Hyper-Ballistic Superdiffusion of Competing Microswimmers
Abstract
1. Introduction
2. Model of Competing Swimmers
3. Simulation Model
3.1. The Fokker–Planck Equation
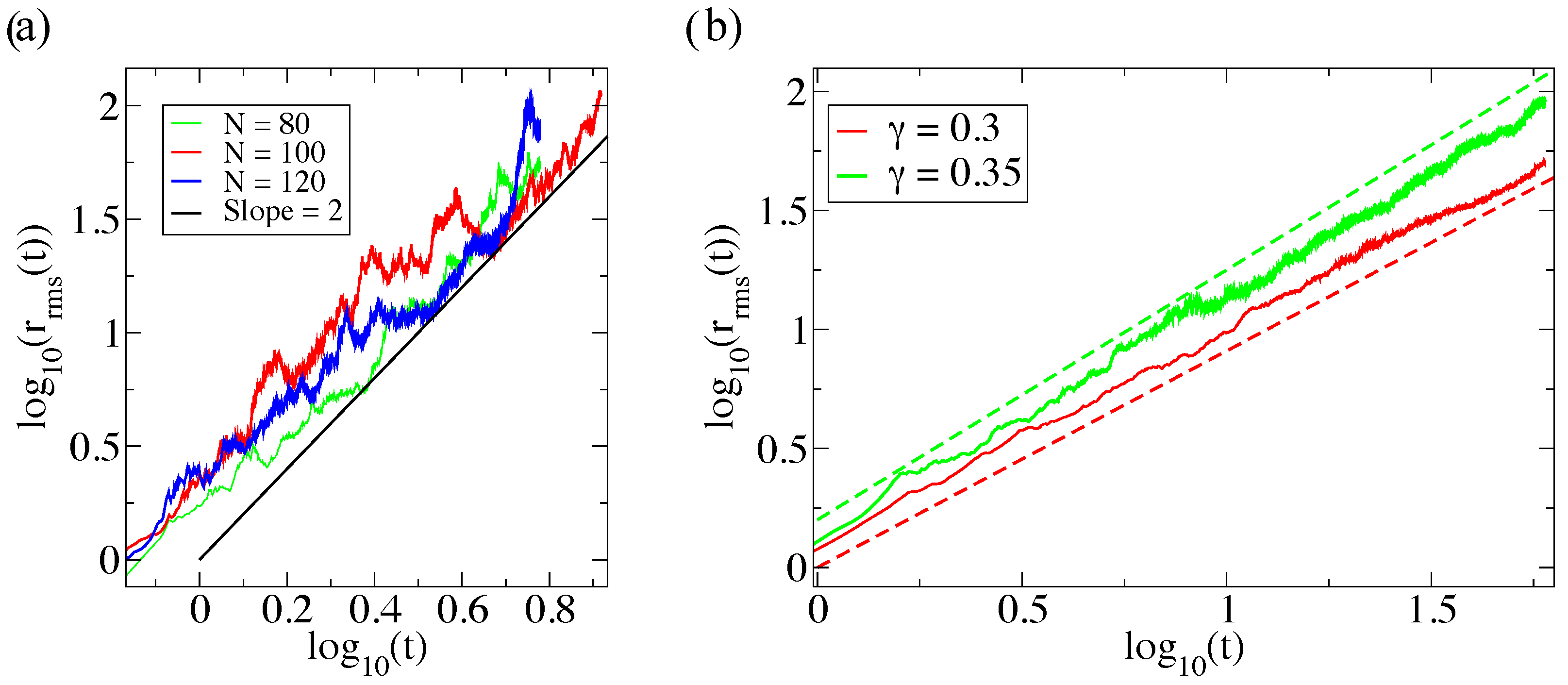
3.2. Mean Square Displacement and Simulation Results
4. Conclusions
Author Contributions
Funding
Data Availability Statement
Conflicts of Interest
References
- Bechinger, C.; Di Leonardo, R.; Löwen, H.; Reichhardt, C.; Volpe, G.; Volpe, G. Active particles in complex and crowded environments. Rev. Mod. Phys. 2016, 88, 045006. [Google Scholar] [CrossRef]
- Brenner, H. Dispersion resulting from flow through spatially periodic porous media. Philos. Trans. R. Soc. Lond. Ser. A Math. Phys. Sci. 1980, 297, 81–133. [Google Scholar]
- Marchetti, M.C.; Joanny, J.F.; Ramaswamy, S.; Liverpool, T.B.; Prost, J.; Rao, M.; Simha, R.A. Hydrodynamics of soft active matter. Rev. Mod. Phys. 2013, 85, 1143. [Google Scholar] [CrossRef]
- Loi, D.; Mossa, S.; Cugliandolo, L.F. Effective temperature of active matter. Phys. Rev. E 2008, 77, 051111. [Google Scholar] [CrossRef] [PubMed]
- Alonso-Matilla, R.; Chakrabarti, B.; Saintillan, D. Transport and dispersion of active particles in periodic porous media. Phys. Rev. Fluids 2019, 4, 043101. [Google Scholar] [CrossRef]
- Pattanayak, S.; Das, R.; Kumar, M.; Mishra, S. Enhanced dynamics of active Brownian particles in periodic obstacle arrays and corrugated channels. Eur. Phys. J. E 2019, 42, 62. [Google Scholar] [CrossRef]
- Khalilian, H.; Fazli, H. Obstruction enhances the diffusivity of self-propelled rod-like particles. J. Chem. Phys. 2016, 145, 164909. [Google Scholar] [CrossRef]
- Bertrand, T.; Zhao, Y.; Bénichou, O.; Tailleur, J.; Voituriez, R. Optimized diffusion of run-and-tumble particles in crowded environments. Phys. Rev. Lett. 2018, 120, 198103. [Google Scholar] [CrossRef]
- Chepizhko, O.; Franosch, T. Random motion of a circle microswimmer in a random environment. New J. Phys. 2020, 22, 073022. [Google Scholar] [CrossRef]
- Makarchuk, S.; Braz, V.C.; Araújo, N.A.; Ciric, L.; Volpe, G. Enhanced propagation of motile bacteria on surfaces due to forward scattering. Nat. Commun. 2019, 10, 4110. [Google Scholar] [CrossRef]
- Van Roon, D.M.; Volpe, G.; da Gama, M.M.T.; Araújo, N.A. The role of disorder in the motion of chiral active particles in the presence of obstacles. Soft Matter 2022, 18, 6899–6906. [Google Scholar] [CrossRef]
- Reichhardt, C.; Reichhardt, C. Directional locking effects for active matter particles coupled to a periodic substrate. Phys. Rev. E 2020, 102, 042616. [Google Scholar] [CrossRef]
- Yu, H.; Kopach, A.; Misko, V.R.; Vasylenko, A.A.; Makarov, D.; Marchesoni, F.; Nori, F.; Baraban, L.; Cuniberti, G. Confined catalytic janus swimmers in a crowded channel: Geometry-driven rectification transients and directional locking. Small 2016, 12, 5882–5890. [Google Scholar] [CrossRef] [PubMed]
- Takagi, D.; Palacci, J.; Braunschweig, A.B.; Shelley, M.J.; Zhang, J. Hydrodynamic capture of microswimmers into sphere-bound orbits. Soft Matter 2014, 10, 1784–1789. [Google Scholar] [CrossRef] [PubMed]
