Reaction of Nitrilimines and Nitrile Oxides with Hydrazines, Hydrazones and Oximes
Abstract
:Introduction
Nitrilimines and nitrile oxides
- i)
- Replacement reactions with nucleophiles (Nu) leading to acyclic adducts:
- ii)
- Cycloaddition reactions with multiple bonds leading to five-membered heterocycles. The reactions proceed with almost complete stereochemical control and a remarkable regiochemical control in many cases.
- iii)
- Cyclocondensation reactions with nucleophiles incorporating suitably located electrophilic centers leading to five- or six-membered heterocyclic rings. An example is the reaction of nitrilimines generated in situ from the respective hydrazonoyl halides 1 with α-amino acid esters 5 leading to 4,5-dihydro-1,2,4-triazin-6-ones 6 [4].
Reactions of Nitrilimines and Nitrile Oxides with Hydrazines
Reaction with phenyl-, acetyl- and benzoylhydrazines
Reaction with methylhydrazine
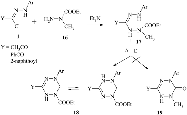
Reaction with methoxycarbonylhydrazine
Reaction with 1-ethoxycarbonyl-1-methylhydrazine
Reaction with 1-acetyl- and 1-formyl-1-methylhydrazine
Reaction of nitrilimines with 1,1-dimethylhydrazine and 1-methyl-1-phenylhydrazine
Reaction of nitrilimines with 1-ethoxycarbonyl-2-phenylhydrazine
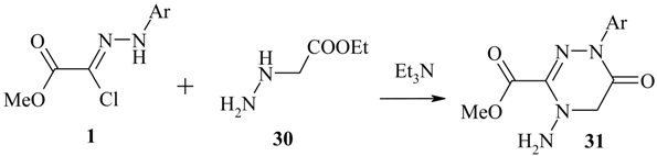
Reaction with ethyl hydrazinoacetate

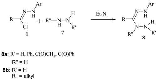
Reaction with hydrazones
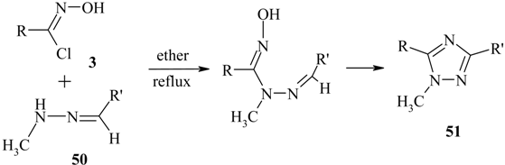
Reaction with substituted simple hydrazones
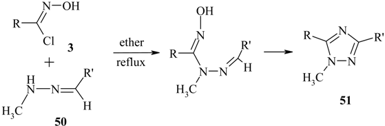
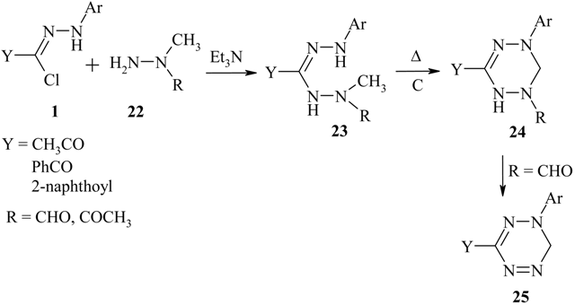
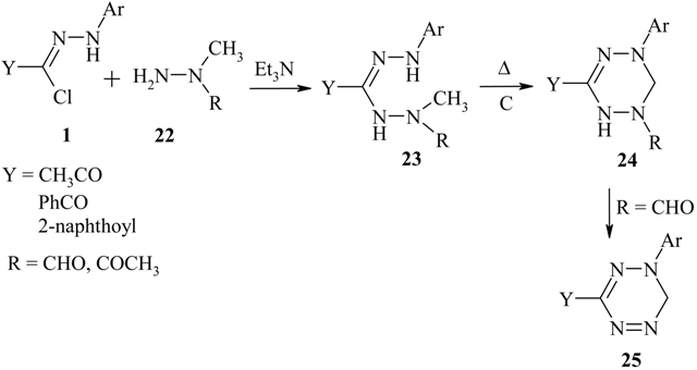
Reaction of nitrilimines and nitrile oxides with substituted methylhydrazones
