Heterocycles [h]-Fused Onto 4-Oxoquinoline-3-Carboxylic Acid, Part VIII [1]. Convenient Synthesis and Antimicrobial Properties of Substituted Hexahydro[1,4]diazepino[2,3-h]quinoline-9-carboxylic acid and Its Tetrahydroquino[7,8-b]benzodiazepine Analog
Abstract
:Introduction


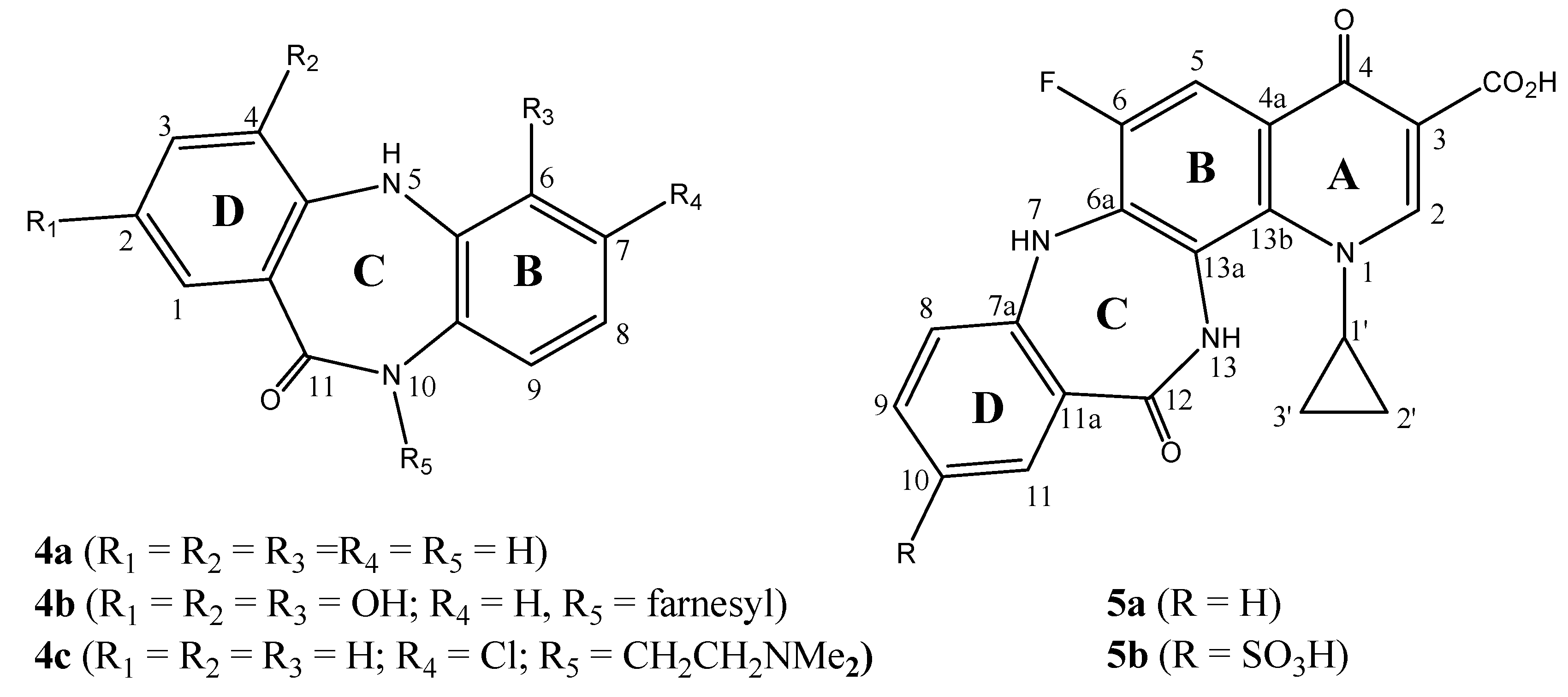
Results and Discussion


Antimicrobial activity
| Compound No. | S. aureus ATCC 6538 | Bacillus subtilis ATCC 6633 | Bacillus pumilus ATCC 8241 | Candida albicans ATCC 1023 |
|---|---|---|---|---|
| 7 | ND* | 6.25 | ND | ND |
| 8 | 0.39 | 0.78 | 6.25 | ND |
| 3 | 12.5 | 3.13 | 6.25 | ND |
| 9 | 0.78 | 6.25 | 3.13 | 0.78 |
| 10 | 3.13 | ND | 6.25 | ND |
| 5a | 6.25 | 3.13 | ND | 1.56 |
| 5b | ND | 1.56 | 6.25 | ND |
| Ciprofloxacin | 0.048 | 0.098 | 0.024 | 3.13 |
Cytotoxicity towards cancerous epithelial cells
Experimental
General
7-Chloro-1-cyclopropyl-6-fluoro-8-nitro-4-oxo-1,4-dihydroquinoline-3-carboxylic acid (6)
7-[(2-Carboxyethyl)amino]-1-cyclopropyl-6-fluoro-8-nitro-4-oxo-1,4-dihydro-quinoline-3-carboxylic acid (?7)
8-Amino-7-[(2-carboxyethyl)-amino]-1-cyclopropyl-6-fluoro-4-oxo-1,4-dihydro-quinoline-3-carboxylic acid (8)
11-Cyclopropyl-2,8-dioxo-6-fluoro-2,3,4,5,8,11-hexahydro-1H-[1,4]Diazepino[2,3-h]quinoline-9-carboxylic acid (3)
7-[2-Carboxyphenyl)amino]-1-cyclopropyl-6-fluoro-8-nitro-4-oxo-1,4-dihydro-quinoline-3-carboxylic acid (9)
8-Amino-7-(2-carboxy-phenylamino)-1-cyclopropyl-6-fluoro-4-oxo-1,4-dihydro-quinoline-3-carboxylic acid (10)
1-Cyclopropyl-6-fluoro-4,12-dioxo-4,7,12,13-tetrahydro-1H-quino[7,8-b][1,4]benzodiazepine-3-carboxylic acid (5a)
1-Cyclopropyl-6-fluoro-4,12-dioxo-10-sulfo-4,7,12,13-tetrahydro-1H-quino[7,8-b][1,4]benzo-diazepine-3-carboxylic acid (5b)
In vitro antibacterial activity testing
Acknowledgements
References anf Notes
- Al-Dweik, M. R.; Zahra, J. A.; Khanfar, M. A.; El-Abadelah, M. M; Zeller, K. P; Voelter, W. Heterocycles [h]-fused onto 4-oxoquinoline-3-carboxylic acid, Part VII. Synthesis of some new 6-oxoimidazo[4,5-h]quinoline-7-carboxylic acids and esters (Part VII). Monatsh. Chem. 2009, 140. in press. [Google Scholar]
- Wise, R.; Andrews, J. M.; Edwards, L. J. In vitro activity of Bay 09867, a new quinoline derivative, compared with those of other antimicrobial agents. Antimicrob. Agents Chemother. 1983, 23, 559–564. [Google Scholar] [CrossRef]
- Felmingham, D.; O'Hare, M. D.; Robbins, M. J.; Wall, R. A.; Williams, A. H.; Cremer, A. W.; Ridgeway, G. L.; Gruneberg, R. N. Comparative in vitro studies with 4-quinolone antimicrobials. Drugs under experimental and clinical research. Drugs Exp. Clin. Res. 1985, 11, 317–329. [Google Scholar]
