Abstract
The synthesis of a set of 1-aryl-2-aryl(3-pyridyl)ethanones 1-5 and the corresponding ketoximes 6-9 is reported. Structural studies of oximes 6, 7 and 9 were performed in solution using 1H-NMR and in the solid state by X-ray crystallography, providing evidence of H-bonding networks. The crystal packing was controlled by homomeric intermolecular oxime···oxime H-bond interactions for 6 and cooperative oxime···N(pyridyl) and CH/π interactions for 7 and 9.
Introduction
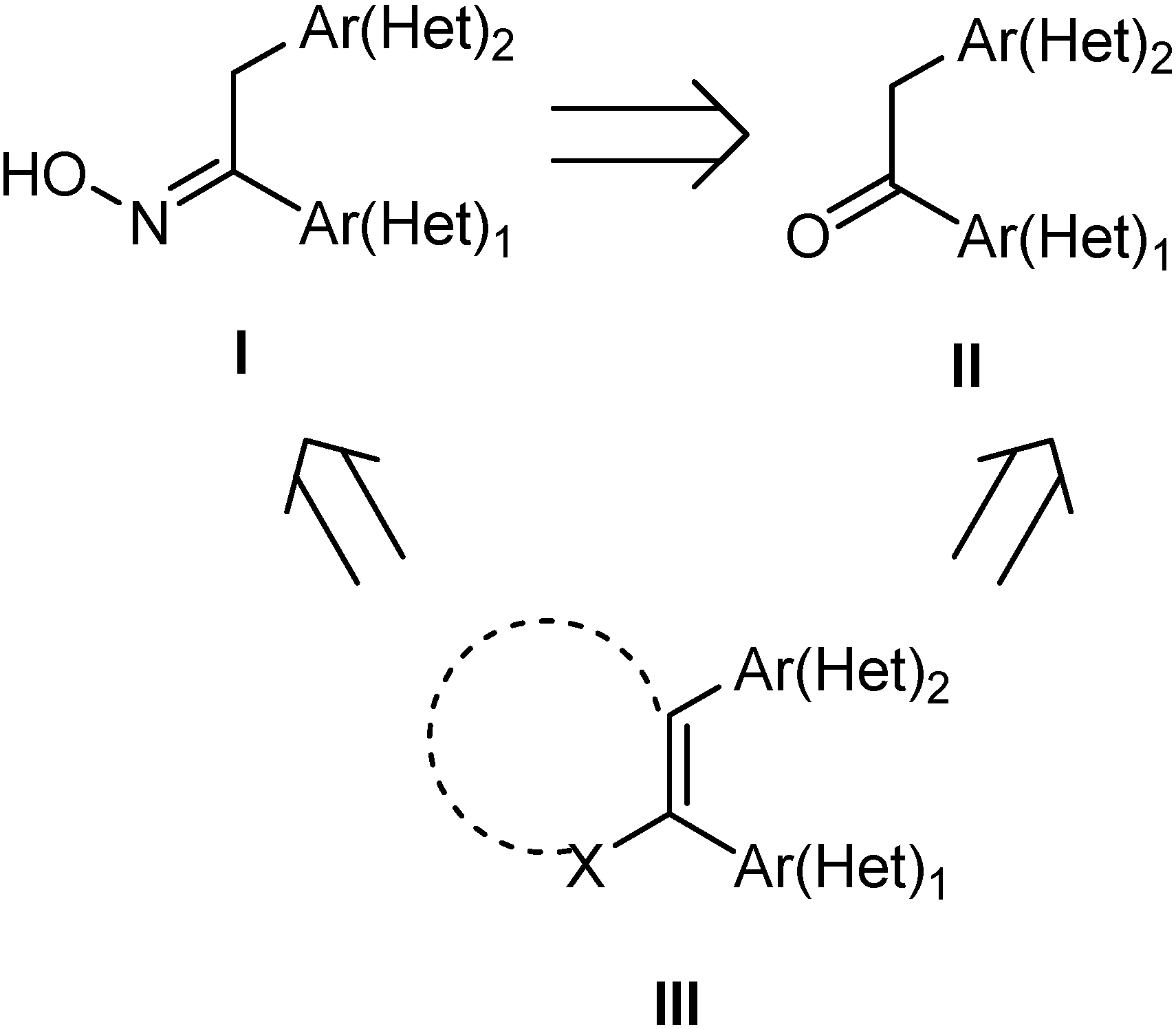
1,2-Disubstituted ethanones are valuable synthetic intermediates for a broad array of bioactive molecules, both natural and synthetic [1,2,3]. One relevant use of oximes I and ethanones II is in the preparation of pharmaceutically useful vicinal diaryl(heteroaryl)-substituted heterocycles III (Scheme 1). For example, highly selective COX-2 inhibitors have been developed in which the heterocyclic core is an oxazole, isoxazole and pyridine, among others, i.e. Tilmacoxib [4a], Valdecoxib [4b] and Etoricoxib [3,5].
In parallel, hydrogen bonds [6,7] are the main driving forces for oxime non-covalent interactions and oxime functionality can be stereoelectronically adjusted for precise directed assembly of homomeric intermolecular oxime···oxime and oxime···N-heterocycle molecular motifs [8,9,10]. Moreover, the CH/π hydrogen bonds [11] are weaker intermolecular hydrogen bond interactions that modulate the crystal packing of molecules and their self-assembly.
Scheme 1.
Scheme 1.

The present study examines several examples of 1-aryl-2-aryl(3-pyridyl)ethanones 1-5 and the corresponding ketoximes 6-9 (Figure 1).
Figure 1.
Figure 1.

Distinct methodologies for the preparation of diarylethanones II could lead to compounds 1 and 2, whereas for 1-aryl-2-(3-pyridyl)ethanones 3-5, the synthetic protocols were limited by the presence of a 3-pyridyl moiety. By coupling of acid chlorides with organozinc bromides in the presence of CuCN/LiBr, compounds 1 and 2 were directly obtained, whereas ethanones 3-5 were prepared following a modified two-step Horner-Wittig reaction protocol.
The structural properties of oximes 6-9 are discussed with the data obtained in solution by 1H-NMR and in the solid state by X-ray crystallography of compounds 6, 7 and 9. Crystal packing was mainly governed by hydrogen bond networks based on homomeric intermolecular oxime···oxime interactions for 6. The oxime and pyridyl structural motifs present in oximes 7 and 9 driven their self-assembly through intermolecular oxime···N-heterocycle and CH/π interactions.
Results and Discussion
Synthesis
Different synthetic protocols have been developed for syntheses of 1,2-diarylethanones [1,4,12] and for 1-substituted-2-azinylethanones [1b] each of which has its own area of application. Moreover, both the 2-aryl-1-(3-pyridyl)ethanones [Ar-CH2-CO-(3-Py)] [3,5] and their isomers [Ar-CO-CH2-(3-Py)] [13] have received far less attention, probably due to the presence of the 3-pyridyl group which may limit their synthetic accessibility. A widely used pathway for the preparation of ketones is the coupling of acid halides with organometallic reagents and two alternative procedures were then examined for the synthesis of ethanones 1 and 2, the best results were obtained with Cu(I)-mediated coupling of organozinc reagents [14] and acid halides. As shown in Scheme 2, reaction of either acid chloride 11 or 13 with the organozinc bromide 10 or 14 in the presence of CuCN/LiBr gave ethanones 1 and 2 in 59% and 68% yield, respectively. At the same time, diarylethanone 2 has been prepared by a conventional Friedel-Crafts acylation reaction of thioanisole using phenylacetyl chloride in 75% yield [12a].
