Saliency Detection Based on Multiple-Level Feature Learning
Abstract
1. Introduction
2. Related Works
2.1. Manifold Space Ranking Method
2.1.1. Superpixel Segmentation
2.1.2. Saliency Measure
2.2. Dnn-Based Method
3. The Proposed Algorithm
3.1. Feature Learning Based on Pixel-Wise
3.2. Feature Learning Based on Superpixels
3.2.1. Low-Level Appearance Features
3.2.2. High-Level Semantic Features
3.2.3. Manifold-Space Ranking Based on Superpixels
3.3. Feature Learning for Final Saliency Maps
4. Experiments
4.1. Datasets
4.2. Evaluation Metrics
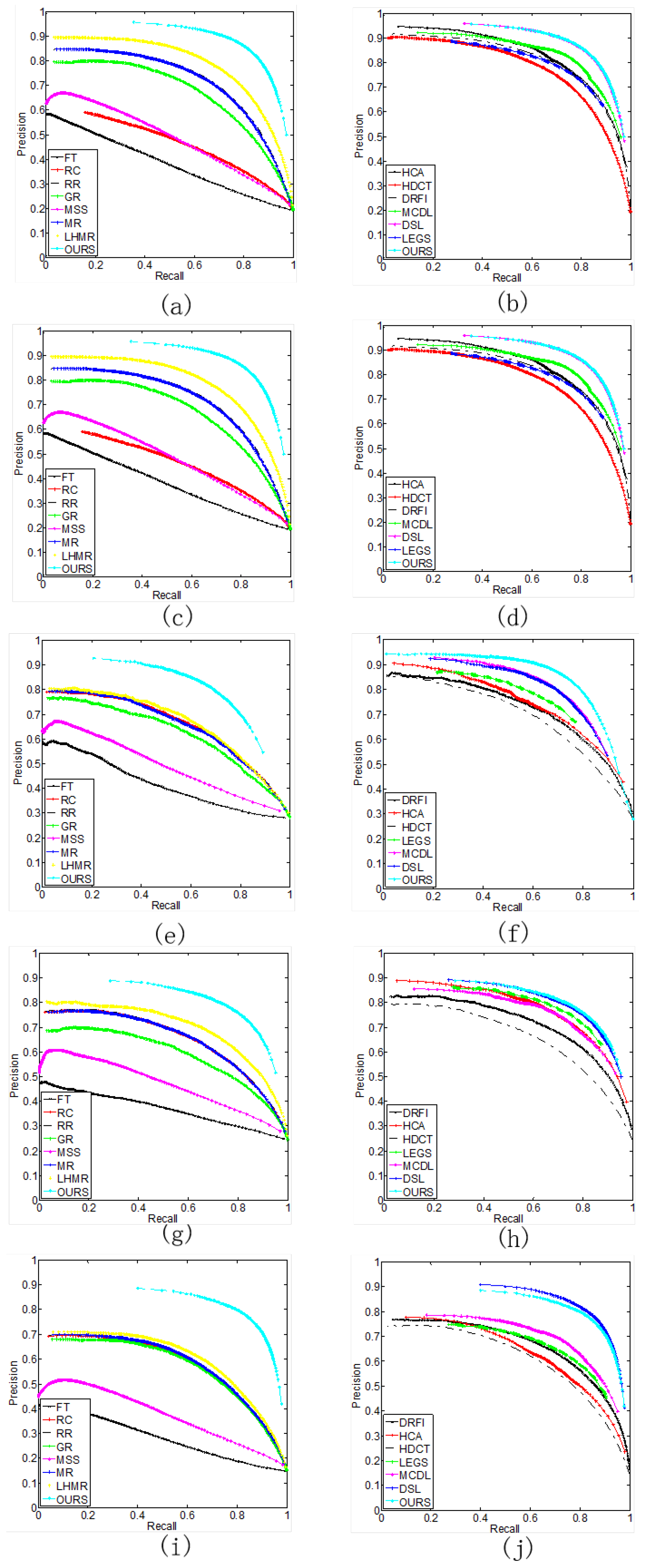
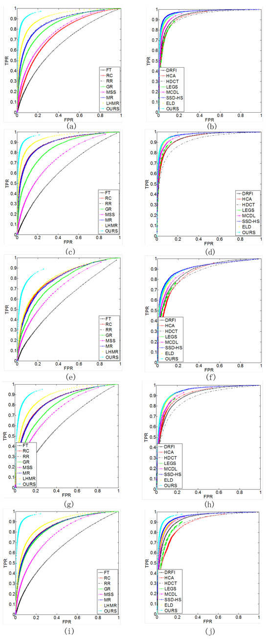
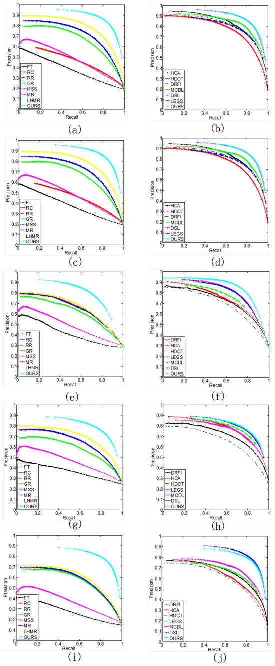
4.3. Comparision with State-of-the-Art Methods
4.4. Runtime Comparision
5. Limitation
6. Conclusions
Author Contributions
Funding
Informed Consent Statement
Data Availability Statement
Conflicts of Interest
References
- Zhou, X.; Li, Y.; He, B.; Bai, T. GM-PHD-based multi-target visual tracking using entropy distribution and game theory. IEEE Trans. Ind. Inform. 2014, 10, 1064–1076. [Google Scholar] [CrossRef]
- Chen, Z.; Gao, H.; Zhang, Z.; Zhou, H.; Wang, X.; Tian, Y. Underwater salient object detection by combining 2D and 3D visual features. Neurocomputing 2019, 391, 249–259. [Google Scholar] [CrossRef]
- Lu, H.; Li, Y.; Mu, S.; Wang, D.; Serikawa, S. Motor anomaly detection for unmanned aerial vehicles using reinforcement learning. IEEE Int. Things J. 2018, 5, 2315–2322. [Google Scholar] [CrossRef]
- Chen, Z.; Qiu, N.; Song, H.; Xu, L.; Xiong, Y. Optically guided level set for underwater object segmentation. Opt. Express 2019, 27, 8819–8837. [Google Scholar] [CrossRef] [PubMed]
- Chen, Z.; Wang, R.; Zhang, Z.; Wang, H.; Xu, L. Background–foreground interaction for moving object detection in dynamic scenes. Inf. Sci. 2019, 483, 65–81. [Google Scholar] [CrossRef]
- Yeh, H.; Chen, C. From Rareness to Compactness: Contrast-Aware Image Saliency Detection. In Proceedings of the 19th IEEE International Conference on Image Processing, Orlando, FL, USA, 25–30 September 2012; pp. 1077–1080. [Google Scholar]
- Zhu, W.; Liang, S.; Wei, Y.; Sun, J. Saliency optimization from robust background detection. In Proceedings of the 2014 IEEE Conference on Computer Vision and Pattern Recognition, Columbus, OH, USA, 23–28 June 2014; pp. 2814–2821. [Google Scholar]
