You are currently viewing a new version of our website. To view the old version click .
Molecules
  • Article
  • Open Access

28 February 2005

Synthesis of 4-Amino-4,5-dihydro-1H-1,2,4-triazole-5-ones and their Isatin-3-imine Derivatives

Department of Chemistry, Rize Faculty of Arts and Science, Karadeniz Technical University, 53100,Rize, Turkey

Abstract

Iminoester hydrochlorides 1 have been synthesized. These compounds were then converted into ester ethoxycarbonyl hydrazones 2, from which in turn a new series of substituted 4-amino-4,5-dihydro-1H-1,2,4-triazole-5-ones, 3, was then prepared. Finally a set of isatin imine derivatives 4 was obtained from the reaction of compounds 3 with isatin. The structures of all the new synthesized compounds were confirmed by elemental analyses, IR, 1H-NMR and 13C-NMR spectra.

Introduction

The synthesis and antibacterial activity of some 4-amino-4,5-dihydro-1H-1,2,4-triazoles and their derivatives have been reported in the literature [1,2,3,4,5]. A number of studies involving the antibacterial and antitumor activity of some 4-amino-4,5-dihydro-1H-1,2,4-triazole-5-ones and their derivatives have also been published recently [6,7,8,9,10,11,12,13,14]. There are also many studies on isatin (1H-indole-2,3-dione) in the literature. The synthetic versatility of isatin has led to the extensive use of this compound in organic synthesis. This has stemmed in great part from the interest in the biological and pharmaceutical properties of its derivatives [15,16,17,18,19,20,21,22,23,24]. Although reactions of isatin with many amino compounds have been investigated, it appears that its reaction with the N-aminotriazole-5-ones have not been studied before. Consequently, some new 4-amino-4,5-dihydro-1H-1,2,4-triazole-5-ones have now been synthesized and their reactions with isatin investigated.

Results and Discussion

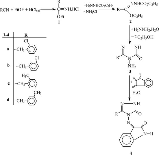
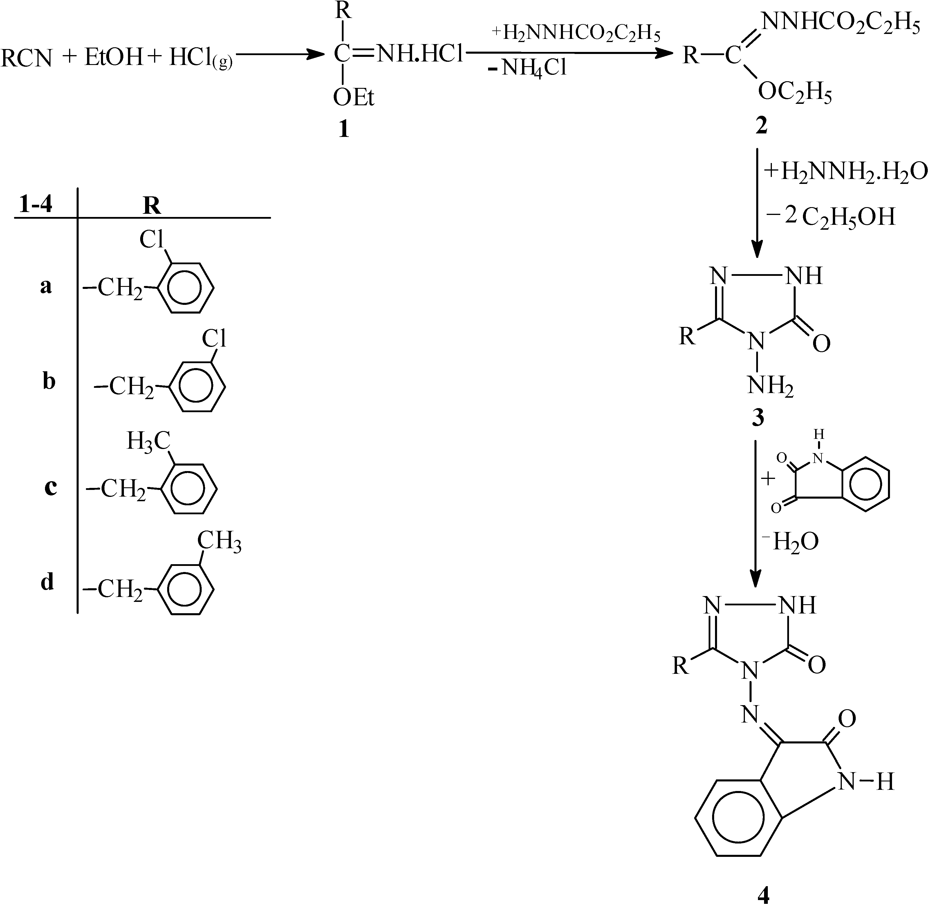
The new derivatives were prepared following the reaction sequences depicted in Scheme 1. Iminoester starting materials 1a-d were prepared by passing HCl gas through solutions of 2-chloro-benzyl cyanide, 3-chlorobenzyl cyanide, 2-methylbenzyl cyanide or 3-methylbenzyl cyanide and absolute ethanol, followed by precipitation with ether.
Scheme 1.
In the IR spectra of compounds 1a-d the characteristic NH2+ absorption bands appeared at 2980, 2920 and 810 cm-1 and the C=N band at 1640 cm-1, approximately. Reaction of the iminoesters with ethyl carbazate yielded the ethoxycarbonyl hydrazones 2a-d. The IR spectra of these compounds show the C=O band at 1740 cm-1 and the C=N band at 1600 cm-1, approximately. The obtained compounds 2a-d were then refluxed with a solution of hydrazine hydrate in water to afford the compounds 3a-d. The NH2, C=O and C=N bands observed in the IR spectra of the latter compounds match the peaks expected for these structures. In addition to this, observation of NH2, NH and aromatic protons, as well as the disappearance of CH2CH3 signals in the 1H-NMR spectra and the triazole C5 peak at near δ 154 ppm and the triazole C3 peak at near δ147 ppm in the 13C-NMR spectra all support this conclusion. Finally, in the reaction of compounds 3a-d with isatin we obtained the expected isatin-3-imines 4. The structures of the isatin-3-imines were verified by the presence in the IR spectra of two different C=O absorbtion bands at around 1700 cm-1 and C=N bands near 1690 cm-1. In addition to this, the appearance of signals corresponding to two different NH protons and the disappearance of the NH2 protons in the 1H-NMR spectra support the proposed structures. The 13C-NMR spectra also support the expected structures.

