Sign in to use this feature.

Years

Between: -

Subjects

remove_circle_outline
remove_circle_outline
remove_circle_outline
remove_circle_outline
remove_circle_outline
remove_circle_outline
remove_circle_outline

Journals

Article Types

Countries / Regions

Search Results (48)

Search Parameters:
Keywords = microswimmers

Order results
Result details
Results per page
Select all
Export citation of selected articles as:
14 pages, 4122 KB  
Article
Floatable Syntactic Magnesium Foam as a Marangoni-Induced Propulsion Microboat
by Gyorgy Thalmaier, Niculina Argentina Sechel and Ioan Vida-Simiti
Materials 2025, 18(24), 5588; https://doi.org/10.3390/ma18245588 - 12 Dec 2025
Cited by 1 | Viewed by 395
Abstract
This study reports the successful fabrication and application of floatable syntactic foams derived from fine magnesium powder (<45 µm) utilizing expanded perlite (0.25 g/cm3, 0.2–0.4 mm) as the pore former. Sample disks with densities as low as 0.9 g/cm3 were [...] Read more.
This study reports the successful fabrication and application of floatable syntactic foams derived from fine magnesium powder (<45 µm) utilizing expanded perlite (0.25 g/cm3, 0.2–0.4 mm) as the pore former. Sample disks with densities as low as 0.9 g/cm3 were produced via the classical press and sinter process. To ensure reasonable mechanical properties, the specimens were formed under a pressure of 200 MPa in a hardened steel die, followed by high-vacuum sintering (~3 × 10−6 torr) at 640 °C for 1 h. The resulting foams exhibited sufficient mechanical strength to allow for precision machining into a microboat. We demonstrated their potential use as a Marangoni-induced microswimmer. Spontaneous locomotion was observed when ethanol was used as a propellant, which generates a surface tension gradient between the upper and rear parts of the swimmer. The microboats achieved propulsion speeds of approximately 160 mm/s when propelled by a 95% ethanol + 5% ink mixture. Using a small volume (~4 µL) of the alcohol mixture, the swimmer could cover distances exceeding 350 mm. Full article
(This article belongs to the Special Issue Obtaining and Characterization of New Materials (5th Edition))
Show Figures

Figure 1

13 pages, 3492 KB  
Article
Magnetic Field Control of Liquid Crystal-Enabled Colloid Electrophoresis
by Joel Torres-Andrés, Guillermo Cassinello, Francesc Sagués and Jordi Ignés-Mullol
Colloids Interfaces 2025, 9(3), 27; https://doi.org/10.3390/colloids9030027 - 6 May 2025
Cited by 2 | Viewed by 2165
Abstract
Microswimmers are key for unveiling new physical phenomena underlying their propulsion, especially when driven inside complex fluids. Liquid crystals are anisotropic complex fluids that feature long-range orientational order. The propulsion of non-charged dielectric particles can be accomplished in these systems by breaking the [...] Read more.
Microswimmers are key for unveiling new physical phenomena underlying their propulsion, especially when driven inside complex fluids. Liquid crystals are anisotropic complex fluids that feature long-range orientational order. The propulsion of non-charged dielectric particles can be accomplished in these systems by breaking the particles’ fore-aft symmetry thanks to anisotropies in the conductivity and dielectric permittivity parameters of the liquid crystal. Under the application of an AC electric field, asymmetric osmotic flows are generated to propel non-spherical particles, whose direction of motion depends on the orientational order of the liquid crystal molecules around the inclusions. This means that, by controlling the LC orientation, one will be able to steer driven colloidal inclusions. In this experimental work, we show that a homogeneous magnetic field that is able to control the orientation of the liquid crystal molecules also allows us to determine the direction of motion of driven particles without significant changes in the propulsion mechanism. Additionally, we show that a radial configuration of the magnetic field lines can be used to generate topological defects in the liquid crystal orientational field that attract colloidal particles, leading to their clustering as rotating mills. The generated clusters were tested to study the collective motion of particles, suggesting the presence of particle–particle interactions. Full article
Show Figures