- Maurer, F.; Grohe, K. 2,4-Dichloro-5-fluorobenzoic acid. Ger. Offen. 3,435, 392, 1986. Chem. Abstr. 1986, 105, 97158e. [Google Scholar]
- Petersen, U.; Bartel, S.; Bremm, K.-D.; Himmler, T.; Krebs, A.; Schenke, T. The synthesis and biological properties of 6-fluoroquinolone carboxylic acids. Bull. Soc. Chim. Belg. 1996, 105, 683–699. [Google Scholar]
- Khan, M. S. Y.; Raghuvanshi, P. Prodrugs of nalidixic acid and norfloxacin. Indian J. Chem. 2001, 40B, 530–532. [Google Scholar]
- Emami, S.; Foroumadi, A.; Faramarzi, M. A.; Samadi, N. Synthesis and antibacterial activity of quinolone-based compounds containing a coumarin moiety. Arch. Pharm. 2008, 341, 42–48. [Google Scholar] [CrossRef]
- Okada, T.; Ezumi, K.; Yamakawa, M.; Sato, H.; Tsuji, T.; Tsushima, T.; Motokawa, K.; Komatsu, Y. Quantitative structure-activity relationships of antibacterial agents, 7-heterocyclic amine substituted 1-cyclopropyl-6,8-difluoro-4-oxoquinoline-3-carboxylic acids. Chem. Pharm. Bull. Jpn. 1993, 41, 126–131. [Google Scholar] [CrossRef]
- Grohe, K. Quinolone Antibacterials; Springer-Verlag: Berlin, Heidelberg, Germany, 1998; pp. 13–62. [Google Scholar]
- Li, Q.; Mitscher, L. A.; Shen, L. L. The 2-pyridone antibacterial agents: Bacterial topoisomerase inhibitors. Med. Res. Rev. 2000, 20, 231–293. [Google Scholar] [CrossRef]
- Zhanel, G. G.; Ennis, K.; Vercaigne, L.; Walkty, A.; Gin, A. S.; Embil, J.; Smith, H.; Hoban, D. A critical review of the fluoroquinolones: Focus on respiratory tract infections. J. Drugs 2002, 62, 13–59. [Google Scholar] [CrossRef]
- Da Silva, A. D.; De Almeida, M. V.; De Souza, M. V. N.; Couri, M. R. C. Biological activity and synthetic metodologies for the preparation of fluoroquinolones, a class of potent antibacterial agents. Curr. Med. Chem. 2003, 10, 21–39. [Google Scholar] [CrossRef]
- Daneshtalab, M. Topics in Heterocyclic Chemistry. volume 2, In Heterocyclic Antitumor Antibiotics; Springer-Verlag: Berlin & Heidelberg, Germany, 2005; pp. 153–173. [Google Scholar]
- Janciene, R.; Klimavicius, A.; Sirutkaitis, R.; Pleckaitiene, L.; Staniulyte, Z. Practical synthesis of differently N5-functionalized tetrahydro-1,5-benzodiazepine-2-ones. Chemine Technologija 2002, 1, 56–59. [Google Scholar]
- Janciene, R.; Klimavicius, A.; Staniulyte, Z.; Kosychova, L.; Palaima, A.; Puodziunaite, B. D. Formation of nitro-substituted tetrahydro-1,5-benzodiazepinones. Chemine Technologija 2003, 4, 44–48. [Google Scholar]
- Puodziunaite, B.; Janciene, R.; Stumbreviciute, Z.; Kosychova, L. Bromination of aromatic ring of tetrahydro-1,5-benzodiazepine-2-ones. Chem. Heterocycl. Compds. 2000, 36, 698–704. [Google Scholar] [CrossRef]