Among several alternative protocols for 1,2-diaryl/heteroaryl ethanone synthesis, two reasonable approaches to new ethanones 3-5 were examined, given that other methods appeared to be inefficient or might be useless, due to the presence of the 3-pyridyl moiety (Scheme 3). Method A refers to the reaction of Weinreb amides [15] with Grignard reagents and method B involves the Horner-Wittig reaction [16], a general procedure for the synthesis of arylacetylpyridines [3,16b]. Since under standard conditions [15], the preparation of the N-methoxy-N-methylamide 15 either from ester 16 or acid 17 gave in low yield (33%), this alternative was then abandoned. In consequence, the Horner-Wittig process appeared to be the method of choice to prepare the pyridylacetylarenes 3-5, and the reaction was first tested for preparation of ethanone 3 because pyridylcarbaldehyde 20 was commercially available. Reaction of arylcarbaldehyde 18 with aniline and diphenylphosphite gave the corresponding N,P-acetal 19 in 98% yield and the coupling of 19 and pyridylcarbaldehyde 20 in the presence of Cs2CO3 in THF/i-PrOH produced enamine followed by HCl 3N hydrolysis to give ethanone 3 in 82% yield (Scheme 3). The best reaction conditions for method B were then applied to the preparation of targeted pyridylacetylarenes 4 and 5, giving overall yields of 46% and 69%, respectively.
Scheme 2.
Scheme 2.

Scheme 3.
Scheme 3.

In accordance with standard protocol, oximes 6–9 were prepared from ethanones 2-5 in ≥ 81% yield and standard crystallization in 96% EtOH produced crystals of 6, 7 and 9 suitable for X-ray diffraction analysis (see below).
Scheme 4.
Scheme 4.

Structural Studies
The molecular structures of the new compounds were identified from their spectroscopic data and the structural properties of ketoximes 6-9 were examined in solution by 1H-NMR and in the solid state by X-ray crystallography (only ketoximes 6, 7 and 9).
The IR spectra (KBr) of ethanones 1-5 showed the characteristic carbonyl band in the range of 1694-1681 cm-1 and the νC=N absorption of ketoximes 6-9 in the 1597-1588 cm-1 range. Broad absorption at 2703 cm-1 (νOH) was shown by ketoxime 6, while the ketoximes 7-9 showed broad absorption bands in the range of 2805-2700 cm-1 (νOH). Both the 1H- and 13C-NMR data permitted unambiguous assignments with the aid of HMQC. In the 1H-NMR spectra of oximes 6, 7 and 9, the characteristic δH chemical shift of the oxime proton was similar to those observed for several oxime-substituted pyridines in DMSO-d6 [9,17] and the δNOH values appeared in the range of 12.02 to 11.38 ppm in DMSO-d6 and 9.65 to 9.07 ppm in CD3CN (Table 1).
Table 1.
Significant 1H-NMR chemical shifts of ketoximes 6, 7 and 9 in CD3CN and DMSO-d6 (200 MHz) at 298 K.
| Compd. | Solvent | Conc. (mM) | C=NO-H | 2H-Py | 6H-Py | –CH2– | –CH3 |
|---|---|---|---|---|---|---|---|
| 6 | CD3CN | 9.33-103.62 | 9.07 | – | – | 4.15 | 2.46 |
| DMSO-d6 | 10.88-103.62 | 11.38a | – | – | 4.10a | 2.43 | |
| 7 | CD3CN | 10.36b | 9.65 | 8.47 | 8.39 | 4.22 | 3.04 |
| DMSO-d6c | 45.92 | 12.02a | 8.47 | 8.37 | 4.22a | 3.20 | |
| 9 | CD3CN | 11.87b | 9.20 | 8.46 | 8.36 | 4.15 | 2.46 |
| DMSO-d6 | 10.84-103.74 | 11.51a | 8.44 | 8.33 | 4.12a | 2.44 |
a NOESY experiment at 400 MHz. bAt higher concentrations the compound was insoluble. cAt 400 MHz.
Figure 2 shows the molecular structures of ketoximes 6, 7 and 9 and the molecular shape was similar for oximes 6 and 9. In all cases, the oxime functionality [8,9,10] bears the common antiperiplanar conformation of the thermodynamically preferred E-isomer. Particularly relevant is their crystal packing, which is governed by a robust hydrogen bonding network. The nature of the ring fragments modulated the intermolecular H-bond interactions. Each of oximes 6, 7 and 9 adopted a crystal structure [18] in which the molecular units were linked by either H-bond intermolecular oxime···oxime for 6 or oxime···N(py) molecular motifs for 7 and 9.
Compound 6 formed a head-to-head R22(6) motif, which is the characteristic six-member ring arrangement in oximes, resulting in classical oxime dimers, whereas 9 formed a head-to-tail oxime···N(py) motif leading to non-classical oxime dimers. Similar to 9, the crystal structure of oxime 7 formed an oxime···N(py) motif that generated an infinite chain.
The crystal packing arrangements varied for 6, 7 and 9, depending on the rings attached to the ethanone oxime either 1,2-diaryl for 6 or 1-aryl-2-(3-pyridyl) for 7 and 9 (Figure 3). Oxime 6 forms zig-zag hydrogen-bonded layers propagated via R22(6) O-H···N(oxime) arrangement. The crystal structure of 9 contains dimers assembled through a head-to-tail O-H···N(py) hydrogen bond. In 7, the molecules formed infinite layers through O-H···N(py) hydrogen bond.
Figure 2.
Oximes 6, 7 and 9. Molecular structures and thermal ellipsoids (50% probability level). Intermolecular hydrogen bond oxime···oxime for 6 and oxime···N(py) for 7 and 9.
Figure 2.
Oximes 6, 7 and 9. Molecular structures and thermal ellipsoids (50% probability level). Intermolecular hydrogen bond oxime···oxime for 6 and oxime···N(py) for 7 and 9.

Figure 3.
Crystal structure arrangements. Oxime 6: Zig-zag layers formed by isolated dimers (viewed down the crystallographic b axis). Oxime 9: Packing of dimers, viewed down the crystallographic b axis. Oxime 7: Infinite chains, viewed down the crystallographic a axis (left) and b axis (right).
Figure 3.
Crystal structure arrangements. Oxime 6: Zig-zag layers formed by isolated dimers (viewed down the crystallographic b axis). Oxime 9: Packing of dimers, viewed down the crystallographic b axis. Oxime 7: Infinite chains, viewed down the crystallographic a axis (left) and b axis (right).

Significant intermolecular non-covalent interaction data are listed in Table 2. The atom-numbering system used for the X-ray data is not the same as the IUPAC numbering system. The selected weak intermolecular interactions show that the main network is formed via O-H···N hydrogen bond and the acceptor centre is either the oxime for 6 or the pyridyl moiety for 7 and 9, with a distance range of 1.828-1.979 Å (H···A), 2.704-2.796 Å (O···A) and with the O-H···A angle varied from 172.90° to 158.22°. The evidence for CH/π hydrogen bonds in 7 and 9 is considerable (Figure 4).
Table 2.
