Next Article in Journal
An Improved Synthesis of 4-Chlorocoumarin-3-sulfonyl Chloride and Its Reactions with Different Bidentate Nucleophiles to Give Pyrido[1',2':2,3]- and Thiazino[3',2':2,3]-1,2,4-Thiadiazino[6,5-c]Benzopyran-6-one 7,7-Dioxides
Previous Article in Journal
Full Open Access Publishing Policy Imposed in 2007: Molecules Publishes Many More Papers This Year – More than 2000 Pages Published up to Issue 8
 
 
Font Type:
Arial Georgia Verdana
Font Size:
Aa Aa Aa
Line Spacing:
Column Width:
Background:
Article

Synthesis of Novel Derivatives of 4-Amino-3-(2-Furyl)-5-Mercapto-1,2,4-Triazole as Potential HIV-1 NNRTIs

1
Institute of Medicinal Chemistry, School of Pharmaceutical Sciences, Shandong University, No.44, Wenhuaxi Road, Jinan, 250012, P.R. China
2
Rega Institute for Medical Research, Katholieke Universiteit Leuven, B-3000 Leuven, Belgium
*
Author to whom correspondence should be addressed.
Molecules 2007, 12(8), 2003-2016; https://doi.org/10.3390/12082003
Submission received: 21 July 2007 / Revised: 17 August 2007 / Accepted: 20 August 2007 / Published: 22 August 2007

Abstract

:
A series of 5-alkylthio (2a-d), 4-arylideneamino (3a-d) and 4-arylideneamino-5-alkylthio derivatives (4a-f) of 4-amino-3-(2-furyl)-5-mercapto-1,2,4-triazole (1) were synthesized by alkylation of the parent compound with alkyl halides and condensation with aldehydes, respectively. Sulfanyl dimers 5a-d and 4-iminomethyl dimer 6 were correspondingly prepared by reaction with alkane dibromides and 1,4-diformylbenzene. Mannich base 7 was also synthesized by aminomethylation of the 3-sulfanyltriazole 1 at the N1 position. The newly designed and synthesized substituted s-triazole derivatives were assayed for anti-HIV-1 activity by examination of their inhibition of HIV-1-induced cytopathogenicity in MT-4 cells and by determination of their inhibitory effect on HIV-1 reverse transcriptase. Compound 4e was found to be the most active inhibitor against HIV-1 replication in cell culture (EC50 = 12 μM) and against HIV-1 reverse transcriptase (IC50 = 43.5 μM), which provided a good lead for further optimization.

Introduction

The worldwide AIDS crisis continues, with some 43 million people infected by HIV-1 and 8,000 deaths every day in 2006. HIV-1 reverse transcriptase (RT) is a key enzyme in the HIV-1 replication process and has been a key target for developing anti-HIV drugs. Non-nucleoside reverse transcriptase inhibitors (NNRTIs) have found widespread use in HIV therapy in multidrug treatment regimes and in highly active antiretroviral therapy (HAART) [1]. However, the use of NNRTIs in the clinic still remains subject to the rapid emergence of drug resistance due to mutation of the HIV-RT enzyme and this limits therapeutic options [2]. There is therefore an urgent need to develop new high potency drugs against both the wild-type (WT) HIV-1 and the drug-resistant mutant strains [3].
In recent years a variety of potential candidates have been developed, especially new structural NNRTI classes, in which some substituted five-member heterocyclic compounds have been reported to be active in inhibition of HIV-1 replication targeting the RT step, e.g. capravirine, an imidazole derivative (formerly known as S-1153 and AG-1549, Figure 1a), is one of the most promising NNRTIs currently in clinical trials [4]. More recently, sulfanyltriazole derivatives (Figure 1b), have been identified as potent HIV-1 NNRTIs with low nanomolar inhibitory activity for viruses with wild-type or K103N/Y181C [5,6]. In order to explore the structure-activity relationships (SAR) of this novel scaffold, herein we describe the design, synthesis and anti-HIV-1 activities of a series of novel substituted N4-arylideneaminotriazole derivatives (Figure 1c).
Figure 1.  
Figure 1.  
Molecules 12 02003 g001