Graphical abstract

9 pages, 1248 KB  
Communication
Enhanced Diffusion and Non-Gaussian Displacements of Colloids in Quasi-2D Suspensions of Motile Bacteria
by Xiao Chen and Yaner Yan
Materials 2024, 17(20), 5013; https://doi.org/10.3390/ma17205013 - 14 Oct 2024
Cited by 2 | Viewed by 1949
Abstract
In the real world, active agents interact with surrounding passive objects, thus introducing additional degrees of complexity. The relative contributions of far-field hydrodynamic and near-field contact interactions to the anomalous diffusion of passive particles in suspensions of active swimmers remain a subject of [...] Read more.
In the real world, active agents interact with surrounding passive objects, thus introducing additional degrees of complexity. The relative contributions of far-field hydrodynamic and near-field contact interactions to the anomalous diffusion of passive particles in suspensions of active swimmers remain a subject of ongoing debate. We constructed a quasi-two-dimensional microswimmer–colloid mixed system by taking advantage of Serratia marcescens’ tendency to become trapped at the air–water interface to investigate the origins of the enhanced diffusion and non-Gaussianity of the displacement distributions of passive colloidal tracers. Our findings reveal that the diffusion behavior of colloidal particles exhibits a strong dependence on bacterial density. At moderate densities, the collective dynamics of bacteria dominate the diffusion of tracer particles. In dilute bacterial suspensions, although there are multiple dynamic types present, near-field contact interactions such as collisions play a major role in the enhancement of colloidal transport and the emergence of non-Gaussian displacement distributions characterized by heavy exponential tails in short times. Despite the distinct types of microorganisms and their diverse self-propulsion mechanisms, a generality in the diffusion behavior of passive colloids and their underlying dynamics is observed. Full article
(This article belongs to the Special Issue The 15th Anniversary of Materials—Recent Advances in Soft Matter)
Show Figures

Figure 1

8 pages, 886 KB  
Article
Hyper-Ballistic Superdiffusion of Competing Microswimmers
by Kristian Stølevik Olsen, Alex Hansen and Eirik Grude Flekkøy
Entropy 2024, 26(3), 274; https://doi.org/10.3390/e26030274 - 21 Mar 2024
Cited by 1 | Viewed by 2135
Abstract
Hyper-ballistic diffusion is shown to arise from a simple model of microswimmers moving through a porous media while competing for resources. By using a mean-field model where swimmers interact through the local concentration, we show that a non-linear Fokker–Planck equation arises. The solution [...] Read more.
Hyper-ballistic diffusion is shown to arise from a simple model of microswimmers moving through a porous media while competing for resources. By using a mean-field model where swimmers interact through the local concentration, we show that a non-linear Fokker–Planck equation arises. The solution exhibits hyper-ballistic superdiffusive motion, with a diffusion exponent of four. A microscopic simulation strategy is proposed, which shows excellent agreement with theoretical analysis. Full article
(This article belongs to the Special Issue Statistical Mechanics of Porous Media Flow)
Show Figures

Figure 1

19 pages, 4437 KB  
Review
Collective Behaviors of Isotropic Micromotors: From Assembly to Reconstruction and Motion Control under External Fields
by Kai Feng, Ling Chen, Xinle Zhang, Jiang Gong, Jinping Qu and Ran Niu
Nanomaterials 2023, 13(21), 2900; https://doi.org/10.3390/nano13212900 - 3 Nov 2023
Cited by 3 | Viewed by 3015
Abstract
Swarms of self-propelled micromotors can mimic the processes of natural systems and construct artificial intelligent materials to perform complex collective behaviors. Compared to self-propelled Janus micromotors, the isotropic colloid motors, also called micromotors or microswimmers, have advantages in self-assembly to form micromotor swarms, [...] Read more.
Swarms of self-propelled micromotors can mimic the processes of natural systems and construct artificial intelligent materials to perform complex collective behaviors. Compared to self-propelled Janus micromotors, the isotropic colloid motors, also called micromotors or microswimmers, have advantages in self-assembly to form micromotor swarms, which are efficient in resistance to external disturbance and the delivery of large quantity of cargos. In this minireview, we summarize the fundamental principles and interactions for the assembly of isotropic active particles to generate micromotor swarms. Recent discoveries based on either catalytic or external physical field-stimulated micromotor swarms are also presented. Then, the strategy for the reconstruction and motion control of micromotor swarms in complex environments, including narrow channels, maze, raised obstacles, and high steps/low gaps, is summarized. Finally, we outline the future directions of micromotor swarms and the remaining challenges and opportunities. Full article
(This article belongs to the Special Issue Advances in Micro-/Nanorobotics)
Show Figures

