Cerium (IV) Ammonium Nitrate (CAN) Catalyzed One-pot Synthesis of 2-Arylbenzothiazoles
Abstract
:Introduction
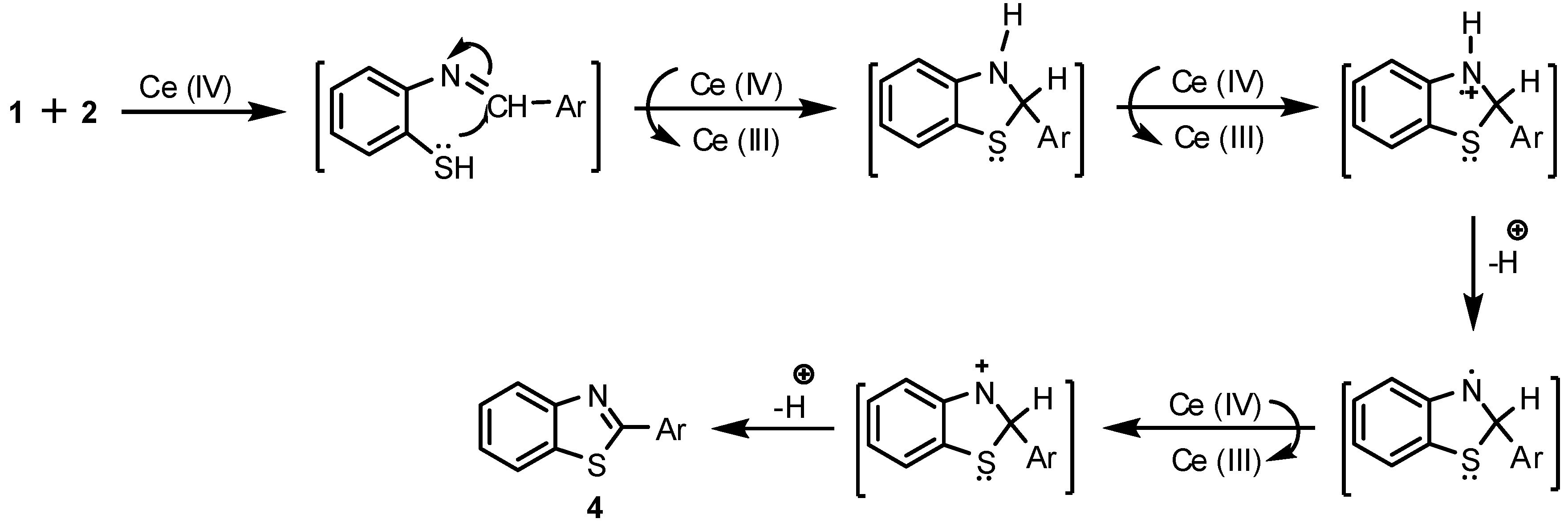
Results and Discussion


Conclusions
Experimental
General
Synthesis of 2-arylbenzothiazoles 4a-h
Acknowledgments
References
- Xie, Y.; Deng, S.; Chen, Z.; Yan, S.; Landry, D. W. Identification of small-molecule inhibitors of the AB-ABAD interaction. Bioorg. Med. Chem. Lett. 2006, 16, 4657. [Google Scholar] [CrossRef]
- Hutchinson, I.; Chau, M. S.; Browne, H. L.; Trapani, V. Antitumor benzothiazoles 141. Synthesis and in vitro biological properties of fluorinated 2-(4-aminophenyl)benzothiazole. J. Med. Chem. 2001, 44, 1446. [Google Scholar] [CrossRef]
- Hutchinson, I.; Jennings, S.A.; Vishnuvajjala, B. R.; Westwell, A. D.; Stevens, M. F. G. Antitumor benzothiazole 161. Synthesis and pharmaceutical properties of antitumor 2-(4-aminophenyl) benzothiazole amino acid prodrugs. J. Med. Chem. 2002, 45, 744. [Google Scholar] [CrossRef]
- Kashiyama, E.; Hutchinson, I.; Chua, M.-S.; Stinson, S. F.; Phillipes, L. R.; Kaur, G.; Sausville, E. A.; Bradshaw, T. D.; Westwell, A. D.; Stevens, M. F. G. Antitumor benzothiazoles 8. Synthesis, metabolic and biological properties of the C- and N-oxidation products of antitumor 2-(4-aminophenyl)-benzothiazoles. J. Med. Chem. 1999, 42, 4172. [Google Scholar] [CrossRef]
- Mathis, C. A.; Bacski, B. J.; Kajdasz, S. T.; McLellan, M. E.; Frosch, M. P.; Hyman, B. T.; Holt, D. P.; Wany, Y.; Huany, G.-F.; Debnath, M. L.; Klunk, W. E. A lipophilic thioflavin-T derivatives for positron emission tomography (PET) imaging of amyloid brain. Bioorg. Med. Chem. Lett. 2002, 12, 295. [Google Scholar] [CrossRef]
- Mathis, C. A.; Wany, Y.; Holt, D. P.; Huany, G.-F.; Debnath, M. L.; Klunk, W. E. Synthesis and evaluation of 11C-labeled 6-substituted 2-arylbenzothiazoles as amyloid imaging agents. J. Med. Chem. 2003, 46, 2740. [Google Scholar] [CrossRef]
- Ben-Alloum, A.; Bakkas, S.; Soufiaoui, M. Nouvelle voie de synthese des 2-arythiazoles transfert d,electrons active par micro-cndes. Tetrahedron Lett. 1997, 38, 6395. [Google Scholar] [CrossRef]
- Roe, A.; Tuker, W. P. The preparation of some flourobenzothiazoles. J. Heterocycl. Chem. 1965, 2, 148. [Google Scholar] [CrossRef]
- Hutchinson, I.; Stevens, M. F. G.; Westwell, A. D. The regiospecific synthesis of 5- and 7-monosubstituted and 5,6-disubstituted 2- arylbenzothiazoles. Tetrahedron Lett. 2000, 41, 425. [Google Scholar] [CrossRef]