Significant H-bonding interactions for ketoximes 6, 7 and 9, and CH···π interactions for 7 and 9, distances (Å) and angles (°).a-c
| Compd. | D–H | d(D–H) | d(H···A) | <DHA | d(D···A) | A | |||
|---|---|---|---|---|---|---|---|---|---|
| 6 | O8–H8 | 0.860 | 1.979 | [1] | 158.22 | [1] | 2.796 | [1] | N8 |
| 6 | C9–H9B | 0.944 | 2.306 | [2] | 102.83 | [2] | 2.679 | [2] | O8 |
| 9 | O8–H8 | 0.911 | 1.828 | [3] | 160.32 | [3] | 2.704 | [3] | N12 |
| 9 | C1–H1B | 0.980 | 2.567 | [4] | 158.38 | [4] | 3.497 | [4] | N8 |
| 7 | O8–H8 | 0.927 | 1.818 | [5] | 172.90 | [5] | 2.741 | [5] | N12 |
| 7 | C1–H1C | 0.980 | 2.66(2) | [6] | 164.86 | [6] | 3.577 | [6] | Fa |
| 9 | C13–H13 | 0.943 | 2.62(2) | [7] | 176.20 | [7] | 3.534 | [7] | Fb |
| 9 | C1–H1C | 0.980 | 2.63(2) | [8] | 144.14 | [8] | 3.463 | [8] | Fb |
aCCDC deposition numbers 6: 635926; 7: 635927; 9: 635928. bEquivalent positions: [1] –x, –y, z+2; [2] x, y, z; [3] –x, –y, –z+1; [4] x, –y–½, +z–½; [5] x, –y–½, +z+½; [6] –x +1, y+½, -z+½ ; [7] –x , y+½, -z+½ ; [8] –x +1, y-½, -z+½ cFa and Fb labels –centroid and ring in parenthesis: Fa (Pyridine) and Fb (Arene). Fa: C10-C11-N12-C13-C14-C15 and Fb: C2-C3-C4-C5-C6-C7.
Oximes 7 and 9 showed a different pattern of C-H/π hydrogen bond, consistent with the acidity of the hydrogen bond donor, the soft acid CH group. Thus, the p-(methylsulfonyl)aryl CH of oxime 7 interacted with the face of the π-deficient heteroaromatic moiety (3-pyridyl) of the adjacent molecule and conversely, the α-CH of pyridyl moiety of oxime 9 pointed towards the p-(methylthio)aryl π-excessive aromatic ring (Figure 4). For oxime 7, the C-H···centroid(py) distance is 2.66 Å with an angle of 164.86° and oxime 9 has the C-H/π contact the C-H···centroid(aryl) distance of 2.62 Å and an angle of 176.20°.
Figure 4.
C-H/π Hydrogen bonds. Oxime 7: (methyl)C-H···centroid(py) [2.66 Å, 164.86°]. Oxime 9: (py)C-Hα···centroid(aryl) [2.62 Å, 176.20°].
Figure 4.
C-H/π Hydrogen bonds. Oxime 7: (methyl)C-H···centroid(py) [2.66 Å, 164.86°]. Oxime 9: (py)C-Hα···centroid(aryl) [2.62 Å, 176.20°].

The present crystallographic results show that the homomeric O-H···N(pyridyl) hydrogen bond [8a,b,f] is the driving force that modulates and controls the assembly of compounds containing both oxime and pyridyl structural motifs [8,9]. In crystal structures of oximes 7 and 9, O-H···N(py) and CH/π hydrogen bonds cooperated in bringing the whole molecule into infinite layers for 7 and non-classical packing of dimers for 9.
Conclusions
Depending on the aryl/3-pyridyl moieties present in 1,2-diaryl/heteroarylethanones 1-5, two synthetic approaches were used for their preparation. For cyclohexy/arylethanone 1 and diarylethanone 2, the Cu(I)-mediated coupling reaction between the corresponding organozinc reagent and acid chloride was performed in ≥ 59% yield. The selected route for pyridylacetylarenes 3-5 was the Horner-Wittig reaction. We identified the optimal conditions for the preparation of ethanone 3 and the best experiment gave 80% overall yield, whereas the yield was reduced to 45% for 4 and 69% for 5. Moreover, ethanones 2-5 were transformed to their ketoximes 6–9 in ≥ 81% yield. The structural properties of oximes 6–9 were examined in solution by 1H-NMR and in the solid-state by X-ray crystallography. The crystal structures of oximes 6, 7 and 9 showed that the dominating hydrogen bond network was head-to-head OH···N(oxime) for 6 and, that both intermolecular head-to-tail O-H···N(py) and CH/π interactions modulated and controlled the self-assembly of molecules of oximes 7 and 9.
Experimental
General
(Cyclohexylmethyl)zinc bromide (10) [19] and benzyl zinc bromide (14) were prepared as described by Rieke et al. [20]. Both are also currently commercially available. 3-Fluorobenzoyl chloride (11), 4-(methylthio)benzoic acid (12), ethyl pyridin-3-ylacetate (16), pyridin-3-ylacetic acid hydrochloride (17), 4-(methylsulfonyl)benzaldehyde (18), 3-pyridinecarboxaldehyde (20) and 4-(methylthio)benzaldehyde (22) are commercially available. 6-Methyl-3-pyridinecarboxaldehyde (21) was prepared, as described elsewere [3]. Melting point: Gallenkamp Melting Point Apparatus MPD350.BM2.5 equipped with a digital thermometer. IR (KBr disks or thin film): Nicolet 205 FT or Perkin Elmer 1430 spectrophotometers. 1H-NMR: Varian Gemini 200 (200 MHz), Varian Gemini 300 (300 MHz) and Mercury 400 (400 MHz) spectrometers at 298 °K. Chemical shifts were referenced and expressed in ppm (δ) relative to the central peak of DMSO-d6 (2.49 ppm) and TMS for chloroform-d. 13C-NMR: Varian Gemini 200 (50.3 MHz) and Varian Gemini 300 (75.4 MHz) spectrometers at 298 °K. Chemical shifts were referenced and expressed in ppm (δ) relative to the central peak of DMSO-d6 (39.7 ppm) and chloroform-d (77.0 ppm). HMQC experiments: Unity-300 spectrometer. NOESY experiments: Mercury 400 spectrometer (400 MHz). ESI-HRMS: Mass spectra were obtained using an Agilent LC/MSD-TOF spectrometer. TLC: Merck precoated silica gel 60 F254 plates using UV light (254 nm) as a viewing agent and/or H2PtCl2 3% aq. / KI 10% aq. (1:1) or KMnO4 ethanolic solution. Column chromatography was performed on silica gel 60 ACC 35-70 μm Chromagel (SDS).
Synthesis of 1-aryl-2-(aryl/alkyl)ethanones 1 and 2: 2-Cyclohexyl-1-(3-fluorophenyl)ethanone (1)
Method A: To a solution of 3-fluorobenzoyl chloride (11, 1.99 g, 12.6 mmol) in dry 1,2-dimethoxyethane (DME, 25 mL) was added Pd(Ph3P)4 (728 mg, 0.63 mmol) under argon atmosphere and was cooled to –50 °C. To this mixture was added a solution of (cyclohexylmethyl)zinc bromide 10 (3.05 g, 12.6 mmol) in dry THF (25 mL). The reaction mixture was stirred for 4 h with cooling and then for 12 h at room temperature. The mixture was then worked up by pouring into a saturated NH4Cl aqueous solution (100 mL) and extracting with diethyl ether (3 × 100 mL). The combined organic layers were dried over anhydrous Na2SO4, filtered and evaporated. The resultant crude product was purified by column chromatography on silica gel (hexane/ethyl acetate, 95:5) to give ethanone 1 (1.16 g, 42%) as a yellow oil. IR (thin film): ν(C=O) 1694, ν(C–F) 1440 cm–1; 1H-NMR (200 MHz, DMSO-d6): δ 0.90-1.30 (m, 5H), 1.60-1.66 (m, 5H), 1.70-1.85 (m, 1H), 2.86 (d, J=7.0 Hz, 2H), 7.41-7.61 (m, 2H), 7.65-7.72 (m, 1H), 7.77-7.81 (m 1H) ppm; 13C-NMR (50.3 MHz, DMSO-d6): δ 25.7-25.9 (3 × CH2), 32.6 (CH2), 33.9 (CH), 45.5 (CH2), 114.3 (d, JC-F=21.9 Hz, CH), 119.9 (d, JC-F=21.5 Hz, CH), 124.2 (d, JC-F=2.8 Hz, CH), 130.9 (d, JC-F=7.8 Hz, CH), 139.2 (d, JC-F=6.0 Hz, C), 162.2 (d, JC-F=245.0 Hz, CH), 198.6 (C=O) ppm; ESI-HRMS calcd for C14H18OF [M+H]+ 221.1336; found 221.1343.