- Zhang, L.; Gu, Z.; Li, H. SDSP: A novel saliency detection method by combining simple priors. In Proceedings of the 20th IEEE International Conference on Image Processing, Melbourne, VIC, Australia, 15–18 September 2013; pp. 171–175. [Google Scholar]
- Itti, L.; Koch, C.; Niebur, E. A model of saliency-based visual attention for rapid scene analysis. IEEE Trans. Pattern Anal. Mach. Intell. 1998, 20, 1254–1259. [Google Scholar] [CrossRef]
- Achanta, R.; Hemami, S.; Estrada, F.; Susstrunk, S. Frequency-tuned salient region detection. In Proceedings of the IEEE Conference on Computer Vision and Pattern Recognition, Miami, FL, USA, 20–25 June 2009; pp. 1597–1604. [Google Scholar]
- Jiang, B.; Zhang, L.; Lu, H.; Yang, C.; Yang, M.H. Saliency detection via absorbing Markov chain. In Proceedings of the 2013 IEEE International Conference on Computer Vision, Sydney, NSW, Australia, 1–8 December 2013; pp. 1665–1672. [Google Scholar]
- Yang, C.; Zhang, L.; Lu, H.; Ruan, X.; Yang, M. Saliency Detection via Graph-Based Manifold Ranking. In Proceedings of the Computer Vision and Pattern Recognition, Portland, OR, USA, 25–27 June 2013; pp. 3166–3173. [Google Scholar]
- Li, X.; Lu, H.; Zhang, L.; Ruan, X.; Yang, M.H. Saliency detection via dense and sparse reconstruction. In Proceedings of the 2013 IEEE International Conference on Computer Vision, Sydney, NSW, Australia, 1–8 December 2013; pp. 2976–2983. [Google Scholar]
- Yuan, Y.; Li, C.; Cai, W. Dense and Sparse Labeling with Multidimensional Features for Saliency Detection. IEEE Trans. Circuits Syst. Video Technol. 2018, 28, 1130–1143. [Google Scholar] [CrossRef]
- He, S.; Lau, R.; Liu, W.; Huang, Z.; Yang, Q. Supercnn: A superpixelwise convolutional neural network for salient object detection. Int. J. Comput. Vis. 2015, 115, 330–344. [Google Scholar] [CrossRef]
- Wang, T.; Borji, A.; Zhang, L.; Zhang, P.; Lu, H. A Stagewise Refinement Model for Detecting Salient Objects in Images. In Proceedings of the IEEE International Conference on Computer Vision, Venice, Italy, 24–27 October 2017; pp. 4019–4028. [Google Scholar]
- Achanta, R.; Shaji, A.; Smith, K.; Lucchi, A.; Süsstrunk, S. Slic Superpixels; EPFL Technical Report 149300; EPFL: Vaud, Switzerland, 2010. [Google Scholar]
- Li, G.; Yu, Y. Visual saliency based on multiscale deep features. In Proceedings of the IEEE Conference on Computer Vision and Pattern Recognition, Boston, MA, USA, 7–12 June 2015; pp. 5455–5463. [Google Scholar]