Conclusions

New compounds 3a-d, which can be used to prepare many new compounds, have been synthesized. Some of the new derivatives might be important biologically active agents. The compounds 4a-d are also potential biologically active agents and their medical research applications should be investigated.

Experimental

General

Melting points were determined in open capillary tubes on a Büchi oil heated melting point apparatus and are uncorrected. The IR spectra were recorded for KBr pellets on Perkin-Elmer 1600 FTIR spectrophotometer. 1H-NMR and 13C-MR spectra were recorded on a Varian 200A spectrometer (solvent DMSO-d6, TMS as internal standard). Elemental analyses were performed on a Carlo Erba 1106 CHN analyzer. Starting materials were obtained from Fluka or Aldrich.

Synthesis of Iminoester Hydrochlorides 1a-d.

These were synthesized using the reported method [25]. To an ice-cooled solution of the appropriate nitrile (1 mole) in absolute alcohol (1.1 moles), dry hydrogen chloride was added until 1.1 moles had been absorbed. The resulting solution was then allowed to stand at 0 ºC in the refrigerator for 12 hours, after which cold absolute ether was added and the obtained crystals were filtered off immediately, washed with cold absolute ether and dried in a dessicator. The following compounds were thus prepared:
Ethyl imido-o-chlorophenylacetate hydrochloride (1a): m.p. 95-96 ºC; IR ῡ (cm-1): 2982, 2878, 812 (NH2+), 1624 (C=N), 753 (1,2-disubstituted benzene ring).
Ethyl imido-m-chlorophenylacetate hydrochloride (1b): m.p. 82-84 ºC; IR ῡ (cm-1): 2989, 2939, 823 (NH2+), 1649 (C=N), 868, 791, 684 (1,3-disubstituted benzene ring).
Ethyl imido-o-methylphenylacetate hydrochloride (1c): m.p. 80-81 ºC; IR ῡ (cm-1): 2981, 2928, 823 (NH2+), 1648 (C=N), 747 (1,2-disubstituted benzene ring).
Ethyl imido-m-methylphenylacetate hydrochloride (1d): m.p. 113-114 ºC; IR ῡ (cm-1): 2994, 2862, 811 (NH2+), 1653 (C=N), 867, 768, 714 (1,3-disubstituted benzene ring).

