A Hybrid Quantum Solver for the Lorenz System
Abstract
1. Introduction
2. Lorenz System
- x, y, and z represent the state variables of the system. These variables can be thought of as proportional to the intensity of the convective motion, the temperature difference between ascending and descending currents, and the deviation of the vertical temperature profile from linearity, respectively.
- is the Prandtl number, representing the ratio of viscous diffusivity to thermal diffusivity.
- represents the Rayleigh number, which measures the thermal buoyancy force relative to viscous damping in the fluid.
- is a geometric factor associated with the problem.
2.1. Linearization
2.2. Inclusion of Nonlinear Terms
- It is unable to capture global behavior, especially in regions far from equilibrium.
- Chaotic behavior, bifurcations, and other complex dynamics are completely overlooked by linear analysis. In particular, it does not encompass chaos, which is a defining feature of the Lorenz system.
- The effectiveness of the linear approximation can vary significantly with changes in parameters (, , ). Some dynamics observable in one set of parameter values may be absent in others.
3. Variational Quantum Linear Solver
3.1. Overview
3.2. Cost Function
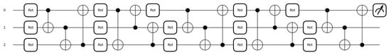
3.3. Ansatz
- Parameterized rotation gate: Each qubit undergoes a parameterized rotation, typically represented as . This gate can be a combination of rotations around different axes, such as , , and .
- Entangling operations: Following the rotation gates, to entangle the qubits, a series of controlled-NOT (CNOT) gates are applied. The pattern of these CNOT gates may vary, but they generally ensure that every qubit is entangled with at least one other qubit in the layer.
- Layered structure: To enhance the expressiveness of the Ansatz, multiple layers of the above combination are stacked. Each layer applies a new set of parameterized rotation gates ,
4. Algorithm
| Algorithm 1 Variational quantum linear solver [21] |
| Require: Matrix A, vector b, number of layers , maximum iterations , convergence tolerance , step size |
| Ensure: Optimized parameters |
| 1: Hermitian conjugate of A |
| 2: |
| 3: |
| 4: Identity matrix of size A |
| 5: |
| 6: Define cost function |
| 7: |
| 8: Define quantum device with |
| 9: Define Ansatz with |
| 10: Initialize optimizer with |
| 11: Initialize random parameters for Ansatz |
| 12: for to do |
| 13: Compute gradient |
| 14: Update parameters and compute the cost function |
| 15: Check stop condition |
| 16: end for |
| 17: return optimized parameters |
| 18: Extract the solution |
5. Numerical Results
- Number of layers: The number of layers is a crucial parameter for achieving optimal parameter values. We ran the algorithm with the same initialization and plotted these behaviors of the cost functions as shown in Figure 5 as a function of the number of layers. Three or more layers appear to be necessary to compute a good set of values for the parameters.
- Stop condition: We used two different criteria for the stop condition, i.e., the maximum number of iterations and convergence tolerance, given byrespectively.
- Initialization: The initial value of the parameter was chosen randomly.
- Cost function: We considered the following cost function:
- Number of qubits: Error-free qubits represent an important quantum resource. In our implementation, three qubits are needed, which is a very low resource requirement compared with algorithms based on HHL in which an extra register is needed to store the eigenvalue computed during the phase inversion process. For greater precision, a larger-sized quantum register is needed to store the eigenvalues. In general, the VQLS algorithm needs qubits, where n is the size of the matrix A.
5.1. Solution
5.2. Handling the Sign of the Solution
5.3. Condition Number
5.4. Starting Point
- , , , , , and .
- , , , , , and .