- Jung, D.-I.; Choi, T.-W.; Kim, Y.-Y.; Kim, I.-S.; Park, Y.-M.; Lee, Y.-G.; Jung, D.-H. Synthesis of 1,5-benzodiazepine derivatives. Synth. Commun. 1999, 29, 1941–1951. [Google Scholar] [CrossRef]
- Ashworth, D. M.; Pitt, G. R. W.; Hudson, P.; Yea, C. M.; Franklin, R. J.; Semple, G. Preparation of fused azepine derivatives and their use as antidiuretic agents. PCT Int. Appl. WO 2002000626 A1, 2002. [Google Scholar]
- Miki, K.; Arimoto, F.; Sunami, M. Pharmaceutical composition comprising nitrogenated fused cyclic compound. PCT Int. Appl. WO 138 998, 2007. [Google Scholar]
- Ohkawa, T.; Zenkoh, T.; Tomita, M.; Hosogai, N.; Hemmi, K.; Tanaka, H.; Setoi, H. Synthesis and characterization of orally active nonpeptide vasopressin V2 receptor antagonists. Chem. Pharm. Bull. 1999, 47, 501–510. [Google Scholar] [CrossRef]
- Albright, J. D.; Reich, M. F.; Sum, Fuk-Wah; Santos, E. G. D. Tricyclic diazepine vasopressin and oxytocin antagonists. U.S. Patent 5736540 A, 1998. [Google Scholar]
- Kalyanam, N.; Manjunatha, S. G. Studies on antiamoebic compounds. Part II. Antiamoebic activity of dichloroacetamides of 1,5-benzodiazepinones and tetrahydroquinoxalinones. Indian J. Chem. 1991, 30B, 1077–1079. [Google Scholar]
- Dandegaonker, S. H.; Desai, G. B. Tetrahydrodiazepines. Indian J. Chem. 1963, 1, 298–300. [Google Scholar]
- Szarvasi, E.; Grand, M.; Depin, J. C.; Betbeder-Matibet, A. 4H-5,6-dihydro-s-triazolo[4,3-a]benzo-1,5-diazepines having analgesic and antiinflammatory activity. Eur. J. Med. Chem. 1978, 13, 113–119. [Google Scholar]
- Puodziunaite, B.; Janciene, R.; Liutkiene, R. Synthesis and anti-tumor activity of 5-alkyl-2,3,4,5-tetrahydro-1H-1,5-benzodiazepinones-2. Lietuvos TSR Mokslu Akademijos Darbai, Serija C: Biologijos Mokslai 1988, 1, 96–103, [Chem. Abstr. 1989, 110, 173195].. [Google Scholar]
- Puodziunaite, B.; Janciene, R.; Stumbreviciute, Z. Synthesis and structural study of 5-formyl-2,3,4,5-tetrahydro-1H-1,5-benzodiazepinones-2. Khim. Geterotsik. Soedin. 1988, 7, 957–961, [Chem. Abstr. 1989, 110, 135211].. [Google Scholar]
- Puodziunaite, B.; Janciene, R.; Zaks, A.; Rabotnikov, Yu. M.; Usachev, E. A. Synthesis and biological activity of N-alkyl 2,3,4,5-tetrahydro-1H-1,5-benzodiazepinone-2 derivatives. Khim. Farmat. Zhur. 1988, 22, 1077–1081, [Chem. Abstr. 1989, 110, 192788].. [Google Scholar]
- Janciene, R.; Puodziunaite, B.; Liutkiene, R. Synthesis of 5-carbamoyl derivatives of 2,3,4,5-tetrahydro-1H-1,5-benzodiazepine-2-ones. USSR. Avail. VINITI Dep. Doc. 1982. (VINITI 6091-82); [Chem. Abstr. 1984, 100, 156578].. [Google Scholar]
