Abstract
New 1,3,4-thiadiazole, 5a-e, and 1,2,4-triazolecompounds 6a-c, containing a D,L-methionine moiety were synthesized by intramolecular cyclization of 1,4-disubstituted thiosemicarbazides 4a-e in acid and alkaline media, respectively. The potential antimicrobial effects of the synthesized compounds were investigated using the Staphylococcus aureus ATCC 25923, Bacillus antracis ATCC 8705, Bacillus cereus ATCC 10987, Sarcina lutea ATCC 9341 and Escherichia coli ATCC 25922 strains. The newly synthesized compounds exhibited promising activities against Bacillus antracis and Bacillus cereus.
Introduction
The therapeutic effects of compounds containing 1,3,4-thiadiazole and 1,2,4-triazole rings have been well studied for a number of pathological conditions including inflammation [1,2], pain [3,4,5] or hypertension [6]. Moreover, synthesis of thiadiazoles and triazoles has attracted widespread attention due to their diverse applications as antibacterial [7], antimycobacterial [8,9], antimycotic [10,11], antifungal [12,13] and antidepressant agents [14]. Meanwhile, N-acylated aminoacids are known for their hepatoprotective and antimicrobial effects [15,16].
Taking these observations into account in the present study, some new 1,3,4-thiadiazoles and 1,2,4-triazoles having a D,L-methionine moiety have been synthesized and their structures were characterized by 1H-NMR, IR spectroscopy and elemental analysis. The potential antimicrobial activity and degree of toxicity of the synthesized compounds were also investigated.
Results and Discussion
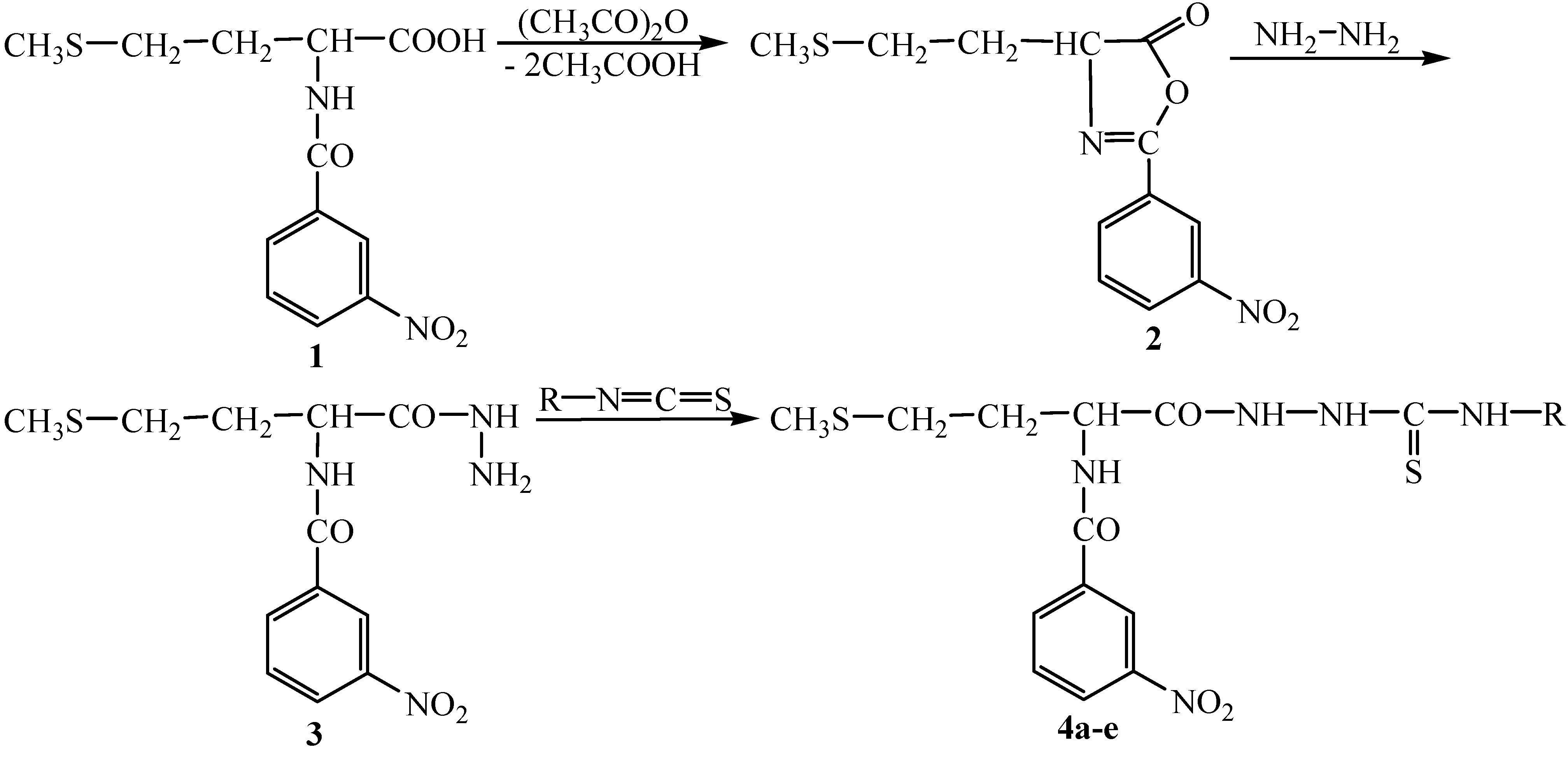
The synthesis of new 1,3,4-thiadiazole and 1,2,4-triazole compounds was performed in several steps. In the first step, 2-(3-nitrophenyl)-4-(2-methylthioethyl)-Δ2-5-oxazolinone (2) was obtained by cyclization of N-(3-nitrobenzoyl)-D,L-methionine (1) in the presence of acetic anhydride. This intermediate, through reaction with 98% hydrazine hydrate solution in a dioxane medium, gave the hydrazide of N-(3-nitrobenzoyl)-D,L-methionine (3), which, in the next step was reacted with different isothiocyanates whereupon new 1,4-disubstituted thiosemicarbazides 4a-e were obtained (Scheme 1).
