Spatiotemporal Evolution of the Water System’s Structure and Its Relationship with Urban System Based on Fractal Dimension: A Case Study of the Huaihe River Basin, China
Abstract
1. Introduction
2. Study Region
3. Methods and Models
3.1. Grid Dimension Method
3.2. Multifractal Models
- Peak value of the α-f(α) spectral line: Since α-f(α) is a unimodal curve, the f(α) value ranges from 0 to D0, with q = 0 (α(0), f(α(0))) being its peak value. The larger the α(0) value, the higher the spatial filling degree of the research object; the larger the f(α(0)) value, the more complex the spatial structure.
- Δα (α-∞–α+∞): The ratio of Δα to the embedding space dimension 2 can define a spatial filling index. The larger the value, the greater the difference between the highest and lowest densities of the fractal object, the higher the spatial filling degree, and the stronger the heterogeneity. The Δα was calculated using α − 40–α + 40 in this paper.
- Δf (f(α+∞)–f(α-∞)): This is used to determine the fractal growth mode of the research object. When Δf < 0, the α-f(α) spectral shape is unimodal and right-skewed (higher on the right, lower on the left), indicating that the fractal growth of the research object is primarily centered, representing an intrinsic enhancement mode. When Δf > 0, the α-f(α) spectral shape is unimodal and left-skewed (higher on the left, lower on the right), indicating that the fractal growth of the research object is primarily outwardly diffusive, representing an extrinsic expansion mode. When Δf ≈ 0, the α-f(α) spectrum shows a left–right symmetric arc, with the growth patterns of the highest and lowest density areas being similar. The Δf is calculated using f(α + 40)–f(α − 40) in this paper.
4. Data Collection and Processing
4.1. Data Sources
4.2. Calculation and Analysis
5. Results
5.1. Characteristics of the Water System Structure in the HRB
5.1.1. Grid Dimension Analysis of the Water System
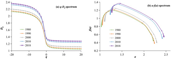
5.1.2. Multifractal Spectrum Analysis of the Water System
5.2. Characteristics of the Urban System Structure in the HRB
5.2.1. Grid Dimension Analysis of the Urban System
5.2.2. Multifractal Spectrum Analysis of the Urban System
5.3. Structural Correlation Characteristics Between the Water System and Urban System
5.3.1. Analysis of the Relational Characteristics from the Single-Fractal Perspective
5.3.2. Analysis of the Relational Characteristics from the Multifractal Structure Perspective
6. Discussions
6.1. Urban–Water Relationship
6.2. Structural Analysis Model
6.3. Future Improvements
7. Conclusions
- (1)
- Influenced by natural and human activities, the water system structure in the HRB is complex and has obvious scale characteristics, showing optimization at larger scales while continuously degrading at smaller scales. The distribution and development of the water system are primarily characterized by spatial aggregation, and this feature has been continuously strengthening over time.
- (2)
- The spatial filling degree of the water system in the HRB is greater than that of the urban construction land. Both exhibit a consistent trend of temporal variation, showing an increasing spatial filling degree and a more complex spatial structure. However, the self-similarity of the urban construction land has increased, and the spatial structure has optimized over time, while the self-affinity of the water system has strengthened, and its spatial structure has degenerated over time.
- (3)
- Although the development of the water system structure in the HRB is superior to that of the urban system, because of the rapid development of cities, the fractal dimension of the urban construction land will exceed that of the water system in the future, especially in dense urban areas or larger cities, which may lead to unreasonable utilization of the urban water resources or water shortage problems.
- (4)
- The spatial distribution of the urban construction land is more dispersed, with urban development primarily characterized by outward expansion, resulting in an overall dispersed spatial distribution. The spatial aggregation of the water system is stronger, with its development primarily based on inherent enhancement, leading to an increasingly concentrated spatial distribution. This development characteristic and change trend are constantly strengthening over time.
