Sign in to use this feature.

Years

Between: -

Subjects

remove_circle_outline
remove_circle_outline
remove_circle_outline
remove_circle_outline
remove_circle_outline
remove_circle_outline
remove_circle_outline
remove_circle_outline
remove_circle_outline

Journals

remove_circle_outline
remove_circle_outline
remove_circle_outline
remove_circle_outline
remove_circle_outline
remove_circle_outline
remove_circle_outline
remove_circle_outline
remove_circle_outline
remove_circle_outline
remove_circle_outline

Article Types

Countries / Regions

remove_circle_outline
remove_circle_outline
remove_circle_outline
remove_circle_outline

Search Results (800)

Search Parameters:
Keywords = regioselective

Order results
Result details
Results per page
Select all
Export citation of selected articles as:
35 pages, 7461 KB  
Article
DBU-Mediated Diastereoselective (3+2)-Cycloaddition of Isatin Ketonitrones and Coumarins to Construct Coumarin-Fused Spiropyrolidine Oxoindoles
by Lan Ma, Qian Zhong, Zixin Zhang, Ruyi Zhou, Chunyan Long, Wanbing Wu, Sicheng Li, Qiao He and Guizhou Yue
Molecules 2026, 31(8), 1303; https://doi.org/10.3390/molecules31081303 - 16 Apr 2026
Viewed by 305
Abstract
The synthesis of novel dicyclic spiropyrrolidine oxoindole derivatives is described. This approach relies on a (3+2)-cycloaddition reaction between coumarins and isatin ketonitrone 1,3-dipoles, which were formed in situ by condensation of various substituted isatins with arylhydroxylamines. The corresponding pentacyclic products, featuring four contiguous [...] Read more.
The synthesis of novel dicyclic spiropyrrolidine oxoindole derivatives is described. This approach relies on a (3+2)-cycloaddition reaction between coumarins and isatin ketonitrone 1,3-dipoles, which were formed in situ by condensation of various substituted isatins with arylhydroxylamines. The corresponding pentacyclic products, featuring four contiguous stereocenters—including two quaternary carbon stereocenters fused within a single ring system—were obtained smoothly in moderate to excellent yields (22–98%), with high regioselectivity (α and exo type) and diastereoselectivity (>20:1 dr). Over 45 examples of the synthesized compounds were fully characterized using a range of spectroscopic techniques, including single-crystal X-ray diffraction, FTIR, NMR, and mass spectrometry. Full article
(This article belongs to the Special Issue Feature Papers in Organic Chemistry—Third Edition)
Show Figures

Figure 1

16 pages, 557 KB  
Review
Recent Progress in the Regioselective Biotransformation and Multitarget Therapeutic Potential of Ginsenoside Rd
by Xingang Shen, Kun Ming, Hongjiao Shi, Jiawei Li, Ye Yang, Wenping Zhang, Xiuming Cui and Xiaoyan Yang
Molecules 2026, 31(7), 1201; https://doi.org/10.3390/molecules31071201 - 4 Apr 2026
Viewed by 329
Abstract
Ginsenoside Rd, a protopanaxadiol (PPD)-type tetracyclic triterpenoid saponin, has emerged as a promising bioactive constituent for multitarget therapeutic interventions. However, its natural abundance in the source plant is extremely low, making direct extraction both costly and inefficient. This review systematically summarizes the latest [...] Read more.
Ginsenoside Rd, a protopanaxadiol (PPD)-type tetracyclic triterpenoid saponin, has emerged as a promising bioactive constituent for multitarget therapeutic interventions. However, its natural abundance in the source plant is extremely low, making direct extraction both costly and inefficient. This review systematically summarizes the latest research progress on regioselective biotransformation strategies for Rd production since 2022. Furthermore, it comprehensively reviews recent advances in the diverse pharmacological activities of Rd. Beyond its well-recognized neuroprotective effects against neurological disorders including Alzheimer’s disease and Parkinson’s disease, we also highlight its antitumor activity and multitarget protective effects in liver diseases. This review provides a theoretical basis for developing Rd as a high-value nutraceutical and therapeutic candidate for systemic health. Full article
Show Figures