Scheme 1.
Synthesis of the intermediates 4a-e.
Scheme 1.
Synthesis of the intermediates 4a-e.

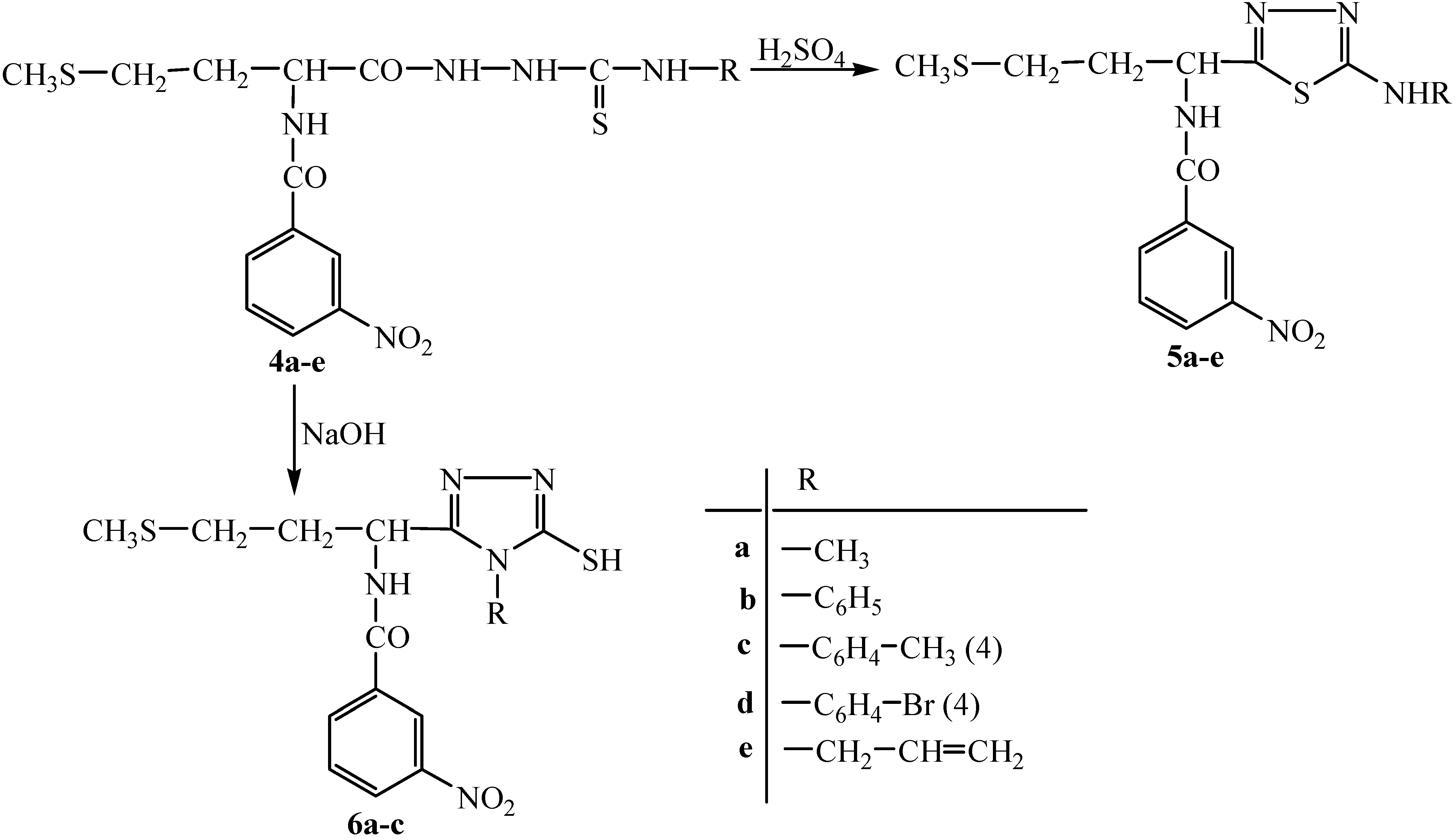
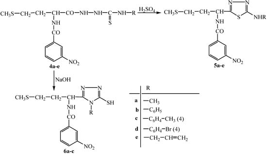
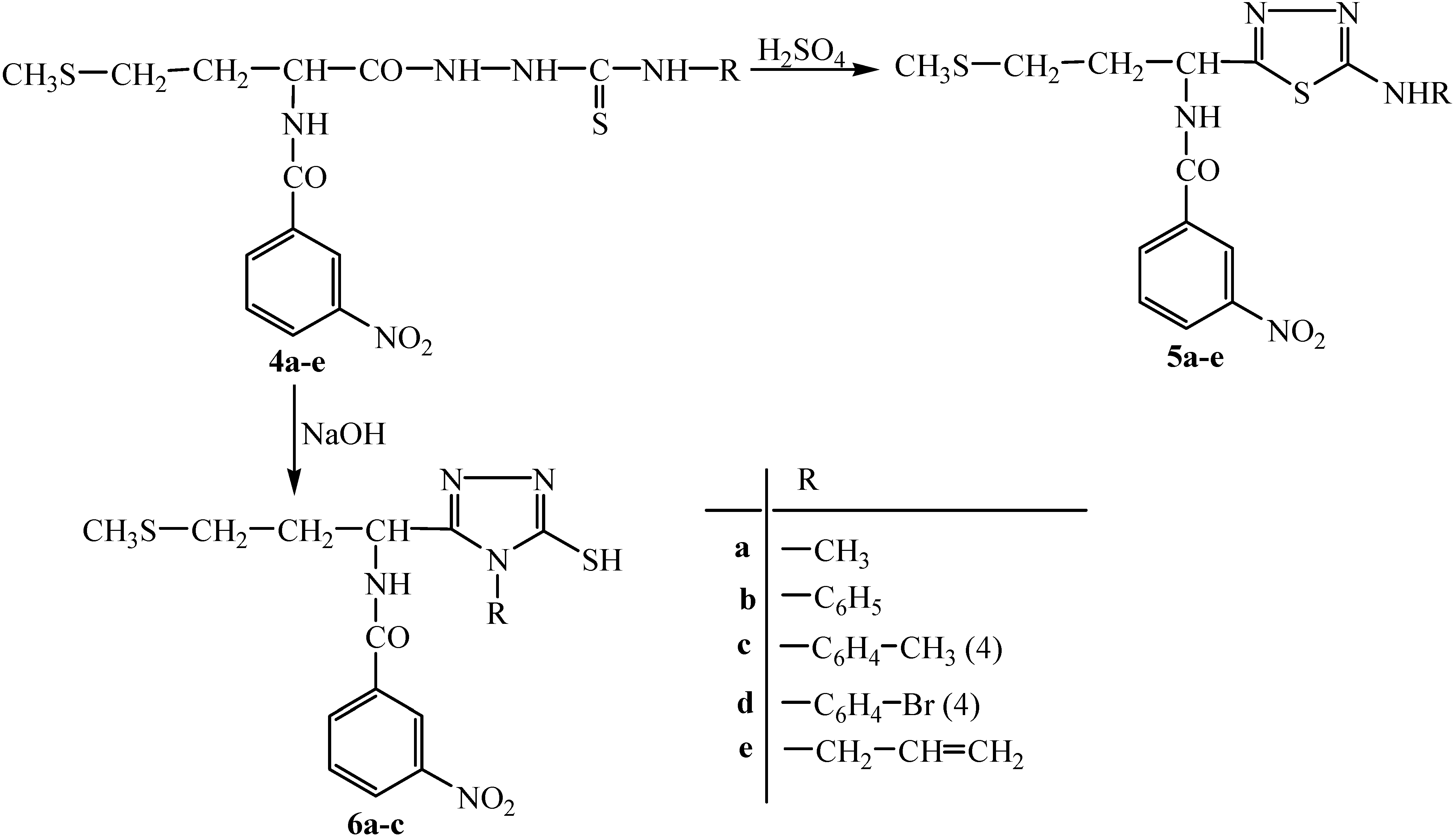
In the last step new 1,3,4-thiadiazole, 5a-e, and 1,2,4-triazole compounds 6a-c were obtained by intramolecular cyclization of the thiosemicarbazides 4a-e in acid and alkaline media, respectively (Scheme 2).The structures of all the synthesized compounds were confirmed by IR, 1H-NMR spectral measurements and elemental analysis.
Scheme 2.
Synthesis of the compounds 5a-e and 6a-c.
Scheme 2.
Synthesis of the compounds 5a-e and 6a-c.

The IR spectra of compounds 4a-e showed intense absorption bands within the 3181-3367 cm-1 range that were attributed to NH and NH2 function vibrations. The absorption band of the –C=O function appears in the 1641-1644 cm-1 region and the bands which appear at 1171-1173 cm-1 were attributed to the −C=S function. In the 1H-NMR spectra, the proton signals due to the NH group were recorded between 9.07-10.80 ppm and the aromatic protons signals appear at 7.19-8.74 ppm.
In the IR spectra of compounds 5a-e the absorption band of the –NH-CO function appears at 2916-3302 cm-1 and the absorption band of the C=N group was identified at 1431-1433 cm-1. In the 1H- NMR spectra the proton signal due to the –NH-CO function was observed as a singlet between 9.06-9.07 ppm.
The IR spectra of compounds 6a-c showed an intense absorption band between 2589-2592 cm-1 that was attributed to the −SH function and in the 1H-NMR spectra, the proton signal due to the SH group appeared as a singlet at 12.60-12.80 ppm.
Moreover, the elemental analysis results were all in a good agreement with the structures proposed for compounds 2, 3, 4a-e, 5a-e and 6a-c.