Author Contributions
Funding
Institutional Review Board Statement
Data Availability Statement
Acknowledgments
Conflicts of Interest
References
- Giordano, M.; Barron, J.; Ünver, O. Water scarcity and challenges for smallholder agriculture. Sustain. Food Agric. 2019, 5, 75–94. [Google Scholar]
- Wei, F.; Zhang, X.; Xu, J.; Bing, J.; Pan, G. Simulation of water resource allocation for sustainable urban development: An integrated optimization approach. J. Clean. Prod. 2020, 273, 122537. [Google Scholar] [CrossRef]
- Daher, B.; Lee, S.H.; Kaushik, V.; Blake, J.; Askariyeh, M.H.; Shafiezadeh, H.; Zamaripa, S.; Mohtar, R.H. Towards bridging the water gap in Texas: A water-energy-food nexus approach. Sci. Total Environ. 2019, 647, 449–463. [Google Scholar] [CrossRef] [PubMed]
- Liu, B.; Zhou, Y.; Cui, Y.; Dong, J.; Wang, X.; Zhang, Q.; Zou, Z.; Xiao, X. Exacerbating water shortage induced by continuous expansion of surface artificial water bodies in the Yellow River Basin. J. Hydrol. 2024, 633, 130979. [Google Scholar] [CrossRef]
- Zuo, Q.; Cui, G. Quantitative evaluation of human activities affecting an interconnected river system network. Acta Geogr. Sin. 2020, 75, 1483–1493. (In Chinese) [Google Scholar]
- Gregory, K.J. The human role in changing river channels. Geomorphology 2006, 79, 172–191. [Google Scholar] [CrossRef]
- Yang, M.; Xu, Y.; Deng, X. River system change characteristics of urban central area in plain river network region. Bull. Soil Water Conserv. 2014, 34, 263–266. [Google Scholar]
- Xi, J. Speech at the Symposium on Ecological Protection and High-Quality Development in the Yellow River Basin. Qiu Shi 2019, 20. Available online: http://www.qstheory.cn/dukan/qs/2019-10/15/c_1125102357.htm (accessed on 20 April 2021). (In Chinese).
- Li, H.; Wu, B.; Chen, Y. Planform geometry and controlling factors of river networks in the Yellow River source zone. Acta Geogr. Sin. 2022, 77, 2878–2889. (In Chinese) [Google Scholar]
- Scanlon, B.; Ruddell, B.; Reed, P.; Hook, R.I.; Zheng, C.; Tidwell, V.C.; Siebert, S. The food-energy-water nexus: Transforming science for society. Water Resour. Res. 2017, 53, 3550–3556. [Google Scholar] [CrossRef]
- Dai, X.; Xu, Y.; Lin, Z.; Wang, Q.; Gao, B.; Yuan, J.; Xiang, J. Influence of changes in river system structure on hydrological processes in Taihu Basin, China. Hydrol. Sci. J. 2019, 64, 2093–2104. [Google Scholar] [CrossRef]
- Dong, Y.; Wang, P.; Hua, Z.; Huang, S.H. Human activities exacerbate river network degrading in the Qinhuai River basin. Sci. Total Environ. 2024, 952, 176021. [Google Scholar] [CrossRef] [PubMed]
- Yu, Z.; Wang, Q.; Xu, Y.; Lu, M.; Lin, Z.; Gao, B. Dynamic impacts of changes in river structure and connectivity on water quality under urbanization in the Yangtze River Delta plain. Ecol. Indic. 2022, 135, 108582. [Google Scholar] [CrossRef]
- Jiang, Q.; Zheng, B. The relationship between the change of water system and the urban land expansion in Changsha. J. Nat. Resour. 2019, 34, 1429–1439. (In Chinese) [Google Scholar]
- Chen, H.; Liu, H.; Chen, X.; Qiao, Y. Analysis on impacts of hydro-climatic changes and human activities on available water changes in Central Asia. Sci. Total Environ. 2020, 737, 139779. [Google Scholar] [CrossRef] [PubMed]