- Spagnolie, S.E.; Moreno-Flores, G.R.; Bartolo, D.; Lauga, E. Geometric capture and escape of a microswimmer colliding with an obstacle. Soft Matter 2015, 11, 3396–3411. [Google Scholar] [CrossRef] [PubMed]
- Junot, G.; Darnige, T.; Lindner, A.; Martinez, V.A.; Arlt, J.; Dawson, A.; Poon, W.C.; Auradou, H.; Clément, E. Run-to-tumble variability controls the surface residence times of E. coli bacteria. Phys. Rev. Lett. 2022, 128, 248101. [Google Scholar] [CrossRef] [PubMed]
- Li, G.; Tang, J.X. Accumulation of microswimmers near a surface mediated by collision and rotational Brownian motion. Phys. Rev. Lett. 2009, 103, 078101. [Google Scholar] [CrossRef] [PubMed]
- Moen, E.Q.Z.; Olsen, K.S.; Rønning, J.; Angheluta, L. Trapping of active Brownian and run-and-tumble particles: A first-passage time approach. Phys. Rev. Res. 2022, 4, 043012. [Google Scholar] [CrossRef]
- Bhattacharjee, T.; Datta, S.S. Bacterial hopping and trapping in porous media. Nat. Commun. 2019, 10, 2075. [Google Scholar] [CrossRef]
- Bouchaud, J.P.; Georges, A. Anomalous diffusion in disordered media: Statistical mechanisms, models and physical applications. Phys. Rep. 1990, 195, 127–293. [Google Scholar] [CrossRef]
- Olsen, K.S.; Angheluta, L.; Flekkøy, E.G. Active Brownian particles moving through disordered landscapes. Soft Matter 2021, 17, 2151–2157. [Google Scholar] [CrossRef] [PubMed]
- Havlin, S.; Ben-Avraham, D. Diffusion in disordered media. Adv. Phys. 1987, 36, 695–798. [Google Scholar] [CrossRef]
- Olsen, K.S.; Campbell, J.M. Diffusion Entropy and the Path Dimension of Frictional Finger Patterns. Front. Phys. 2020, 8, 83. [Google Scholar] [CrossRef]
- Olsen, K.S.; Flekkøy, E.G.; Angheluta, L.; Campbell, J.M.; Måløy, K.J.; Sandnes, B. Geometric universality and anomalous diffusion in frictional fingers. New J. Phys. 2019, 21, 063020. [Google Scholar] [CrossRef]
- Olsen, K.S.; Löwen, H. Dynamics of inertial particles under velocity resetting. arXiv 2024, arXiv:2401.12685. [Google Scholar]
- Sokolov, I.M. Models of anomalous diffusion in crowded environments. Soft Matter 2012, 8, 9043–9052. [Google Scholar] [CrossRef]
- Shlesinger, M.F.; West, B.; Klafter, J. Lévy dynamics of enhanced diffusion: Application to turbulence. Phys. Rev. Lett. 1987, 58, 1100. [Google Scholar] [CrossRef]
- Viswanathan, G.M.; Afanasyev, V.; Buldyrev, S.V.; Murphy, E.J.; Prince, P.A.; Stanley, H.E. Lévy flight search patterns of wandering albatrosses. Nature 1996, 381, 413–415. [Google Scholar] [CrossRef]
- Viswanathan, G.M.; Buldyrev, S.V.; Havlin, S.; Da Luz, M.; Raposo, E.; Stanley, H.E. Optimizing the success of random searches. Nature 1999, 401, 911–914. [Google Scholar] [CrossRef]
- Vilk, O.; Aghion, E.; Nathan, R.; Toledo, S.; Metzler, R.; Assaf, M. Classification of anomalous diffusion in animal movement data using power spectral analysis. J. Phys. A Math. Theor. 2022, 55, 334004. [Google Scholar] [CrossRef]