Method B: To a suspension of CuCN (448 mg, 5 mmol) and LiBr (435 mg, 5.0 mmol) in dry DME (50 mL) at –45 °C was added a solution of (cyclohexylmethyl)zinc bromide (10, 6.06 g, 25.0 mmol) in dry THF (50 mL) under argon atmosphere. 3-Fluorobenzoyl chloride (11, 3.96 g, 25 mmol) was added neat, and the mixture was warmed slowly to room temperature over 4 h. The reaction mixture was quenched with 3 M HCl (200 mL) and extracted with diethyl ether (3 × 100 mL). The combined organic layers were washed with water (100 mL), dried over Na2SO4, and concentrated. Ethanone 1 (3.24 g, 59%) was isolated from the crude reaction mixture by column chromatography (hexane/ethyl acetate, 95:5) as a yellow oil.
1-[4-(Methylthio)phenyl]-2-phenylethanone (2)
Method A: A mixture of SOCl2 (10 mL, 137.43 mmol) and 4-(methylthio)benzoic acid (12, 4 g, 23.78 mmol) was stirred at reflux temperature for 1 h. The reaction mixture was concentrated under reduced pressure to afford 4-(methylthio)benzoyl chloride (13). The resulting brown solid, zinc (2.13 g, 32.58 mmol) and Pd(Ph3P)4 (1.37 g, 1.19 mmol) were taken into dry DME (75 mL) under argon atmosphere. To this mixture was added a solution of benzyl bromide (2.97 mL, 24.97 mmol) in dry DME (25 mL) at room temperature. After 2.5 h, the mixture was filtered through Celite, the liquid filtrates were evaporated, dissolved with CH2Cl2 (200 mL), washed with water (100 mL) and brine (100 mL), dried over anhydrous Na2SO4 and evaporated to dryness. The resultant crude product was chromatographed on silica gel (hexane/ethyl acetate, 75:25) to give ethanone 2 (1.65 g, 29%) as a yellow solid. Mp 105-6 °C; IR (KBr): ν(C=O) 1681, ν(C–S) 704 cm–1; 1H-NMR (300 MHz, DMSO-d6): δ 2.51 (s, 3H), 4.32 (s, 2H), 7.20-7.32 (m, 5H), 7.34 (d, J=8.4 Hz, 2H), 7.95 (d, J=8.4 Hz, 2H) ppm; 13C-NMR (75.4 MHz, DMSO-d6): δ 14.6 (CH3), 45.2 (CH2), 125.6 (CH), 127.1 (CH), 129.0 (CH), 129.6 (CH), 130.3 (CH), 133.1, 136.0, 146.3, 197.3 (C=O) ppm; EI-MS m/z (%): 242 [M+·] (5), 151 [M+·–91] (100).
Method B: A mixture of SOCl2 (20 mL, 274.86 mmol) and 4-(methylthio)benzoic acid (12, 4.2 g, 25.00 mmol) was stirred at reflux temperature for 1.5 h. The reaction mixture was concentrated under reduced pressure to afford 4-(methylthio)benzoyl chloride (13). To a suspension of CuCN (448 mg, 5 mmol) and LiBr (435 mg, 5 mmol) in dry DME (50 mL) at –60 °C was added a solution of benzylzinc bromide 14 (5.91 g, 25 mmol) in dry THF (50 mL) under argon atmosphere. A solution of the 4-(methylthio)benzoyl chloride (13) in dry DME (20 mL) was added and the mixture was warmed slowly to room temperature over 4 h. The reaction mixture was quenched with 3 M HCl (200 mL) and extracted with diethyl ether (3 × 100 mL), and the combined organic layers were washed with water (100 mL), dried over Na2SO4, and concentrated. Ethanone 2 (4.12 g, 68%) was isolated from the crude reaction mixture by column chromatography (hexane/ethyl acetate, 85:15) as a yellow solid.
N-Methoxy-N-methyl-2-pyridin-3-ylacetamide (15)
Method A: Ethyl pyridin-3-ylacetate (16, 1 mL, 6.57 mmol) and Me(MeO)NH·HCl (1.29g, 13.14 mmol) were stirred in dry THF (25 mL) cooled to –10 °C under argon. A solution of i-PrMgCl in THF (13.2 mL, 2.0 M) was added and the mixture was warmed slowly to room temperature over 12 h. The reaction mixture was quenched with 20% aqueous NH4Cl. The product was extracted with EtOAc (2 × 50 mL) and the organic solution was dried over anhydrous Na2SO4 and concentrated. Chromatographic purification using CH2Cl2:MeOH (95:5) as the eluent afford amide 15 as a brown residue (yield 33%).1H-NMR (200 MHz, CDCl3): δ 3.21 (s, 3H), 3.69 (s, 3H), 3.78 (s, 2H), 7.25-7.29 (m, 1H), 7.60-7.70 (m, 1H), 8.50-8.53 (m, 2H) ppm.
Method B: A solution of pyridin-3-ylacetic acid hydrochloride (17, 1 g, 5.76 mmol) in 96% ethanol (50 mL) was passed through a column packed with a strongly basic anion-exchange (Amberlite IRA 401, hydroxide form). The eluates were concentrated to dryness to afford pyridin-3-ylacetic acid as a white solid. To a solution of the former solid in dry DMF/CH3CN (1:19, 50 mL) was added CDI (1.12 g, 6.91 mmol) and the solution was stirred 1.5 h, and Me(MeO)NH·HCl (0.68 g, 6.91 mmol) was added. After 12 h at room temperature, the reaction mixture was concentrated. The resulting residue was dissolved with EtOAc (200 mL), washed with brine (100 mL) and water (2 × 100 mL), dried over anhydrous Na2SO4 and evaporated to dryness to give the amide 15 as a brown residue (yield 33%).
Diphenyl {anilino[4-(methylsulfonyl)phenyl]methyl}phosphonate (19)
4-(Methylsulfonyl)benzaldehyde (18, 4 g, 21.71 mmol) was dissolved in isopropyl acetate (100 mL) and stirred at room temperature. Aniline (2.38 mL, 26.05 mmol) was added in one portion followed by the addition of diphenylphosphite (6.68 mL, 34.74 mmol) in one portion. The resulting slurry was stirred 12 h at room temperature, filtered and washed with i-PrOH to give N,P-acetal 19 as a off-white solid (yield 98%). Mp 160-1 °C; IR (KBr): ν(NH) 3286; ν(SO2) 1307, 1150; ν(P=O) 1262 cm–1; 1H-NMR (200 MHz, CDCl3): δ 3.03 (s, 3H), 5.22 (d, J=26 Hz, 1H), 6.58-7.33 (m, 10H), 7.76-7.91 (m, 4H) ppm; 13C-NMR (50.3 MHz, CDCl3): δ 44.7 (CH3), 56.0 (d, J=151 Hz, CH), 114.0 (CH), 119.6 (CH), 120.4 (dd, J=4, 17 Hz, CH), 125.8 (d, J=5.5 Hz, CH), 128.0 (CH), 129.1 (d, J=5.5 Hz, CH), 129.6 (CH), 130.0 (CH), 142.0 ppm.