Results and Discussion

Compound 1, 4-amino-3-(2-furyl)-5-mercapto-4H-1,2,4-triazole, was prepared by a one-pot reaction, which started with the reaction of 2-furoic acid hydrazide with carbon disulfide in ethanolic potassium hydroxide, to form a potassium dithiocarbazinate intermediate, followed by a cyclo- condensation with excess hydrazine to produce the s-triazole 1 as a white solid in good yield [7]. 2-furoic acid hydrazide in turn was synthesized from the corresponding 2-furoic acid ester by reaction with hydrazine hydrate. 5-Alkylthio derivatives 2a-d were prepared by the alkylation of compound 1 with alkyl halides in potassium hydroxide/ethanol solution (Scheme 1) [8,9].
Schiff’s bases of 4-arylideneamino compounds 3a-d were obtained by the condensation reactions of compound 1 with different aldehydes in refluxing ethanol solutions in the presence of trace amounts of concentrated sulphuric acid [10]. The structures of these compounds 3 were confirmed by their 1H-NMR spectra (DMSO-d6), in which two signals appeared at low field. The lower one (δ 13-12 ppm), exchangeable with deuterium oxide, corresponds to the NH proton (tautomer of the SH one), and the other one (δ 10-9 ppm) is attributed to the N=CH- group proton. Similar conditions to those described for the preparation of compounds 2 and 3 were used for the preparation of 4-arylideneamino-5-alkylthio derivatives 4a-f (Scheme 1).
Scheme 1.  
Scheme 1.  
Molecules 12 02003 g002
In order to increase the molecular diversity and analyze the structure-activity relationships, we also synthesized some new symmetric dimeric derivatives. When 4-arylideneamino-3-(2-furyl)-5-mecapto-1,2,4-triazoles 3 were mixed with half a mole of an alkyl dibromide and a molar equivalent of potassium hydroxide in refluxing methanol, dimers of 1,2-{4-arylideneamino-5,5’-di(3-(2-furyl)-1,2,4-triazolyl)}-dithioethane 5a-d were obtained as light yellow crystals in good yield (Scheme 2).
Scheme 2.  
Scheme 2.  
Molecules 12 02003 g003
Scheme 3.  
Scheme 3.  
Molecules 12 02003 g004
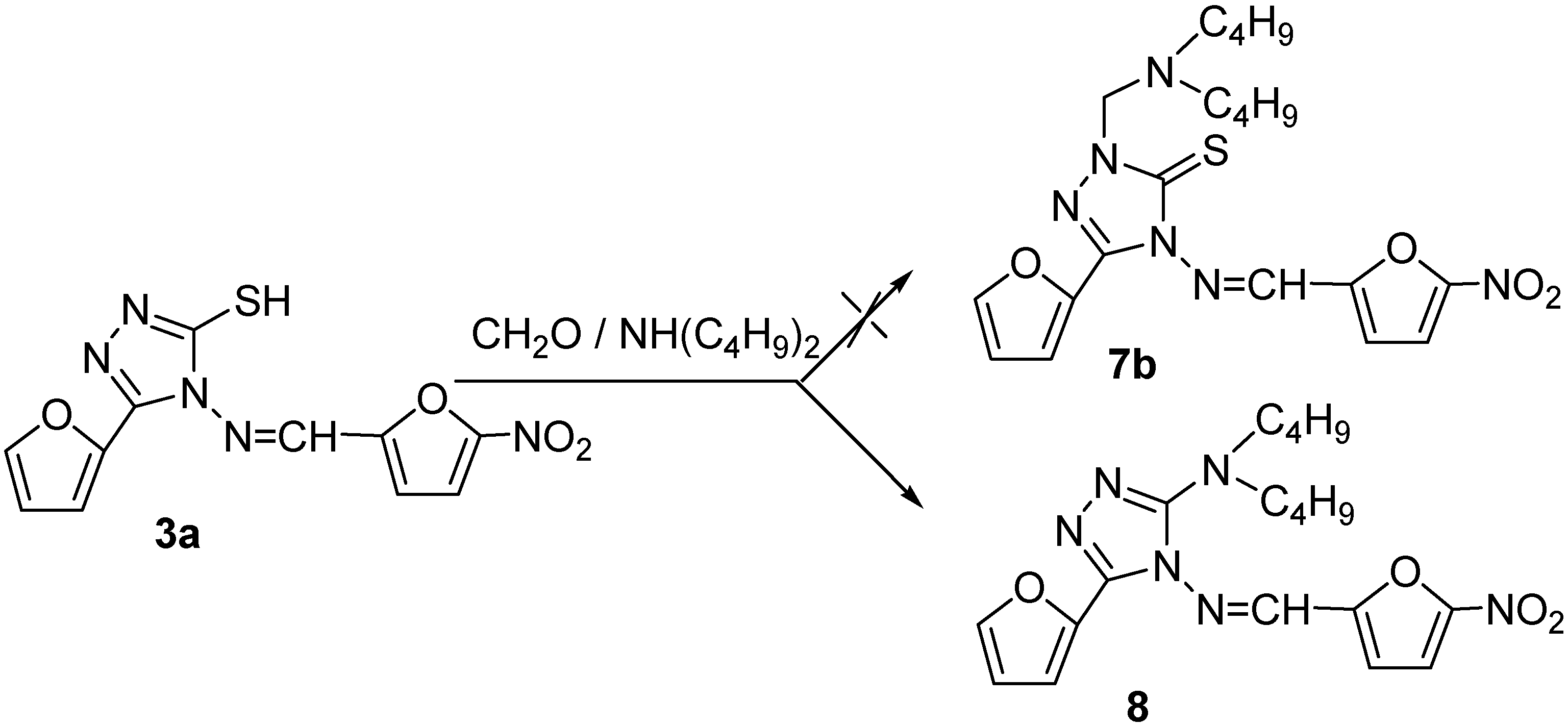
4-Iminomethyl dimer 6 was prepared by the reaction of compound 1 with 1,4-diformylbenzene in the refluxing ethanol (Scheme 3). Aminomethylation of compound 3 with formaldehyde and secondary amines in ethanol media produced the Mannich base 7a in good yield (Scheme 4). An exception was compound 7b, which was not obtained when the Mannich reaction was carried out under refluxing conditions, and instead compound 8 was formed (Scheme 5). The structure of compound 8 was confirmed by the 1H-NMR spectrum, in which no methylene protons signal from 1-dibutylamino groups was found, as well as confirmed by the elemental analysis and IR spectra.
Scheme 4.  
Scheme 4.  
Molecules 12 02003 g005
Scheme 5.  
Scheme 5.  
Molecules 12 02003 g006
The newly synthesized 5-alkylthio derivatives 2a-d, 4-arylideneamino ones 3a-d and the 4-arylideneamino-5-alkylthio-1,2,4-triazoles were screened for their anti-HIV activities, including inhibition of HIV-1-induced cytopathogenicity in MT-4 cells and determination of the inhibitory effect on the HIV-1 RT. The experimental results are listed in Table 1, Table 2, Table 3 and Table 4.
Table 1. Anti-HIV-1 activity and cytotoxicity of 5-alkylthio-s-triazoles 2a-d in MT-4 cell culture.
Molecules 12 02003 i001
Table 1. Anti-HIV-1 activity and cytotoxicity of 5-alkylthio-s-triazoles 2a-d in MT-4 cell culture.
Molecules 12 02003 i001
Compd.R1mp (°C)HIV-1 (IIIB)
EC50 (μM)aCC50 (μM)bSIc
2aPhenyl201-203>459.6>459.6×1d
2b3-Methoxyphenyl175-178>413.9>413.9×1
2c4-Cyanophenyl235-236>420.9>or=317.8<or×1
2dEthoxycarbonyl156-158>466.4>466.4×1
a EC50: dose of compound required to achieve 50% protection of MT-4 cell from HIV-1-induced cytotoxicity, as determined by the MTT [3-(4,5-dimethylthiazol-2-yl)-2,5-diphenyltetrazolium bromide] method [11]. b CC50: dose required to reduce the viability of mock-infected cells by 50%, as determined by the MTT method. c SI: selectivity index (CC50/ EC50). d The SI values: ×1 stand for ≥1or<1. All data represent mean values for at least two separate experiments.
Table 2. Anti-HIV-1 activity and cytotoxicity of4-arylideneamino-1,2,4-triazoles 3a-d.
Molecules 12 02003 i002
Table 2. Anti-HIV-1 activity and cytotoxicity of4-arylideneamino-1,2,4-triazoles 3a-d.
Molecules 12 02003 i002
Compd.R2mp (°C)HIV-1 (IIIB)
EC50 (μM)CC50 (μM)SI
3a5-Nitro-2-furyl198-20168.3170.83
3b4-Methoxyphenyl216-218------
3c3,4-Dimethoxyphenyl225-227>281.8290.3<1
3d4-Chlorophenyl226-228>8.38.3<1
Table 3. Anti-HIV-1 activity and cytotoxicity of 3,4,5-trisubstituted s-triazoles 4a-f.
Molecules 12 02003 i003
Table 3. Anti-HIV-1 activity and cytotoxicity of 3,4,5-trisubstituted s-triazoles 4a-f.
Molecules 12 02003 i003
Compd.R1R2HIV-1 (IIIB)
EC50 (μM)CC50 (μM)SI
4aPhenyl5-Nitro-2-furyl>6.76.7<1
4b3-Methoxyphenyl5-Nitro-2-furyl------
4c4-Cyanophenyl5-Nitro-2-furyl>5.46.0<1
4dEthoxycarbonyl5-Nitro-2-furyl>3.26.8<1
4ePhenyl3,4-Dimethoxyphenyl1226021
4fEthoxycarbonyl3,4-Dimethoxyphenyl>293.3>or=293.3<or×1
Nevirapine0.0368322,767
Table 4. Inhibitory activity of substituted s-triazoles against HIV-1 RT.
Table 4. Inhibitory activity of substituted s-triazoles against HIV-1 RT.
Compd.3a4eNevirapine
IC50 (μM)a32543.54.5
a 50% of the inhibitory concentration of the substituted s-triazole derivatives required to inhibit biotin deoxyuridine triphosphate (biotin-dUTP) incorporation into the HIV-1 RT by 50%.
From the results, we determined that only compounds 4e and 3a exhibited significant inhibitory activity against HIV-1 replication in MT-4 cell culture, with EC50 values of 12 μM and 68.3 μM, respectively, and that most of the compounds had lost their effectiveness, compared with the prototype sulfanyltriazole compounds, which is probably due to the substituents at positions 3, 4 and 5 of the triazole heterocycle, which did not allow the molecules to bind to HIV-1 RT in a "butterfly-like" conformation [12]. Compound 4e showed a moderate potency in the inhibition of HIV-1 RT, with an IC50 value of 43.5 μM, which agrees well with the results obtained in the cell culture test, further verifying the mechanism of action of this kind of compounds in targeting the NNRTI site of HIV-1 RT.