- Vilk, O.; Aghion, E.; Avgar, T.; Beta, C.; Nagel, O.; Sabri, A.; Sarfati, R.; Schwartz, D.K.; Weiss, M.; Krapf, D.; et al. Unravelling the origins of anomalous diffusion: From molecules to migrating storks. Phys. Rev. Res. 2022, 4, 033055. [Google Scholar] [CrossRef]
- Burkhardt, T.W. First passage of a randomly accelerated particle. In First-Passage Phenomena and Their Applications; World Scientific: Hackensack, NJ, USA, 2014; pp. 21–44. [Google Scholar]
- Burkhardt, T.W. Free energy of a semiflexible polymer in a tube and statistics of a randomly-accelerated particle. J. Phys. A Math. Gen. 1997, 30, L167. [Google Scholar] [CrossRef]
- Jayannavar, A.; Kumar, N. Nondiffusive quantum transport in a dynamically disordered medium. Phys. Rev. Lett. 1982, 48, 553–556. [Google Scholar] [CrossRef]
- Pires, M.A.; Molfetta, G.M.; Queiros, S.M.D. Multiple transitions between normal and hyperballistic diffusion in quantum walks with time-dependent jumps. Nat. Sci. Rep. 2019, 9, 19292. [Google Scholar] [CrossRef]
- Levi, L.; Krivolapov, Y.; Fishman, S.; Segev, M. Hyper-transport of light and stochastic acceleration by evolving disorder. Nat. Phys. 2012, 8, 912–917. [Google Scholar] [CrossRef]
- Anderson, P. Absence of diffusion in certain random lattices. Phys. Rev. 1958, 109, 1492–1505. [Google Scholar] [CrossRef]
- Golubovic, L.; Feng, S.; Zeng, F. Classical and Quantum Superdiffusion in a Time-Dependent Random Potential. Phys. Rev. Lett. 1991, 67, 2115–2118. [Google Scholar] [CrossRef] [PubMed]
- Schutz, G.; Trimper, S. Elephants can always remember: Exact long-range memory effects in a non-Markovian random walk. Phys. Rev. E 2004, 70, 045101. [Google Scholar] [CrossRef] [PubMed]
- Flekkøy, E.G.; Hansen, A.; Baldelli, B. Hyperballistic superdiffusion and explosive solutions to the non-linear diffusion equation. Front. Phys. 2021, 9, 640560. [Google Scholar] [CrossRef]
- Van Haastert, P.J.; Bosgraaf, L. Food searching strategy of amoeboid cells by starvation induced run length extension. PLoS ONE 2009, 4, e6814. [Google Scholar] [CrossRef] [PubMed]
- Li, L.; Nørrelykke, S.F.; Cox, E.C. Persistent cell motion in the absence of external signals: A search strategy for eukaryotic cells. PLoS ONE 2008, 3, e2093. [Google Scholar] [CrossRef] [PubMed]
- Berg, H.C. Chemotaxis in bacteria. Annu. Rev. Biophys. Bioeng. 1975, 4, 119–136. [Google Scholar] [CrossRef] [PubMed]
- Xie, L.; Wu, X. Bacterial Motility Patterns Reveal Importance of Exploitation over Exploration in Marine Microhabitats. Part I: Theory. Biophys. J. 2014, 107, 1712–1720. [Google Scholar] [CrossRef] [PubMed]
- Wei, X.; Bauer, W.D. Starvation-Induced Changes in Motility, Chemotaxis, and Flagellation of Rhizobium meliloti. Appl. Environ. Microbiol. 1998, 64, 1708–1714. [Google Scholar] [CrossRef]
- Babel, S.; Ten Hagen, B.; Löwen, H. Swimming path statistics of an active Brownian particle with time-dependent self-propulsion. J. Stat. Mech. Theory Exp. 2014, 2014, P02011. [Google Scholar] [CrossRef]