Diphenyl {anilino[4-(methylthio)phenyl]methyl}phosphonate (23)
4-(Methylthio)benzaldehyde (22, 5 g, 32.85 mmol) was dissolved in i-PrOH (150 mL) and stirred at room temperature. Aniline (3.60 mL, 39.42 mmol) was added in one portion followed by the addition of diphenylphosphite (10.10 mL, 52.56 mmol) in one portion. The resulting slurry was stirred 4 h at room temperature, filtered and washed with i-PrOH to give N,P-acetal 23 as a off-white solid (yield 97%). Mp 134-5 °C; IR (KBr): ν(NH) 3329; ν(P=O) 1248 cm–1; 1H-NMR (200 MHz, CDCl3): δ 2.45 (s, 3H), 5.10 (d, J=24 Hz, 1H), 6.61-6.92 (m, 3H), 7.06-7.26 (m, 7H), 7.43-7.49 (m, 1H) ppm; 13C-NMR (50.3 MHz, CDCl3): δ 15.7 (CH3), 55.6 (d, J=156 Hz, CH), 114.0 (CH), 118.9 (CH), 120.4 (dd, J=4, 16 Hz, CH), 125.3 (d, J=7.8 Hz, CH), 12.6 (d, J=2.8 Hz, CH), 128.5 (d, J=5.9 Hz, CH), 129.2 (CH), 1º29,7 (d, J=3.2 Hz, CH), 131.3, 138.7, 145.7 (d, J=15 Hz) ppm.
Synthesis of 1-aryl-2-(3-pyridyl)ethanones 3–5. General procedure
N,P-acetal 19 or 23 (1 equiv) and 3-pyridinecarboxaldehyde 20 or 21 (1.1 equiv) were dissolved in a 4/1 mixture of THF/i-PrOH. Anhydrous Cs2CO3 (1.3 equiv) was added in one portion and the reaction was stirred for 16 h at room temperature under argon atmosphere. Enamine intermediates were hydrolyzed by the addition of 3N aqueous HCl (3 equiv). After 3 h at room temperature, the reaction mixture was diluted with 5% aqueous NaOH (to pH 7-8) and extracted with EtOAc. The combined organic layers were washed with brine and concentrated. The ketopyridines 3-5 were isolated from the crude reaction mixture by column chromatography using EtOAc/MeOH as the eluent.
1-[4-(Methylsulfonyl)phenyl]-2-pyridin-3-ylethanone (3). The above procedure was followed using N,P-acetal 19 (1g, 2.09 mmol), 3-pyridinecarboxaldehyde 20 (0.22 mL, 2.30 mmol) and Cs2CO3 (0.89 g, 2.72 mmol) in a mixture of dry THF/i-PrOH (8/2 mL). The product was obtained as a white solid; yield 82%. Mp 164-5 °C; IR (KBr): ν(C=O) 1687, ν(SO2) 1292, 1146 cm–1; 1H-NMR (300 MHz, CDCl3): δ 3.10 (s, 3H), 4.36 (s, 2H), 7.30-7.38 (m, 1H), 7.60-7.65 (m, 1H), 8.08 (d, J=8.7 Hz, 2H), 8.20 (d, J=8.4 Hz, 2H), 8.53-8.60 (m, 2H) ppm; 13C-NMR (75.4 MHz, CDCl3): δ 42.8 (CH2), 44.3 (CH3), 123.6 (CH), 127.9 (CH), 129.2 (CH), 137.2 (CH), 140.0, 144.5, 148.5 (CH), 150.3 (CH), 195.1 (C=O) ppm; ESI-HRMS: calcd for C14H14NO3S [M+H]+ 276.0688; found 276.0684.
2-(6-Methylpyridin-3-yl)-1-[4-(methylsulfonyl)phenyl]ethanone (4). The above procedure was followed using N,P-acetal 19 (0.75 g, 1.56 mmol), 6-methyl-3-pyridinecarboxaldehyde 21 (0.21 g, 1.73 mmol) and Cs2CO3 (0.66 g, 2.02 mmol) in a mixture of dry THF/i-PrOH (8/2 mL). The product was obtained as a white solid; yield 46%. Mp 150-1 °C; IR (KBr): ν(C=O) 1689, ν(SO2) 1292, 1144 cm–1; 1H-NMR (200 MHz, CDCl3): δ 2.56 (s, 3H), 3.09 (s, 3H), 4.31 (s, 2H), 7.16 (d, J=7.6 Hz, 1H), 7.45-7.55 (m, 1H), 8.07 (d, J=8.8 Hz, 2H), 8.19 (d, J=8.8 Hz, 2H), 8.39 (s, 1H) ppm; 13C-NMR (50.3 MHz, CDCl3): δ 24.1 (CH3), 42.5 (CH2), 44.3 (CH3), 123.2 (CH), 126.0, 127.9 (CH), 129.2 (CH), 137.5 (CH), 140.1, 144.3, 149.5 (CH), 157.3, 195.5 (C=O) ppm. ESI-HRMS: calcd for C15H16NO3S [M+H]+ 290.0845; found 290.0841.
1-[4-(Methylthio)phenyl]-2-pyridin-3-ylethanone (5). The above procedure was followed using N,P-acetal 23 (3 g, 6.7 mmol), 3-pyridinecarboxaldehyde 20 (0.7 mL, 7.37 mmol) and Cs2CO3 (2.8 g, 8.71 mmol) in a mixture of dry THF/i-PrOH (20/5 mL). The product was obtained as a white solid; yield 71%. Mp 89-90 °C; IR (KBr): ν(C=O) 1678, ν(C–S) 717 cm–1; 1H-NMR (200 MHz, CDCl3): δ 2.53 (s, 3H), 4.26 (s, 2H), 7.26-7.30 (m, 3H), 7.55-7.65 (m, 1H), 7.91-7.95 (m, 2H), 8.52-8.53 (m, 2H) ppm; 13C-NMR (50.3 MHz, CDCl3): δ 14.8 (CH3), 42.1 (CH2), 123.4 (CH), 125.0 (CH), 128.8 (CH), 132.3, 137.2 (CH), 146.6, 148.1 (CH), 150.4 (CH), 195.3 (C=O) ppm; ESI-HRMS: calcd for C14H14NOS [M+H]+ 244.0790; found 244.0785.
Syntheis of ketoximes 6–9. General procedure
A solution of ethanones 2, 3, 4 or 5 (1 equiv) in 30% aqueous ethanol was treated with hydroxylamine hydrochloride (2 equiv) and NaOAc·3H2O (2 equiv). The resultanting solution was heated to reflux for 2-4 h. The reaction mixture was diluted with 30% aqueous EtOH and allowed to cool to room temperature. The solid obtained was isolated by filtration.
1-[4-(Methylthio)phenyl]-2-phenylethanone oxime (6). The above procedure was followed using ethanone 2 (1.00 g, 4.13 mmol), NH2OH·HCl (0.57 g, 8.26 mmol) and NaOAc·3H2O (1.12 g, 8.26 mmol) in 30% aqueous EtOH (26 mL and 10 mL). The product was obtained as a white solid; yield 87%. Mp 132-3 °C; IR (KBr): ν(OH) 3239, ν(C=N) 1592 cm-1; 1H-NMR (200 MHz, DMSO-d6): δ 2.43 (s, 3H), 4.10 (s, 2H), 7.16-7.21 (m, 7H), 7.58 (d, J=8.4 Hz, 2H), 11.38 (s, 1H) ppm; 13C-NMR (75.4 MHz, CDCl3): δ 15.3 (CH3), 32.0 (CH2), 125.9 (CH), 126.3 (CH), 126.7 (CH), 128.4 (CH), 128.5 (CH), 131.9, 136.3, 140.2, 156.8 (C=N) ppm; ESI-HRMS: calcd for C15H16NOS [M+H]+ 258.0947; found 258.0940.