Conclusions

In summary, a series of 5-alkylthio- (2a-d), 4-arylideneamino- (3a-d) and 4-arylideneamino-5-alkylthio derivatives (4a-f) of 4-amino-3-(2-furyl)-5-mercapto-1,2,4-triazole (1) were synthesized by alkylation with alkyl halides and condensation with aldehydes, respectively. Other derivatives such as sulfanyl dimers 5a-d, 4-iminomethyl dimer 6 and the Mannich base 7a were also prepared. The structures of all newly synthesized compounds were assigned on the basis of elemental analysis, 1H-NMR and IR spectra. Some substituted s-triazole derivatives were assayed for anti-HIV-1 activity by inhibition of HIV-1-induced cytopathogenicity in MT-4 cells and by determination of the inhibitory effect on the HIV-1 RT. The results showed that compound 4e was an active inhibitor against HIV-1 replication in cell culture (EC50 = 12 μM) and against HIV-1 RT (IC50 = 43.5 μM), which provides a good lead for design and discovery of new high potent HIV-1 NNRTIs by structure-based molecular modification.

Experimental

General

All melting points were measured on a Reichert-Jung Kofler melting point apparatus and are uncorrected; Elementary analysis data were determined with a Heraeus CHN-RAPID instrument; 1H-NMR spectra were recorded on a Bruker Avance 300 (300 MHz) or a Bruker Avance 600 (600 MHz) spectrometer. The solvents used were DMSO-d6 or CDCl3, as indicated; chemical shifts δ are reported in ppm units relative to the internal tetramethylsilane (TMS) standard. The coupling constants are given in Hz, and the different signals are expressed using the standard abbreviations (s, singlet; d, doublet; t, triplet; m, mutiplet; etc). Infrared spectra (IR) were recorded as KBr disks on a Shimadzu IR-435 spectrometer. The assignment data are only the maximum value of the absorption peak. All compounds were routinely checked by TLC. Merck silica gel 60 was used for flash column chromatographic purification. Solvents were reagent grade and when necessary, were purified and dried by standard methods. Concentration of the reaction solutions involved the use of a rotary evaporator at reduced pressure.

General Procedure for the Preparation of Compounds 2

To a suspension of 4-amino-3-furyl-5-sulfanyl-1,2,4-triazole 1 (1 mmol) in ethanol (10 mL) was added dropwise at 0°C an aqueous solution of potassium hydroxide (2 mol∙L-1, 1 mmol). To this mixture the appropriate alkyl halide (1.2 mmol) was added dropwise with vigorous stirring, the temperature was allowed to raise to ambient (25°C) and the reaction was continued for 1-2 h. When the reaction was complete (as checked by TLC), water (20 mL) was added, and a white precipitate was formed, which was separated by filtration, washed with water, and recrystallized from the appropriate solvent.
4-Amino-3-(2-furyl)-5-benzylthio-4H-1,2,4-triazole (2a). This compound was obtained as colorless needles by recrystallization from ethanol; yield 73.2%; mp: 201-203°C; 1H-NMR (300 MHz, DMSO-d6) δ: 7.88 (1H, d, J = 1.7 Hz, 5’-H-furan), 7.43-7.20 (6H, m, Ar-H), 6.68 (1H, d, J = 3.8 Hz, 3’-H-furan), 6.11 (2H, s, NH2), 4.41 (2H, s, -CH2-S-); IR (cm-1): 3272, 3172 (υNH), 3127, 3109 (υ=CH), 3064, 3030 (Ar-H), 1648 (m, vC=N), 1602, 1583, 1462, 1431 (υArC=C), 1247 (s, υN-N=C), 696 (m, υC-S-C); Anal. calcd. for C13H12N4OS: C, 57.21; H, 4.39; N, 20.81; Found: C, 57.33; H, 4.41; N, 20.47.
4-Amino-3-(2-furyl)-5-(3-methoxylbenzyl)thio-4H-1,2,4-triazole (2b). This compound was purified by recrystallization from ethanol to give white needles; yield 67.3 %; mp: 175-178°C; 1H-NMR (300 MHz, DMSO-d6) δ: 7.91 (1H, d, J = 1.5 Hz, 5’-H-furan), 7.24-6.82 (5H, m, Ar-H), 6.71 (1H, d, J = 3.5 Hz, 3’-H-furan), 6.14 (2H, s, NH2), 4.40 (2H, s, -CH2-S-), 3.37 (3H, s, OCH3); IR (cm-1): 3280, 3182 (υNH), 3130, 3109 (υ=CH), 3051, 3010 (Ph-H), 2957, 2939 (υCH3), 1641 (m, vC=N), 1608, 1583, 1465, 1433 (υC=C), 1272 (s, υN-N=C), 709 (m, υC-S-C); Anal. calcd. for C14H14N4O2S: C, 55.40; H, 4.75; N, 18.80; Found: C, 55.51; H, 4.67; N, 18.53.
4-Amino-3-(2-furyl)-5-(4-cyanobenzyl)thio-4H-1,2,4-triazole (2c). This compound was purified by recrystallization from ethanol to afford white needles; yield 83%; mp: 235-236°C; 1H-NMR (300 MHz, DMSO-d6) δ: 7.87 (1H, d, J = 1.2 Hz, 5’-H-furan), 7.76 (2H, AB, d, J = 8.7 Hz, 3,5-H2-Ph), 7.62 (2H, AB, d, J = 8.7 Hz, 2,6-H2-Ph), 7.21 (1H, d, J = 3.6 Hz, 3’-H-furan), 6.68 (1H, dd, J1 = 1.2 Hz, J2 = 3.6 Hz, 4’-H-furan), 6.14 (2H, s, NH2), 4.48 (2H, s, SCH2); IR (cm-1): 3378, 3290 (d, υNH, m), 2225 (υCN, s), 1603, 1517, 1463, 1432, 1414 (s), 1250, 1114, 1017 (s), 978, 902, 748 (s), 556; Anal. calcd. for C14H11N5OS: C, 56.55; H, 3.73; N, 23.55; Found: C, 55.98; H, 3.77; N, 23.65.
4-Amino-3-(2-furyl)-5-(ethoxylcarbonyl)methylthio-4H-1,2,4-triazole (2d). This compound was purified by recrystallization from ethanol to give white needles; yield 71%; mp: 156-158°C; 1H-NMR (300 MHz, DMSO-d6) δ: 7.88 (1H, d, J = 1.5 Hz, 5’-H-furan), 7.21 (1H, d, J = 3.6 Hz, 3’-H-furan), 6.69 (1H, dd, J1 = 1.5 Hz, J2 = 3.6 Hz, 4’-H-furan), 4.44 (2H, s, -CH2-S- ), 4.10 (2H, q, J = 7.5 Hz, OCH2), 1.18 (3H, t, J = 7.5 Hz, CH3); IR (cm-1): 3322 (υNH), 3154, 3128 (υ=CH), 2993, 2972 (υCH3), 1739 (s, υc=o), 1629, 1415, 1380, 1304, 1176 (s), 1024, 997, 898; Anal. calcd. for C10H12N4O3S: C, 44.77; H, 4.51; N, 20.88. Found: C, 44.82; H, 4.47; N, 20.96.