- Omer, A.; Elagib, N.A.; Zhuguo, M.; Saleem, F.; Mohammed, A. Water scarcity in the Yellow River Basin under future climate change and human activities. Sci. Total Environ. 2020, 749, 141446. [Google Scholar] [CrossRef] [PubMed]
- Deng, X.; Xu, Y.; Han, L.; Li, G.; Wang, Y.; Xiang, J.; Xu, G. Spatial-temporal changes of river systems in Jiaxing under the background of urbanization. Acta Geogr. Sin. 2016, 71, 75–85. (In Chinese) [Google Scholar]
- Glaeser, E.; Henderson, J.V. Urban economics for the developing World: An introduction. J. Urban Econ. 2017, 98, 1–5. [Google Scholar] [CrossRef]
- Gaubatz, P.; Hanink, D. Learning from Taiyuan: Chinese cities as urban sustainability laboratories. Geogr. Sustain. 2020, 1, 118–126. [Google Scholar] [CrossRef]
- Ning, Y.; Liu, S.; Smith, A.R. Dynamic multi-dimensional scaling of 30+ year evolution of Chinese urban systems: Patterns and performance. Sci. Total Environ. 2023, 863, 160705. [Google Scholar] [CrossRef]
- Christaller, W. Central Places in Southern Germany; Prentice Hall: Saddle River, NJ, USA, 1966. [Google Scholar]
- Fan, Y.; Guo, R.; He, Z.; Li, M.; He, B.; Yang, H.; Wen, N. Spatio-temporal pattern of the urban system network in the Huaihe River Basin based on entropy theory. Entropy 2018, 21, 20. [Google Scholar] [CrossRef] [PubMed]
- Chen, Y. Normalizing and classifying shape indexes of cities by ideas from fractals. Chaos Solitons Fractals 2022, 154, 111653. [Google Scholar] [CrossRef]
- Isinkaralar, O.; Varol, C. A cellular automata-based approach for spatio-temporal modeling of the city center as a complex system: The case of Kastamonu, Türkiye. Cities 2023, 132, 104073. [Google Scholar] [CrossRef]
- Tsagkis, P.; Bakogiannis, E.; Nikitas, A. Analysing urban growth using machine learning and open data: An artificial neural network modelled case study of five Greek cities. Sustain. Cities Soc. 2023, 89, 104337. [Google Scholar] [CrossRef]
- Yu, G.; Li, M.; Xu, L.; Tu, Z.; Yu, Q.; Yang, D.; Xie, X.; Yang, Y. A theoretical framework of urban systems and their evolution: The GUSE theory and its simulation test. Sustain. Cities Soc. 2018, 41, 792–801. [Google Scholar] [CrossRef]
- Fang, C.; Wang, Z.; Ma, H. The theoretical cognition of the development law of China’s urban agglomeration and academic contribution. Acta Geogr. Sin. 2018, 73, 651–665. (In Chinese) [Google Scholar]
- Teixidó-Figueras, J.; Duro, J.A. The building blocks of international ecological footprint inequality: A regression-based decomposition. Ecol. Econ. 2015, 118, 30–39. [Google Scholar] [CrossRef]
- Kim, Y.; Kong, I.; Park, H.; Kim, H.J.; Kim, I.J.; Um, M.J.; Green, P.A.; Vörösmarty, C.J. Assessment of regional threats to human water security adopting the global framework: A case study in South Korea. Sci. Total Environ. 2018, 637, 1413–1422. [Google Scholar] [CrossRef]
- Li, J.; Liu, Z.; He, C.; Yue, H.; Gou, S. Water shortages raised a legitimate concern over the sustainable development of the drylands of northern China: Evidence from the water stress index. Sci. Total Environ. 2017, 590–591, 739–750. [Google Scholar] [CrossRef]
- Simha, P.; Mutiara, Z.Z.; Gaganis, P. Vulnerability assessment of water resources and adaptive management approach for Lesvos Island, Greece. Sustain. Water Resour. Manag. 2017, 3, 283–295. [Google Scholar] [CrossRef]