Biological activity
The potential antimicrobial activity of compounds 4a-e, 5a-e and 6a-c towards five standard bacterial strains was investigated. From the date presented in Table 1 it may be seen that thiosemicarbazides 4a-e exhibit relatively good activity against Staphylococcus aureus and Escherichia coli, but are only slightly active against Bacillus antracis, Bacillus cereus and Sarcina lutea strains. Upon cyclization of thiosemicarbazides to the corresponding thiadiazoles 5a-e and triazoles 6a-c the activity towards Staphylococcus aureus and Escherichia coli decreases, while the activity against Bacillus antracis and Bacillus cereus increases. Concerning the activity towards the Sarcina lutea strain, it was noted that the activity of the triazoles is comparable to that of the thiosemicarbazideas, but the thiadiazoles are inactive. The most active compounds against Bacillus antracis and Bacillus cereus are 5c (a thiadiazole compound) and 6c (a triazole compound), both with a 4-methylphenyl moiety on the heterocyclic ring. This could be explained by electropositive effect of methyl group attached to the phenyl moiety because of the known favorable influence of electron donating groups on the potency of the heterocyclic nuclei. Further investigations are in progress.
Table 1.
Antimicrobial activity of compounds 4a-e, 5a-e and 6a-c.
| Comp. no. | Minimum Inhibitory Concentration (MIC) (μg/mL) | ||||
|---|---|---|---|---|---|
| Sa | Ba | Bc | Sl | Ec | |
| 4a | 171 | 618 | 714 | 638 | 193 |
(Sa): Staphylococcus aureus ATCC 25923; (Ba): Bacillus antracis ATCC 8705; (Bc): Bacillus cereus ATCC 10987; (Sl): Sarcina lutea ATCC 9341; (Ec) Escherichia coli ATCC 25922.