General Procedure for the Preparation of Compounds 3

A mixture of 4-amino-3-furyl-5-sulfanyl-1,2,4-triazole 1 (0.1 mmol) with an aromatic aldehyde in ethanol/water (2:1, 40 mL), was refluxed for about 3 h (checked by TLC). When the reaction solution had cooled down, the crude product was precipitated, collected by filtration and recrystallized from an appropriate solvent.
4-(5-Nitrofurylidene)amino-3-(2-furyl)-5-sulfanyl-4H-1,2,4-triazole (3a). This compound was prepared by the condensation of compound 1 with 5-nitro-2-furaldehyde diacetate in sulfuric acid- ethanol-water (0.1:1:2) solution, and purified by recrystallization from acetone/ethanol (4:1) to give yellow needles; yield 98.3%; mp: 198-201°C; 1H-NMR (300 MHz, DMSO-d6) δ: 14.39 (1H, s, NH or SH), 10.34 (1H, s, -N=CH), 8.01 (1H, d, J = 1.5 Hz, 5’-H-furan), 7.88 (1H, AB, d, J1 = 3.5 Hz, 4’’-H-furan), 7.75 (1H, AB, d, J2 = 3.5 Hz, 3’’-H-furan), 7.28 (1H, d, J = 3.0 Hz, 3’-H-furan), 6.78 (1H, dd, J1 = 1.5 Hz, J2 = 3.0 Hz, 4’-H-furan); IR (cm-1): 3109 (s, υ=CH), 2977, 2936 (w, υCH), 1623 (s, υC=N), 1536 (s, υasNO2), 1450 (s, υC=C), 1349 (υNO2, s), 1274 (υN-N=C, s), 968 (s), 721 (υC-S-C, m); Anal. calcd. for C11H7N5O4S: C, 43.28; H, 2.31; N, 22.94. Found: C, 43.35; H, 2.33; N, 23.05.
4-(4-Methoxybenzylidene)amino-3-(2-furyl)-5-sulfanyl-4H-1,2,4-triazole (3b). This compound was prepared by the reaction of compound 1 with 4-methoxyphenyl aldehyde and purified by recrystalization from ethanol to obtain white needles; yield 72%; mp: 216-218°C; 1H-NMR (600 MHz, DMSO-d6) δ: 12.84 (1H, s, NH or SH), 10.34 (1H, s, -N=CH), 7.66 (1H, d, J = 1.7 Hz, 5’-H-furan), 7.45 (2H, d, J = 6.7 Hz, 2,6-H2-Ph), 7.43 (2H, d, J = 6.7 Hz, 3,5-H2-Ph), 7.20 (1H, d, J = 3.7 Hz, 3’-H-furan), 6.65 (1H, dd, J1 = 1.7 Hz, J2 = 3.7 Hz, 4’-H-furan), 3.99 (3H, s, OCH3); IR (cm-1, KBr): 3101 (m, υAr-H), 2974, 2932 (υ=C-H), 1629, 1569 (υC=N), 1453 (υC-O); Anal. calcd. for: C14H12N4O2S: C, 55.99; H, 4.03; N, 18.65. Found: C, 55.82; H, 4.04; N, 18.56.
4-(3,4-Dimethoxylphenylidene)amino-3-(2-furyl)-5-sulfanyl-4H-1,2,4-triazole (3c). This compound was prepared by the reaction of compound 1 with 3,4-dimethoxylphenyl aldehyde and purified by recrystallization from ethanol to give white needles; yield 56.1%; mp: 225-227°C; 1H-NMR (600 MHz, DMSO-d6) δ: 12.26 (1H, s, NH or SH), 9.88 (1H, s, -N=CH), 7.64 (1H, d, J = 1.8 Hz, 5’-H-furan), 7.56-7.20 (3H, m, Ph-H), 7.01 (1H, d, J = 8.1 Hz, 3’-H-furan), 6.58 (1H, dd, J1 = 1.8 Hz, J2 = 8.1 Hz, 4’-H-furan), 4.00 (3H, s, OCH3), 3.97 (3H, s, OCH3); IR (cm–1): 3137, 3115 (m, νAr-H), 2963, 2933 (νCH3), 1604 (νC=C), 1275 (m, νN-N=C); Anal. calcd. for C15H14N4O3S: C, 54.54; H, 4.27; N, 16.96. Found: C, 54.27; H, 4.13; N, 17.03.
4-(4-Chlorobenzylidene)amino-3-(2-furyl)-5-sulfanyl-4H-1,2,4-triazole (3d). This compound was prepared by the reaction of compound 1 with 4-chlorophenyl aldehyde, purified by recrystallization from ethanol, and obtained as light yellow needles, yield 77%, mp: 226-228°C; 1H-NMR (600 MHz, DMSO-d6) δ: 11.16 (1H, s, NH or SH), 10.40 (1H, s, -N=CH), 7.68 (1H, d, J = 1.3 Hz, 5’-H-furan), 7.52 (2H, d, J = 7.1 Hz, 2,6-H2-Ph), 7.46 (2H, d, J = 7.1 Hz, 3,5-H2-Ph), 6.99 (1H, d, J = 2.9 Hz, 3’-H-furan), 6.58 (1H, dd, J1 = 1.3 Hz, J2 = 2.9 Hz, 4’-H-furan); IR (cm–1): 3081 (m, υAr-H), 2963, 2933 (υ=C-H), 1626, 1562, 1594 (υC=N, C=C); Anal. calcd. for C13H9ClN4OS: C, 51.23; H, 2.98; N, 18.38. Found: C, 51.14; H, 2.96; N, 18.42.