General Procedure for Preparation of Ethyl Substituted Formate Ethoxycarbonyl hydrazones 2a-d.

In a stoppered flask equipped with a magnetic stirrer, the corresponding ethyl imidocarboxylate hydrochloride (1a-d, 0.01 mol) was dissolved in absolute ethanol (50 mL) with ice-bath cooling and ethyl carbazate (0.01 mol) dissolved in absolute ethanol (20 mL) was then added to this solution. After stirring for 6 hr in ice-bath, the mixture was filtered to remove the ammonium chloride which separated from the solution and the filtrate was evaporated at 30-35ºC under reduced pressure. The solid residue, after drying in a dessicator, was recrystallized from petroleum ether to yield compounds 2a-d.
Ethyl o-chlorophenylacetate ethoxycarbonyl hydrazone (2a): Prepared from 1a, yield 78%; m.p. 54-55 ºC; IR ῡ (cm-1): 3274 (N-H), 1721 (C=O), 1648 (C=N), 751 (1,2-disubstituted benzene ring); 1H-NMR, δ (ppm): 1.18 (t, 3H, CH3), 1.28 (t, 3H, CH3), 3.71 (s, 2H, CH2), 3.96 (q, 2H, CH2), 4.24 (q, 2H, CH2), 6.58-7.24 (m, 4H, Ar-H), 8.18 (s, 1H, NH); Calcd. (%) for C13H17N2O3Cl (285): C, 54.78; H, 6.02; N, 9.84; found (%): C, 54.92; H, 6.01, N, 10.00.
Ethyl m-chlorophenylacetate ethoxycarbonyl hydrazone (2b): Prepared from 1b, 74%; m.p. 47-48 ºC; IR ῡ (cm-1): 3247 (N-H), 1709 (C=O), 1648 (C=N), 863, 770, 683 (1,3-disubstituted benzene ring); 1H-NMR, δ (ppm): 1.19 (t, 3H, CH3), 1.24 (t, 3H, CH3), 3.64 (s, 2H, CH2), 3.91(q, 2H, CH2), 4.11 (q, 2H, CH2), 6.80-7.11 (m, 4H, Ar-H), 8.23 (s, 1H, NH); Calcd. (%) for C13H17N2O3Cl (285): C, 54.78; H, 6.02; N, 9.84; found (%): C, 54.48; H, 6.18, N, 10.27.
Ethyl o-methylphenylacetate ethoxycarbonyl hydrazone (2c): Prepared from 1c, yield 80%; m.p. 66-67 ºC; IR ῡ (cm-1): 3207 (N-H), 1702 (C=O), 1657 (C=N), 747 (1,2-disubstituted benzene ring); 1H-NMR, δ (ppm): 1.20 (t, 3H, CH3), 1.32 (t, 3H, CH3), 2.30 (s, 3H, CH3), 3.64 (s, 2H, CH2), 4.00 (q, 2H, CH2), 4.24 (q, 2H, CH2), 6.96-7.30 (m, 4H, Ar-H); Calcd. (%) for C14H20N2O3 (264): C, 63.56; H, 7.63; N, 10.60; found (%): C, 63.68; H, 7.89, N, 10.86.
Ethyl m-methylphenylacetate ethoxycarbonyl hydrazone (2d): Prepared from 1d, yield 86%; m.p. 59-60 ºC; IR ῡ (cm-1): 3257 (N-H), 1710 (C=O), 1648 (C=N), 873, 755, 694 (1,3-disubstituted benzene ring); 1H-NMR, δ (ppm): 1.21 (t, 3H, CH3), 1.28 (t, 3H, CH3), 2.28 (s, 3H, CH3), 3.60 (s, 2H, CH2), 4.08 (q, 2H, CH2), 4.20 (q, 2H, CH2), 6.96-7.54 (m, 4H, Ar-H), 8.46 (s, 1H, NH); Calcd. (%) for C14H20N2O3 (264): C, 63.56; H, 7.63; N, 10.60; found (%): C, 63.65; H, 7.89, N, 10.58.