Graphical abstract

16 pages, 1298 KB  
Article
Inverting the Regioselectivity of 1,3-Dipolar Cycloaddition Reaction Between Nitrones and Enal Derivatives
by Yuki Maeda, Yoshimitsu Hashimoto, Yuriko Oshita, Sayuri Yuhara, Osamu Tamura and Nobuyoshi Morita
Reactions 2026, 7(2), 26; https://doi.org/10.3390/reactions7020026 - 2 Apr 2026
Viewed by 320
Abstract
The 1,3-dipolar cycloaddition of nitrones with hydrazones affords 5-iminoisoxazolidines as the major products, in contrast to the reaction with enals, which exclusively afford 4-acylisoxazolidines. This reversal of regioselectivity can be explained in terms of frontier orbital theory. The 5-iminoisoxazolidines are easily converted to [...] Read more.
The 1,3-dipolar cycloaddition of nitrones with hydrazones affords 5-iminoisoxazolidines as the major products, in contrast to the reaction with enals, which exclusively afford 4-acylisoxazolidines. This reversal of regioselectivity can be explained in terms of frontier orbital theory. The 5-iminoisoxazolidines are easily converted to 5-acylisoxazolidines. Full article
Show Figures

Graphical abstract

18 pages, 8013 KB  
Article
A “Goldilocks Zone” in Bilayer Cobalt Phthalocyanine: Optimizing Confinement for Efficient CO2RR
by Longlei Yin, Dongdong Qi, Tianyu Wang and Jianzhuang Jiang
Catalysts 2026, 16(4), 328; https://doi.org/10.3390/catal16040328 - 2 Apr 2026
Viewed by 586
Abstract
In this study, the electrochemical reduction of CO2 to CO within a bilayer cobalt phthalocyanine (CoPc)2 confinement system was systematically investigated using density functional theory (DFT). The results reveal that the (CoPc)2 architecture creates a well-defined catalytic microenvironment, in which [...] Read more.
In this study, the electrochemical reduction of CO2 to CO within a bilayer cobalt phthalocyanine (CoPc)2 confinement system was systematically investigated using density functional theory (DFT). The results reveal that the (CoPc)2 architecture creates a well-defined catalytic microenvironment, in which the synergy between vertical spacing (regulated by moderate interlayer interactions) and lateral displacement gives rise to an optimal “Goldilocks zone”. This zone is characterized by a vertical distance (D) of 4.25–4.5 Å and a parallel displacement (L) of approximately 1 Å. Within this confined environment, the adsorption and desorption of key intermediates are optimally balanced, leading to enhanced catalytic activity. Electronic structure analysis further demonstrates that such spatial confinement induces asymmetric charge redistribution in the CO2 molecule, resulting in distinct regioselectivity. This work provides a general design strategy for developing high-performance and site-selective catalysts through precise engineering of interlayer geometric environments. Full article
(This article belongs to the Section Computational Catalysis)
Show Figures