- Wang, L.; Lu, H.; Zhang, P.; Ruan, X. Saliency detection with recurrent fully convolutional networks. In Proceedings of the European Conference on Computer Vision, Amsterdam, The Netherlands, 8–16 October 2016; pp. 825–841. [Google Scholar]
- Zhao, R.; Ouyang, W.; Li, H.; Wang, X. Saliency detection by multi-context deep learning. In Proceedings of the IEEE Conference on Computer Vision and Pattern Recognition, Boston, MA, USA, 7–12 June 2015; pp. 1265–1274. [Google Scholar]
- Hou, Q.; Cheng, M.M.; Hu, X.; Borji, A.; Tu, Z.; Torr, P.H. Deeply supervised salient object detection with short connections. In Proceedings of the IEEE Conference on Computer Vision and Pattern Recognition, Honolulu, HI, USA, 22–25 July 2017; pp. 3203–3212. [Google Scholar]
- Qin, Y.; Feng, M.; Lu, H.; Cottrell, G. Hierarchical cellular automata for visual saliency. In Proceedings of the IEEE Conference on Computer Vision and Pattern Recognition, Honolulu, HI, USA, 22–25 July 2017; pp. 752–770. [Google Scholar]
- Long, J.; Shelhamer, E.; Darrell, T. Fully Convolutional Networks for Semantic Segmentation. IEEE Trans. Pattern Anal. Mach. Intell. 2015, 39, 640–651. [Google Scholar]
- Feichtinger, H.; Strohmer, T. Gabor Analysis and Algorithms; Theory and Applications; Birkhiuser: Boston, MA, USA, 1998. [Google Scholar]
- Simonyan, K.; Zisserman, A. Very deep convolutional networks for large-scale image recognition. In Proceedings of the Computer Vision and Pattern Recognition, Boston, MA, USA, 7–12 June 2015; pp. 1–14. [Google Scholar]
- Zeng, Y.; Feng, M.; Lu, H.; Yang, G.; Borji, A. An unsupervised game theoretic approach to saliency detection. IEEE Trans. Image Process. 2018, 27, 4545–4554. [Google Scholar] [CrossRef] [PubMed]
- Liu, J.J.; Hou, Q.; Cheng, M.M.; Feng, J.; Jiang, J. A simple pooling based design for real-time salient object detection. In Proceedings of the IEEE Conference on Computer Vision and Pattern Recognition, Long Beach, CA, USA, 18 June 2019; pp. 3917–3926. [Google Scholar]
- Zhang, L.; Ai, J.; Jiang, B.; Lu, H.; Li, X. Saliency detection via absorbing Markov chain with learnt transition probability. IEEE Trans. Image Process. 2018, 27, 987–998. [Google Scholar] [CrossRef]
- Wei, Y.; Wen, F.; Zhu, W.; Sun, J. Geodesic saliency using back-ground priors. In Proceedings of the European Conference on Computer Vision, Florence, Italy, 7–13 October 2012; pp. 29–42. [Google Scholar]