1-[4-(Methylsulfonyl)phenyl]-2-pyridin-3-ylethanone oxime (7). The above procedure was followed using ethanone 3 (0.55 g, 2.00 mmol), NH2OH·HCl (0.28 g, 4.00 mmol) and NaOAc·3H2O (0.54 g, 4.00 mmol) in 30% aqueous EtOH (16 mL and 14.5 mL). The product was obtained as a white solid; yield 86%. Mp 187-8 °C. IR (KBr): ν(OH) 2703, ν(C=N) 1597, ν(SO2) 1300, 1146 cm-1. 1H NMR (400 MHz, DMSO-d6): δ 3.20 (s, 3H), 4.22 (s, 2H), 7.27-7.30 (m, 1H), 7.56-7.58 (m, 1H), 7.88-7.96 (m, 4H), 8.37-8.38 (m, 1H), 8.47 (s, 1H), 12.03 (s, 1H) ppm. 13C (50.3 MHz, DMSO-d6): δ 27.7 (CH2), 43.4 (CH3), 123.7 (CH), 126.6 (CH), 127.2 (CH), 132.5, 135.7 (CH), 140.0, 136.3, 140.7, 147.4 (CH), 149.5 (CH), 153.3 (C=N) ppm. ESI-HRMS: calcd for C14H15N2O3S [M+H]+ 291.0798; found 291.0804.
2-(6-Methylpyridin-3-yl)-1-[4-(methylsulfonyl)phenyl]ethanone oxime (8). The above procedure was followed using ethanone 4 (0.20 g, 0.69 mmol), NH2OH·HCl (0.10 g, 1.38 mmol) and NaOAc·3H2O (0.19 g, 1.38 mmol) in 30% aqueous EtOH (8 mL and 10 mL). The product was obtained as a white solid; yield 81%. Mp 223-4 °C; IR (KBr): ν(OH) 2805-2730, ν(C=N) 1590, ν(SO2) 1312, 1151 cm-1; 1H-NMR (200 MHz, DMSO-d6): δ 2.35 (s, 3H), 3.19 (s, 3H), 4.15 (s, 2H), 7.09-7.13 (m, 1H), 7.38-7.45 (m, 1H), 7.86 -7.91 (m, 4H), 8.32 (s, 1H), 12.05 (s, 1H) ppm; 13C-NMR (75.4 MHz, DMSO-d6): δ 23.5 (CH3), 27.3 (CH2), 43.4 (CH3), 122.9 (CH), 126.7 (CH), 127.2 (CH), 129.3, 136.1 (CH), 140.1, 140.7, 148.8 (CH), 153.5 (C=N), 155.7 ppm; ESI-HRMS: calcd for C15H17N2O3S [M+H]+ 305.0954; found 305.0950.
1-[4-(Methylthio)phenyl]-2-pyridin-3-ylethanone oxime (9). The above procedure was followed using ethanone 5 (0.90 g, 3.72 mmol), NH2OH·HCl (0.52 g, 7.44 mmol) and NaOAc·3H2O (1.00 g, 7.44 mmol) in 30% aqueous EtOH (33 mL and 30 mL). The product was obtained as a white solid; yield 85%. Mp 144-5 °C; IR (KBr): ν(OH) 3805-2730, ν(C=N) 1588, ν(C–S) 706 cm-1; 1H-NMR (200 MHz, DMSO-d6): δ 2.44 (s, 3H), 4.12 (s, 2H), 7.18-7.28 (m, 3H), 7.51-7.63 (m, 3H), 8.34 (d, J=4.8 Hz, 1H), 8.44 (s, 1H), 11.51 (s, 1H) ppm; 13C-NMR (75.4 MHz, DMSO-d6): δ 14.3 (CH3), 27.7 (CH2), 123.6 (CH), 125.5 (CH), 126.4 (CH), 131.7, 133.0, 135.8 (CH), 139.3, 147.3 (CH), 149.6 (CH), 153.7 (C=N) ppm; ESI-HRMS: calcd for C14H15N2OS [M+H]+ 259.0900; found 259.0896.
Single-crystal X-ray determination of ketoximes 6, 7 and 9
CCDC 635926 (compound 6), 635927 (compound 7) and 635928 (compound 9) contain the supplementary crystallographic data for this paper. These data can be obtained free of charge via www.ccdc.cam.ac.uk/conts/retrieving.html (or from the CCDC, 12 Union Road, Cambridge CB2 1EZ, UK; fax: +44 1223 336033; e-mail: deposit@ccdc.cam.ac.uk).
Data collections for compounds 6, 7 and 9 were performed at 120(2) K on a Nonius KappaCCD single crystal diffractometer, using Cu-Kα radiation (λ= 1.5418 Å). Images were collected at a 29 mm fixed crystal-detector distance, using the oscillation method, with 2º oscillation and 40 s exposure time per image. Data collection strategy was calculated with the program Collect [21]. Data reduction and cell refinement were performed with the programs HKL Denzo and Scalepack [22]. A semi-empirical absorption correction was applied on each data set using the program SORTAV [23]. The structures were solved using direct methods, with the program SIR-92 [24]. Anisotropic least-squares refinement was carried out with SHELXL-97 [25]. All non-hydrogen atoms were anisotropically refined. All hydrogen atoms, except those of the methyl group, were located on a difference Fourier map and their isotropic displacement parameters were freely refined. Hydrogen atoms at the methyl groups were geometrically placed and refined as riding on their parent atoms with isotropic displacement parameters set to 1.5 times the Ueq of the atoms to which they are attached.
Crystal data for ketoxime 6. C15H15NOS, M = 257.34, colorless crystal, dimensions 0.30 x 0.15 x 0.10 mm, monoclinic, space group P21/c, a = 7.7870(2), b = 8.7750(2), c = 19.1060(2), β = 93.002(13), V = 1303.74(5) Å3, Z = 4, ρcalcd = 1.311 g cm-3, 39259 reflections collected, θmax = 69.70°, 2464 independent reflections (Rint = 0.044), 2052 observed (F2>2σ(F2)), 211 parameters, R1(F2>2σ(F2)) = 0.0360, wR2 (F2>2σ(F2)) = 0.1095, R1 (all data) = 0.0499, wR2 (all data) = 0.1237, residual electron density 0.435, -0.511 eÅ-3, μ = 2.088 mm-1, max./ min transmission factors 0.829 /0.706.
Crystal data for ketoxime 7. C14H14N2O3S, M = 290.33, colorless crystal, dimensions 0.27 x 0.25 x 0.22 mm, monoclinic, space group P21/c, a = 8.2170(1), b = 15.6630(2), c = 10.5240(2), β = 104.027(1), V = 1314.08(3) Å3, Z = 4, ρcalcd = 1.468 g cm-3, 37917 reflections collected, θmax = 69.70°, 2455 independent reflections (Rint = 0.037), 2247 observed (F2>2σ(F2)), 225 parameters, R1(F2>2σ(F2)) = 0.0334, wR2 (F2>2σ(F2)) = 0.0890, R1 (all data) = 0.0355, wR2 (all data) = 0.0903, residual electron density 0.283, -0.428 eÅ-3, μ = 2.282 mm-1, max./ min transmission factors 0.661 /0.555.