Graphical abstract

27 pages, 3286 KB  
Article
Gold-Catalyzed Hydrothiolation of Alkenes and Allenes with Thiols
by Akiya Ogawa, Taichi Tamai, Keiko Fujiwara, Ryo Tanaka, Daichi Kurata and Yuki Yamamoto
Chemistry 2026, 8(4), 38; https://doi.org/10.3390/chemistry8040038 - 25 Mar 2026
Viewed by 331
Abstract
The reaction mechanism of the gold-catalyzed hydrothiolation of alkenes (1) with thiols (2) has been investigated in detail. The tetranuclear gold complex, (PPh3)4Au4(SPh)2(NTf)2 (A), is a key intermediate [...] Read more.
The reaction mechanism of the gold-catalyzed hydrothiolation of alkenes (1) with thiols (2) has been investigated in detail. The tetranuclear gold complex, (PPh3)4Au4(SPh)2(NTf)2 (A), is a key intermediate in the catalytic hydrothiolation of alkenes. It forms instantaneously when PPh3AuNTf2 and PhSH are mixed in THF. Monitoring the reaction over time using 31P NMR spectroscopy revealed that gold complex A remained stable in the reaction system throughout the hydrothiolation process. In addition, we successfully observed a rapid ligand-exchange reaction between the thiolate group of gold complex A and thiols in solution. The gold-catalyzed alkene hydrothiolation reaction has been applied to the catalytic hydrothiolation of allenes, which have degenerate double bonds. Hydrothiolation of allenes proceeded regioselectively at the terminal double bond. However, the yield was lower than that observed for alkenes, and catalyst deactivation occurred. The hydrothiolation products of allenes were difficult to detach from the gold catalyst, necessitating an increase in the reaction temperature. Since high periodic transition metals such as gold and platinum are effective for hydrothiolation of alkenes and allenes, it is interesting to clarify whether iridium complexes, which belong to the same period as gold and platinum, could also catalyze alkene hydrothiolation. Through a detailed investigation of iridium ligands and reaction conditions, it was found that, in iridium systems, disulfide formation via oxidative coupling of thiols occurs preferentially over hydrothiolation reactions. This is likely due to steric hindrance around the iridium center, which inhibits alkene coordination to the iridium. Additionally, the hydrothiolation proceeding at low yields is believed to be a radical reaction involving electron transfer through the iridium complex. Full article
(This article belongs to the Special Issue Celebrating the 50th Anniversary of Professor Valentine Ananikov)
Show Figures

Figure 1

36 pages, 5118 KB  
Review
Alkenylidenecyclopropanes (ACPs) as Three-Carbon Synthons in Transition-Metal-Catalyzed Cycloadditions
by Lixiang Xia, Yi Wang, Gaolei Xie and Juanjuan Wang
Catalysts 2026, 16(4), 287; https://doi.org/10.3390/catal16040287 - 24 Mar 2026
Viewed by 545
Abstract
Alkenylidenecyclopropanes (ACPs) have emerged as versatile and highly reactive building blocks in transition-metal-catalyzed transformations. Their strained cyclopropane framework, combined with an exocyclic alkene, enables diverse bond-activation pathways and promotes efficient cycloaddition reactions. In recent years, ACPs have been widely developed as three-carbon synthons [...] Read more.
Alkenylidenecyclopropanes (ACPs) have emerged as versatile and highly reactive building blocks in transition-metal-catalyzed transformations. Their strained cyclopropane framework, combined with an exocyclic alkene, enables diverse bond-activation pathways and promotes efficient cycloaddition reactions. In recent years, ACPs have been widely developed as three-carbon synthons in a variety of higher-order cycloadditions. This review provides a systematic overview of transition-metal-catalyzed ACP transformations, focusing on their applications in [3+2], [3+2+2], [3+2+1], [4+3], and [4+3+2] cycloaddition reactions with reaction partners such as alkenes, alkynes, carbonyl compounds, imines, dienes, and carbon monoxide. Particular attention is given to mechanistic aspects, including cyclopropane ring-opening processes and the formation of key metal–carbene and π-allyl intermediates that govern reactivity and selectivity. Factors influencing regioselectivity, stereoselectivity, and catalyst design are also discussed. The synthetic potential of ACP chemistry is illustrated through representative applications in the total synthesis of complex natural products, such as pyrovellerolactone and (+)-zizaene. Overall, this review highlights recent advances in ACP-based cycloaddition strategies and emphasizes their growing significance in modern synthetic chemistry. Full article
(This article belongs to the Section Catalysis in Organic and Polymer Chemistry)
Show Figures