General Procedure for the Preparation of Compounds 4

To a suspension of 4-(arylidene)amino-3-furyl-5-sulfanyl-1,2,4-triazole 3 (1 mmol) in ethanol (10 mL) in ice bath was added dropwise an aqueous solution of KOH (2 mol∙L-1, 1 mmol) with vigorous stirring. When the solid was dissolved, an alkyl halide (1.2 mmol) was added dropwise, and the temperature was raised to ambient (25°C) and kept there for 1-2 h. When the reaction was complete (as indicated by TLC), it was then cooled and a white precipitate was formed, which was separated by filtration, washed with water and recrystallized from a suitable solvent.
4-(5-Nitrofurylidene)amino-3-(2-furyl)-5-benzylthio-4H-1,2,4-triazole (4a). This compound was purified by recrystallization from ethanol to obtain yellow needles; yield 66.4%; mp: 159-161°C; 1H-NMR (300 MHz, DMSO-d6) δ: 8.82 (1H, s, -N=CH), 7.93 (1H, d, J = 1.5 Hz, 5’-H-furan), 7.83 (1H, AB, d, J1 = 3.6 Hz, 4’’-H-furan), 7.65 (1H, AB, d, J2 = 3.6 Hz, 3’’-H-furan), 7.34-7.22 (5H, m, H5-Ph), 7.02 (1H, d, J = 3.6 Hz, 3’-H-furan), 6.71 (1H, dd, J1 = 1.5 Hz, J2 = 3.6 Hz, 4’-H-furan), 4.43 (1H, s, SCH2); IR (cm-1): 3123, 3027 (Ar-H, w), 1572, 1495, 1435, 1347 (s), 1275, 1255, 1014, 964, 743, 710; Anal. calcd. for C15H14N4O3S: C, 54.68; H, 3.31; N, 17.71; Found: C, 54.80; H, 3.35; N, 17.85
4-(5-Nitrofurylidene)amino-3-(2-furyl)-5-(3-methoxylbenzyl)thio-4H-1,2,4-triazole (4b). Separated by flash column chromatography using as eluant cyclohexane/ethyl acetate (1:3), and further purified by recrystallization from ethanol /petroleum ether (bp: 90°C) to give yellow needles; yield 49.2%; mp: 77-79°C; 1H-NMR (300 MHz, DMSO-d6) δ: 8.82 (1H, s, =CH), 7.93 (1H, d, J = 1.5 Hz, 5’-H-furan), 7.84 (1H, d, J = 4.0 Hz, 3’’-H-furan), 7.64 (1H, d, J = 4.0 Hz, 4’’-H-furan), 7.16 (1H, m, Ph-H), 7.01 (1H, d, J = 3.6 Hz, 3’-H-furan), 6.87-6.82 (3H, m, Ph-H), 6.70 (1H, dd, J1 = 1.5 Hz, J2 = 3.6 Hz, 4’-H-furan), 4.37 (2H, s, SCH2), 3.65 (3H, s, OCH3); IR (cm–1): 3091 (νAr-H, s), 1532, 1492, 1441, 1349 (s), 1267, 967; Anal. calcd. for C15H14N4O3S: C, 53.52; H, 3.78; N, 16.42; Found: C, 52.82; H, 3.85; N, 17.01.
4-(5-Nitrofurylidene)amino-3-(2-furyl)-5-(4-cynobenzyl)thio-4H-1,2,4-triazole (4c). This compound was purified by recrystallization from ethanol to give yellow needles; yield 78%; mp: 216-218°C; 1H-NMR (300 MHz, DMSO-d6) δ: 8.85 (1H, s, =CH), 7.92 (1H, d, J = 1.5 Hz, 5’-H-furan), 7.84 (1H, d, J = 4.0 Hz, 4’’-H-furan), 7.73 (2H, d, J = 8.2 Hz, 2,6-H2-Ph), 7.65 (1H, d, J = 4.0 Hz, 3’’-H-furan), 7.52 (2H, d, J = 8.2 Hz, 3,5-H2-Ph), 7.01 (1H, d, J = 3.6 Hz, 3’-H-furan), 6.70 (1H, dd, J1 = 1.5 Hz, J2 = 3.6 Hz, 4’-H-furan), 4.48 (1H, s, SCH2); IR (cm–1): 2226 (νCN), 1531, 1436, 1349, 1272, 1021, 965, 810, 754, 738; Anal. calcd. for C19H12N6O4S: C, 54.28; H, 2.88; N, 19.99. Found: C, 54.40; H, 2.95; N, 20.10.
4-(5-Nitro-2-furylmethylidene)amino-3-(2-furyl)-5-(ethoxylcarbonyl)methylthio-4H-1,2,4-triazole (4d). This compound was purified by recrystallization from ethanol to give yellow needles; yield 80%; mp: 139-140°C; 1H-NMR (300 MHz, DMSO-d6) δ: 8.94 (1H, s, =CH), 7.93 (1H, d, J = 1.5 Hz, 5’-H-furan), 7.86 (1H, d, J = 3.6 Hz, 4’’-H-furan), 7.71 (1H, d, J = 3.6 Hz, 3’’-H-furan), 7.06 (1H, d, J = 3.0 Hz, 3’-H-furan), 6.72 (1H, dd, J1 = 1.5 Hz, J2 = 3.0 Hz, 4’-H-furan), 4.08 (2H, q, J = 7.2 Hz, OCH2), 4.07 (2H, s, SCH2), 1.13 (3H, t, J = 7.2 Hz, CH3); IR (cm–1): 1736 (νC=O, s), 1530, 1442, 1349, 1307, 1278, 1188, 1028, 766; Anal. calcd. for C15H13N5O6S: C, 46.04; H, 3.35; N, 17.89; Found: C, 45.87; H, 3.39; N, 18.08.
4-(3,4-Dimethoxylphenylidene)amino-3-(2-furyl)-5-benzylthio-4H-1,2,4-triazole (4e). This compound was separated by flash column chromatography using as eluant hexane/ethyl acetate (3:2) and further purified by recrystallization from ethanol to give white crystals; yield 48.1%; mp: 100-102°C; 1H-NMR (300 MHz, DMSO-d6) δ: 8.62 (1H, s, =CH), 7.89 (1H, d, J = 1.5 Hz, 5’-H-furan), 7.48-7.12 (8H, m, Ar-H), 7.01 (1H, d, J = 3.6 Hz, 3’-H-furan), 6.70 (1H, dd, J1 = 1.5 Hz, J2 = 3.6 Hz, 4’-H-furan), 4.40 (2H, s, SCH2), 3.85 (3H, s, OCH3), 3.82 (3H, s, OCH3); IR (cm-1): 3100 (ν=CH), 3025 (Ph-H), 2957, 2935 (νCH3), 1598, 1576, 1513 (s), 1274 (νN-N=C, s), 1138 (s), 1026, 1020 (s), 784, 704 (νC-S-C); Anal. calcd. for C22H20N4O3S: C, 62.84; H, 4.79; N, 13.32; Found: C, 62.96; H, 4.83; N, 13.28.
4-(3,4-Dimethoxylphenylidene)amino-3-(2-furyl)-5-(ethoxylcarbonyl)methylthio-4H-1,2,4-triazole (4f). This compound was purified by recrystallization from acetone/cyclohexane (1:1) to give white crystals; yield 33.4%; mp: 196-199°C; 1H-NMR (300 MHz, DMSO-d6) δ: 8.62 (1H, s, N=CH), 7.89 (1H, d, J = 1.5 Hz, 5’-H-furan), 7.31 (1H, m, Ph-H), 7.22 (1H, d, J = 3.0 Hz, 3’-H-furan), 7.01-6.86 (2H, m, Ph-H), 6.68 (1H, dd, J1 = 1.5 Hz, J2 = 3.0 Hz, 4’-H-furan), 4.91 (2H, s, SCH2), 4.13 (2H, q, J = 7.2 Hz, OCH2), 3.69 (3H, s, OCH3), 3.57 (3H, s, OCH3), 1.13 (3H, t, J = 7.2 Hz, CH3); IR (cm-1): 3146 (ν=CH, m), 3020 (Ph-H, m), 2955 (νCH3, w), 1740 (νC=O, s), 1517 (s), 1450, 1450, 1414 (m), 1271 (νN-N=C, s), 1032, 1013, 754 (m); Anal. calcd. for C19H20N4O5S: C, 54.80; H, 4.84; N, 13.45. Found: C, 54.65; H, 4.87; N, 13.53.