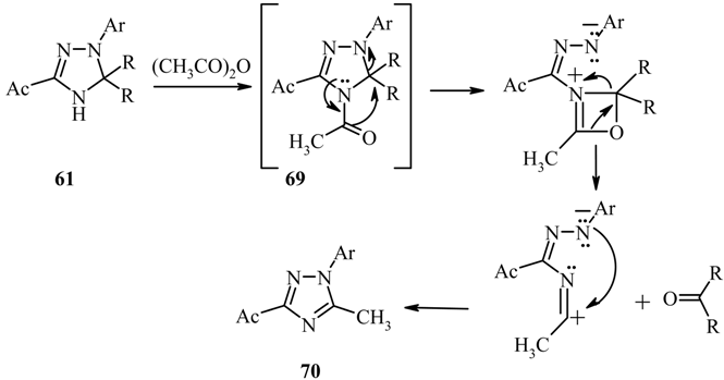
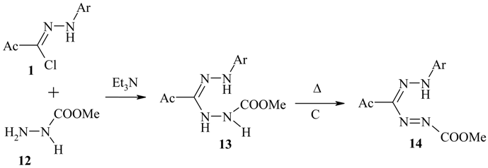
Reaction of nitrilimines with hydrazones carrying electron withdrawing groups
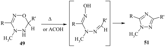
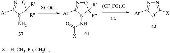
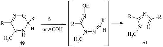
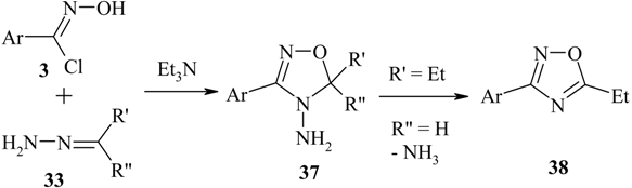
Reaction with Oximes
Conclusions
References
- Huisgen, R. Angew. Chem. Intern. Ed. Engl. 1963, 2, 256.
- 1,3-Dipolar Cycloaddition; Padwa, A. (Ed.) Wiley-Interscience: New York, 1984.
- Shawali, A. S. Heterocycles 1983, 20, 2239.Shawali, A. S. Chem Rev. 1993, 93, 2731.
- El-Abadelah, M. M.; Saleh, S. A.; Awadallah, A. M. Asian J. Chem. 1997, 9, 474.
- Hegarty, A. F.; Aylwand, J. B.; Scott, F. L. J. Chem. Soc. (C) 1967, 2587.
- Hussein, A. Q.; El_Abadelah, M.M.; Hodali, H. H.; Kamal, M. R.; Aouf, M. Heterocycles 1987, 26, 2199. [CrossRef]
- Hassaneen, H. M.; Mousa, H. A.; Nosrat, K. M. Heterocycles 1988, 27, 695.
- El-Abadelah, M.M.; Hussein, A. Q.; Nazer, M. Z.; Musa, O. M.; Rademacher, P.; Bandmann, H. Heterocycles 1993, 36, 455.
- El-Haddad, M.; Ferwanah, A. R. S.; Awadallah, A. M. J. Prakt. Chem. 1998, 340, 623.
- Awadallah, A. M.; Ferwanah, A. R. S.; El-Sawi, E. A.; Dalloul, H. M. Heterocyclic Commun. 2002, 8, 369.
- Ferwanah, A. R. S.; Awadallah, A. M. Asian J. Chem. 1998, 10, 180.
- Ferwanah, A. R. S.; Awadallah, A. M.; El-Sawi, E. A.; Dalloul, H. M. Synth. Commun. 2003, 33, 1245.
- El-Abadelah, M. M.; Nazer, M.; El-Abadlah, N. S.; Meier, H. J. Prakt. Chem. 1997, 339, 90.
- Awadallah, A. M. unpublished data.
- Hussein, A. J. Chem. Res (S) 1996, 174. J. Chem. Res (M), 1996, 949.