Graphical abstract

12 pages, 4871 KB  
Article
Integrated Microfluidic–Electromagnetic System to Probe Single-Cell Magnetotaxis in Microconfinement
by Brianna Bradley, Juan Gomez-Cruz and Carlos Escobedo
Bioengineering 2023, 10(9), 1034; https://doi.org/10.3390/bioengineering10091034 - 1 Sep 2023
Cited by 3 | Viewed by 2210
Abstract
Magnetotactic bacteria have great potential for use in biomedical and environmental applications due to the ability to direct their navigation with a magnetic field. Applying and accurately controlling a magnetic field within a microscopic region during bacterial magnetotaxis studies at the single-cell level [...] Read more.
Magnetotactic bacteria have great potential for use in biomedical and environmental applications due to the ability to direct their navigation with a magnetic field. Applying and accurately controlling a magnetic field within a microscopic region during bacterial magnetotaxis studies at the single-cell level is challenging due to bulky microscope components and the inherent curvilinear field lines produced by commonly used bar magnets. In this paper, a system that integrates microfluidics and electromagnetic coils is presented for generating a linear magnetic field within a microenvironment compatible with microfluidics, enabling magnetotaxis analysis of groups or single microorganisms on-chip. The platform, designed and optimised via finite element analysis, is integrated into an inverted fluorescent microscope, enabling visualisation of bacteria at the single-cell level in microfluidic devices. The electromagnetic coils produce a linear magnetic field throughout a central volume where the microfluidic device containing the magnetotactic bacteria is located. The magnetic field, at this central position, can be accurately controlled from 1 to 10 mT, which is suitable for directing the navigation of magnetotactic bacteria. Potential heating of the microfluidic device from the operating coils was evaluated up to 2.5 A, corresponding to a magnetic field of 7.8 mT, for 10 min. The maximum measured heating was 8.4 °C, which enables analysis without altering the magnetotaxis behaviour or the average swimming speed of the bacteria. Altogether, this work provides a design, characterisation and experimental test of an integrated platform that enables the study of individual bacteria confined in microfluidics, under linear and predictable magnetic fields that can be easily and accurately applied and controlled. Full article
(This article belongs to the Special Issue Microfluidics and Miniaturized Systems in Bioengineering)
Show Figures

Figure 1

18 pages, 2791 KB  
Article
Self-Propulsion of Two Contacting Bubbles Due to the Radiation Interaction Force
by Alexander A. Doinikov, Thomas Micol, Cyril Mauger, Philippe Blanc-Benon and Claude Inserra
Micromachines 2023, 14(8), 1615; https://doi.org/10.3390/mi14081615 - 16 Aug 2023
Cited by 3 | Viewed by 2659
Abstract
In this paper, we consider a new bubble-based microswimmer composed of two contacting bubbles. Under the action of an acoustic field, both bubbles are oscillating, and locomotion of the two-bubble system is observed. A theory is developed that allows one to calculate the [...] Read more.
In this paper, we consider a new bubble-based microswimmer composed of two contacting bubbles. Under the action of an acoustic field, both bubbles are oscillating, and locomotion of the two-bubble system is observed. A theory is developed that allows one to calculate the acoustic radiation interaction forces between two gas bubbles in an incompressible viscous liquid for any small separation distance between the bubbles. This theory is used to demonstrate that two acoustically excited bubbles can create a self-propelled microswimmer due to a nonzero net force experienced by the bubbles when they come in contact. Experimental evidence of the creation of such a swimmer and of its motion is provided. Full article
Show Figures

Figure 1

32 pages, 2910 KB  
Review
Diffusion-Limited Processes in Hydrogels with Chosen Applications from Drug Delivery to Electronic Components
by Filipp V. Lavrentev, Vladimir V. Shilovskikh, Varvara S. Alabusheva, Veronika Yu. Yurova, Anna A. Nikitina, Sviatlana A. Ulasevich and Ekaterina V. Skorb
Molecules 2023, 28(15), 5931; https://doi.org/10.3390/molecules28155931 - 7 Aug 2023
Cited by 85 | Viewed by 13288
Abstract
Diffusion is one of the key nature processes which plays an important role in respiration, digestion, and nutrient transport in cells. In this regard, the present article aims to review various diffusion approaches used to fabricate different functional materials based on hydrogels, unique [...] Read more.
Diffusion is one of the key nature processes which plays an important role in respiration, digestion, and nutrient transport in cells. In this regard, the present article aims to review various diffusion approaches used to fabricate different functional materials based on hydrogels, unique examples of materials that control diffusion. They have found applications in fields such as drug encapsulation and delivery, nutrient delivery in agriculture, developing materials for regenerative medicine, and creating stimuli-responsive materials in soft robotics and microrobotics. In addition, mechanisms of release and drug diffusion kinetics as key tools for material design are discussed. Full article
(This article belongs to the Special Issue Structure and Dynamics of Polymers and Self-Assembled Soft Materials)
Show Figures