- Charan, R. D.; Schlingmann, G.; Janso, J.; Bernan, V.; Feng, X.; Carter, G. T. Diazepinomicin, a new antimicrobial alkaloid from a marine Micromonospora sp. J. Nat. Prod. 2004, 67, 1431–1433. [Google Scholar] [CrossRef]
- Ek, F.; Olsson, R.; Ohlsson, J. Amino-substituted diaryl[a,d]cycloheptene analogs as muscarinic agonists, their preparation and use in the treatment of neuropsychiatric disorders. PCT Int. Appl. WO 063254 A2, 2005. [Google Scholar]
- Tam, P.; Gesundheit, N.; Wilson, L. F. As-needed administration of tricyclic and other non-SRI antidepressant drugs to treat premature ejaculation. U.S. Pat. Appl. 161016 A1, 2002. [Google Scholar]
- Takeda, M.; Matsubara, M.; Kugita, H. Synthesis of dibenzo[b,e][1,4]diazepine derivatives as anti-depressants. Yakugaku Zasshi 1969, 89, 158–63. [Google Scholar]
- Beccalli, E. M.; Broggini, G.; Paladino, G.; Zoni, C. Palladium-mediated approach to dibenzo[b,e][1,4]diazepines and benzopyrido-analogues. An efficient synthesis of tarpane. Tetrahedron 2005, 61, 61–68. [Google Scholar] [CrossRef]
- Watanabe, T.; Kakefuda, A.; Kinoyama, I.; Yanagisawa, I. Preparation of benzodiazepinone derivatives as muscarine M2 receptor antagonists. PCT Int. Appl. WO 9613488 A1, 1996. [Google Scholar]
- Hanze, A. R.; Strube, R. E.; Greig, M. E. Dibenzo[b,e] [1,4]diazepines. J. Med. Chem. 1963, 6, 767–771. [Google Scholar] [CrossRef]
- Wilks, A.; Mackerell, A. D., Jr.; Lopes, P.; Furci, L. M. Heme oxygenase inhibitors and methods of therapeutic use as antimicrobial agents. PCT Int. Appl. WO 014266 A2, 2008. [Google Scholar]
- Igarashi, Y.; Miyanaga, S.; Onaka, H.; Takeshita, M.; Furumai, T. Revision of the structure assigned to the antibiotic BU-4664L from Micromonopora. J. Antibiotics 2005, 58, 350–352. [Google Scholar] [CrossRef]
- Farnet, C. M.; Dimitriadou, V.; Bachmann, B. O. Preparation of farnesyl dibenzodiazepinones, their production with microorganisms, and their use as antitumor, antibacterial, and antiinflammatory agents. U.S. Pat. Appl. 107363 A1, 2005. [Google Scholar]
- Albright, J. D.; Sum, F.-W. Tricyclic benzazepine oxytocin and vasopressin antagonists. U.S. Pat. 5869483 A, 1999. [Google Scholar]
- Albright, J. D.; Du, X. Tricyclic benzazepine oxytocin and vasopressin antagonists. U.S. Pat. 5736538 A, 1998. [Google Scholar]
- Levy, O.; Erez, M.; Varon, D.; Keinan, E. A new class of antiarrhythmic-Defibrillatory agents. Bioorg. Med. Chem. Lett. 2001, 11, 2921–2926. [Google Scholar] [CrossRef]