- El-Sawi, E. A.; Awadallah, A. M.; Ferwanah, A. R. S.; Dalloul, H. M. Asian J. Chem. 2002, 14, 1225.
- El-Abadelah, M. M.; Hussein, A. Q.; Awadallah, A. M. Heterocycles 1989, 29, 1957.
- El-Abadelah, M. M.; Nazer, M. Z.; Hussein, A. Q.; Awadallah, A. M.; Rademacher, P.; Woydt, M. J. Heterocycl. Chem. 1991, 28, 1229. [CrossRef]
- Hussein, A. Q.; El-Abadelah, M. M.; Nazer, M. Z.; Awadallah, A. M.; Rademacher, P.; Bandman, H. Heterocycles 1994, 38, 981.
- El-Abadelah, M. M.; Hussein, A. Q.; Kamal, M. R.; Al-Adhami, K. H. Heterocycles 1988, 27, 917.
- Hussein, A. Q.; El-Abadelah, M. M.; Al-Adhami, K.; Abushamla, A. S. Heterocycles 1988, 29, 1136.El-Abadelah, M. M.; Hussein, A. Q.; Abushamla, A. S. J. Prakt. Chem. 1991, 333, 61.El-Abadelah, M. M.; Hussein, A. Q.; Saadeh, H. A. Heterocycles 1991, 32, 1063.Boese, R.; El-Abadelah, M. M.; Hussein, A. Q.; Abushamleh, A. S. Heterocyclic Chem. 1994, 31, 505.
- Risitano, F.; Grassi, G.; Fote, F. J. Chem Res. (S) 1981, 65. J. Chem.. Res. (M), 1981, 831.
- Awad, B. M.; Ferwanah, A. R. S.; Awadallah, A. M.; El-Halabi, N. M. Asian J. Chem. 2002, 14, 1235.
- Awadallah, A. M.; El-Sawi, E. A.; Ferwanah, A. R. S.; Dalloul, H. M. Asian J. Chem. 2002, 14, 1230.
- Ferwanah, A. R. S. Synth. Commun. 2003, 33, 243.
- Awadallah, A. M.; Ferwanah, A. R. S.; El-Haddad, M. R.; Schrader, W. Asian J. Chem. 2004, 16, 1691.
- Ferwanah, A. R. S. Asian J. Chem. 1999, 11, 480.
- Ferwanah, A. R. S.; Awadallah, A. M.; Khafaja, N. A. Asian J. Chem. 2001, 13, 1203.
- Ferwanah, A. R. S.; Kandile, N. G.; Awadallah, A. M.; Miqdad, O. A. Synth. Commun. 2002, 32, 2017.
- Morrocchi, S.; Ricca, A. Chim Ind. (Milan) 1967, 49, 629.
© 2005 by MDPI (http:www.mdpi.org). Reproduction is permitted for noncommercial purposes.
Share and Cite
Ferwanah, A.-R.S.; Awadallah, A.M. Reaction of Nitrilimines and Nitrile Oxides with Hydrazines, Hydrazones and Oximes. Molecules 2005, 10, 492-507. https://doi.org/10.3390/10020492
Ferwanah A-RS, Awadallah AM. Reaction of Nitrilimines and Nitrile Oxides with Hydrazines, Hydrazones and Oximes. Molecules. 2005; 10(2):492-507. https://doi.org/10.3390/10020492
Chicago/Turabian StyleFerwanah, Abdel-Rahman S., and Adel M. Awadallah. 2005. "Reaction of Nitrilimines and Nitrile Oxides with Hydrazines, Hydrazones and Oximes" Molecules 10, no. 2: 492-507. https://doi.org/10.3390/10020492
APA StyleFerwanah, A.-R. S., & Awadallah, A. M. (2005). Reaction of Nitrilimines and Nitrile Oxides with Hydrazines, Hydrazones and Oximes. Molecules, 10(2), 492-507. https://doi.org/10.3390/10020492




