EXIT Charts for Low-Density Algebra-Check Codes
Abstract
1. Introduction
2. System Model
2.1. The Structure of LDAC Code
2.2. The Decoding Algorithm of LDAC Code
2.3. Iterative Decoder
2.4. Calculation of Mutual Information
3. EXIT Curves of LDAC Codes
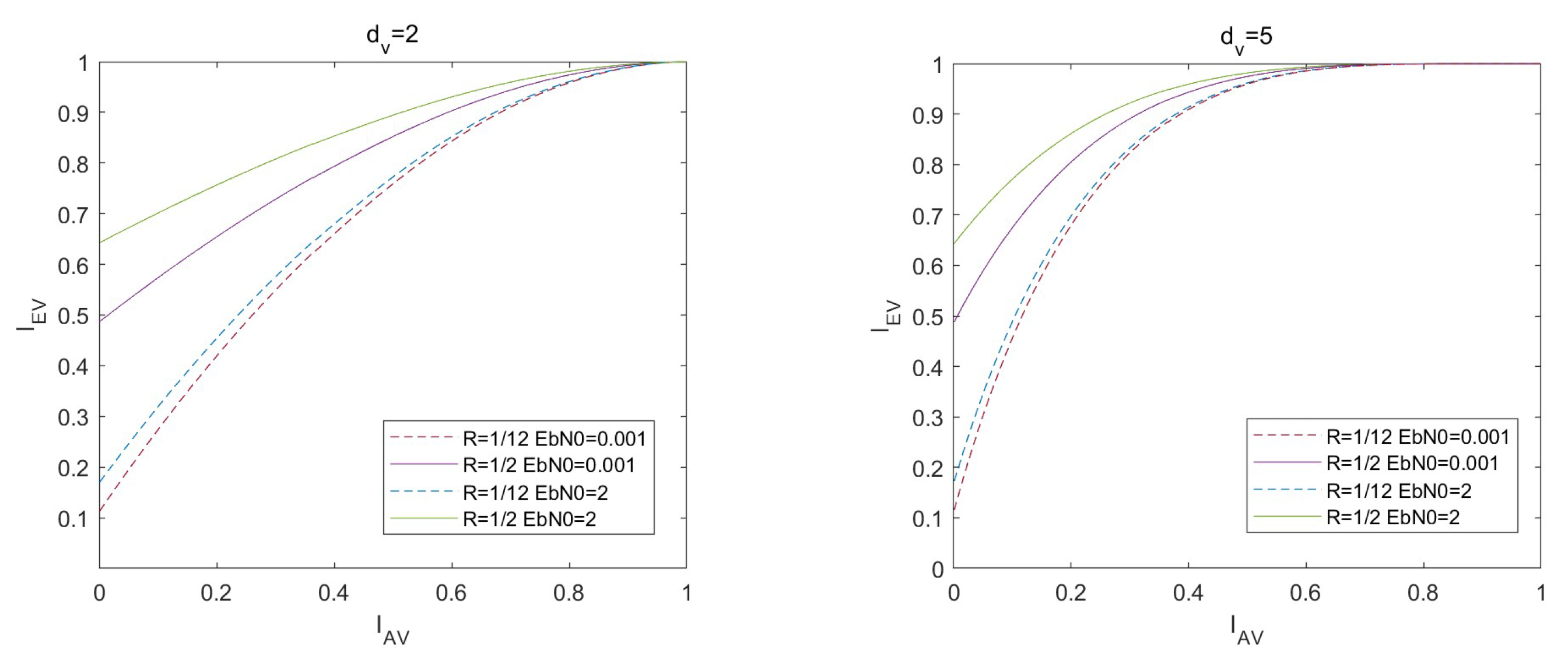
3.1. VND
3.2. CND
- Set the value of input mutual information ranging from 0 to 1, and set the target rate R and ;
- Calculate according to R and , and randomly generate the channel information ;
- Calculate according to and randomly generate the input of the CND.
- Input and into the CND and calculate the output message according to Formula (1);
- Accumulate sufficient output messages for empirical distribution. Consider it as a probability distribution to obtain the conditional probability density function of and calculate the output mutual information ;
- Plot the EXIT curves of the first type of algebra-check node decoder, according to the input mutual information and output mutual information .
- Set the value of input mutual information ranging from 0 to 1;
- Calculate according to and randomly generate the input of the CND;
- Input into the CND and calculate the output message according to Formula (1);
- Accumulate sufficient output messages for empirical distribution. Consider it as a probability distribution to obtain the conditional probability density function of and calculate the output mutual information ;
- Plot the EXIT curves of the second type of algebra-check node decoder, according to the input mutual information and output mutual information .