Crystal data for ketoxime 9. C14H14N2OS, M = 258.33, colorless crystal, dimensions 0.27 x 0.22 x 0.03 mm, monoclinic, space group P21/c, a = 13.6300(2), b = 6.3300(1), c = 14.4600(2), β = 96.4800(11), V = 1240.20(4) Å3, Z = 4, ρcalcd = 1.384 g cm-3, 29295 reflections collected, θmax = 69.67°, 2330 independent reflections (Rint = 0.042), 2031 observed (F2>2σ(F2)), 207 parameters, R1(F2>2σ(F2)) = 0.0348, wR2 (F2>2σ(F2)) = 0.0990, R1 (all data) = 0.0380, wR2 (all data) = 0.1006, residual electron density 0.279, -0.310 eÅ-3, μ = 2.222 mm-1, max./ min transmission factors 0.867 /0.741.
Supplementary Material
The Supplementary Material for this paper is available via the Internet at http://www.mdpi.org/molecules/papers/13020301sm.pdf, 12 pages.
Acknowledgements
This research was supported by Laboratorios del Dr. Esteve S.A., Barcelona, Spain, through project FBG2001/2002-301362, Fundació Bosch i Gimpera-Universitat de Barcelona, Spain. N.M. is grateful to Laboratorios del Dr. Esteve S.A. for a post-doctoral fellowship. The authors wish to thank to Dr. Irene Fernández, Universitat de Barcelona, Spain, for running the HRMS. Thanks are also due to the DGI-MEC (CTQ2006-1182/BQU) and the AGAUR, Grup de Recerca Consolidat 2005SGR00158.
References and Notes
- Veeramaneni, V. R.; Pal, M.; Yeleswarapu, K. R. A high speed parallel synthesis of 1,2-diaryl-1-ethanones via a clean-chemistry C–C bond formation reaction. Tetrahedron 2003, 59, 3283–3290. [Google Scholar] [CrossRef] Katritzky, A. R.; Abdel-Fattah, A. A. A.; Akhmedova, R. G. A convenient access to 1-substituted-2-azinyl-1-ethanones via acylation of alkylated azines with N-acylbenzotriazoles. Arkivoc 2005, 329–338. [Google Scholar]
- Merkul, E.; Müller, J. J. A new consecutive three-component oxazole synthesis by an amidation–coupling–cycloisomerization (ACCI) sequence. Chem. Commun. 2006, 4817–4819. [Google Scholar] [CrossRef]
- Davies, I. W.; Marcoux, J. F.; Corley, E. G.; Journet, M.; Cai, D. -W.; Palucki, M.; Wu, J.; Larsen, R. D.; Rossen, K.; Pye, P. J.; DiMichele, L.; Dormer, P.; Reider, P. J. A Practical Synthesis of a COX-2-Specific Inhibitor. J. Org. Chem. 2000, 65, 8415–8420. [Google Scholar] [CrossRef]
- Hashimoto, H.; Imamura, K.; Haruta, J.; Wakitani, K. 4-(4-Cycloalkyl/aryl-oxazol-5-yl)benzenesulfonamides as Selective Cyclooxigenase-2 Inhibitors: Enhancement of the Selectivity by Introduction of a Fluorine Atom and Identification of a Potent, Highly Selective, and Orally Active COX-2 Inhibitor JTE-522. J. Med. Chem. 2002, 45, 1511–1517. [Google Scholar] [CrossRef] Talley, J. J.; Brown, D. L.; Carter, J. S.; Graneto, M. J.; Koboldt, C. M.; Masferrer, J. L.; Perkins, W. E.; Rogers, R. S.; Shaffer, A. F.; Zhang, Y. Y.; Zweifel, B. S.; Seibert, K. 4-[5-Methyl-3-phenylisoxazol-4-yl]-benzenesulfonamide, Valdecoxib: A Potent and Selective Inhibitor of COX-2. J. Med. Chem. 2000, 43, 775–777. [Google Scholar] [CrossRef]
- Marcoux, J. F.; Corley, E. G.; Rossen, K.; Pye, P. J. M.; Wu, J.; Robbins, M. A.; Davies, I. W.; Larsen, R. D.; Reider, P. J. Annulation of Ketones with Vinamidinium Hexafluorophosphate Salts: An Efficient Preparation of Trisubstituted Pyridines. Org. Lett. 2000, 2, 2339–2341, and references cited therein. [Google Scholar] [CrossRef]
- Etter, M. C. Encoding and Decoding Hydrogen-Bond Patterns of Organic Compounds. Acc. Chem. Res. 1990, 23, 120–126. [Google Scholar] [CrossRef]
- Steiner, T. The hydrogen bond in the solid state. Angew. Chem. Int. Ed. 2002, 41, 4–76. [Google Scholar] Steiner, T. C-H···O hydrogen bonding in crystals. Crystallogr. Rev. 2003, 9, 177–228. [Google Scholar] [CrossRef]
- Aakeröy, C. B.; Beatty, A. M.; Leinen, D. S. The Oxime Functionality: A Versatile Tool for Supramolecular Assembly of Metal-Containing Hydrogen-Bonded Architectures. J. Am. Chem. Soc. 1998, 120, 7383–7384, and references cited therein. [Google Scholar] [CrossRef] Aakeröy, C. B.; Beatty, A. M.; Leinen, D. S. New building blocks for crystal engineering. Syntheses and crystal structures of oxime-substituted pyridines. CrystEngComm. 2000, 2, 1–6, and references cited therein. [Google Scholar] [CrossRef] Bruton, E. A.; Brammer, L.; Pigge, F. C.; Aakeröy, C. B.; Leinen, D. S. Hydrogen bond patterns in aromatic and aliphatic dioximes. New J. Chem. 2003, 27, 1084–1094. [Google Scholar] [CrossRef] Aakeröy, C. B.; Desper, J.; Scott, B. M. T. Balancing supramolecular reagents for reliable formation of co-crystals. ChemCommun. 2006, 1445–1447. [Google Scholar] Aakeröy, C. B.; Salmon, D. J.; Smith, M. M.; Desper, J. Cyanopheniloximes: Reliable and Versatile Tools for Hydrogen-Bond Directed Supramolecular Synthesis of Cocrystals. Crystal Growth & Desig 2006, 6, 1033–1042, and references cited therein. [Google Scholar] Aakeröy, C. B.; Schultheiss, N.; Desper, J. A pyridyl-functionalized cavitand. Starting point for hydrogen-bond driven assembly for heterodimeric capsules. CrystEngComm. 2006, 8, 502–506. [Google Scholar] [CrossRef]
- Mazik, M.; Bläser, D.; Boese, R. Programmed Construction of Discrete Self-Assembled Cyclic Aggregates. Chem. Eur. J. 2000, 6, 2865–2873. [Google Scholar] [CrossRef] Mazik, M.; Bläser, D.; Boese, R. α,β-Unsaturated Ketoximes Carrying a Terminal Pyridine or Quinoline Subunit as Building Blocks for Supramolecular Syntheses. J. Org. Chem. 2005, 70, 9115–9122. [Google Scholar] [CrossRef] Marsman, A. W.; van Walree, C. A.; Havenith, R. W. A.; Jenneskens, L. W.; Lutz, M.; Spek, A. L.; Egbertus, T. G.; Lutz, E. T. G.; van der Maas, J. H. Infinite, undulating chains of intermolecularly hydrogen bonded (E,E)-2,2-dimethylcyclohexane-1,3-dione dioximes in the solid state. A single crystal X-ray, charge density distribution and spectroscopic study. J. Chem. Soc., Perkin Trans. 2000, 501–510. [Google Scholar]