The synthesized compounds were also investigated for their toxicity (Table 2) and it was observed that all tested compounds had a low toxicity.
Table 2.
The DL50 values of the tested compounds.
| Comp. | DL50 mg/Kg body | Comp. | DL50 mg/Kg body |
|---|---|---|---|
| 4a | 1465 | 5c | 3100 |
| 4b | 1275 | 5d | 2025 |
| 4c | 1625 | 5e | 2816 |
| 4d | 1315 | 6a | 4620 |
| 4e | 1260 | 6b | 5010 |
| 5a | 1825 | 6c | 4920 |
| 5b | 2110 |
Conclusions
New 1,3,4-thiadiazole, 5a-e, and 1,2,4-triazole compounds 6a-c possessing a D,L-methionine moiety were synthesized by intramolecular cyclization of 1,4-disubstituted thiosemicarbazides in acid and alkaline media, respectively. The potential antimicrobial effects of the synthesized compounds were investigated using the Staphylococcus aureus ATCC 25923, Bacillus antracis ATCC 8705, Bacillus cereus ATCC 10987, Sarcina lutea ATCC 9341 and Escherichia coli ATCC 25922 strains. The most active compounds were 5c and 6c containing a 4-methylphenyl susbtituent on the heterocyclic ring, which exhibited promising activities against Bacillus antracis and Bacillus cereus.
Experimental Section
General
All melting points were determined on a Melt-Temp R apparatus equipped with a digital thermometer and are uncorrected. The combustion analysis was performed on an Elemental Exeter Analytical CE 440 Apparatus. The IR spectra were measured as potassium bromide pellets on a Digilab Scimitar Series spectrophotometer; the wave numbers are given in cm-1. The 1H-NMR spectra were recorded in DMSO-d6 solutions on Brucker ARX-300 spectrometer (1H: 300 MHz) at ambient temperature. Chemical shifts were recorded as δ values in parts per millions (ppm) and were indirectly referenced to tetramethylsilane via the residual solvent signal (2.49 for 1H). All chemical reagents were obtained from the Aldrich Chemical Company.
Synthesis of 2-(3-nitrophenyl)-4-(2-methylthioethyl)-Δ2-5-oxazolinone (2).
N-(3-Nitrobenzoyl)-D,L-methionine (5.6 g, 0.018 mol) was dissolved in acetic anhydride (15 mL) and heated at 65-70 ºC for half an hour. After cooling the solution was added under stirring to a mixture of petroleum ether (50 mL) and dried ethyl ether (10 mL). The reaction mixture was stirred for 30 minutes, the ethereal layer was removed and the oily product obtained was washed with petroleum ether. The crude product was dissolved in dioxane and crystallized from anhydrous ethyl ether – anhydrous petroleum ether (1:1). The solid compound obtained was dried under vacuum at 40-45 ºC. Yield 76.20 %; m.p. 114-115 ºC; Anal. Calc. for C12H12N2O4S (280.05): 51.42% C, 4.28% H, 10.00% N, 11.42% S; found 51.44% C, 4.01% H, 9.81% N, 11.26% S; IR (ν, cm-1): 725 (CH3S), 819 (aromatic CH), 1350 (symmetric vibrations of NO2), 1433 (-C=N), 1529 (asymmetric vibrations of NO2), 1707 (CO). 1H-NMR δ: 2.09 (s, 3H, CH3,), 2.52 (m, 2H, CH2), 2.65 (m, 2H, CH2) 4.50 (t, 1H, CH), 7.80 (s, 1H, ArH), 8.30 (d, 1H, ArH), 8.40 (d, 1H, ArH), 8.70 (s, 1H, ArH).
N-(3-nitrobenzoyl)-D,L-methionyl-hydrazide (3).
The 2-(3-nitrophenyl)-4-(2-methylthioethyl)-Δ2-5-oxazolinone (2, 1 g, 0.035 mol) was dissolved in dioxane (10 mL) and aqueous hydrazine hydrate solution (98%, 0.172 mL, 0.0035 mol) was added. The reaction mixture was heated at 65-70 ºC for one hour. After cooling the solvent was removed and the obtained oily product was dissolved in absolute ethanol and precipitated with water. The solid compound was dried under vacuum at 40-45 ºC. The crude product was crystallized from ethanol-water. Yield 54.78 %; m.p. 102-104 ºC; Anal. Calc. for C12H16N4O4S (327.11): 46.15% C, 5.12% H, 17.94% N, 11.42% S; found 46.02% C, 4.98% H, 17.89% N, 11.26% S; IR (ν, cm-1): 716 (CH3S); 818 (aromatic CH); 1352 (symmetric vibrations of NO2); 1527 (asymmetric vibrations of NO2); 1638 (CO); 2916, 3103, 3368 (NH); 1H-NMR δ: 2.10 (s, 3H, CH3); 2.50 (m, 4H, CH2); 4.50 (t, 1H, CH); 7.80 (t, 1H, Ar); 8.34 (d, 1H, Ar); 8.42 (d, 1H, Ar); 8.74 (s, 1H, Ar); 9.05 (d, 1H, NH); 10.80 (s, 1H, NH); 11.20 (s, 2H, NH2).
General procedure for the synthesis of 1,4-disubstituted thiosemicarbazides 4a-e.
N-(3-nitrobenzoyl)-D,L-methionylhydrazide (3, 0.78 g, 0.0025 mol) was dissolved in methanol (10 mL) and a solution of the appropriate isothiocyanate (0.0025 mol) in methanol (10 mL) was added. The reaction mixture was heated at 70-80 ºC for two hours. After cooling the solvent was evaporated under reduced pressure and the solid was dried under vacuum at room temperature. The crude product was purified by crystallization from ethanol.