General Procedure for the Preparation of Compounds 5

To a suspension of 4-(arylidene)amino/amino-3-furyl-5-sulfanyl-1,2,4-triazole 1 or 3 (1 mmol) in ethanol (10 mL) in an ice bath was added dropwise an aqueous solution of KOH (2 mol∙L-1, 1 mmol) with vigorous stirring. When the solid was dissolved, the appropriate alkyl dihalide (0.5 mmol) was added dropwise and the temperature was allowed to raise at 25°C for 1 h, then the reaction solution was refluxed for 1-2 h. (checked by TLC). The product was separated by flash column chromatography with suitable eluents and further purified by recrystallization from an appropriate solvent.
1,2-bis[(4-Amino-3-(2-furyl)-4H-1,2,4–triazol)-5-yl]dithioethane (5a). This compound was prepared by the reaction of compound 1 with 1,2-dibromoethane under reflux for 2 days, and purified by recrystallization from ethanol to obtain a yellow solid; yield 52%; mp: 289-291°C; 1H-NMR (600 MHz, DMSO-d6) δ: 7.90 (2H, d, J = 1.5 Hz, 5’-H-furan), 7.24 (2H, d, J = 3.4 Hz, 3’-H- furan), 6.71 (2H, dd, J1 = 1.8 Hz, J2 = 3.4 Hz, 4’-H-furan), 6.15 (4H, s, NH2), 3.55 (4H, t, J = 19.8 Hz); IR (cm-1): 3329, 3258 (m, νN-H), 3181, 3134 (ν=CH), 2977, 2947 (w, νCH2), 1628 (s, νC=N), 1526 (νasNO2), 1432, 1416 (s, νC=C, νN-N=C), 1018, 898, 751 (s), 738 (s); Anal. calcd. for C14H14N8O2S2: C, 43.07; H, 3.61; N, 28.70. Found: C, 43.01; H, 3.63; N, 28.64.
1,3-bis[(4-Amino-3-(2-furyl)-4H-1,2,4-triazol)-5-yl]dithiopropane (5b). This compound was prepared from compound 1 reacted with 1,3-dibromopropane under reflux for 2 day, and purified by recrystallization from ethanol to obtain a yellow solid; yield 62%; mp: 297-299°C; 1H-NMR (600 MHz, DMSO-d6) δ: 7.89 (2H, d, J = 1.8 Hz, 5’-H-furan), 7.23 (2H, d, J = 3.4 Hz, 3’-H-furan), 6.70 (2H, dd, J1 = 1.8 Hz, J2 = 3.4 Hz, 4’-H-furan), 6.13 (4H, s, NH2), 3.29 (4H, t, J = 18.8 Hz, CH2-S), 2.13 (2H, m, CH2); IR (cm-1): 3327, 3284 (m, νN-H), 3174, 3130 (ν=CH), 2977, 2947 (νCH2), 1635, 1432, 1416 (s, νC=C, νN-N=C), 1021, 1009, 756 (s), 740 (s); Anal. calcd. for C15H16N8O2S2: C, 44.54; H, 3.99; N, 27.70; Found: C, 44.56; H, 4.01; N, 27.78.
1,2-bis[(4-(5-Nitro-2-furylmethylidene)amino-3-(2-furyl)-4H-1,2,4-triazol)-5-yl]dithioethane (5c). This compound was prepared from the reaction of compound 3a with dibromoethane, and purified by recrystallization from ethanol to give a yellow solid; yield 61.2%; mp: 220°C; 1H-NMR (600 MHz, DMSO-d6) δ: 8.89 (2H, s, -N=CH), 7.92 (2H, d, J = 1.8 Hz, 5’-H-furan), 7.83 (2H, d, J = 3.9 Hz, 4’’-H-furan), 7.68 (2H, d, J = 3.9 Hz, 3’’-H-furan), 7.02 (2H, d, J = 3.6 Hz, 3’-H-furan), 6.70 (2H, dd, J1 = 1.8 Hz, J2 = 3.6 Hz, 4’-H-furan), 3.54 (4H, s, CH2-S); IR (cm-1): 3113, 3009 (ν=CH), 2923 (νCH), 1568, 1437 (νC=C), 1526 (νasNO2), 1349 (s, νsNO2), 1258 (s, νN-N=C), 713 (νC-S-C); Anal. calcd. for C24H16N10O8S2: C, 45.28; H, 2.53; N, 20.00; Found: C, 45.26; H, 2.60; N, 19.98.
1,3-bis[(4-(5-Nitro-2-furylmethylidene)amino-3-(2-furyl)-4H-1,2,4-triazol)-5-yl]dithiopropane (5d). This compound was prepared from the reaction of compound 3a with dibromopropane, purified by recrystallization from ethanol and obtained as yellow solid; yield 61%; mp: 220°C; 1H-NMR (600 MHz, DMSO-d6) δ: 8.92 (2H, s, -N=CH), 7.93 (2H, d, J = 1.7 Hz, 5’-H-furan), 7.84 (2H, d, J = 4.0 Hz, 4’’-H-furan), 7.70 (2H, d, J = 4.0 Hz, 3’’-H-furan), 7.04 (2H, d, J = 3.4 Hz, 3’-H-furan), 6.72 (2H, dd, J1 = 1.7 Hz, J2 = 3.4 Hz, 4’-H-furan), 3.30 (4H, t, J = 7.0 Hz, CH2-S), 2.1 (2H, m, CH2 ); IR (cm-1): 3150, 3112 (w, ν=CH), 2913 (νCH), 1527, 1437 (νC=C, C=N), 1527 (νasNO2), 1350 (s, νsNO2); Anal. calcd. for C25H18N10O8S2: C, 46.15; H, 2.79; N, 21.53. Found: C, 46.22; H, 2.81; N, 21.56.