General Procedure for the Preparation of 3-Substituted-4-amino-4,5-dihydro-1H-1,2,4-triazole-5-ones 3a-d.

Compound 2 (0.01 mol) was refluxed for 5 hr with a solution of hydrazine hydrate (1.25 mL) in water (60 mL). The solution was crystallized by cooling to obtain the crude product (3a-d). The solid material thus obtained was filtered off and recrystallized from ethanol.
3-o-Chlorobenzyl-4-amino-4,5-dihydro-1H-1,2,4-triazole-5-one (3a): Prepared from 2a, yield 88%; m.p. 164-165 ºC; IR ῡ (cm-1): 3338, 3217 (NH2, NH), 1720 (C=O), 1633 (C=N), 749 (1,2-disubstituted benzene ring); 1H-NMR, δ (ppm): 4.10 (s, 2H, CH2), 5.28 (s, 2H, NH2), 7.25 (s, 4H, Ar-H), 11.90 (s, 1H, NH); 13C-NMR, δ (ppm): 28.80, 124.63, 126.84, 130.13, 132.86, 136.90, 138.63, 145.10, 153.14;. Calcd. (%) for C9H9N4OCl (225): C, 48.08; H, 4.04; N, 24.94; found (%): C, 48.40; H, 4.54, N, 24.68.
3-m-Chlorobenzyl-4-amino-4,5-dihydro-1H-1,2,4-triazole-5-one (3b):Prepared from 2b, yield 83%; m.p. 171-172 ºC; IR ῡ (cm-1): 3324, 3224 (NH2, NH), 1730 (C=O), 1638 (C=N), 864, 793, 719 (1,3-disubstituted benzene ring); 1H-NMR, δ (ppm): 4.00 (s, 2H, CH2), 5.18 (s, 2H, NH2), 7.16 (s, 4H, Ar-H), 11.10 (s, 1H, NH); 13C-NMR, δ (ppm): 29.62, 125.54, 127.84, 131.14, 133.62, 136.95, 137.44, 146.93, 154.11; Calcd. (%) for C9H9N4OCl (225): C, 48.08; H, 4.04; N, 24.94; found (%): C, 48.34; H, 4.63, N, 24.85.
3-o-Methylbenzyl-4-amino-4,5-dihydro-1H-1,2,4-triazole-5-one (3c): Prepared from 2c, yield 91%; m.p. 190-191 ºC; IR ῡ (cm-1): 3327, 3221 (NH2, NH), 1725 (C=O), 1635 (C=N), 736 (1,2-disubstituted benzene ring); 1H NMR, δ (ppm): 2.38 (s, 3H, CH3), 4.10 (s, 2H, CH2), 5.28 (s, 2H, NH2), 7.32 (s, 4H, Ar-H), 11.60 (s, 1H, NH); 13C-NMR, δ (ppm): 20.12, 29.76, 124.86, 125.18, 129.26, 130.18, 134.10, 135.19, 146.13, 153.81; Calcd. (%) for C10H12N4O (204): C, 58.76; H, 5.92; N, 27.42; found (%): C, 58.86; H, 6.04, N, 27.31.
3-m-Methylbenzyl-4-amino-4,5-dihydro-1H-1,2,4-triazole-5-one (3d): Prepared from 2d, yield 87%; m.p.156-157 ºC; IR ῡ (cm-1): 3322, 3222 (NH2, NH), 1731 (C=O), 1642 (C=N), 822, 751, 705 (1,3-disubstituted benzene ring); 1H-NMR, δ (ppm): 2.38 (s, 3H, CH3), 4.16 (s, 2H, CH2), 5.24 (s, 2H, NH2), 7.24 (s, 4H, Ar-H), 11.46 (s, 1H, NH); 13C-NMR, δ (ppm): 19.08, 28.12, 125.70, 126.56, 129.01, 129.78, 134.27, 136.17, 147.28, 154.00; Calcd. (%) for C10H12N4O (204): C, 58.76; H, 5.92; N, 27.42; found (%): C, 58.69; H, 6.12, N, 27.96.

General Procedure for the Preparation of Isatin-3-imines 4a-d.