- Chertanova, L.; Pascard, C. X-ray Investigation of Glyoxime Derivatives. V. Two Isomers of 2-(Thienyl)glyoxime. A Database Study of the Geometry and Hydrogen Bonding of the Oxime Group. Acta Crys. 1994, B50, 708–716. [Google Scholar] [CrossRef] Maurin, J. K. Oxime–Carboxyl Hydrogen Bonds: the Preferred Interaction Determining Crystal Packing of ‘Carboxyoximes’. Acta Crys. 1998, B54, 866–871. [Google Scholar] [CrossRef] Hoogesteger, F. J.; Jenneskensa, L. W.; Veldmanh, H. K. N.; Spekh, A. L. Self-Complementary Hydrogen Bonding of 1,1’-Bicyclohexylidene-4,4’-dione Dioxime. Formation of a Non-Covalent Polymer. Tetrahedron 1996, 52, 1773–1784. [Google Scholar] [CrossRef]
- Nishio, M. CH/π hydrogen bonds in crystals. CrystEngComm. 2004, 6, 130–158. [Google Scholar] [CrossRef] Nishio, M. CH/π hydrogen bonds in organic reactions. Tetrahedron 2005, 61, 6923–6950. [Google Scholar] [CrossRef]
- For examples of ethanones of type [Ar-CH2-CO-Ar′] [1,4] required for synthesis of selective COX-2 inhibitors, see: Singh, S. K.; Saibaba, V.; Ravikumar, V.; Rudrawar, S. V.; Daga, P.; Rao, C. S.; Akhila, V.; Hegde, P.; Rao, Y. K. Synthesis and biological evaluation of 2,3-diarylpyrazines and quinoxalines as selective COX-2 inhibitors. Bioorg. Med. Chem. 2004, 12, 1881–1893. [Google Scholar] [CrossRef] Baruah, B.; Dasu, K.; Vaitilingam, B.; Vanguri, A.; Casturi, S. R.; Yeleswarapu, K. R. 1,2-Diaryl-1-ethanone and pyrazolo [4,3-c] quinoline-4-one as novel selective cyclooxigenase-2-inhibitors. Bioorg. Med. Chem. Lett. 2004, 14, 445–448. [Google Scholar] [CrossRef]
- For key intermediates of type [Ar-CO-CH2-(3-Py)], see: Chen, H. Y.; Kim, S.; Wu, J. Y.; Birzin, E. T.; Chan, W.; Yang, Y. T.; Dahllund, J.; DiNinno, F.; Rohrer, S. P.; Schaeffer, J. M.; Hammond, M. L. Estrogen receptor ligands. Part 3: The SAR of dihydrobenzoxathiin SERMs. Bioorg. Med. Chem. Lett. 2004, 14, 2551–2554. [Google Scholar] [CrossRef] Biftu, T.; Feng, D.; Ponpipom, M.; Girotra, N.; Liang, G. -L.; Qian, X.; Bugianesi, R.; Simeone, J.; Chang, L.; Gurnett, A.; Liberator, P.; Dulski, P.; Leavitt, P. S.; Crumley, T.; Misura, A.; Murphy, T.; Rattray, S.; Samaras, S.; Tamas, T.; Mathew, J.; Brown, C.; Thompson, D.; Schmatz, D.; Fisher, M.; Wyvratt, M. Synthesis and SAR of 2,3-diarylpyrrole inhibitors of parasite cGMP-dependent protein kinase as novel anticoccidial agents. Bioorg. Med. Chem. Lett. 2005, 15, 3296–3301. [Google Scholar] [CrossRef]
- Wehmeyer, R. M.; Rieke, R. D. Direct formation of functionalized ketones via the coupling of functionalized organocopper reagents with acid chlorides. Tetrahedron Lett. 1988, 29, 4513–4516. [Google Scholar] [CrossRef] Zhu, L.; Wehmeyer, R. M.; Rieke, R. D. The Direct Formation of Functionalized Alkyl(aryl)zinc Halides by Oxidative Addition of Highly Reactive Zinc with Organic Halides and Their Reactions with Acid Chlorides, α,β-Unsaturated Ketones, and Allylic, Aryl, and Vinyl Halides. J. Org. Chem. 1991, 56, 1445–1453. [Google Scholar] [CrossRef] Rieke, R. D.; Hanson, M. V.; Brown, J. D. Direct Formation of Secondary and Tertiary Alkylzinc Bromides and Subsequent Cu(I)-Mediated Couplings. J. Org. Chem. 1996, 61, 2726–2730. [Google Scholar] [CrossRef]
- Singh, J.; Satyamurthi, N.; Aidhen, I. S. The Growing Synthetic Utility of Weinreb’s Amide. J. Prakt. Chem. 2000, 342, 340–347. [Google Scholar] [CrossRef]
- Maryanoff, B. E.; Reitz, A. B. The Wittig olefination reaction and modifications involving phosphoryl-stabilized carbanions. Stereochemistry, mechanism, and selected synthetic aspects. Chem. Rev. 1989, 89, 863–97. [Google Scholar] [CrossRef] Journet, M.; Cai, D.; Larsen, R. D.; Reider, P. J. An Improved and Practical Procedure for the Synthesis of Substituted Phenylacetylpyridines. Tetrahedron Lett. 1998, 39, 1717–1720, and references cited therein. [Google Scholar] [CrossRef] Piva, O.; Comesse, S. Tandem Michael-Wittig-Horner Reaction: One-Pot Synthesis of δ-Substituted α,β-Unsaturated Carboxylic Acid Derivatives - Application to a Concise Synthesis of (Z)- and (E)-Ochtoden-1-al. Eur. J. Org. Chem. 2000, 2417–2424. [Google Scholar] [CrossRef]
- Kolehmainen, E.; Gawinecki, R.; Osmialowski, B.; Trzebiatowska, K. NMR Spectral Assignment of Substituted Salicylaldoximes by Inverse Pulse Techniques with z-Gradient Selection: Correlation of NMR Parameters with Substituent Constants. Mag. Res. Chem. 1997, 35, 778–784, and references cited therein. [Google Scholar] [CrossRef]
- Oximes 6, 7 and 9: In all crystal structures -space group P21/c-, the asymmetric unit contained one independent oxime molecule.
- Zhu, L.; Rieke, R. D. A facile method for the preparation of functionalized 2,3-disubstituted-1,3-butadienes. Tetrahedron Letters 1991, 32, 2865–2866. [Google Scholar] [CrossRef]
- Velarde-Ortiz, R.; Guijarro, A.; Rieke, R. D. Electrophilic amination of organozinc halides. Tetrahedron Letters 1998, 38, 9157–9160. [Google Scholar] [CrossRef]
- Bruker. COLLECT data collection software; Bruker AXS: Delft, The Netherlands, 2004. [Google Scholar]
- Otwinowski, Z.; Minor, W. Processing of X-ray diffraction data collected in oscillation mode. Methods Enzymol. 1997, 276, 307–326. [Google Scholar] [CrossRef]
- Blessing, R. H. An Empirical Correction for Absorption Anisotropy. Acta Cryst. 1995, A51, 33–38. [Google Scholar] [CrossRef]
- Altomare, A.; Cascarano, G.; Giacovazzo, C.; Guagliardi, A. Completion and Refinement of Crystal Structures with SIR92. J. Appl. Cryst. 1993, 26, 343–350. [Google Scholar] [CrossRef]
- Sheldrick, G. M. SHELXL-97; University of Göttingen: Germany, 1997. [Google Scholar]
- Sample Availability: Contact the authors.
© 2008 by MDPI (http://www.mdpi.org). Reproduction is permitted for noncommercial purposes.