1-[N-(3-nitrobenzoyl)-D,L-methionyl]-4-methyl-thiosemicarbazide (4a). Yield 58.33 %; m.p. 121-122 ºC; Anal. Calc. for C14H19N5O4S2 (385.09): 43.63% C, 4.93% H, 18.18% N, 16.62% S; found 43.59% C, 4.75% H, 18.03% N, 16.41% S; IR (ν, cm-1): 720 (CH3S); 819 (aromatic CH); 1173 (C=S); 1351 (symmetric vibrations of NO2); 1528 (asymmetric vibrations of NO2); 1643 (CO); 3302-3367 (NH-CO); 1H-NMR δ: 2.11 (s, 3H, CH3); 2.51 (d, 3H, CH3 ); 2.54 (m, 4H, CH2); 4.50 (t, 1H, CH); 7.80 (t, 1H, Ar); 8.30 (d, 1H, Ar); 8.40 (d, 1H, Ar); 8.70 (s, 1H, Ar); 9.07 (s, 1H, NH); 9.80 (m, 1H, NH); 10.10 (s, 1H, NH).
1-[N-(3-nitrobenzoyl)-D,L-methionyl]-4-phenyl-thiosemicarbazide (4b). Yield 68 %; m.p. 110-111 ºC; Anal. Calc. for C19H21N5O4S2 (447.10): 51.00% C, 4.69% H, 15.65% N, 14.31% S; found 49.72% C, 4.48% H, 15.37% N, 14.25% S; IR (ν, cm-1): 721 (CH3S); 823 (aromatic CH); 1173 (C=S); 1349 (symmetric vibrations of NO2); 1532 (asymmetric vibrations of NO2); 1643 (CO); 3181- 3301 (NH-CO); 1H-NMR δ: 2.09 (s, 3H, CH3); 2.50 (m, 4H, CH2); 4.50 (t, 1H, CH); 7.19 (t, 1H, Ar); 7.29 (t, 2H, Ar); 7.38 (d, 2H, Ar); 7.81 (t, 1H, Ar); 8.41 (d, 1H, Ar); 8.47 (d, 1H, Ar); 8.70 (s, 1H, Ar); 9.07 (s, 1H, NH); 9.81 (s, 1H, NH); 10.10 (s, 1H, NH).
1-[N-(3-nitrobenzoyl)-D,L-methionyl]-4-(4-methylphenyl)-thiosemicarbazide (4c). Yield 78.35 %; m.p. 112-113 ºC; Anal. Calc. for C20H23N5O4S2 (461.12): 52.06% C, 4.98% H, 15.18% N, 13.88% S; found 51.92% C, 4.75% H, 15.01% N, 13.58% S; IR (ν, cm-1): 721 (CH3S); 819 (aromatic CH); 1173 (C=S); 1350 (symmetric vibrations of NO2); 1528 (asymmetric vibrations of NO2); 1644 (CO); 3301-3366 (NH-CO); 1H-NMR δ: 2.11 (s, 3H, CH3); 2.43 (s, 3H, CH3); 2.50 (m, 4H, CH2); 4.50 (t, 1H, CH); 7.80 (t, 1H, Ar); 8.12 (d, 2H, Ar); 8.32 (d, 2H, Ar); 8.39 (d, 1H, Ar); 8.41 (d, 1H, Ar); 8.74 (s, 1H, Ar); 9.07 (d, 1H, NH); 9.80 (s, 1H, NH); 10.10 (s, 1H, NH).
1-[N-(3-nitrobenzoyl)-D,L-methionyl]-4-(4-bromophenyl)-thiosemicarbazide (4d). Yield 73.05 %; m.p. 95-96 ºC; Anal. Calc. for C19H20N5O4S2Br (525.01): 43.34% C, 3.80% H, 13.30% N, 12.16% S; found 43.18% C, 3.72% H, 13.05% N, 12.11% S; IR (ν, cm-1): 718 (CH3S); 819 (aromatic CH); 1171 (C=S); 1350 (symmetric vibrations of NO2); 1528 (asymmetric vibrations of NO2); 1641 (CO); 3101- 3300 (NH-CO); 1H-NMR δ: 2.11 (s, 3H, CH3); 2.50 (m, 4H, CH2); 4.50 (t, 1H, CH); 7.80 (t, 1H, Ar); 8.17 (d, 2H, Ar); 8.30 (d, 2H, Ar); 8.39 (d, 1H, Ar); 8.45 (d, 1H, Ar); 8.70 (s, 1H, Ar); 9.07 (d, 1H, NH); 9.81 (s, 1H, NH); 10.10 (s, 1H, NH).
1-[N-(3-nitrobenzoyl)-D,L-methionyl]-4-allyl-thiosemicarbazide (4e). Yield 76.27 %; m.p. 117-118 ºC; Anal. Calc. for C16H21N5O4S2 (411.10): 46.71% C, 5.10% H, 17.03% N, 15.57% S; found 46.48% C, 5.02% H, 16.98% N, 15.23% S; IR (ν, cm-1): 768 (CH3S); 823 (aromatic CH); 1172 (C=S); 1348 (symmetric vibrations of NO2); 1529 (asymmetric vibrations of NO2); 1644 (CO); 3082-3302 (NH-CO); 1H-NMR δ: 1.80 (d, 2H, CH2); 2.11 (s, 3H, CH3); 2.50 (m, 4H, CH2); 4.50 (t, 1H, CH); 5.90 (t, 2H, CH2); 6.32 (m, 1H, CH); 7.80 (t, 1H, Ar); 8.34 (d, 1H, Ar); 8.47 (d, 1H, Ar); 8.74 (s, 1H, Ar); 9.07 (d, 1H, NH); 9.82 (t, 1H, NH); 10.10, 10.30 (s, 1H, NH).
General procedure for the synthesis of 1,3,4-thiadiazole compounds 5a-e.
To corresponding thiosemicarbazide 4a-e (0.006 mol) concentrated H2SO4 (1 mL) was added under stirring. The reaction mixture was stirred at room temperature for one hour and then added dropwise to cold water. The obtained solid was dried under vacuum at 45 ºC. The crude product was purified by crystallization from ethanol.