- Borji, A.; Cheng, M.; Jiang, H.; Li, J. Salient object detection: A benchmark. IEEE Trans Image Process. 2015, 24, 5706–5722. [Google Scholar] [CrossRef] [PubMed]
- Li, Y.; Hou, X.; Koch, C.; Rehg, J.; Yuille, A. The secrets of salient object segmentation. In Proceedings of the Computer Vision and Pattern Recognition, Columbus, OH, USA, 23–28 June 2014; pp. 4321–4328. [Google Scholar]
- Xu, L.; Zeng, L.; Duan, H. An effective vector model for global-contrast-based saliency detection. J. Vis. Commun. Image Represent. 2015, 30, 64–74. [Google Scholar] [CrossRef]
- Cheng, M.; Mitra, X.J.; Huang, X.; Torr, P.; Hu, S. Global Contrast based Salient Region Detection. IEEE Trans Actions Pattern Anal. Mach. Intell. 2015, 37, 569–582. [Google Scholar] [CrossRef]
- Li, C.; Yuan, Y.; Cai, W.; Xia, Y.; Feng, D. Robust saliency detection via regularized random walks ranking. In Proceedings of the Computer Vision and Pattern Recognition, Boston, MA, USA, 7–12 June 2015; pp. 2710–2717. [Google Scholar]
- Yang, C.; Zhang, L.; Lu, H. Graph-regularized saliency detection with convex-hull-based center prior. IEEE Signal Process. Lett. 2013, 20, 637–640. [Google Scholar] [CrossRef]
- Achanta, R.; Süsstrunk, S. Saliency detection using maximum symmetric surround. In Proceedings of the IEEE International Conference on Image Processing, Hongkong, China, 12–15 September 2010; pp. 2653–2656. [Google Scholar]
- Li, X.; Liu, Y.; Zhao, H. Image saliency detection based on low-level and high-level features via manifold-space ranking. Electronics 2023, 12, 449. [Google Scholar] [CrossRef]
- Jiang, H.; Wang, J.; Yuan, Z.; Wu, Y.; Zheng, N.; Li, S. Salient object detection: A discriminative regional feature integration approach. In Proceedings of the Computer Vision and Pattern Recognition, Portland, OR, USA, 25–27 June 2013; pp. 2083–2090. [Google Scholar]
- Kim, J.; Han, D.; Tai, Y.; Kim, J. Salient region detection via high-dimensional color transform. In Proceedings of the Computer Vision and Pattern Recognition, Columbus, OH, USA, 23–28 June 2014; pp. 883–890. [Google Scholar]
- Wang, L.; Lu, H.; Ruan, X.; Yang, M. Deep networks for saliency detection via local estimation and global search. In Proceedings of the Computer Vision and Pattern Recognition, Boston, MA, USA, 7–12 June 2015; pp. 3183–3192. [Google Scholar]
- Li, W.; Anguelov, D.; Erhan, D.; Szegedy, C.; Reed, S.; Fu, C.-Y.; Berg, A.C. SSD-HS: High-Speed Saliency Detection with Single Shot MultiBox Detector and Random Forest. In Proceedings of the IEEE International Conference on Image Processing, Taipei, China, 22–25 September 2019. [Google Scholar]