Graphical abstract

10 pages, 2192 KB  
Article
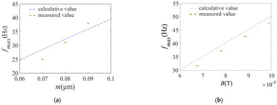
Velocity and Out-Step Frequencies for a Micro-Swimmer Based on Spiral Carbon Nanotubes
by Ce Zhang, Shiqi Ma and Lizhong Xu
Micromachines 2023, 14(7), 1320; https://doi.org/10.3390/mi14071320 - 27 Jun 2023
Cited by 1 | Viewed by 2183
Abstract
The existing producing processes of micro spiral swimmers are complex. Here, a microswimmer with a magnetic layer on the surface of the spiral carbon nanotubes is proposed, which has a simple producing process. For the microswimmer, its equations of the velocities and out-step [...] Read more.
The existing producing processes of micro spiral swimmers are complex. Here, a microswimmer with a magnetic layer on the surface of the spiral carbon nanotubes is proposed, which has a simple producing process. For the microswimmer, its equations of the velocities and out-step frequency are deduced. Using these equations, the velocities and out-step frequency of the microswimmer and their changes with related parameters are investigated. Results show that its velocities are proportional to the radius and helix angle of the spiral carbon nanotubes, and its out-step frequencies are proportional to magnetic field strength, the helix angle and magnetic layer thicknesses of the spiral carbon nanotubes, and inversely proportional to the fluid viscosity. The out-step frequency of the microswimmer is measured, which is in good agreement with the calculative ones. Full article
Show Figures

Figure 1

13 pages, 2733 KB  
Article
Spatial Distribution of Flagellated Microalgae Chlamydomonas reinhardtii in a Quasi-Two-Dimensional Space
by Tetsuo Aono, Kyohei Yamashita, Masafumi Hashimoto, Yuji Ishikawa, Kentaro Aizawa and Eiji Tokunaga
Micromachines 2023, 14(4), 813; https://doi.org/10.3390/mi14040813 - 2 Apr 2023
Cited by 2 | Viewed by 2371
Abstract
Although the phenomenon of collective order formation by cell–cell interactions in motile cells, microswimmers, has been a topic of interest, most studies have been conducted under conditions of high cell density, where the space occupancy of a cell population relative to the space [...] Read more.
Although the phenomenon of collective order formation by cell–cell interactions in motile cells, microswimmers, has been a topic of interest, most studies have been conducted under conditions of high cell density, where the space occupancy of a cell population relative to the space size ϕ>0.1 (ϕ is the area fraction). We experimentally determined the spatial distribution (SD) of the flagellated unicellular green alga Chlamydomonas reinhardtii at a low cell density (ϕ0.01) in a quasi-two-dimensional (thickness equal to cell diameter) restricted space and used the variance-to-mean ratio to investigate the deviation from the random distribution of cells, that is, do cells tend to cluster together or avoid each other? The experimental SD is consistent with that obtained by Monte Carlo simulation, in which only the excluded volume effect (EV effect) due to the finite size of cells is taken into account, indicating that there is no interaction between cells other than the EV effect at a low cell density of ϕ0.01. A simple method for fabricating a quasi-two-dimensional space using shim rings was also proposed. Full article
Show Figures