4. Simulation Results and Analysis
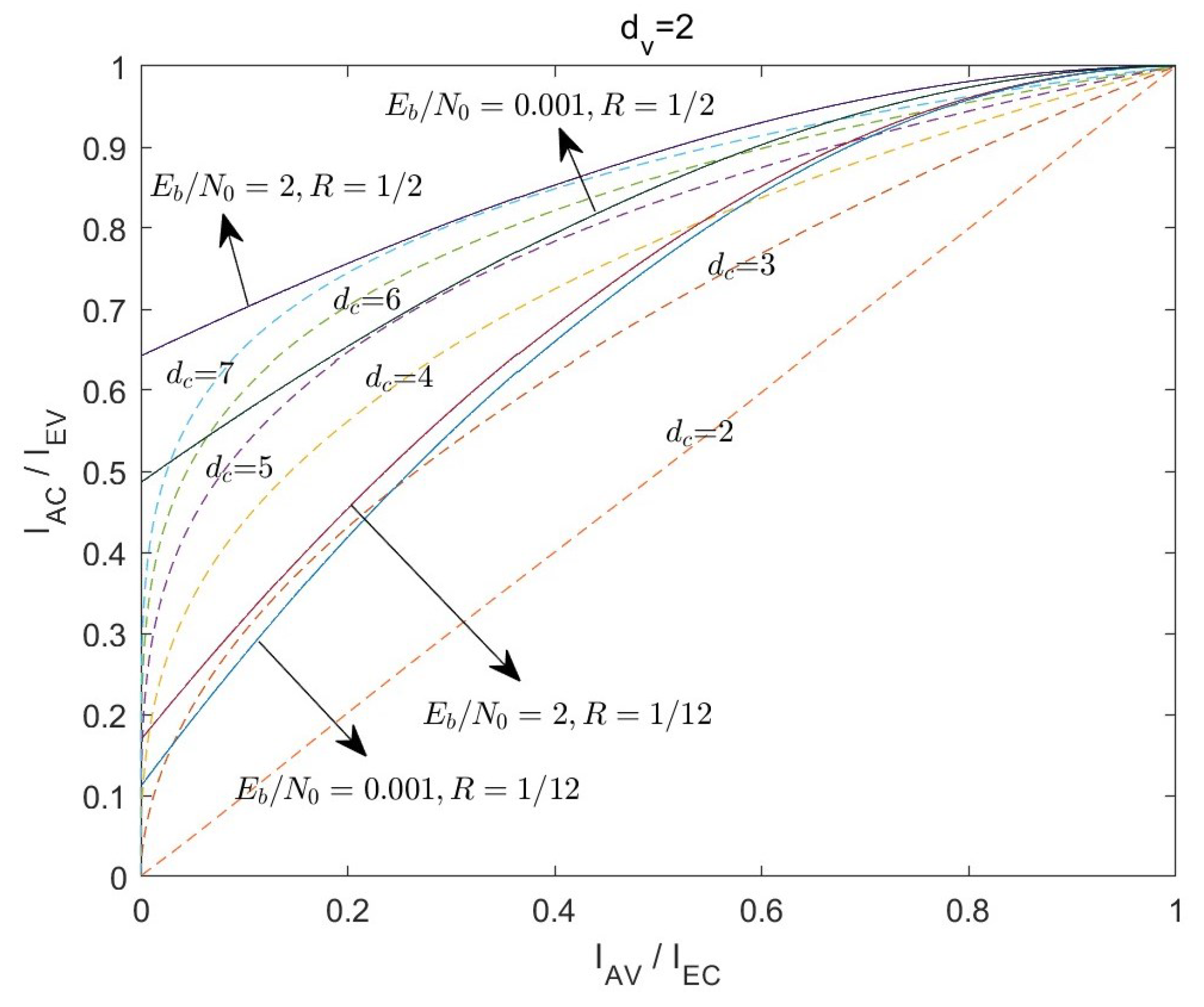
4.1. The Analysis of the VNDs and SPC Node
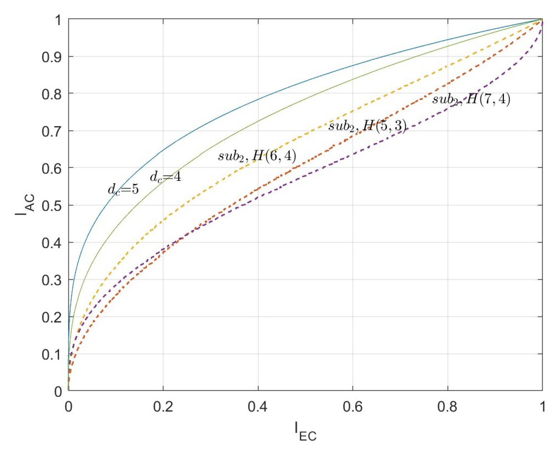
4.2. The Comparison of Algebra-Check Nodes
- If , substituting the first type of algebra-check nodes leads to a more significant rate loss compared to replacing the second type.