2-[1-(3-nitrobenzoylamino)-3-(methylthio)]-propyl-5-(methylamino)-1,3,4-thiadiazole (5a). Yield 69.76 %; m.p. 116-117 ºC; Anal. Calc. for C14H17N5O3S2 (367.08): 45.77% C, 4.63% H, 19.07% N, 17.43% S; found 45.55% C, 4.58% H, 18.92% N, 17.21% S; IR (ν, cm-1): 725 (CH3S); 821 (aromatic CH); 1350 (symmetric vibrations of NO2); 1433 (C=N); 1527 (asymmetric vibrations of NO2); 1645 (CO); 3302 (NH-CO); 1H-NMR δ: 2.06 (s, 3H, CH3); 2.50 (m, 4H, CH2); 2.80 (d, 3H, CH3); 4.50 (t, 1H, CH); 7.06 (m, 1H, NH); 7.80 (t, 1H, Ar); 8.30 (d, 1H, Ar); 8.40 (d, 1H, Ar); 8.70 (s, 1H, Ar); 9.07 (d, 1H, NH).
2-[1-(3-nitrobenzoylamino)-3-(methylthio)]-propyl-5-(phenylamino)-1,3,4-thiadiazole (5b). Yield 68.72 %; m.p. 105-106 ºC; Anal. Calc. for C19H19N5O3S2 (429.09): 53.11% C, 4.42% H, 16.31% N, 14.91% S; found 52.98% C, 4.38% H, 16.22% N, 14.81% S; IR (ν, cm-1): 725 (CH3S); 821 (aromatic CH); 1350 (symmetric vibrations of NO2); 1433 (C=N); 1527 (asymmetric vibrations of NO2); 1645 (CO); 2916-3302 (NH-CO); 1H-NMR δ: 2.09 (s, 3H, CH3); 2.50 (m, 4H, CH2); 4.50 (t, 1H, CH); 7.10 (t, 1H, Ar); 7.20 (t, 2H, Ar); 7.30 (d, 2H, Ar); 7.80 (t, 1H, Ar); 8.41 (d, 1H, Ar); 8.47 (d, 1H, Ar); 8.74 (s, 1H, Ar); 9.06 (d, 1H, NH); 10.43 (s, 1H, NH).
2-[1-(3-nitrobenzoylamino)-3-(methylthio)]-propyl-5-(4-methylphenylamino)-1,3,4-thiadiazole (5c). Yield 62.43 %; m.p. 98-99 ºC; Anal. Calc. for C20H21N5O3S2 (443.11): 54.17% C, 4.74% H, 15.80% N, 14.44% S; found 54.12% C, 4.38% H, 15.72% N, 14.28% S; IR (ν, cm-1): 725 (CH3S); 819 (aromatic CH); 1350 (symmetric vibrations of NO2); 1433 (C=N); 1527 (asymmetric vibrations of NO2); 1645 (CO); 3084-3302 (NH-CO); 1H-NMR δ: 2.09 (s, 3H, CH3); 2.50 (m, 4H, CH2); 4.50 (t, 1H, CH); 7.10 (s, 3H, CH3); 7.78 (t, 1H, Ar); 7.82 (d, 2H, Ar); 7.94 (d, 2H, Ar); 8.30 (d, 1H, Ar); 8.40 (d, 1H, Ar); 8.00 (s, 1H, Ar); 9.07 (d, 1H, NH); 10.43 (s, 1H, NH).
2-[1-(3-nitrobenzoylamino)-3-(methylthio)]-propyl-5-(4-bromophenylamino)-1,3,4-thiadiazole (5d). Yield 61.18 %; m.p. 106-107 ºC; Anal. Calc. for C19H18N5O3S2Br (507.00): 44.88% C, 3.54% H, 13.77% N, 12.59% S; found 44.81% C, 3.25% H, 13.51% N, 12.42% S; IR (ν, cm-1): 769 (CH3S); 825 (aromatic CH); 1349 (symmetric vibrations of NO2); 1432 (C=N); 1529 (asymmetric vibrations of NO2); 1644 (CO); 3082-3302 (NH-CO); 1H-NMR δ: 2.11 (s, 3H, CH3); 2.50 (m, 4H, CH2); 4.50 (t, 1H, CH); 7.90 (t, 1H, Ar); 8.05 (d, 2H, Ar); 8.08 (d, 2H, Ar); 8.41 (d, 1H, Ar); 8.47 (d, 1H, Ar); 8.74 (s, 1H, Ar); 9.07 (d, 1H, NH); 10.43 (s, 1H, NH).
2-[1-(3-nitrobenzoylamino)-3-(methylthio)]-propyl-5-(allylamino)-1,3,4-thiadiazole (5e). Yield 71.03 %; m.p. 112-113 ºC; Anal. Calc. for C16H19N5O3S2 (393.09): 48.85% C, 4.83% H, 17.81% N, 16.28% S; found 48.69% C, 4.78% H, 17.62% N, 16.01% S; IR (ν, cm-1): 723 (CH3S); 819 (aromatic CH); 1350 symmetric vibrations of (NO2); 1431 (C=N); 1527 (asymmetric vibrations of NO2); 1645 (CO); 3082-3300 (NH-CO); 1H-NMR δ: 2.06 (s, 3H, CH3); 2.50 (m, 4H, CH2); 3.70 (d, 2H, CH2); 4.50 (t, 1H, CH); 5.90 (t, 2H, CH2); 6.30 (m, 1H, CH); 7.80 (t, 1H, Ar); 8.30 (d, 1H, Ar); 8.40 (d, 1H, Ar); 8.70 (s, 1H, Ar); 9.07 (d, 1H, NH); 10.42 (t, 1H, NH).
General procedure for the synthesis of 1,2,4-triazole compounds 6a-c.