Graphical abstract

27 pages, 4653 KB  
Article
Pyridinium-Fused 1,3-Selenazoles via Cyclizations of 2-Pyridylselenyl Chloride with Alkynes: Synthesis, Structures, and Antifungal Properties
by Evgeny A. Dukhnovsky, Alexey S. Kubasov, Olga G. Chusova, Victor N. Khrustalev, Alexander V. Borisov, Francis Verpoort, Rosa M. Gomila, Antonio Frontera, Zhishen Ge and Alexander G. Tskhovrebov
Int. J. Mol. Sci. 2026, 27(6), 2908; https://doi.org/10.3390/ijms27062908 - 23 Mar 2026
Viewed by 382
Abstract
We report a straightforward and versatile synthetic route to pyridinium-fused 1,3-selenazoles via the electrophilic cyclization of 2-pyridylselenyl chloride with alkynes. The reaction proceeds efficiently under mild conditions with representative terminal and internal alkynes. While the cyclization exhibits high regioselectivity favoring the 3-substituted isomer [...] Read more.
We report a straightforward and versatile synthetic route to pyridinium-fused 1,3-selenazoles via the electrophilic cyclization of 2-pyridylselenyl chloride with alkynes. The reaction proceeds efficiently under mild conditions with representative terminal and internal alkynes. While the cyclization exhibits high regioselectivity favoring the 3-substituted isomer for most substrates, reactions with 2-pyridyl- and 2-quinolylacetylenes yield regioisomeric mixtures. DFT calculations rationalize this divergence, revealing a competition between kinetic and thermodynamic control; the 3-isomer is kinetically favored, while the 2-isomer is thermodynamically stabilized by an ancillary chalcogen bond between the selenium atom and the pyridine nitrogen of the alkyne substituent. Molecular structures were confirmed by single-crystal X-ray diffraction, and the non-covalent interactions governing supramolecular assembly in the solid state were rigorously analyzed using MEP surfaces, the QTAIM, and NBO analysis. Antifungal evaluation identified several compounds with notable activity against phytopathogenic fungi, highlighting the potential of this novel heterocyclic scaffold in agrochemical applications. Full article
Show Figures

Figure 1

18 pages, 1064 KB  
Article
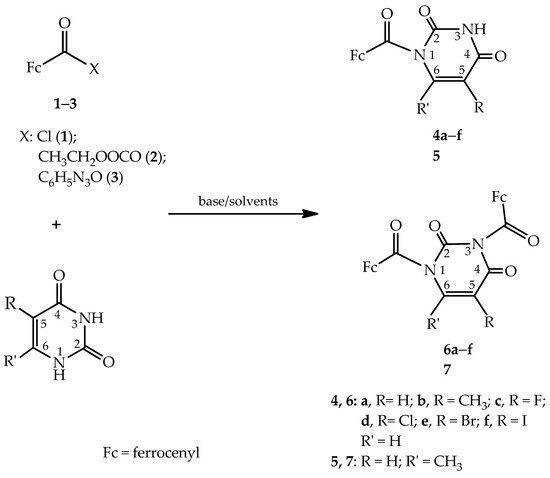
Ferrocenoylation of Uracil Derivatives: Study of Reaction Regioselectivity and Biological Activity
by Jasmina Lapić, Ivana Kuzman, Ruža Frkanec, Leo Frkanec and Senka Djaković
Molecules 2026, 31(6), 1054; https://doi.org/10.3390/molecules31061054 - 23 Mar 2026
Viewed by 374
Abstract
The N-ferrocenoylation of uracil was studied to evaluate regioselectivity and optimise preparation protocols. Regioselectivity was monitored under various reaction conditions, with particular attention paid to the effects of the solvent and the base. Reactions in DMF were regiospecific, yielding only the N [...] Read more.
The N-ferrocenoylation of uracil was studied to evaluate regioselectivity and optimise preparation protocols. Regioselectivity was monitored under various reaction conditions, with particular attention paid to the effects of the solvent and the base. Reactions in DMF were regiospecific, yielding only the N1 product, while reactions in CH3CN produced both N1 and N1/N3 products, with ratios depending on the reaction conditions. The highest yield of N1/N3-diferrocenoyl uracil was achieved with an extended reaction time of 90 min using uracil and triethylamine. Optimised conditions were applied to C5-uracil derivatives, producing N1 and N1/N3 products. Regioselectivity and N-substitution were confirmed by NMR, and solvent effects were supported by quantum chemical calculations. The resulting ferrocene–pyrimidine conjugates exhibited oxidative and immunomodulatory activity, highlighting their biological potential. Full article
(This article belongs to the Special Issue Ligand Binding to DNA and RNA, 2nd Edition)
Show Figures