Equimolar quantities (0.01 mol) of isatin and the corresponding amino compound 3a-d were dissolved in warm ethanol (40 mL) containing glacial acetic acid (0.5 mL). The reaction mixture was refluxed for 4 hr and then kept at room temperature overnight. The resulting solid was washed with ethanol, dried and recrystallized from ethanol-chloroform to afford compounds 4a-d.
3-[3’-(4’’-o-Chlorobenzyl-4’,5’-dihydro-1’H-1’,2’,4’-triazol-5’-on-4’-yl]-iminoisatin (4a): Prepared from 3a, yield 72%; m.p. 252-253 ºC; IR ῡ (cm-1): 3403, 3190 (N-H), 1754,1730 (C=O), 1684, 1613 (C=N), 1463 (C=C); 1H-NMR, δ (ppm): 4.18 (s, 2H, CH2), 7.18-7.64 (m, 8H, Ar-H), 11.22 (s, 1H, N-H), 12.40 (s, 1H, N-H); 13C-NMR, δ (ppm): 29.26, 113.42, 115.80, 121.18, 125.50, 126.18, 128.88, 129.85, 131.60, 133.36, 134.81, 137.18, 144.81, 145.83, 146.12, 156.18, 161.86 ; Calcd. (%) for C17H12N5O2Cl (354): C, 67.66; H, 3.42; N, 19.79; found (%): C, 57.18; H, 3.52, N, 19.64.
3-[3’-(4’’-m-Chlorobenzyl)-4’,5’-dihydro-1’H-1’,2’,4’-triazol-5’-on-4’-yl]-iminoisatin (4b): Prepared from 3b, yield 68%; m.p. 266-267 ºC; IR ῡ (cm-1): 3164, 3086 (N-H), 1730, 1708 (C=O), 1684, 1613 (C=N), 1464 (C=C); 1H-NMR, δ (ppm): 4.14 (s, 2H, CH2), 6.96-7.32 (m, 6H, Ar-H), 7.40-7.68 (s, 2H, Ar-H), 11.28 (s, 1H, N-H), 12.36 (s, 1H, N-H); 13C-NMR, δ (ppm): 28.31, 112.41, 116.42, 120.00, 124.81, 127.51, 128.12, 129.24, 131.18, 132.41, 135.40, 136.02, 145.10, 145.91, 146.83, 157.16, 162.15; Calcd. (%) for C17H12N5O2Cl (354): C, 57.66; H, 3.42; N, 19.79; found (%): C, 57.89; H, 3.48, N, 19.69.
3-[3’-(4’’-o-Methylbenzyl)-4’,5’-dihydro-1’H-1’,2’,4’-triazol-5’-on-4’-yl]-iminoisatin (4c): Prepared from 3c, yield 74%; m.p. 269-270 ºC; IR ῡ (cm-1): 3194, 3088 (N-H), 1746, 1706 (C=O), 1610, 1588 (C=N), 1467 (C=C); 1H-NMR, δ (ppm): 2.44 (s, 3H, CH3), 4.08 (s, 2H, CH2), 6.92-7.66 (m, 8H, Ar-H), 11.12 (s, 1H, N-H), 12.54 (s, 1H, N-H); 13C-NMR, δ (ppm): 19.10, 29.33, 111.16, 115.73, 122.41, 125.74, 127.10, 127.90, 129.37, 130.04, 133.33, 135.54, 136.53, 145.70, 146.10, 148.54, 158.04, 163.31; Calcd. (%) for C18H15N5O2 (333): C, 64.80; H, 4.54; N, 21.00; found (%): C, 64.96; H, 4.66, N, 21.44.
3-[3’-(4’’-m-Methylbenzyl)-4’,5’-dihydro-1’H-1’,2’,4’-triazol-5’-on-4’-yl]-iminoisatin (4d): Prepared from 3d, yield 75 %; m.p. 272-273 ºC; IR õ (cm-1): 3177, 3084 (N-H), 1748, 1707 (C=O), 1609, 1583 (C=N), 1466 (C=C); 1H-NMR δ (ppm): 2.41 (s, 3H, CH3), 4.12 (s, 2H, CH2), 7.00-7.47 (m, 8H, Ar-H), 11.20 (s, 1H, N-H), 12.32 (s, 1H, N-H); 13C-NMR, δ (ppm): 19.04, 28.96, 112.86, 114.61, 121.14, 124.81, 127.00, 127.50, 128.14, 131.14, 132.15, 135.20, 135.41, 144.62, 146.54, 147.51, 157.60, 162.94; Calcd. (%) for C18H15N5O2 (333): C, 64.80; H, 4.54; N, 21.00; found (%): C, 64.56; H, 4.63, N, 21.21.