- When , replacing the first type of algebra-check nodes incurs a relatively smaller rate loss than substituting the second type.
- In the case of , the influence of both types of algebra-check nodes on the rate of the constructed LDAC code is comparable.
- (1)
- The constructed LDAC code with the target rate .
- (2)
- The constructed LDAC code with the target rate .
4.3. Examples of Optimized Constructions of LDAC Codes
5. Conclusions
Author Contributions
Funding
Institutional Review Board Statement
Data Availability Statement
Conflicts of Interest
Abbreviations
| EXIT | Extrinsic Information Transfer |
| LDPC | Low-Density Parity-Check |
| LDAC | Low-Density Algebra-Check |
| GLDPC | Generalized Low-Density Parity Check |
| SPC | Single Parity Check |
| CND | Check Nodes Decoder |
| VND | Variable Nodes Decoder |
| MEEC | Minimum Essential Emergency Communication |
| GS | Generalized Sparse |
| SNR | signal-to-noise ratio |
| BLER | block error rate |
References
- CCSDS. TM Synchronization and Channel Coding; Consultative Committee for Space Data Systems: Beltsville, MD, USA, 2011. [Google Scholar]
- Digital Video Broadcasting (DVB). Second Generation Framing Structure, Channel Coding and Modulation Systems for Broadcasting, Interactive Services, News Gathering and Other Broadband Satellite Applications; Part 2: DVB-S2 Extensions (DVB-S2X); DVB: Geneva, Switzerland, 2015. [Google Scholar]
- Digital Video Broadcasting (DVB). Second Generation Framing Structure, Channel Coding and Modulation Systems for Broadcasting, Interactive Services, News Gathering and Other Broadband Satellite Applications; Part 1: DVB-S2; DVB: Geneva, Switzerland, 2014. [Google Scholar]
- Chu, T.; Jiang, X.-Q.; Hou, J.; Wang, H.-M.; Kong, L. Construction of multiple-rate LDPC codes using modified PEG. In Proceedings of the 2017 9th International Conference on Wireless Communications and Signal Processing (WCSP), Nanjing, China, 11–13 October 2017; pp. 1–5. [Google Scholar]
- Park, S.I.; Wu, Y.; Kim, H.M.; Hur, N.; Kim, J. Raptor-Like Rate Compatible LDPC Codes and Their Puncturing Performance for the Cloud Transmission System. IEEE Trans. Broadcast. 2014, 60, 239–245. [Google Scholar] [CrossRef]
- Wu, X.; Jiang, M.; Zhao, C.; Ma, L.; Wei, Y. Low-Rate PBRL-LDPC Codes for URLLC in 5G. IEEE Wirel. Commun. Lett. 2018, 7, 800–803. [Google Scholar] [CrossRef]
- He, Z.; Peng, K.; Zhang, C.; Song, J. Low-Rate LDPC Code Design for DTMB-A. IEEE Trans. Broadcast. 2024, 70, 739–746. [Google Scholar] [CrossRef]
- Park, H.; Kwak, H.-Y.; Hong, S.; No, J.S.; Shin, D.J. Variable-Weight Block Dual-Diagonal Structure for Low-Rate QC LDPC Codes with Low Error Floors. IEEE Trans. Commun. 2020, 68, 1344–1357. [Google Scholar] [CrossRef]
- Gonsioroski, L.H.; dos Santos, A.B.; Fernandes, N.C.; Castellanos, P.V.G.; de Matos, L.J.; da Silva Mello, L.A. Evaluation of the Field-Test Results of Advanced ISDB-T System with Low-Rate LDPC Codes. IEEE Trans. Broadcast. 2023, 69, 675–690. [Google Scholar] [CrossRef]
- Tanner, R. A recursive approach to low complexity codes. IEEE Trans. Inf. Theory 1981, 27, 533–547. [Google Scholar] [CrossRef]
- Lentmaler, M.; Zigangirov, K. On generalized low-density parity-check codes based on Hamming component codes. IEEE Commun. Lett. 1999, 3, 248–250. [Google Scholar] [CrossRef]
- Yue, G.; Ping, L.; Wang, X. Generalized Low-Density Parity-Check Codes Based on Hadamard Constraints. IEEE Trans. Inf. Theory 2007, 53, 1058–1079. [Google Scholar] [CrossRef]
- Ping, L.; Leung, W.K.; Wu, K.Y. Low-rate turbo-Hadamard codes. IEEE Trans. Inf. Theory 2003, 49, 3213–3224. [Google Scholar] [CrossRef]