Figure 1

20 pages, 4974 KB  
Article
Regioselective Stepwise Synthesis of Unsymmetrical 1,2,5-Triarylpyrroles via Palladium-Catalyzed Decarboxylative Cross-Coupling and C–H Arylation
by Cindy Buonomano, Stephanie Patterson, Judith Sorel Ngou, Cynthia Messina, Sarah Taylor, François Bilodeau and Pat Forgione
Molecules 2026, 31(6), 986; https://doi.org/10.3390/molecules31060986 - 15 Mar 2026
Viewed by 460
Abstract
Pyrrole derivatives are natural organic molecules that are important to the pharmaceutical industry due to their occurrence in nature and their use in a wide range of medical applications. In general, non-symmetric, 1,2,5-triaryl-substituted pyrroles are prepared either by Paal–Knorr condensation or cycloaddition that [...] Read more.
Pyrrole derivatives are natural organic molecules that are important to the pharmaceutical industry due to their occurrence in nature and their use in a wide range of medical applications. In general, non-symmetric, 1,2,5-triaryl-substituted pyrroles are prepared either by Paal–Knorr condensation or cycloaddition that present synthetic challenges particularly if late-stage functionalization is required. The present study describes a modular approach to synthesizing 1,2,5-triarylpyrroles containing three different arene substituents. Using pyrrole ester building blocks, a sequence of decarboxylative cross-coupling and C–H arylation provides unsymmetrical 1,2,5-triarylpyrroles in a regioselective, stepwise manner; the scope and limitations of the sequence are disclosed. Full article
Show Figures

Figure 1

13 pages, 2522 KB  
Article
Cavitand-Mediated Photodimerization of Chalcones: The Effect of Supramolecular Influences and Temperature on Reaction Selectivity
by Joydip Chatterjee, Mahesh Pattabiraman, Debajit Chakraborty, Aleksander L. Wysocki and Frank Kovacs
Molecules 2026, 31(6), 983; https://doi.org/10.3390/molecules31060983 - 15 Mar 2026
Viewed by 361
Abstract
The photocycloaddition (PCA) of chalcones represents an important reaction pathway for accessing substituted cyclobutanes, which is a molecular framework with utility in synthetic chemistry, materials science, and medicine. In the past, our group has demonstrated the utility of the large cavity of γ-CD [...] Read more.
The photocycloaddition (PCA) of chalcones represents an important reaction pathway for accessing substituted cyclobutanes, which is a molecular framework with utility in synthetic chemistry, materials science, and medicine. In the past, our group has demonstrated the utility of the large cavity of γ-CD as a container for encapsulating two photo reactants for directing the PCA of several classes of aryl alkenes with high stereo- and regioselectivity: the cavitand-mediated photodimerization (CMP) approach. The CMP of chalcones reported in this work further demonstrates the effectiveness of this approach as high yields of dimers were observed in the photoreactions, while they were non-reactive in the solid state and yielded only the isomerization product in homogeneous media. The γ-CD CMP of chalcones yielded predominantly dimerized products in very good to high yields (>70%), composed of a mixture of three dimers in different proportions with syn HH as the major product. Computational analysis of the ground state complex structures revealed a strong correlation between the stability of the complex and predominance of the stereoisomer in the mixture. Further insights were deduced from temperature-dependence studies, which showed a shift in dimer selectivity tending towards a single stereoisomer. Full article
(This article belongs to the Special Issue Recent Advances in Supramolecular and Surface Photochemistry)
Show Figures