To corresponding thiosemicarbazide 4a-e (0.0014 mol) a solution of NaOH 2N (10 mL) was added. The reaction mixture was heated at 80 °C for one hour, diluted with water (1:1) and then a solution of HCl 1N was added till pH 4.5. The obtained solids were dried at 45 ºC and then recristalized from ethanol.
3-mercapto-4-methyl-5-[1-(3-nitrobenzoylamino)-3-methylthio]-propyl-1,2,4-triazole (6a). Yield 62.43 %; m.p. 280-281 ºC; Anal. Calc. for C14H17N5O3S2 (367.08): 45.77% C, 4.63% H, 19.07% N, 17.43% S; found 45.62% C, 4.48% H, 18.93% N, 17.21% S; IR (ν, cm-1): 686 (CH3S); 866 (aromatic CH); 1350 (symmetric vibrations of NO2); 1436 (C=N); 1580 (asymmetric vibrations of NO2); 1648 (CO); 2592 (SH); 2974-3271 (NH-CO); 1H-NMR δ: 2.11 (s, 3H, CH3); 2.50 (m, 4H, CH2); 2.80 (s, 3H, CH3); 4.50 (t, 1H, CH); 7.80 (t, 1H, Ar); 8.41 (d, 1H, Ar); 8.47 (d, 1H, Ar); 8.74 (s, 1H, Ar); 9.05 (d, 1H, NH); 12.60 (s, 1H, SH).
3-mercapto-4-phenyl-5-[1-(3-nitrobenzoylamino)-3-methylthio]-propyl-1,2,4-triazole (6b). Yield 60.31 %; m.p. 233-234 ºC; Anal. Calc. for C19H19N5O3S2 (429.09): 53.14% C, 4.42% H, 16.31% N, 14.91% S; found 53.02% C, 4.16% H, 16.28% N, 14.85% S; IR (ν, cm-1): 684 (CH3S); 866 (aromatic CH); 1348 (symmetric vibrations of NO2); 1440 (C=N); 1550 (asymmetric vibrations of NO2); 1691 (CO); 2589 (SH); 2981-3462 (NH-CO); 1H-NMR δ: 2.08 (s, 3H, CH3); 2.50 (m, 4H, CH2); 4.50 (t, 1H, CH); 7.18 (t, 1H, Ar); 7.27 (t, 2H, Ar); 7.38 (d, 2H, Ar); 7.80 (t, 1H, Ar); 8.30 (d, 1H, Ar); 8.40 (d, 1H, Ar); 8.70 (s, 1H, Ar); 9.07 (d, 1H, NH); 12.80 (s, 1H, SH).
3-mercapto-4-(4-methylphenyl)-5-[1-(3-nitrobenzoylamino)-3-methylthio]-propyl-1,2,4-triazole (6c). Yield 68.38 %; m.p. 285-286 ºC; Anal. Calc. for C20H19N5O3S2 (443.11): 54.17% C, 4.74% H, 15.80% N, 14.44% S; found 54.03% C, 4.58% H, 15.52% N, 14.39% S; IR (ν, cm-1): 686 (CH3S); 866 (aromatic CH); 1350 (symmetric vibrations of NO2); 1450 (C=N); 1580 (asymmetric vibrations of NO2); 1698 (CO); 259 (SH); 2976-3486 (NH-CO); 1H-NMR δ: 2.06 (s, 3H, CH3); 2.50 (m, 4H, CH2); 4.50 (t, 1H, CH); 7.10 (s, 3H, CH3); 7.80 (t, 1H, Ar); 7.90 (d, 2H, Ar); 8.08 (d, 2H, Ar); 8.41 (d, 1H, Ar); 8.47 (d, 1H, Ar); 8.74 (s, 1H, Ar); 9.07 (d, 1H, NH); 12.70 (s, 1H, SH).
Antimicrobial activity assessment
The test microorganisms used to evaluate the potential antimicrobial activity of the new synthesized compounds were: Staphylococcus aureus ATCC 25923, Bacillus antracis ATCC 8705, Bacillus cereus ATCC 10987, Sarcina lutea ATCC 9341 and Escherichia coli ATCC 25922. All the new compounds were weighed and dissolved in dimethylsulphoxide (DMSO) to prepare an extract stock solution of 100 mg/mL. The antimicrobial effects of the substances were quantitatively tested in the respective broth media by using double dilution and the Minimal Inhibitory Concentration (MIC) values (μg/mL) were determined [17]. The antibacterial assays were performed in Mueller-Hinton broth (MH) at pH 7.3. The MIC was defined as the lowest concentration that showed no growth. Dimethylsulfoxide (DMSO) with dilution of 1:10 was used as solvent control.
Toxicity study
The acute toxicity was estimated by intraperitoneal administration of the compounds as a suspension in Tween 80 to groups of fourteen mice, each weighting 20-25 g, according to the classical laboratory methodology [18]. The animals were observed and the death rate ascertained after 7 days.