- Poppe, H.; Kaverina, N. V.; Lyskovzev, V. V.; Egerland, U.; Sauer, W.; Lichoscherstow, A.; Ruger, Carla.; Skoldinow, A. New 5-aminoacyl-5,10-dihydro-11H-dibenzo [b,e][1,4]diazepine-11-ones with antiarrhythmic activity. Pharmazie 1997, 52, 821–830. [Google Scholar]
- Zahradnik, I.; Minarovic, I.; Zahradnikova, A. Inhibition of the cardiac L-type calcium channel current by antidepressant drugs. J. Pharm. Exp. Ther. 2008, 324, 977–984. [Google Scholar]
- Olsen, U. B. Piperidinecarboxylic acid derivatives for reducing blood glucose levels. PCT Int. Appl. WO 9722338 A1, 1997. [Google Scholar]
- Joergensen, T. K.; Andersen, K. E.; Andersen, H. S.; Hohlweg, R.; Madsen, P.; Olsen, U. B. Novel heterocyclic compounds for treatment of pain and/or inflammation. PCT Int. Appl. WO 9631497 A1, 1996. [Google Scholar]
- Andersen, K. E.; Olsen, U. B.; Petersen, H.; Groenvald, F. C.; Sonnewald, U.; Joergensen, T. K.; Andersen, H. S. Novel azaheterocyclic acids useful as analgesics and antiinflammatories. PCT Int. Appl. WO 9518793 A1, 1995. [Google Scholar]
- McAlpine, J. B.; Banskota, A. H.; Aouidate, M. Preparation of dibenzodiazepinone analogs in anticancer pharmaceutical compositions. U.S. Pat. Appl. 161291 A1, 2008. [Google Scholar]
- Bachmann, B. O.; Mcalpine, J. B.; Zazopoulos, E.; Farnet, C. M.; Piraee, M. Methods for de novo biosynthesis of farnesyl dibenzodiazepinone, ECO-04601, in Micromonospora and its use as antitumor, antibacterial, and antiinflammatory agent. S. African Pat. ZA 004214 A, 2006. [Google Scholar]
- Gourdeau, H.; Ranger, M.; Berger, F.; Simard, B. IV. Administration of farnesyl dibenzodiazepinone for treatment of cancer. U.S. Pat. Appl. 270662 A1, 2006. [Google Scholar]
- McAlpine, J. B.; Banskota, A. H. Preparation of dibenzodiazepinone analogs and their use as antineoplastic agents. Can. Pat. Appl. CA 2511750 A1, 2005. [Google Scholar]
- McAlpine, J. B.; Banskota, A. H.; Aouidate, M. Preparation of dibenzodiazepinone analogs in anticancer pharmaceutical compositions. U.S. Pat. Appl. 161291 A1, 2008. [Google Scholar]
- Khalil, O. M.; Roshdy, S. M. A.; Shaaban, M. A.; Hasanein, M. K. New 7-substituted fluoroquinolones. Bull. Fac. Pharm. 2002, 40, 89–96. [Google Scholar]
- Renau, T. E.; Sanchez, J. P.; Gage, J. W.; Dever, J. A.; Shapiro, M. A.; Grackeck, S. J.; Domagala, J. M. Structure-Activity Relationships of the Quinolone Antibacterials against Mycobacteria: Effect of Structural Changes at N-1 and C-7. J. Med. Chem. 1996, 39, 729–735. [Google Scholar] [CrossRef]
- Grohe, K.; Heitzer, H. Cycloaracylation of enamines. I. Syntheisis of 4-quinolone-3-carboxylic acids. Liebigs Ann. Chem. 1987, 29–37. [Google Scholar] [CrossRef]