Figure 1

16 pages, 1173 KB  
Proceeding Paper
Electrochemical Synthesis of Ortho- and Para-Hydroxybenzoic Acids Using CO2: Experimental and Simulation-Based Optimization
by Bekzod Eshkulov and Ruzimurod Jurayev
Eng. Proc. 2025, 117(1), 63; https://doi.org/10.3390/engproc2025117063 - 13 Mar 2026
Viewed by 244
Abstract
The electrochemical conversion of CO2 into value-added aromatic carboxylic acids represents an emerging route for carbon utilization. This work investigates the regioselective electrochemical synthesis of ortho- and para-hydroxybenzoic acids (o-HBA and p-HBA) from CO2 using a stirred batch cell, supported by [...] Read more.
The electrochemical conversion of CO2 into value-added aromatic carboxylic acids represents an emerging route for carbon utilization. This work investigates the regioselective electrochemical synthesis of ortho- and para-hydroxybenzoic acids (o-HBA and p-HBA) from CO2 using a stirred batch cell, supported by a phenomenological Aspen Plus (version 12) model to assess process-level behavior. Experiments conducted at −1.2 V vs. Ag/AgCl, 3 atm CO2, and 50 °C achieved yields of 58.4 ± 2.1% for o-HBA and 40.2 ± 1.6% for p-HBA, with a combined selectivity of 64.8%. Faradaic efficiencies were 76.2% (o-HBA) and 66.8% (p-HBA). A complete carbon balance, including dissolved inorganic carbon species, was established, demonstrating a single-pass CO2 conversion of 42.6% and an overall conversion of 74.8% when the recycle loop was considered. Aspen Plus simulations based on ELECNRTL(Electrolyte Non-Random Two-Liquid model) thermodynamics and RYield fitting reproduced qualitative trends but underpredicted yields (21% and 9% for o- and p-HBA, respectively), reflecting the limitations of non-kinetic modeling. Sensitivity analyses confirmed that both electrolysis temperature and electrolyte concentration substantially influence yields and purity. This work provides reproducible electrochemical data, process-level mass balances, and a validated phenomenological simulation framework for future scale-up studies. Full article
(This article belongs to the Proceedings of The 4th International Electronic Conference on Processes)
Show Figures