5.5. Error Analysis
5.6. Error for VQLS Method
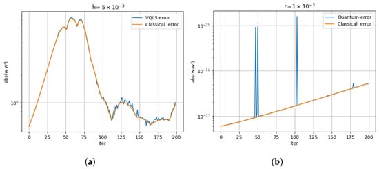
5.7. Results and Discussion
5.8. Limitations

5.9. Matrix Formulation for High-Dimensional Systems
6. Conclusions
Author Contributions
Funding
Institutional Review Board Statement
Data Availability Statement
Acknowledgments
Conflicts of Interest
Abbreviations
| QRAM | quantum random-access memory |
| ODEs | ordinary differential equations |
| HHL | Harrow–Hassidim–Lloyd |
| QPCA | quantum principal component analysis |
| VQE | Variational Quantum Eigensolver |
| VQLS | Variational Quantum Linear Solver |
| NISQ | noisy intermediate-scale quantum |
| SELs | Strongly Entangling Layers |
| QAOA | Quantum Approximate Optimization Algorithm |
| CNOT | controlled-NOT |
| VES | Variational Error Suppression |
| ZNE | Zero-Noise Extrapolation |
| MEM | Measurement Error Mitigation |
| QLSP | Quantum Linear System Problem |
References
- Thompson, J.M.T.; Stewart, H.B. Nonlinear Dynamics and Chaos; John Wiley & Sons: Hoboken, NJ, USA, 2002. [Google Scholar]
- Lorenz, E.N. Deterministic nonperiodic flow. J. Atmos. Sci. 1963, 20, 130–141. [Google Scholar] [CrossRef]
- Penrose, R. Uncertainty in quantum mechanics: Faith or fantasy? Philos. Trans. R. Soc. A 2011, 369, 4864–4890. [Google Scholar] [CrossRef] [PubMed]
- Cramer, M.; Plenio, M.B.; Flammia, S.T.; Somma, R.; Gross, D.; Bartlett, S.D.; Landon-Cardinal, O.; Poulin, D.; Liu, Y.-K. Efficient quantum state tomography. Nat. Commun. 2010, 1, 149. [Google Scholar] [CrossRef] [PubMed]
- Lanyon, B.P.; Maier, C.; Holzäpfel, M.; Baumgratz, T.; Hempel, C.; Jurcevic, P.; Dhand, I.; Buyskikh, A.S.; Daley, A.J.; Cramer, M.; et al. Efficient tomography of a quantum many-body system. Nat. Phys. 2017, 13, 1158–1162. [Google Scholar] [CrossRef]
- Leyton, S.K.; Osborne, T.J. A quantum algorithm to solve nonlinear differential equations. arXiv 2008, arXiv:0812.4423. [Google Scholar]
- Berry, D.W. High-order quantum algorithm for solving linear differential equations. J. Phys. A Math. Theor. 2014, 47, 105301. [Google Scholar] [CrossRef]
- Liu, J.-P.; Kolden, H.Ø.; Krovi, H.K.; Loureiro, N.F.; Trivisa, K.; Childs, A.M. Efficient quantum algorithm for dissipative nonlinear differential equations. Proc. Natl. Acad. Sci. USA 2021, 118, e2026805118. [Google Scholar] [CrossRef]
- Berry, D.W.; Childs, A.M.; Ostrander, A.; Wang, G. Quantum algorithm for linear differential equations with exponentially improved dependence on precision. Commun. Math. Phys. 2017, 356, 1057–1081. [Google Scholar] [CrossRef]
- Krovi, H. Improved quantum algorithms for linear and nonlinear differential equations. Quantum 2023, 7, 913. [Google Scholar] [CrossRef]
- Lloyd, S.; De Palma, G.; Gokler, C.; Kiani, B.; Liu, Z.-W.; Marvian, M.; Tennie, F.; Palmer, T. Quantum algorithm for nonlinear differential equations. arXiv 2020, arXiv:2011.06571. [Google Scholar]
- Tennie, F.; Palmer, T.N. Quantum computers for weather and climate prediction: The good, the bad, and the noisy. Bull. Am. Meteorol. Soc. 2023, 104, E488–E500. [Google Scholar] [CrossRef]
- Rahman, S.M.; Alkhalaf, O.H.; Alam, M.S.; Tiwari, S.P.; Shafiullah, M.; Al-Judaibi, S.M.; Al-Ismail, F.S. Climate Change Through Quantum Lens: Computing and Machine Learning. Earth Syst. Environ. 2024, 8, 705–722. [Google Scholar] [CrossRef]
- Armaos, V.; Argiriou, A.A.; Kioutsioukis, I. Quantum Computing and Atmospheric Dynamics: Exploring the Lorenz System. arXiv 2024, arXiv:2401.03475. [Google Scholar]
- Sparrow, C. The Lorenz Equations: Bifurcations, Chaos, and Strange Attractors [Electronic Resource]; Springer: New York, NY, USA, 1982. [Google Scholar]
- Palmer, T.N.; Döring, A.; Seregin, G. The real butterfly effect. Nonlinearity 2014, 27, R123. [Google Scholar] [CrossRef]
- Harrow, A.W.; Hassidim, A.; Lloyd, S. Quantum algorithm for linear systems of equations. Phys. Rev. Lett. 2009, 103, 150502. [Google Scholar] [CrossRef]