References
- Palaska, E.; Sahin, G.; Kelicen, P.; Durlu, N. T.; Altinok, G. Synthesis and anti-inflammatory activity of 1-acylthiosemicarbazides, 1,3,4-oxadiazoles, 1,3,4-thiadiazoles and 1,2,4-triazole-3-thiones. Farmaco 2002, 57, 101–107. [Google Scholar] [CrossRef]
- Labanauskas, L.; Kalcas, V.; Udrenaite, E.; Gaidelis, P.; Brukstus, A.; Dauksas, V. Synthesis of 3-(3,4-dimethoxyphenyl)-1 H-1,2,4-triazole-5-thiol and 2-amino-5-(3,4-dimethoxyphenyl)-1,3,4-thiadiazole derivatives exhibiting anti-inflammatory activity. Pharmazie 2001, 56, 617–619. [Google Scholar]
- Onkol, T.; Cakir, B.; Sahin, M. F. Synthesis and Antinociceptive Activity of 2-[(2-Oxobenzothiazolin-3-yl)methyl]-5-aminoalkyl / aryl-1,3,4-thiadiazole. Turk. J. Chem. 2004, 28, 461–466. [Google Scholar]
- Schenone, S.; Bruno, O.; Ranise, A.; Bondavalli, F.; Filippeli, W.; Falcone, G.; Giordano, L.; Vitelli, M. R. 3-Arylsulphonyl-5-arylamino-1,3,4-thiadiazol-2(3H)ones as anti-inflammatory and analgesic agents. Bioorg. Med. Chem. 2001, 9, 2149–2153. [Google Scholar] [CrossRef]
- Gokce, M.; Cakir, B.; Erol, K.; Sahin, M. F. Synthesis and antinociceptive activity of [(2-oxobenzothiazolin-3-yl)methyl]-4-alkyl/aryl-1,2,4-triazoline-5-thiones. Arch. Pharm. 2001, 334, 279–283. [Google Scholar] [CrossRef]
- Baldwin, J. J.; Engelhardt, E. L.; Hirschmann, R.; Ponticello, G. S.; Atkinson, J. G.; Wasson, B. K.; Sweet, C. S.; Scriabine, A. Heterocyclic analogues of the antihypertensive beta-adrenergic blocking agents (S)-2-[3-(ter-butylamino)-2-hydroxypropoxy]-3-cyanopyridine. J. Med. Chem. 1980, 23, 65–70. [Google Scholar] [CrossRef]
- Varvaresou, A.; Tsantili-Kakoulidou, A.; Siatra-Papastasikoudi, T.; Tiligada, E. Synthesis and biological evaluation of indole containing derivatives of thiosemicarbazide and their cyclic 1,2,4-triazole and 1,3,4-thiadiazole analogs. Arzneimittelforschung 2000, 50, 48–54. [Google Scholar] Varvaresou, A.; Siatra-Papastasikoudi, T.; Tsontinis, A.; Tsantili-Kakoulidou, A.; Vamvakides, A. Synthesis, lipophilicity and biological evaluation of indole-containing derivatives of 1,3,4-thiadiazole and 1,2, 4-triazole. Farmaco 1998, 53, 320–326. [Google Scholar]
- Foroumadi, A.; Mirzaei, M.; Shafiee, A. Antituberculosis agents, I: Synthesis and antituberculosis activity of 2-aryl-1,3,4-thiadiazole derivatives. Pharmazie 2001, 56, 610–612. [Google Scholar]
- Mamolo, M. G.; Falagiani, V.; Zanpieir, D.; Vio, L.; Banfi, F. Synthesis and antimycobacterial activity of [5-(pyridin-2-yl)-1,3,4-thiadiazol-2-ylthio]acetic acid arylidene-hydrazide derivatives. Farmaco 2001, 56, 587–592. [Google Scholar]
- Wujec, M.; Pitucha, M.; Dobosz, M.; Kosikowska, U.; Malm, A. Synthesis and potential antimycotic activity of 4-substituted-3-(thiophene-2-yl-methyl)-Delta2-1,2,4-triazoline-5-thiones. Acta Pharm. 2004, 54, 251–260. [Google Scholar]
- Zamani, K.; Faghifi, K.; Tefighi, I.; Sharlatzadeh, M. R. Synthesis and potential antimycotic activity of 4-substituted 3-(thiophene-2-yl-methyl)-Δ2-1,2,4-triazoline-5-thiones. Turk. J. Chem. 2004, 28, 95–101. [Google Scholar]
- Chen, H.; Li, Z.; Han, Y. Synthesis and fungicidal activity against Rhizoctonia solani of 2-alkyl (Alkylthio)-5-pyrazolyl-1,3,4-oxadiazoles (Thiadiazoles). J. Agric. Food Chem. 2000, 48, 5312–5315. [Google Scholar] [CrossRef]
- Zou, X. J.; Jin, G. Y.; Zhang, Z. X. Synthesis, fungicidal activity, and QSAR of pyridazinonethiadiazoles. J. Agric. Food Chem. 2002, 50, 1451–1454. [Google Scholar] Zou, X. J.; Lai, L. H.; Jin, G. Y.; Zhang, Z. X. Synthesis, fungicidal activity, and 3D-QSAR of pyridazinone-substituted 1,3,4-oxadiazoles and 1,3,4-thiadiazoles. J. Agric. Food Chem. 2002, 50, 3757–3760. [Google Scholar]
- Clerici, F.; Pocar, D.; Guido, M.; Loche, A.; Perlini, V.; Brufani, M. Synthesis of 2-amino-5-sulfanyl-1,3,4-thiadiazole derivatives and evaluation of their antidepressant and anxiolytic activity. J. Med. Chem. 2001, 44, 931–936. [Google Scholar] [CrossRef]
- Sunel, V.; Lionte, C.; Popa, M.; Pintilie, O.; Mungiu, O.; Teleman, S. Synthesis of new methionine derivatives for the treatment of paracetamol-induced hepatic injury. Eur. Chem. Tech. J. 2002, 4, 201–205. [Google Scholar]
- Rhee, S. G.; Chock, P.; Boon, W.; Sugiyama, Y. Subunit interaction in unadenylylated glutamine synthetase from Escherichia coli. Evidence from methionine sulfoximine. J. Biol. Chem. 1981, 256, 644–648. [Google Scholar]
- National Committee for Clinical Laboratory Standard. Methods for diluation antimicrobial susceptibility tests for bacteria that grow aerobically, Approved standard M7-A2; NCCLS: Vilanova, PA, 1990. [Google Scholar]
- Czajkowska, T.; Graczyk, J.; Krysiak, B.; Stetkiewicz, J. Acute toxic effects of trimethyl and triethyl phosphates. J. Med. Pr. 1978, 29, 393–398. [Google Scholar]
- Sample Availability: Samples of the compounds 5a-e and 6a-c are available from authors.
© 2007 by MDPI (http://www.mdpi.org). Reproduction is permitted for noncommercial purposes.