- Petersen, U.; Grohe, K.; Schenke, T.; Hagemann, H.; Zeiler, H. J.; Metzger, K. G. Preparation of 7-(azabicycloalkyl)-3-quinoline carboxylates and 3-naphthyridinecarboxylates as bactericides and feed additives. Ger. Offen. 1987, 3,601, 567, [Chem. Abstr. 1987, 107, 236747].. [Google Scholar]
- Pulla, R. M.; Venkaiah, C. N. An improved process for the preparation of quinolone derivatives, e.g. ciprofloxacin. PCT Int. Appl. WO 085 692; [Chem. Abstr. 2001, 135, 371649]., 2001. [Google Scholar]
- Al-Hiari, M. Y.; Al-Mazari, S. I.; Shakya, K. S.; Darwish, M. R.; Abu-Dahab, M. R. Synthesis and Antibacterial Properties of New 8-Nitro fluoroquinolone Derivatives. Molecules 2007, 12, 1240–1258. [Google Scholar] [CrossRef]
- Sample availability: Contact the authors.
© 2008 by the authors. Licensee Molecular Diversity Preservation International, Basel, Switzerland. This article is an open-access article distributed under the terms and conditions of the Creative Commons Attribution license ( http://creativecommons.org/licenses/by/3.0/).
Share and Cite
Al-Hiari, Y.M.; Abu-Dahab, R.; El-Abadelah, M.M. Heterocycles [h]-Fused Onto 4-Oxoquinoline-3-Carboxylic Acid, Part VIII [1]. Convenient Synthesis and Antimicrobial Properties of Substituted Hexahydro[1,4]diazepino[2,3-h]quinoline-9-carboxylic acid and Its Tetrahydroquino[7,8-b]benzodiazepine Analog. Molecules 2008, 13, 2880-2893. https://doi.org/10.3390/molecules13112880
Al-Hiari YM, Abu-Dahab R, El-Abadelah MM. Heterocycles [h]-Fused Onto 4-Oxoquinoline-3-Carboxylic Acid, Part VIII [1]. Convenient Synthesis and Antimicrobial Properties of Substituted Hexahydro[1,4]diazepino[2,3-h]quinoline-9-carboxylic acid and Its Tetrahydroquino[7,8-b]benzodiazepine Analog. Molecules. 2008; 13(11):2880-2893. https://doi.org/10.3390/molecules13112880
Chicago/Turabian StyleAl-Hiari, Yusuf M., Rana Abu-Dahab, and Mustafa M. El-Abadelah. 2008. "Heterocycles [h]-Fused Onto 4-Oxoquinoline-3-Carboxylic Acid, Part VIII [1]. Convenient Synthesis and Antimicrobial Properties of Substituted Hexahydro[1,4]diazepino[2,3-h]quinoline-9-carboxylic acid and Its Tetrahydroquino[7,8-b]benzodiazepine Analog" Molecules 13, no. 11: 2880-2893. https://doi.org/10.3390/molecules13112880
APA StyleAl-Hiari, Y. M., Abu-Dahab, R., & El-Abadelah, M. M. (2008). Heterocycles [h]-Fused Onto 4-Oxoquinoline-3-Carboxylic Acid, Part VIII [1]. Convenient Synthesis and Antimicrobial Properties of Substituted Hexahydro[1,4]diazepino[2,3-h]quinoline-9-carboxylic acid and Its Tetrahydroquino[7,8-b]benzodiazepine Analog. Molecules, 13(11), 2880-2893. https://doi.org/10.3390/molecules13112880