- Khadem, S.; Siboni, N.; Klapp, S. Transport and phase separation of active Brownian particles in fluctuating environments. Phys. Rev. E 2021, 104, 064615. [Google Scholar] [CrossRef]
- Caprini, L.; Bettolo Marconi, U.M.; Wittmann, R.; Löwen, H. Active particles driven by competing spatially dependent self-propulsion and external force. Scipost Phys. 2022, 13, 065. [Google Scholar] [CrossRef]
- Caprini, L.; Marconi, U.M.B.; Wittmann, R.; Löwen, H. Dynamics of active particles with space-dependent swim velocity. Soft Matter 2022, 18, 1412–1422. [Google Scholar] [CrossRef]
- Varga, L.; Libál, A.; Reichhardt, C.; Reichhardt, C. Active regimes for particles on resource landscapes. Phys. Rev. Res. 2022, 4, 013061. [Google Scholar] [CrossRef]
- Schweitzer, F.; Ebeling, W.; Tilch, B. Complex motion of Brownian particles with energy depots. Phys. Rev. Lett. 1998, 80, 5044. [Google Scholar] [CrossRef]
- Ebeling, W.; Schweitzer, F.; Tilch, B. Active Brownian particles with energy depots modeling animal mobility. BioSystems 1999, 49, 17–29. [Google Scholar] [CrossRef] [PubMed]
- Schweitzer, F.; Farmer, J.D. Brownian Agents and Active Particles: Collective Dynamics in the Natural and Social Sciences; Springer: Berlin/Heidelberg, Germany, 2003; Volume 1. [Google Scholar]
- van Kampen, N. Stochastic Processes in Physics and Chemistry, 3rd ed.; North Holland: Amsterdam, The Netherlands, 2007. [Google Scholar]
- Risken, H.; Risken, H. Fokker-Planck Equation; Springer: Berlin/Heidelberg, Germany, 1996. [Google Scholar]
- Hansen, A.; Flekkøy, E.; Baldelli, B. Anomalous Diffusion in Systems with Concentration-Dependent Diffusivity: Exact Solutions and Particle Simulations. Front. Phys. 2020, 8, 519624. [Google Scholar] [CrossRef]



Disclaimer/Publisher’s Note: The statements, opinions and data contained in all publications are solely those of the individual author(s) and contributor(s) and not of MDPI and/or the editor(s). MDPI and/or the editor(s) disclaim responsibility for any injury to people or property resulting from any ideas, methods, instructions or products referred to in the content. |
© 2024 by the authors. Licensee MDPI, Basel, Switzerland. This article is an open access article distributed under the terms and conditions of the Creative Commons Attribution (CC BY) license (https://creativecommons.org/licenses/by/4.0/).
Share and Cite
Olsen, K.S.; Hansen, A.; Flekkøy, E.G. Hyper-Ballistic Superdiffusion of Competing Microswimmers. Entropy 2024, 26, 274. https://doi.org/10.3390/e26030274
Olsen KS, Hansen A, Flekkøy EG. Hyper-Ballistic Superdiffusion of Competing Microswimmers. Entropy. 2024; 26(3):274. https://doi.org/10.3390/e26030274
Chicago/Turabian StyleOlsen, Kristian Stølevik, Alex Hansen, and Eirik Grude Flekkøy. 2024. "Hyper-Ballistic Superdiffusion of Competing Microswimmers" Entropy 26, no. 3: 274. https://doi.org/10.3390/e26030274
APA StyleOlsen, K. S., Hansen, A., & Flekkøy, E. G. (2024). Hyper-Ballistic Superdiffusion of Competing Microswimmers. Entropy, 26(3), 274. https://doi.org/10.3390/e26030274