Preparation of 1,4-bis[(4-Iminomethyl-3-(2-furyl)-5-mercapto-4H-1,2,4-triazole -4-yl] phene (6). The preparation of compound 6 by the reaction of compound 3a with 1,4-diformylbenzene in refluxing ethanol for 2 h used the same conditions of compounds 3a-d and the product was obtained as a white solid; yield 61%; mp: 264-265°C; 1H-NMR (600 MHz, DMSO-d6) δ: 14.30 (2H, s, NH or SH), 10.04 (2H, s, -N=CH), 8.17 (4H, s, Ph-H4), 7.99 (2H, d, J = 1.7 Hz, 5’-H-furan), 7.18 (2H, d, J = 3.4 Hz, 3’-H-furan), 6.72 (2H, dd, J1 = 1.7 Hz, J2 = 3.4 Hz, 4’-H-furan); IR (cm-1): 3423 (νNH), 3087, 3015 (m, ν=CH), 2965, 2992, 2923 (w, νCH), 1626 (νC=N), 1527, 1452 (νC=C, C=N), 1266 (s), 969, 749; Anal. calcd. for C20H14N8O2S2: C, 51.94; H, 3.05; N, 24.23. Found: C, 51.87; H, 3.02; N, 24.29.
Preparation of 4-[2-(5-nitro)furylmethylidene]amino-3-(2-furyl)-5-mercapto-piperidylmethyl-4H- 1,2,4-triazole (7a). Compound 3a (10 mmol) was dissolved in a mixed ethanol and dioxane solvent (2:1, 90 mL), then formaldehyde (40%, 1.5 mL) and piperidine (10 mmol) in ethanol (100 mL) were added to this solution. The mixture was stirred for 1-2 h and then kept overnight at room temperature. The solid was collected by filtration and recrystallized from a mixture of ethanol and dioxane (2:1) to yield the title compound 7a; yield: 80%; mp: 195-197°C; 1H-NMR (600 MHz, DMSO-d6) δ: 10.28 (1H, s, N=CH), 8.00 (1H, d, J = 1.7 Hz, 5’-H-furan), 7.84 (1H, d, J = 4.0 Hz, 3’’-H-furan), 7.71 (1H, d, J = 4.0 Hz, 4’’-H-furan), 7.29 (1H, d, J = 3.5 Hz, 3’-H-furan ), 6.78 (1H, dd, J1 = 1.7 Hz, J2 = 3.5 Hz, 4’-H-furan), 5.12 (2H, s, N-CH2-N), 2.74 (4H, t, J = 5.2 Hz, 3,5-H4-piperidine), 1.50 (4H, d, J = 4.7 Hz, 2,6-H4-piperidine), 1.34 (2H, d, J = 5.3 Hz, 4-H2-piperidine); IR (cm-1): 3141, 3120 (w, ν=CH), 2942, 2930 (w, νCH2), 1621, 1530, 1497, 1459, 1434, 1426 (νC=C, C=N), 1349, 1303, 1277, 764; Anal. calcd. for C17H18N6O4S: C, 50.74; H, 4.51; N, 20.88. Found: C, 50.80; H, 4.49; N, 20.9.
Preparation of 4-[2-(5-nitro)furylmethylidene]amino-3-(2-furyl)-5-mercapto-(bis-n-butylamino)-4H-1,2,4-triazole (8). Compound 3a (10 mmol) was dissolved in a mixed ethanol and dioxane solvent (2:1, 90 mL), then formaldehyde (40%, 1.5 mL) and di-n-butylamine (10 mmol) in ethanol (100 mL) were added to this solution. The mixture was refluxed under stirring for 1 h. The white solid formed was collected by filtration and recrystallized from a mixture of ethanol and dioxane (1:1) to give the title compound 8; yield: 78%; mp: 214-215°C; 1H-NMR (600 MHz, DMSO-d6) δ: 11.20 (1H, s, N=CH), 7.84 (1H, d, J = 1.7 Hz, 5’-H-furan), 7.84 (1H, d, J = 4.0 Hz, 3’’-H-furan), 7.83 (1H, d, J = 4.0 Hz, 4’’-H-furan), 7.52 (1H, d, J = 3.5 Hz, 3’-H-furan ), 6.68 (1H, dd, J1 = 1.7 Hz, J2 = 3.5 Hz, 4’-H-furan), 2.81 (4H, t, J = 7.6 Hz, N-(CH2-)2), 1.54 (4H, m, 2CH2), 1.36 (4H, m, 2CH2), 0.92 (6H, t, J = 7.4 Hz, 2CH3); IR (cm-1): 3110 (w, ν=CH), 2962, 2934, 2862 (w, νCH2), 1530, 1494, 1450 (νC=C, C=N), 1374, 1350, 1253; Anal. calcd. for C19H24N6O4: C, 56.99; H, 6.04; N, 20.99. Found: C, 57.12; H, 5.99; N, 21.02.

Anti-HIV-1 assays in MT-4 cells culture

Activity of the compounds against HIV-1 (IIIB strain) multiplication in acutely infected cells was based on the inhibition of virus-induced cytopathogenicity in MT-4 cells. Briefly, culture medium (50 μL) containing 1×104 cells was added to each well of flat-bottomed microtiter trays containing culture medium (50 μL) with or without various concentrations of the tested compounds and then a HIV-1 suspension (20 μL) containing 100 CCID50 (50% cell culture infective dose) was added. After 5 days of incubation at 37°C, the number of viable cells was determined by the MTT method. The cytotoxity of the compounds was evaluated in parallel with their antiviral activity, based on the viability of mock-infected cells as monitored by the MTT method.

HIV-1 RT inhibition assay

Inhibition of HIV-1 RT was developed using nucleotides linked to microtiter plate with colorimetric detection of incorporated biotin-dUTP into homopolymer template primers [13]. The incorporated quantities of the biotin-dUTP into the enzyme represented the activity of HIV-1 RT. IC50 values corresponded to the concentration of the substituted s-triazole derivatives required to inhibit biotin-dUTP incorporation into the HIV-1 RT by 50%.