Graphical abstract

68 pages, 9359 KB  
Review
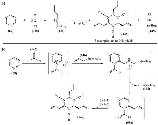
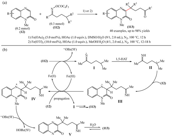
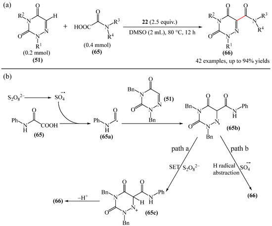
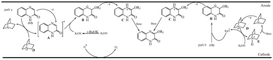
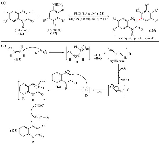
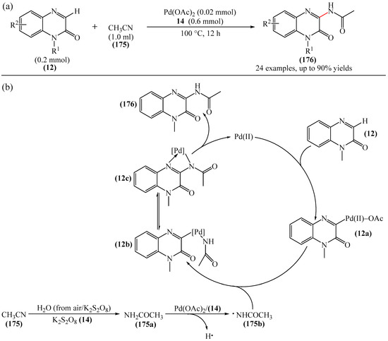
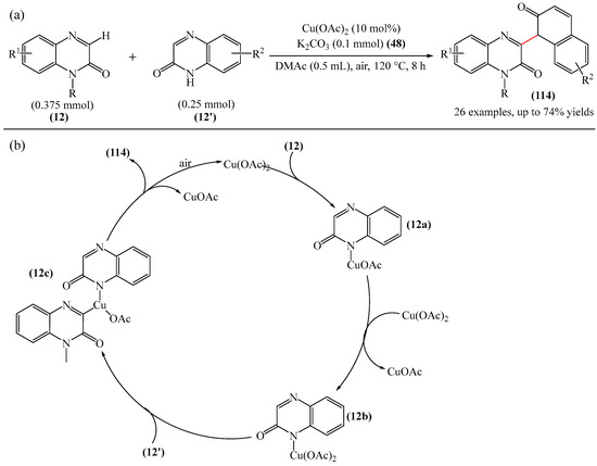
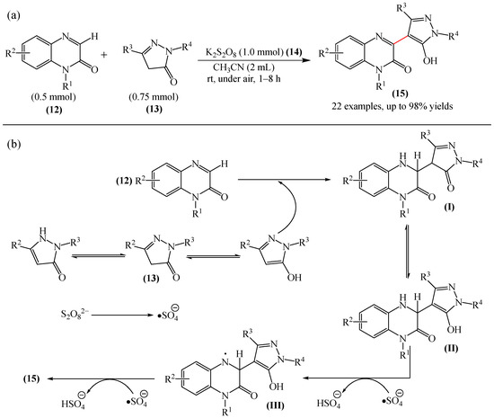
Efficient Approaches to Six-Membered Polyazacyclic Compounds—Part 3: C—H Functionalization of Heterocycles
by Yuliya Yu. Titova and Andrey V. Ivanov
Molecules 2026, 31(6), 959; https://doi.org/10.3390/molecules31060959 - 12 Mar 2026
Viewed by 638
Abstract
The review summarizes the literature data on the C−H functionalization of six-membered polyaza heterocycles, specifically diazine and triazine skeletons, which are important in medicine and pharmacology, as examples. The analysis covers the works published mainly over the last 20 years. The review focuses [...] Read more.
The review summarizes the literature data on the C−H functionalization of six-membered polyaza heterocycles, specifically diazine and triazine skeletons, which are important in medicine and pharmacology, as examples. The analysis covers the works published mainly over the last 20 years. The review focuses on strategies involving the use of transition metal-based catalysts or organic oxidants, where the nature of the N-heterocycles and the substrate molecules can be exploited to control regioselectivity. Each of these strategies has certain advantages as well as serious disadvantages and limitations. In addition to the experimental procedures, mechanistic schemes are discussed to provide a deeper understanding of the reactions described. The material presented allows us to draw the unambiguous conclusion that C−H bond functionalization processes are of crucial importance in the synthesis of molecules that exhibit a wide range of biological activity. Full article
Show Figures

Figure 1

11 pages, 7199 KB  
Article
Efficient Microwave-Assisted Palladium-Catalyzed Selective N-Arylation of Anilines with 2,3-Dihalopyridines in Water
by Hao-Chun Hu, Cheng-Yi Chen and Shyh-Chyun Yang
Materials 2026, 19(5), 1003; https://doi.org/10.3390/ma19051003 - 5 Mar 2026
Viewed by 387
Abstract
Under aqueous conditions, transition-metal catalysis offers an attractive platform for greener C–N bond formation by reducing reliance on hazardous organic solvents. Herein, we report a microwave-assisted palladium-catalyzed selective N-arylation of anilines with 2,3-dihalopyridines in water. Systematic optimization revealed that a catalyst system [...] Read more.
Under aqueous conditions, transition-metal catalysis offers an attractive platform for greener C–N bond formation by reducing reliance on hazardous organic solvents. Herein, we report a microwave-assisted palladium-catalyzed selective N-arylation of anilines with 2,3-dihalopyridines in water. Systematic optimization revealed that a catalyst system comprising PdCl2(1,10-phenanthroline)2 and (±)-BINAP in the presence of K3PO4 enables efficient coupling under microwave irradiation. Under the optimized conditions (PdCl2(1,10-Phenanthroline)2, 2 mol%; (±)-BINAP, 3 mol%; K3PO4, 3.5 equiv; H2O, 2.5 mL; 150 °C; 30 min), the coupling of aniline with 2,3-dichloropyridine afforded the corresponding aminopyridine product in up to 91% isolated yield. The method was extended to various 2,3-dihalopyridines and substituted anilines, providing moderate to excellent yields with good regioselectivity. Mechanistically, the transformation is consistent with a Pd(0)/Pd(II) catalytic cycle involving oxidative addition, amido complex formation, and reductive elimination. Full article
Show Figures