- Alagille, D.; Baldwin, R. M.; Tamagnan, G. D. One-step synthesis of 2-arylbenzo-thiazole (BTA) and benzoxazole precoursers for in vivo imaging of β-amyloid plaques. Tetrahedron Lett. 2005, 46, 1349. [Google Scholar] [CrossRef]
- Majo, V. J.; Prabhakaran, J.; Mann, J. J.; Kumar, J. S. D. An efficient palladium catalysed synthesis of 2-arylbenzothiazoles. Tetrahedron Lett. 2003, 44, 8535. [Google Scholar] [CrossRef]
- Chakraborti, A. K.; Selvam, C.; Kaur, G.; Bahagat, S. An efficient synthesis of benzothiazoles by direct condensation of carboxylic acids with 2-aminothiophenol under microwave irradiation. SynLett. 2004, 5, 851. [Google Scholar] [CrossRef]
- Mutsushita, H.; Lee, S. H.; Joung, M.; Clapham, B.; Janda, K. D. Smart cleavage reactions: the synthesis of benzoimidazoles and benzothiazoles from polymer-bound esters. Tetrahedron Lett. 2004, 45, 313. [Google Scholar]
- Itoh, T.; Nagata, K.; Ishikawa, H.; Ohsawa, A. synthesis of 2-arylbenzothiazoles and imidazoles using scandium triflate as a catalyst for both a ring closing and an oxidation step. Heterocycles 2004, 63, 2769. [Google Scholar] [CrossRef]
- Kawashita, Y.; Meba, C.; Hayashi, A. A simple synthesis of 2-arylbenzothiazoles and its application to palladium-catalyzed Mizoroki-Heck reaction. Tetrahedron Lett. 2006, 47, 4231. [Google Scholar] [CrossRef]
- Praveen, C.; Kumar, K. H.; Muralidharan, D.; Perumal, P. T. Oxidative cyclization of thio-phenolic Schiff ,s bases promoted by PCC: A new oxidant for 2-substituted benzothiazoles and benzoxazoles. Tetrahedron 2008, 64, 2369. [Google Scholar] [CrossRef]
- Okimoto, M.; Yoshida, T.; Hoshi, M.; Hattori, K.; Komata, M.; Tomozawa, K.; Chiba, T. Electrooxidative cyclization of benzylideneaminothiophenols to the corresponding 2-arylbenzo- thiazoles. Heterocycles 2008, 75, 35. [Google Scholar] [CrossRef]
- Chou, C.-H.; Yu, P.-C.; Wang, B.-C. Synthesis of 2-arylbenzothiazoles from flash vacuum pyrolysis and photolysis of 2-methylthio-N-(arenylidene) anilines. Tetrahedron Lett. 2008, 49, 4145. [Google Scholar] [CrossRef]
- Chanada, M.; Arup, D. A green method for the synthesis of 2-arylbenzothiazoles. Heterocycles 2007, 71, 1837. [Google Scholar] [CrossRef]
- Roy, S. C.; Guin, C.; Rana, K. K.; Maiti, G. Ceric ammonium nitrate mediated selective bromo-alkylation of activated cinnamyl compounds using lithium bromide. Synlett. 2001, 226. [Google Scholar]