- Yu, G.; Chen, X.; Tu, Z.; Yu, Q. Modeling water accessibility of natural river networks using the fine-grained physical watershed characteristics at the grid scale. Water Resour. Manag. 2017, 31, 2271–2284. [Google Scholar] [CrossRef]
- Shen, J.; Zhao, Y.; Song, J. Analysis of the regional differences in agricultural water poverty in China: Based on a new agricultural water poverty index. Agric. Water Manag. 2022, 270, 107745. [Google Scholar] [CrossRef]
- Ji, J.; Qu, X.; Zhang, Q.; Tao, J. Predictive analysis of water resource carrying capacity based on system dynamics and improved fuzzy comprehensive evaluation method in Henan Province. Environ. Monit. Assess. 2022, 194, 500. [Google Scholar] [CrossRef] [PubMed]
- Li, X.; Ma, W.; Wang, X.; Zhang, L. A Hybrid DPSR and Entropy-Weight-Based Uncertain Comprehensive Evaluation Method for Human-Water Harmony Assessment. Water Resour. Manag. 2022, 36, 1727–1743. [Google Scholar] [CrossRef]
- Pedro-Monzonís, M.; Solera, A.; Ferrer, J.; Estrela, T.; Paredes-Arquiola, J. A review of water scarcity and drought indexes in water resources planning and management. J. Hydrol. 2015, 527, 482–493. [Google Scholar] [CrossRef]
- Chen, Y.; Wang, J.; Jian, F. Understanding the Fractal Dimensions of Urban Forms through Spatial Entropy. Entropy 2017, 19, 600. [Google Scholar] [CrossRef]
- Mandelbrot, B.B. How long is the coast of Britain? Statistical self- similarity and fractional dimension. Science 1967, 156, 636–638. [Google Scholar] [CrossRef] [PubMed]
- Krupiński, M.; Wawrzaszek, A.; Drzewiecki, W.; Jenerowicz, M.; Aleksandrowicz, S. What can multifractal analysis tell us about hyperspectral imagery? Remote Sens. 2020, 12, 4077. [Google Scholar] [CrossRef]
- Qin, Z.; Wang, J.; Lu, Y. Multifractal characteristics analysis based on slope distribution probability in the Yellow River Basin, China. ISPRS Int. J. Geo-Inf. 2021, 10, 337. [Google Scholar] [CrossRef]
- Donadio, C.; Magdaleno, F.; Mazzarella, A. Fractal dimension of the hydrographic pattern of three large rivers in the Mediterranean Morphoclimatic System: Geomorphologic Interpretation of Russian (USA), Ebro (Spain) and Volturno (Italy) Fluvial Geometry. Pure Appl. Geophys. 2015, 172, 1975–1984. [Google Scholar] [CrossRef]
- He, G.; Cai, Y. Comparative study on fractal dimensions of river basins in China at different map scales. Sci. Geogr. Sin. 2006, 26, 461–465. [Google Scholar]
- Benguigui, L.; Czamanski, D.; Marinov, M.; Portugali, Y. When and where is a city fractal? Environ. Plan. B Plan. Des. 2000, 27, 507–519. [Google Scholar] [CrossRef]
- Frankhauser, P.; Tannier, C.; Vuidel, G.; Houot, H. An integrated multifractal modelling to urban and regional planning. Comput. Environ. Urban Syst. 2018, 67, 132–146. [Google Scholar] [CrossRef]
- Chen, Y. Multifractals of central place systems: Models, dimension spectrums, and empirical analysis. Phys. A Stat. Mech. Its Appl. 2014, 402, 266–282. [Google Scholar] [CrossRef]
- Eliasson, J. The rising pressure of global water shortages. Nature 2015, 517, 6. [Google Scholar] [CrossRef]
- Qiu, J. China faces up to groundwater crisis. Nature 2010, 466, 308. [Google Scholar] [CrossRef]
- Xia, J.; Cheng, X.; Zuo, Q.; Jiang, Y.; Wan, Y. Comprehensive Carrying Capacity of Water Environment in the Huai River Basin and Regulatory Countermeasures; Science Publishing Company: Beijing, China, 2009. (In Chinese) [Google Scholar]