Acknowledgements

The financial support of this work by the National Natural Science Foundation of China (NSFC30371686), Ministry of Science and Technology of China for the Key Project of International Cooperation (2003DF000033) and NSF Shandong Province (Y2003C11) is gratefully acknowledged. We also thank State New Drug Screening Center of Shanghai, China, for assistance with the anti-HIV-1 RT assay.

References and Notes

  1. De Clercq, E. Antiviral drug discovery and development: where chemistry meets with biomedicine. Antivir. Res. 2005, 67, 56–75. [Google Scholar] [CrossRef]
  2. Zhou, Z.; Lin, X.; Madura, J. D. HIV-1 RT nonnucleoside inhibitors and their interaction with RT for antiviral drug development. Infect. Disord. Drug Targets 2006, 6, 391–413. [Google Scholar] [CrossRef]
  3. Wainberg, M. A.; Sawyer, J. P.; Montaner, J. S.; Murphy, R. L.; Kuritzkes, D. R.; Raffi, F. Challenges for the clinical development of new nucleoside reverse transcriptase inhibitors for HIV infection. Antivir. Ther. 2005, 10, 13–28. [Google Scholar]
  4. Di Santo, R.; Costi, R.; Artico, M.; Miele, G.; Lavecchia, A.; Novellino, E.; Bergamini, A.; Cancio, R.; Maga, G. Arylthiopyrrole (AThP) derivatives as non-nucleoside HIV-1 reverse transcriptase inhibitors: synthesis, structure-activity relationships, and docking studies (part 1). Chem. Med. Chem. 2006, 1, 1367–1378. [Google Scholar] [CrossRef]
  5. De La Rosa, M.; Kim, H. W.; Gunic, E.; Jenket, C.; Boyle, U.; Koh, Y. Tri-substituted triazoles as potent non-nucleoside inhibitors of the HIV-1 reverse transcriptase. Bioorg. Med. Chem. Lett. 2006, 16, 4444–4449. [Google Scholar] [CrossRef]
  6. Wang, Z.; Wu, B.; Kuhen, K. L.; Bursulaya, B.; Nguyen, T. N.; Nguyen, D. G.; He, Y. Synthesis and biological evaluations of sulfanyltriazoles as novel HIV-1 non-nucleoside reverse transcriptase inhibitors. Bioorg. Med. Chem. Lett. 2006, 16, 4174–4177. [Google Scholar] [CrossRef]
  7. Nadkarni, B. A.; Kamat, V. R.; Khadse, B. G. Synthesis and anthelmintic activity of 3,6-disubstituted-7H-s-triazolo(3,4-b)(1,3,4)thiadiazines. Arzneimittel-Forsch. 2001, 51, 569–573. [Google Scholar]
  8. Sarva, M. C.; Romeo, G.; Guerrera, F.; Siracusa, M.; Salerno, L.; Russo, F.; Cagnotto, A.; Goegan, M.; Mennini, T. [1,2,4]Triazole derivatives as 5-HT(1A) serotonin receptor ligands. Bioorg. Med. Chem. 2002, 10, 313–323. [Google Scholar] [CrossRef]
  9. Collin, X.; Sauleau, A.; Coulon, J. 1,2,4-Triazolo mercapto and aminonitriles as potent antifungal agents. Bioorg. Med. Chem. Lett. 2003, 13, 2601–2605. [Google Scholar] [CrossRef]
  10. Holla, B. S.; Veerendra, B.; Shivananda, M. K.; Poojary, B. Synthesis characterization and anticancer activity studies on some Mannich bases derived from 1,2,4-triazoles. Eur. J. Med. Chem. 2003, 38, 759–767. [Google Scholar] [CrossRef]
  11. Pauwels, R.; De Clercq, E.; Desmyter, J.; Balzarini, J.; Goubau, P.; Herdewijn, P.; Vanderhaeghe, H.; Vandeputte, M. Sensitive and rapid assay on MT-4 cells for detection of antiviral com­pounds against the AIDS virus. J. Virol. Methods 1987, 16, 171–185. [Google Scholar]
  12. Ren, J.; Esnouf, R.; Garman, E.; Somers, D.; Ross, C.; Kirby, L.; Keeling, J.; Darby, G.; Jones, Y.; Stuart, D.; Stammers, D. High resolution structure of HIV-1 RT from four RT-inhibitory complexes. Nature Struct. Biol. 1995, 2, 293–302. [Google Scholar] [CrossRef]
  13. Suzuki, K.; Craddock, B. P.; Okamoto, N.; Kano, T.; Steigbigel, R. T. Poly A-linked colorimetric microtiter plate assay for HIV reverse transcriptase. J. Virol. Methods 1993, 44, 189–198. [Google Scholar] [CrossRef]
  • Sample Availability: Samples of the compounds are available from the authors.

Share and Cite

MDPI and ACS Style

Wu, J.; Liu, X.; Cheng, X.; Cao, Y.; Wang, D.; Li, Z.; Xu, W.; Pannecouque, C.; Witvrouw, M.; De Clercq, E. Synthesis of Novel Derivatives of 4-Amino-3-(2-Furyl)-5-Mercapto-1,2,4-Triazole as Potential HIV-1 NNRTIs. Molecules 2007, 12, 2003-2016. https://doi.org/10.3390/12082003

AMA Style

Wu J, Liu X, Cheng X, Cao Y, Wang D, Li Z, Xu W, Pannecouque C, Witvrouw M, De Clercq E. Synthesis of Novel Derivatives of 4-Amino-3-(2-Furyl)-5-Mercapto-1,2,4-Triazole as Potential HIV-1 NNRTIs. Molecules. 2007; 12(8):2003-2016. https://doi.org/10.3390/12082003

Chicago/Turabian Style

Wu, Jingde, Xinyong Liu, Xianchao Cheng, Yuan Cao, Defeng Wang, Zhong Li, Wenfang Xu, Christophe Pannecouque, Myriam Witvrouw, and Erik De Clercq. 2007. "Synthesis of Novel Derivatives of 4-Amino-3-(2-Furyl)-5-Mercapto-1,2,4-Triazole as Potential HIV-1 NNRTIs" Molecules 12, no. 8: 2003-2016. https://doi.org/10.3390/12082003

APA Style

Wu, J., Liu, X., Cheng, X., Cao, Y., Wang, D., Li, Z., Xu, W., Pannecouque, C., Witvrouw, M., & De Clercq, E. (2007). Synthesis of Novel Derivatives of 4-Amino-3-(2-Furyl)-5-Mercapto-1,2,4-Triazole as Potential HIV-1 NNRTIs. Molecules, 12(8), 2003-2016. https://doi.org/10.3390/12082003

Article Metrics

Back to TopTop