- Lee, G.; Tai, Y.; Kim, J. ELD-Net: An Efficient Deep Learning Architecture for Accurate Saliency Detection. IEEE Trans. Pattern Anal. Mach. Intell. 2018, 40, 1599–1610. [Google Scholar] [CrossRef] [PubMed]












| Dataset | Metric | FT | GR | RR | RC | MSS | MR | LHMR | DRFI | HCA | HDCT | LEGS | MCDL | SSD-HS | ELD | OURS |
|---|---|---|---|---|---|---|---|---|---|---|---|---|---|---|---|---|
| HKU-IS | P | 0.4277 | 0.7247 | 0.7129 | 0.4867 | 0.5091 | 0.7134 | 0.7334 | 0.7413 | 0.7910 | 0.7354 | 0.7537 | 0.7702 | 0.7583 | 0.7612 | 0.7994 |
| R | 0.3385 | 0.4490 | 0.6551 | 0.4121 | 0.4467 | 0.6470 | 0.7217 | 0.7420 | 0.6999 | 0.6935 | 0.7217 | 0.7917 | 0.8210 | 0.8633 | 0.8522 | |
| F | 0.4032 | 0.6348 | 0.6987 | 0.4672 | 0.4932 | 0.6969 | 0.7306 | 0.7414 | 0.7680 | 0.7253 | 0.7463 | 0.7751 | 0.7719 | 0.7826 | 0.8110 | |
| MAE | 0.2525 | 0.2568 | 0.1723 | 0.2923 | 0.2027 | 0.1744 | 0.1644 | 0.1475 | 0.1134 | 0.1645 | 0.1193 | 0.0919 | 0.1771 | 0.0747 | 0.0728 | |
| ECSSD | P | 0.4204 | 0.7177 | 0.7689 | 0.7693 | 0.5157 | 0.7675 | 0.7829 | 0.7896 | 0.8380 | 0.7640 | 0.8290 | 0.8234 | 0.7635 | 0.8104 | 0.8525 |
| R | 0.2927 | 0.3932 | 0.6545 | 0.6528 | 0.3866 | 0.6447 | 0.6770 | 0.6942 | 0.7120 | 0.6325 | 0.7355 | 0.7778 | 0.7030 | 0.8549 | 0.8387 | |
| F | 0.3820 | 0.6029 | 0.7391 | 0.7389 | 0.4788 | 0.7352 | 0.7556 | 0.7653 | 0.8051 | 0.7290 | 0.8054 | 0.7653 | 0.7487 | 0.8202 | 0.8493 | |
| MAE | 0.2910 | 0.2840 | 0.1854 | 0.1838 | 0.2447 | 0.1875 | 0.1716 | 0.1702 | 0.1192 | 0.1975 | 0.1180 | 0.1007 | 0.1923 | 0.0796 | 0.0792 | |
| SOD | P | 0.4598 | 0.6780 | 0.6944 | 0.6934 | 0.5376 | 0.6911 | 0.7023 | 0.7312 | 0.7226 | 0.7176 | 0.7673 | 0.7617 | 0.7212 | 0.7762 | 0.7868 |
| R | 0.2642 | 0.3018 | 0.4860 | 0.4875 | 0.3386 | 0.4792 | 0.4925 | 0.5391 | 0.5388 | 0.5204 | 0.5783 | 0.5772 | 0.5816 | 0.6566 | 0.6711 | |
| F | 0.3927 | 0.5266 | 0.6319 | 0.6318 | 0.4734 | 0.6271 | 0.6395 | 0.6762 | 0.6699 | 0.6599 | 0.7119 | 0.7094 | 0.6834 | 0.7449 | 0.7567 | |
| MAE | 0.3175 | 0.3172 | 0.2617 | 0.2585 | 0.2807 | 0.2633 | 0.2642 | 0.2276 | 0.2028 | 0.2449 | 0.1973 | 0.1818 | 0.2223 | 0.1581 | 0.1578 | |
| PASCAL-S | P | 0.3988 | 0.6310 | 0.6698 | 0.6682 | 0.5014 | 0.6708 | 0.6920 | 0.6842 | 0.7514 | 0.6658 | 0.7560 | 0.7275 | 0.6764 | 0.7279 | 0.7518 |