- Roy, S. C.; Banerjee, B. A mild and efficient method for the chemoselective synthesis of acylals from aldehydes and their deprotections catalysed by ceric ammonium nitrate. Synlett. 2002, 1677. [Google Scholar]
- Nair, V.; Panicker, S. B.; Nair, L. G.; George, T. G.; Augustine, A. Carbon-heteroatom bond-forming reactions mediated by cerium (IV) ammonium nitrate: an overview. Synlett. 2003, 156. [Google Scholar]
- Mekheimer, R. A.; Abdel-Hameed, A.; Sadek, K. U. Solar thermochemical reactions: four component synthesis of polyhydroquinoline derivatives induced by solar thermal reactions. Green Chem. 2008, 10, 592. [Google Scholar] [CrossRef]
- Mekheimer, R. A.; Ameen, M. A.; Sadek, K. U. Solar thermochemical reactions II: synthesis of 2-aminothiophenes via Gewald reaction induced by solar thermal energy. Chinese Chem. Lett. 2008, 19, 788. [Google Scholar] [CrossRef]
- Mu, X. G.; Zou, J. P.; Zeng, R. S.; Wu, J. C. Mn (III)-promoted cyclization of substituted thio-formanilides under microwave irradiation: a new reagent for 2-substituted benzothiazoles. Tetrahedron Lett. 2005, 46, 4345. [Google Scholar] [CrossRef]
- George, B.; Papadopoulos, E. P. Heterocycles from N-ethoxycarbonylthioamides and dinucleo- philic reagents. 2. Five-membered rings containing two heteroatoms at 1,3-positions. J. Org. Chem. 1977, 42, 411. [Google Scholar]
- Sample Availability: Contact the author.
© 2008 by the authors. Licensee Molecular Diversity Preservation International, Basel, Switzerland. This article is an open-access article distributed under the terms and conditions of the Creative Commons Attribution license ( http://creativecommons.org/licenses/by/3.0/).
Share and Cite
Al-Qalaf, F.; Mekheimer, R.A.; Sadek, K.U. Cerium (IV) Ammonium Nitrate (CAN) Catalyzed One-pot Synthesis of 2-Arylbenzothiazoles. Molecules 2008, 13, 2908-2914. https://doi.org/10.3390/molecules13112908
Al-Qalaf F, Mekheimer RA, Sadek KU. Cerium (IV) Ammonium Nitrate (CAN) Catalyzed One-pot Synthesis of 2-Arylbenzothiazoles. Molecules. 2008; 13(11):2908-2914. https://doi.org/10.3390/molecules13112908
Chicago/Turabian StyleAl-Qalaf, Fawzia, Ramadan Ahmed Mekheimer, and Kamal Usef Sadek. 2008. "Cerium (IV) Ammonium Nitrate (CAN) Catalyzed One-pot Synthesis of 2-Arylbenzothiazoles" Molecules 13, no. 11: 2908-2914. https://doi.org/10.3390/molecules13112908
APA StyleAl-Qalaf, F., Mekheimer, R. A., & Sadek, K. U. (2008). Cerium (IV) Ammonium Nitrate (CAN) Catalyzed One-pot Synthesis of 2-Arylbenzothiazoles. Molecules, 13(11), 2908-2914. https://doi.org/10.3390/molecules13112908
