers of o-Hydroxybenzaldehydes. Molecules, 14(10), 4065-4078. https://doi.org/10.3390/molecules14104065













