| R | 0.2789 | 0.3428 | 0.5500 | 0.5512 | 0.3875 | 0.5422 | 0.6212 | 0.6055 | 0.6659 | 0.5592 | 0.6837 | 0.7007 | 0.6239 | 0.7827 | 0.7795 | |
| F | 0.3628 | 0.5284 | 0.6377 | 0.6370 | 0.4695 | 0.6360 | 0.6743 | 0.6643 | 0.7298 | 0.6378 | 0.7380 | 0.7212 | 0.6635 | 0.7398 | 0.7580 | |
| MAE | 0.3130 | 0.2994 | 0.2263 | 0.2254 | 0.2501 | 0.2285 | 0.2202 | 0.2071 | 0.1560 | 0.2255 | 0.1486 | 0.1428 | 0.2191 | 0.1211 | 0.1235 | |
| DUT-OMRON | P | 0.3131 | 0.5709 | 0.5486 | 0.5453 | 0.3778 | 0.5512 | 0.5515 | 0.5602 | 0.5438 | 0.5406 | 0.5928 | 0.6198 | 0.6045 | 0.5918 | 0.6898 |
| R | 0.3406 | 0.4815 | 0.6317 | 0.6324 | 0.4621 | 0.6242 | 0.6878 | 0.7425 | 0.7000 | 0.6908 | 0.7117 | 0.7827 | 0.7626 | 0.8256 | 0.8865 | |
| F | 0.3191 | 0.5474 | 0.5658 | 0.5632 | 0.3944 | 0.5665 | 0.5779 | 0.5938 | 0.5733 | 0.5692 | 0.6166 | 0.6510 | 0.6349 | 0.6332 | 0.7270 | |
| MAE | 0.2477 | 0.2605 | 0.1851 | 0.1830 | 0.1770 | 0.1868 | 0.1864 | 0.7572 | 0.1565 | 0.1628 | 0.1333 | 0.0890 | 0.1930 | 0.0929 | 0.0659 |
| MR | LHMR | RC | HDCT | DRFI | MCDL | LEGS | ELD | OURS |
|---|---|---|---|---|---|---|---|---|
| 0.265 | 0.028 | 0.657 | 11.856 | 9.113 | 6.356 | 1.75 | 1.50 | 1.625 |
Disclaimer/Publisher’s Note: The statements, opinions and data contained in all publications are solely those of the individual author(s) and contributor(s) and not of MDPI and/or the editor(s). MDPI and/or the editor(s) disclaim responsibility for any injury to people or property resulting from any ideas, methods, instructions or products referred to in the content. |
© 2024 by the authors. Licensee MDPI, Basel, Switzerland. This article is an open access article distributed under the terms and conditions of the Creative Commons Attribution (CC BY) license (https://creativecommons.org/licenses/by/4.0/).
Share and Cite
Li, X.; Liu, Y.; Zhao, H. Saliency Detection Based on Multiple-Level Feature Learning. Entropy 2024, 26, 383. https://doi.org/10.3390/e26050383
Li X, Liu Y, Zhao H. Saliency Detection Based on Multiple-Level Feature Learning. Entropy. 2024; 26(5):383. https://doi.org/10.3390/e26050383
Chicago/Turabian StyleLi, Xiaoli, Yunpeng Liu, and Huaici Zhao. 2024. "Saliency Detection Based on Multiple-Level Feature Learning" Entropy 26, no. 5: 383. https://doi.org/10.3390/e26050383
APA StyleLi, X., Liu, Y., & Zhao, H. (2024). Saliency Detection Based on Multiple-Level Feature Learning. Entropy, 26(5), 383. https://doi.org/10.3390/e26050383