- Wu, Y.-J.; Ping, L. On the limiting performance of turbo-Hadamard codes. IEEE Commun. Lett. 2004, 8, 449–451. [Google Scholar] [CrossRef]
- Leung, W.; Yue, G.; Ping, L.; Wang, X. Concatenated zigzag hadamard codes. IEEE Trans. Inf. Theory 2006, 52, 1711–1723. [Google Scholar] [CrossRef]
- Sun, Z.; Chen, Z.; Yin, L.; Lu, J. Design of LDBCH Codes for Ultra Reliable Low Latency Communications. IEEE Commun. Lett. 2021, 25, 2800–2804. [Google Scholar] [CrossRef]
- Chen, Z.; Sun, Z.; Pei, Y.; Yin, L. Generalized sparse codes for non-Gaussian channels: Code design, algorithms, and applications. Fundam. Res. 2022, 2, 284–295. [Google Scholar] [CrossRef] [PubMed]
- Tang, Z.; Lei, J.; Lai, K.; Huang, Y. Low-density algebra-check codes for ultra reliable low latency communications. Electron. Lett. 2024, 60, e13179. [Google Scholar] [CrossRef]
- Ten Brink, S. Convergence Behavior of Iteratively Decoded Parallel Concatenated Codes. IEEE Trans. Commun. 2001, 49, 1727. [Google Scholar] [CrossRef]
- Ten Brink, S.; Kramer, G.; Ashikhmin, A. Design of low-density parity-check codes for modulation and detection. IEEE Trans. Commun. 2004, 52, 670–678. [Google Scholar] [CrossRef]
- MacKay, D. Good error-correcting codes based on very sparse matrices. IEEE Trans. Inf. Theory 1999, 45, 399–431. [Google Scholar] [CrossRef]
- Hocquenghem, A. Codes correcteurs D’erreurs. Chiffres 1959, 2, 147–156. [Google Scholar]
- Bose, R.; Ray-Chaudhuri, D. On a class of error correcting binary group codes. Inf. Control 1960, 3, 68–79. [Google Scholar] [CrossRef]
- Bose, R.; Ray-Chaudhuri, D. Further results on error correcting binary group codes. Inf. Control 1960, 3, 279–290. [Google Scholar] [CrossRef]
- Reed, I.S.; Solomon, G. Polynomial Codes Over Certain Finite Fields. J. Soc. Ind. Appl. Math. 1960, 8, 300–304. [Google Scholar] [CrossRef]
- Hamming, R.W. Error Detecting and Error Correcting Codes. Bell Syst. Tech. J. 1950, 29, 147–160. [Google Scholar] [CrossRef]
- Channel Coding Techniques for URLLC. TSG RAN WG1 93 Meeting, 3rd Generation Partnership Project (3GPP), 2018: Document R1–1806006. Available online: https://www.3gpp.org/dynareport?code=TDocExMtg--R1-93--18784.htm (accessed on 29 October 2024).














| Degree | The Type of Check Node | Subcode Length | Information Bit Length |
|---|---|---|---|
| 5 | 7 | 4 | |
| 6 | 15 | 5 | |
| 7 | 31 | 6 | |
| 7 | 7 | 4 |
Disclaimer/Publisher’s Note: The statements, opinions and data contained in all publications are solely those of the individual author(s) and contributor(s) and not of MDPI and/or the editor(s). MDPI and/or the editor(s) disclaim responsibility for any injury to people or property resulting from any ideas, methods, instructions or products referred to in the content. |
© 2024 by the authors. Licensee MDPI, Basel, Switzerland. This article is an open access article distributed under the terms and conditions of the Creative Commons Attribution (CC BY) license (https://creativecommons.org/licenses/by/4.0/).
Share and Cite
Tang, Z.; Lei, J.; Huang, Y. EXIT Charts for Low-Density Algebra-Check Codes. Entropy 2024, 26, 1118. https://doi.org/10.3390/e26121118
Tang Z, Lei J, Huang Y. EXIT Charts for Low-Density Algebra-Check Codes. Entropy. 2024; 26(12):1118. https://doi.org/10.3390/e26121118
Chicago/Turabian StyleTang, Zuo, Jing Lei, and Ying Huang. 2024. "EXIT Charts for Low-Density Algebra-Check Codes" Entropy 26, no. 12: 1118. https://doi.org/10.3390/e26121118
APA StyleTang, Z., Lei, J., & Huang, Y. (2024). EXIT Charts for Low-Density Algebra-Check Codes. Entropy, 26(12), 1118. https://doi.org/10.3390/e26121118