- Childs, A.M.; Kothari, R. Quantum linear systems algorithm with exponentially improved dependence on precision. SIAM J. Comput. 2017, 46, 1920–1950. [Google Scholar] [CrossRef]
- Campbell, E.T. Early fault-tolerant simulations of the Hubbard model. Quantum Sci. Technol. 2017, 3, 015002. [Google Scholar] [CrossRef]
- Preskill, J. Quantum computing in the NISQ era and beyond. Quantum 2018, 2, 79. [Google Scholar] [CrossRef]
- Bravo-Prieto, C.; LaRose, R.; Cerezo, M.; Subasi, Y.; Cincio, L.; Coles, P.J. Variational quantum linear solver. Quantum 2023, 7, 1188. [Google Scholar] [CrossRef]
- Cerezo, M.; Arrasmith, A.; Babbush, R.; Benjamin, S.C.; Endo, S.; Fujii, K.; Coles, P.J. Variational quantum algorithms. Nat. Rev. Phys. 2021, 3, 625–644. [Google Scholar] [CrossRef]
- Endo, S.; Cai, Z.; Benjamin, S.C.; Yuan, X. Mitigating quantum errors by exploiting classical readout noise. npj Quantum Inf. 2018, 4, 1–8. [Google Scholar]
- McArdle, S.; Endo, S.; Aspuru-Guzik, A.; Benjamin, S.C.; Yuan, X. Quantum computational chemistry. Rev. Mod. Phys. 2020, 92, 015003. [Google Scholar] [CrossRef]
- McClean, J.R.; Romero, J.; Babbush, R.; Aspuru-Guzik, A. The theory of variational hybrid quantum-classical algorithms. New J. Phys. 2016, 18, 023023. [Google Scholar] [CrossRef]
- Benedetti, M.; Lloyd, E.; Sack, S.; Fiorentini, M. Parameterized quantum circuits as machine learning models. Quantum Sci. Technol. 2019, 4, 043001. [Google Scholar] [CrossRef]
- Butcher, J.C. A history of Runge-Kutta methods. Appl. Numer. Math. 1996, 20, 247–260. [Google Scholar] [CrossRef]
- Peruzzo, A.; McClean, J.; Shadbolt, P.; Yung, M.-H.; Zhou, X.-Q.; Love, P.J.; Aspuru-Guzik, A.; O’Brien, J.L. A variational eigenvalue solver on a photonic quantum processor. Nat. Commun. 2014, 5, 4213. [Google Scholar] [CrossRef]
- Pesce, R.M.N.; Stevenson, P.D. H2ZIXY: Pauli spin matrix decomposition of real symmetric matrices. arXiv 2021, arXiv:2111.00627. [Google Scholar]
- Richardson, L.F., IX. The approximate arithmetical solution by finite differences of physical problems involving differential equations, with an application to the stresses in a masonry dam. Philos. Trans. R. Soc. Lond. A 1911, 210, 307–357. [Google Scholar]
- Temme, K.; Bravyi, S.; Gambetta, J.M. Error mitigation for short-depth quantum circuits. Phys. Rev. Lett. 2017, 119, 180509. [Google Scholar] [CrossRef]
- Kandala, A.; Mezzacapo, A.; Temme, K.; Takita, M.; Brink, M.; Chow, J.M.; Gambetta, J.M. Error Mitigation Extends the Computational Reach of a Noisy Quantum Processor. Nature 2019, 567, 491–495. [Google Scholar] [CrossRef]







Disclaimer/Publisher’s Note: The statements, opinions and data contained in all publications are solely those of the individual author(s) and contributor(s) and not of MDPI and/or the editor(s). MDPI and/or the editor(s) disclaim responsibility for any injury to people or property resulting from any ideas, methods, instructions or products referred to in the content. |
© 2024 by the authors. Licensee MDPI, Basel, Switzerland. This article is an open access article distributed under the terms and conditions of the Creative Commons Attribution (CC BY) license (https://creativecommons.org/licenses/by/4.0/).
Share and Cite
Fathi Hafshejani, S.; Gaur, D.; Dasgupta, A.; Benkoczi, R.; Gosala, N.R.; Iorio, A. A Hybrid Quantum Solver for the Lorenz System. Entropy 2024, 26, 1009. https://doi.org/10.3390/e26121009
Fathi Hafshejani S, Gaur D, Dasgupta A, Benkoczi R, Gosala NR, Iorio A. A Hybrid Quantum Solver for the Lorenz System. Entropy. 2024; 26(12):1009. https://doi.org/10.3390/e26121009
Chicago/Turabian StyleFathi Hafshejani, Sajad, Daya Gaur, Arundhati Dasgupta, Robert Benkoczi, Narasimha Reddy Gosala, and Alfredo Iorio. 2024. "A Hybrid Quantum Solver for the Lorenz System" Entropy 26, no. 12: 1009. https://doi.org/10.3390/e26121009
APA StyleFathi Hafshejani, S., Gaur, D., Dasgupta, A., Benkoczi, R., Gosala, N. R., & Iorio, A. (2024). A Hybrid Quantum Solver for the Lorenz System. Entropy, 26(12), 1009. https://doi.org/10.3390/e26121009