Figure 1

32 pages, 17226 KB  
Review
Molecular Machines and Microrobots: Nanoarchitectonics Developments and On-Water Performances
by Katsuhiko Ariga
Micromachines 2023, 14(1), 25; https://doi.org/10.3390/mi14010025 - 22 Dec 2022
Cited by 18 | Viewed by 5519
Abstract
This review will focus on micromachines and microrobots, which are objects at the micro-level with similar machine functions, as well as nano-level objects such as molecular machines and nanomachines. The paper will initially review recent examples of molecular machines and microrobots that are [...] Read more.
This review will focus on micromachines and microrobots, which are objects at the micro-level with similar machine functions, as well as nano-level objects such as molecular machines and nanomachines. The paper will initially review recent examples of molecular machines and microrobots that are not limited to interfaces, noting the diversity of their functions. Next, examples of molecular machines and micromachines/micro-robots functioning at the air-water interface will be discussed. The behaviors of molecular machines are influenced significantly by the specific characteristics of the air-water interface. By placing molecular machines at the air-water interface, the scientific horizon and depth of molecular machine research will increase dramatically. On the other hand, for microrobotics, more practical and advanced systems have been reported, such as the development of microrobots and microswimmers for environmental remediations and biomedical applications. The research currently being conducted on the surface of water may provide significant basic knowledge for future practical uses of molecular machines and microrobots. Full article
(This article belongs to the Special Issue Feature Papers of Micromachines in Chemistry 2022)
Show Figures

Figure 1

19 pages, 4805 KB  
Review
A Review on the Motion of Magnetically Actuated Bio-Inspired Microrobots
by Shanuka Dodampegama, Amith Mudugamuwa, Menaka Konara, Nisal Perera, Dinindu De Silva, Uditha Roshan, Ranjith Amarasinghe, Nirosh Jayaweera and Hiroki Tamura
Appl. Sci. 2022, 12(22), 11542; https://doi.org/10.3390/app122211542 - 14 Nov 2022
Cited by 18 | Viewed by 6083
Abstract
Nature consists of numerous solutions to overcome challenges in designing artificial systems. Various actuation mechanisms have been implemented in microrobots to mimic the motion of microorganisms. Such bio-inspired designs have contributed immensely to microscale developments. Among the actuation mechanisms, magnetic actuation is widely [...] Read more.
Nature consists of numerous solutions to overcome challenges in designing artificial systems. Various actuation mechanisms have been implemented in microrobots to mimic the motion of microorganisms. Such bio-inspired designs have contributed immensely to microscale developments. Among the actuation mechanisms, magnetic actuation is widely used in bio-inspired microrobotic systems and related propulsion mechanisms used by microrobots to navigate inside a magnetic field and are presented in this review. In addition, the considered robots are in microscale, and they can swim inside a fluidic environment with a low Reynolds number. In relation to microrobotics, mimicry of bacteria flagella, sperm flagella, cilia, and fish are significant. Due to the fact that these biological matters consist of different propulsion mechanisms, the effect of various parameters was investigated in the last decade and the review presents a summary that enhances understanding of the working principle of propulsion mechanisms. In addition, the effect of different parameters on the various speeds of the existing microrobots was analyzed to identify their trends. So, the swimming speeds of the microrobots show an upward trend with increasing body length, frequency, magnetic flux density, and helix angle. Microfabrication techniques play a significant role in the microscale because the device designs are highly dependent on the availability of the techniques. The presented microrobots were manufactured by 3D/4D photolithography and rapid prototyping techniques. Proper materials enable effective fabrication of microrobots using the mentioned techniques. Therefore, magnetically active material types, matrix materials, biocompatible and biodegradable materials are presented in this study. Utilizing biocompatible and biodegradable materials avoids adverse effects to the organs that could occur otherwise. In addition, magnetic field generation is significant for the propulsion of such microrobots. We conclude the review with an overview of the biomimicry of microrobots and magnetically actuated robot propulsion. Full article
(This article belongs to the Special Issue Biomimicry and Bio-Inspired Research and Development)
Show Figures

Figure 1

13 pages, 1861 KB  
Article
Improving Swimming Performance of Photolithography-Based Microswimmers Using Curvature Structures
by Liyuan Tan, Zihan Wang, Zhi Chen, Xiangcheng Shi and U Kei Cheang
Micromachines 2022, 13(11), 1965; https://doi.org/10.3390/mi13111965 - 12 Nov 2022
Cited by 5 | Viewed by 3082
Abstract
The emergence of robotic microswimmers and their huge potential in biomedical applications such as drug delivery, non-invasive surgery, and bio-sensing facilitates studies to improve their effectiveness. Recently, achiral microswimmers that have neither flexible nor helical structures have garnered attention because of their simple [...] Read more.
The emergence of robotic microswimmers and their huge potential in biomedical applications such as drug delivery, non-invasive surgery, and bio-sensing facilitates studies to improve their effectiveness. Recently, achiral microswimmers that have neither flexible nor helical structures have garnered attention because of their simple structures and fabrication process while preserving adequate swimming velocity and controllability. In this paper, the crescent shape was utilized to create photolithography-fabricated crescent-shaped achiral microswimmers. The microswimmers were actuated using rotating magnetic fields at low Reynolds numbers. Compared with the previously reported achiral microswimmers, the crescent-shaped microswimmers showed significant improvement in forward swimming speed. The effects of different curvatures, arm angles, and procession angles on the velocities of microswimmers were investigated. Moreover, the optimal swimming motion was defined by adjusting the field strength of the magnetic field. Finally, the effect of the thickness of the microswimmers on their swimming velocity was investigated. Full article
(This article belongs to the Special Issue Magnetic Microrobots for Biomedical Applications)
Show Figures