- Chen, Y. Analogies between urban hierarchies and river networks: Fractals, symmetry, and self-organized criticality. Chaos Solitons Fractals 2009, 40, 1766–1778. [Google Scholar] [CrossRef]
- Chen, Y. Monofractal, multifractals, and self-affine fractals in urban studies. Prog. Geogr. 2019, 38, 38–49. (In Chinese) [Google Scholar]
- Halsey, T.C.; Jensen, M.H.; Kadanoff, L.P.; Proccacia, I.; Shraiman, B.I. Fractal measures and their singularities: The characterization of strangesets. Phys. Rev. A 1986, 33, 1141–1151. [Google Scholar] [CrossRef] [PubMed]
- Zhang, F.; Chen, Y.; Liu, P. Spatiotemporal relationships between urban system and water system in the Beijing-Tianjin-Hebei region. Prog. Geogr. 2020, 39, 377–388. (In Chinese) [Google Scholar] [CrossRef]
- Stanley, H.E.; Meakin, P. Multifractal phenomena in physics and chemistry. Nature 1988, 335, 405–409. [Google Scholar] [CrossRef]
- Viscek, T. Fractal Growth Phenomena; World Scientific Publishing: Singapore, 1989. [Google Scholar]
- Feder, J. Fractals; Plenum Press: New York, NY, USA, 1988. [Google Scholar]
- Huang, L.; Chen, Y. A comparison between two ols-based approaches to estimating urban multifractal parameters. Fractals 2018, 26, 1850019. [Google Scholar] [CrossRef]
- Chen, Y. Defining urban and rural regions by multifractal spectrums of urbanization. Fractals 2016, 24, 1650004. [Google Scholar] [CrossRef]
- Liu, J.; Chen, Y. Multifractal Measures Based on Man-Land Relationships of the Spatial Structure of the Urban System in Henan. Sci. Geogr. Sinca 2003, 23, 713–720. (In Chinese) [Google Scholar]
- Gong, S.; Lin, Y.; Ge, D. A research on the spatial-temporal process of relationship between cities and rivers of the Three Gorges Area. Acta Geogr. Sin. 2013, 68, 1619–1631. (In Chinese) [Google Scholar]
- Song, S.; Zeng, L.; Wang, Y.F.; Li, G.; Deng, X. The response of river network structure to urbanization: A multifractal perspective. J. Clean. Prod. 2019, 221, 377–388. [Google Scholar] [CrossRef]
- Chuai, X.; Yuan, Y.; Zhao, R. High-resolution monitoring of inland water bodies across China in long time series and water resource changes. Environ. Dev. Sustain. 2021, 23, 3673–3695. [Google Scholar] [CrossRef]










| Period | Grid Dimensions | |||
|---|---|---|---|---|
| Whole Zone (D) | First-Order Scale Zone (D1) | Second-Order Scale Zone (D2) | Difference (D1–D2) | |
| 1980s | 1.5829 | 1.741 | 1.2232 | 0.5178 |
| (0.9946) | (0.9996) | (0.9994) | ||
| 1990s | 1.5192 | 1.6622 | 1.1753 | 0.4869 |
| (0.995) | (0.9997) | (0.9994) | ||
| 2000s | 1.5266 | 1.6988 | 1.1696 | 0.5292 |
| (0.9933) | (0.9991) | (0.9998) | ||
| 2010s | 1.5566 | 1.7396 | 1.1426 | 0.597 |
| (0.9925) | (0.9994) | (0.9996) | ||
| Period | q-Dq Spectrum | a-f(a) Spectrum | ||||||
|---|---|---|---|---|---|---|---|---|
| D0 | D1 | D2 | D1/D0 | a(0) | f(a(0)) | Δa | Δf | |
| 1980s | 1.6364 | 1.4070 | 1.3368 | 0.8598 | 1.9564 | 1.6364 | 1.2164 | −0.2104 |
| 1990s | 1.5950 | 1.3719 | 1.3150 | 0.8601 | 1.9333 | 1.5950 | 1.2169 | −0.1461 |
| 2000s | 1.6022 | 1.3890 | 1.3356 | 0.8669 | 1.9390 | 1.6022 | 1.2171 | −0.1308 |
| 2010s | 1.6246 | 1.4033 | 1.3428 | 0.8637 | 1.9588 | 1.6246 | 1.2172 | −0.1958 |
| Average value | 1.6146 | 1.3928 | 1.3325 | 0.8626 | 1.9469 | 1.6146 | 1.2169 | −0.1708 |