Graphical abstract

13 pages, 861 KB  
Article
Valorization of Used Frying Oils via Enzymatic Alcoholysis
by Abderrahim Bouaid
Sustain. Chem. 2026, 7(1), 12; https://doi.org/10.3390/suschem7010012 - 24 Feb 2026
Viewed by 524
Abstract
In this paper, batch stirred-tank alcoholysis reactions of used and refined sunflower oils were performed with n-octyl, myristyl, cetyl, oleyl, and stearyl alcohols using immobilized lipases Novozym 435 and Lipozyme IM as catalysts. Alcohol conversions ranged from 74% to 94%, with slight differences [...] Read more.
In this paper, batch stirred-tank alcoholysis reactions of used and refined sunflower oils were performed with n-octyl, myristyl, cetyl, oleyl, and stearyl alcohols using immobilized lipases Novozym 435 and Lipozyme IM as catalysts. Alcohol conversions ranged from 74% to 94%, with slight differences between used frying sunflower oil and refined sunflower oil. The resulting wax esters were purified via stepwise column chromatography. The different regioselectivity of the biocatalysts led to distinct reaction pathways, and Novozym 435 proved to be the most effective enzyme, providing higher conversions and no detectable by-products. This study demonstrates the valorization of waste frying oils into high-value wax esters through enzymatic alcoholysis, comparing two industrially relevant immobilized lipases and achieving high conversion across multiple long-chain alcohols. The results highlight a sustainable alternative to conventional chemical catalysis and extend biocatalytic applications beyond traditional biodiesel production. By incorporating waste lipids into value-added products, the overall sustainability and circularity of the system are improved, contributing to green and sustainable chemistry. Full article
Show Figures

Figure 1

43 pages, 5068 KB  
Review
Noble Metal-Catalyzed C–H Activation and Functionalization: Mechanistic Foundations and Emerging Electrochemical Strategies
by Najoua Sbei, Suzan Makawi and Seyfeddine Rahali
Catalysts 2026, 16(2), 200; https://doi.org/10.3390/catal16020200 - 23 Feb 2026
Viewed by 876
Abstract
Noble metal-catalyzed C–H activation has transformed synthetic methodology by enabling direct modification of inert C–H bonds with high levels of efficiency, selectivity, and functional group tolerance. This mini-review provides a focused overview of the mechanistic foundations and emerging advances in C–H functionalization mediated [...] Read more.
Noble metal-catalyzed C–H activation has transformed synthetic methodology by enabling direct modification of inert C–H bonds with high levels of efficiency, selectivity, and functional group tolerance. This mini-review provides a focused overview of the mechanistic foundations and emerging advances in C–H functionalization mediated by ruthenium, iridium, rhodium and palladium catalysts. Key activation modes including oxidative addition, concerted metalation deprotonation (CMD), and electrophilic pathways are discussed alongside the roles of high-valent intermediates and ligand control in determining reactivity and regioselectivity. Special emphasis is placed on recent electrochemical strategies, where anodic oxidation replaces traditional chemical oxidants, granting access to unique redox manifolds and expanding the scope of C–C, C–N, C–O, and C–X bond-forming reactions. Representative transformations highlight the versatility of noble metals in constructing heterocycles, enabling enantioselective processes, and facilitating late-stage functionalization of complex molecules. Current challenges and future perspectives are outlined, including the need for improved nondirected activation, deeper mechanistic insight, and enhanced scalability. Collectively, this review underscores the central role of noble metals in advancing sustainable and innovative C–H functionalization chemistry. Full article
Show Figures

Graphical abstract

Back to TopTop