References

  1. Ün, R.; İkizler, A.A. Chim. Acta Turc. 1975, 3, 1–22.
  2. İkizler, A.A.; Ün, R. Chim Acta Turc. 1979, 7, 269–290.
  3. Milcent, R.; Redeuilh, C. J. Heterocycl. Chem. 1979, 16, 403–407.
  4. Milcent, R.; Redeuilh, C. J. Heterocycl. Chem. 1980, 17, 1691–1696.
  5. Malbec, F.; Micent, R.; Vicart, P. J. Heterocycl. Chem. 1984, 21, 1769–1774.
  6. İkizler, A.A.; İkizler, A.; Yıldırım, N. Monatsh. Chem. 1991, 122, 557–563.
  7. İkizler, A.; Demirbaş, N.; Demirbaş, A.; İkizler, A.A. Polish. J. Chem. 1996, 70, 1114–1120.
  8. Yüksek, H.; Demirbaş, A.; İkizler, A.; Johansson, C.; Çelik, C.; İkizler, A.A. Arzneim.-Forsch./Drug Res. 1997, 47(I), 405–409.
  9. Serdar, M.; Sivri, E.; Yavuz, E.; Demirbaş, A.; İkizler, A.A. Model. Meas. Cont. C. 1998, 57, 59–63.
  10. Kahveci, B.; İkizler, A.A. Acta Polon. Pharm-Drug Res. 2000, 57, 119–122.
  11. Kahveci, B.; İkizler, A.A. Turk. J. Chem. 2000, 24, 343–351.
  12. Kahveci, B.; Bekircan, O.; Serdar, M.; İkizler, A.A. Indian J. Chem. Sec-B. 2003, 42B, 1527–1530.
  13. Kahveci, B.; Bekircan, O.; Serdar, M.; İkizler, A.A. Rev. Roum. Chim. 2003, 48, 615–618.
  14. Çoruh, U.; Kahveci, B.; Şaşmaz, S.; Ağar, Erbil.; Kim, Y.; Erdönmez, A. Acta Cryst. 2003, C59, o476–o478.
  15. Parrick, J.; Yahya, A.; Jin, Y. Tetrahedron Lett. 1984, 25, 3099–3100.
  16. Rajapadhye, M.; Popp, F.D. J. Heterocycl. Chem. 1984, 21, 289–291.
  17. Morley, J.E.; Farr, S.A.; Flood, J.F. Eur. J. Pharmacol. 1996, 305, 23–29.
  18. Bergman, J.; Stalhandske, C.; Vallberg, H. Acta Chem. Scand. 1997, 51, 753–759.
  19. Panova, N.G.; Zemskova, A.E. Neurosci. Lett. 1997, 233, 58–60.
  20. Pandeya, S.N.; Sriram, D. Acta Pharm. Turcica 1998, XXXX, 33–38.
  21. Pandeya, S.N.; Sriram, D.; Nath, G.; de Clercq, E. Pharm. Acta Helv. 1999, 74, 11–17.
  22. Pandeya, S.N.; Sriram, D.; Nath, G.; de Clercq, E. Eur. J. Med. Chem. 2000, 35, 249–255.
  23. Sridhar, S.K.; Saravanan, M.; Ramesh, A. Eur. J. Med. Chem. 2001, 36, 615–625.
  24. Pandeya, S.N.; Sriram, D.; Nath, G.; de Clercq, E. Arzneim.-Forsch./Drug Res. 2000, 50, 55–59.
  25. Pinner, A. Die Imidoäther und ihre Derivate, 1 Auflage; Oppenheim: Berlin, 1892. [Google Scholar]
  • Sample Availability: Available from the author.

Article Metrics

Citations

Article Access Statistics

Multiple requests from the same IP address are counted as one view.