Figure 1

20 pages, 4210 KB  
Review
Actuators for Implantable Devices: A Broad View
by Bingxi Yan
Micromachines 2022, 13(10), 1756; https://doi.org/10.3390/mi13101756 - 17 Oct 2022
Cited by 17 | Viewed by 5391
Abstract
The choice of actuators dictates how an implantable biomedical device moves. Specifically, the concept of implantable robots consists of the three pillars: actuators, sensors, and powering. Robotic devices that require active motion are driven by a biocompatible actuator. Depending on the actuating mechanism, [...] Read more.
The choice of actuators dictates how an implantable biomedical device moves. Specifically, the concept of implantable robots consists of the three pillars: actuators, sensors, and powering. Robotic devices that require active motion are driven by a biocompatible actuator. Depending on the actuating mechanism, different types of actuators vary remarkably in strain/stress output, frequency, power consumption, and durability. Most reviews to date focus on specific type of actuating mechanism (electric, photonic, electrothermal, etc.) for biomedical applications. With a rapidly expanding library of novel actuators, however, the granular boundaries between subcategories turns the selection of actuators a laborious task, which can be particularly time-consuming to those unfamiliar with actuation. To offer a broad view, this study (1) showcases the recent advances in various types of actuating technologies that can be potentially implemented in vivo, (2) outlines technical advantages and the limitations of each type, and (3) provides use-specific suggestions on actuator choice for applications such as drug delivery, cardiovascular, and endoscopy implants. Full article
(This article belongs to the Special Issue Feature Papers from Micromachines Reviewers)
Show Figures

Figure 1

42 pages, 658 KB  
Review
Asymptotics and Summation of the Effective Properties of Suspensions, Simple Liquids and Composites
by Simon Gluzman
Symmetry 2022, 14(9), 1912; https://doi.org/10.3390/sym14091912 - 13 Sep 2022
Cited by 5 | Viewed by 7127
Abstract
We review the problem of summation for a very short truncation of a power series by means of special resummation techniques inspired by the field-theoretical renormalization group. Effective viscosity (EV) of active and passive suspensions is studied by means of a special algebraic [...] Read more.
We review the problem of summation for a very short truncation of a power series by means of special resummation techniques inspired by the field-theoretical renormalization group. Effective viscosity (EV) of active and passive suspensions is studied by means of a special algebraic renormalization approach applied to the first and second-order expansions in volume fractions of particles. EV of the 2D and 3D passive suspensions is analysed by means of various self-similar approximants such as iterated roots, exponential approximants, super-exponential approximants and root approximants. General formulae for all concentrations are derived. A brief introduction to the rheology of micro-swimmers is given. Microscopic expressions for the intrinsic viscosity of the active system of puller-like microswimmers are obtained. Special attention is given to the problem of the calculation of the critical indices and amplitudes of the EV and to the sedimentation rate in the vicinity of known critical points. Critical indices are calculated from the short truncation by means of minimal difference and minimal derivative conditions on the fixed points imposed directly on the critical properties. Accurate expressions are presented for the non-local diffusion coefficient of a simple liquid in the vicinity of a critical point. Extensions and corrections to the celebrated Kawasaki formula are discussed. We also discuss the effective conductivity for the classical analog of graphene and calculate the effective critical index for superconductivity dependent on the concentration of vacancies. Finally, we discuss the effective conductivity of a random 3D composite and calculate the superconductivity critical index of a random 3D composite. Full article
(This article belongs to the Special Issue Symmetry and Approximation Methods II)
Show Figures

Figure 1

Back to TopTop