| Year | Grid Dimension | Difference | |||||
|---|---|---|---|---|---|---|---|
| Whole Zone (D) | First-Order Scale Zone (D1) | Second-Order Scale Zone (D2) | Third-Order Scale Zone (D3) | D3–D2 | D1–D2 | Average Value | |
| 1980 | 1.0059 | 1.4155 | 0.6639 | 1.4553 | 0.7914 | 0.7516 | 0.7715 |
| (0.9817) | (0.9998) | (0.9922) | (0.9983) | ||||
| 1990 | 1.0337 | 1.4194 | 0.7138 | 1.4739 | 0.7601 | 0.7056 | 0.7329 |
| (0.9837) | (0.9999) | (0.9943) | (0.9983) | ||||
| 2000 | 1.0905 | 1.4306 | 0.7812 | 1.5178 | 0.7366 | 0.6494 | 0.6930 |
| (0.9866) | (0.9999) | (0.9949) | (0.9986) | ||||
| 2010 | 1.2391 | 1.486 | 0.9904 | 1.6281 | 0.6377 | 0.4956 | 0.5667 |
| (0.9915) | (0.9998) | (0.9964) | (0.9993) | ||||
| 2018 | 1.2792 | 1.5 | 1.0429 | 1.6591 | 0.6162 | 0.4571 | 0.5367 |
| (0.9926) | (0.9996) | (0.9971) | (0.9995) | ||||
| Year | q-Dq Spectrum | a-f(a) Spectrum | ||||||
|---|---|---|---|---|---|---|---|---|
| D0 | D1 | D2 | D1/D0 | a(0) | f(a(0)) | Δa | Δf | |
| 1980 | 1.1962 | 1.1292 | 1.1033 | 0.9440 | 1.3178 | 1.1962 | 1.1842 | 0.2802 |
| 1990 | 1.2120 | 1.1472 | 1.1225 | 0.9465 | 1.3291 | 1.2120 | 1.1842 | 0.3867 |
| 2000 | 1.2475 | 1.1865 | 1.1641 | 0.9511 | 1.3590 | 1.2475 | 1.1847 | 0.4729 |
| 2010 | 1.3424 | 1.2927 | 1.2753 | 0.9629 | 1.4394 | 1.3424 | 1.1847 | 0.5471 |
| 2018 | 1.3676 | 1.3219 | 1.3066 | 0.9666 | 1.4587 | 1.3676 | 1.1848 | 0.5657 |
| Average value | 1.2731 | 1.2155 | 1.1944 | 0.9542 | 1.3808 | 1.2731 | 1.1845 | 0.4505 |
Disclaimer/Publisher’s Note: The statements, opinions and data contained in all publications are solely those of the individual author(s) and contributor(s) and not of MDPI and/or the editor(s). MDPI and/or the editor(s) disclaim responsibility for any injury to people or property resulting from any ideas, methods, instructions or products referred to in the content. |
© 2025 by the authors. Licensee MDPI, Basel, Switzerland. This article is an open access article distributed under the terms and conditions of the Creative Commons Attribution (CC BY) license (https://creativecommons.org/licenses/by/4.0/).
Share and Cite
Yu, H.; Yu, B.; Zhang, X.; Fan, Y.; Wen, S.; Jiao, S. Spatiotemporal Evolution of the Water System’s Structure and Its Relationship with Urban System Based on Fractal Dimension: A Case Study of the Huaihe River Basin, China. Entropy 2025, 27, 92. https://doi.org/10.3390/e27010092
Yu H, Yu B, Zhang X, Fan Y, Wen S, Jiao S. Spatiotemporal Evolution of the Water System’s Structure and Its Relationship with Urban System Based on Fractal Dimension: A Case Study of the Huaihe River Basin, China. Entropy. 2025; 27(1):92. https://doi.org/10.3390/e27010092
Chicago/Turabian StyleYu, Hailong, Bin Yu, Xiangmin Zhang, Yong Fan, Sai Wen, and Shanshan Jiao. 2025. "Spatiotemporal Evolution of the Water System’s Structure and Its Relationship with Urban System Based on Fractal Dimension: A Case Study of the Huaihe River Basin, China" Entropy 27, no. 1: 92. https://doi.org/10.3390/e27010092
APA StyleYu, H., Yu, B., Zhang, X., Fan, Y., Wen, S., & Jiao, S. (2025). Spatiotemporal Evolution of the Water System’s Structure and Its Relationship with Urban System Based on Fractal Dimension: A Case Study of the Huaihe River Basin, China. Entropy, 27(1), 92. https://doi.org/10.3390/e27010092

