Advancing Mathematical Epidemiology and Chemical Reaction Network Theory via Synergies Between Them
Abstract
1. Introduction
1.1. Motivation
1.2. A Short History of Mathematical Epidemiology
1.3. The Stoichiometric Matrix for CRN Representation of a SIRS Model: SIRSclosed.nb
- x denotes the variables (called species);
- is the “stoichiometric matrix” (SM), whose columns represent directions in which several species/compartments change simultaneously;
- is the vector of rates of change associated to each direction, also known as kinetics, which must satisfy the following admissibility conditions:
- A1.
- is continuously differentiable, ;
- A2.
- if , then implies ;
- A3.
- if and if ;
- A4.
- The inequality in A3 holds strictly for all positive concentrations, i.e., when .
1.4. Polynomial ODEs, Essential Non-Negativity and Mass-Action Representation
1.5. Essentially Non-Negative Kinetic Systems
1.6. The Traditional Reactions Representation of CRN Theory, and the Feinberg–Horn–Jackson (FHJ) Graph: SIRS.nb
- 2.
- A linkage class is a connected component in the Feinberg–Horn–Jackson graph, when it is regarded as an undirected graph.
- 3.
- A CRN is said to be weakly reversible if each of its linkage classes is strongly connected, i.e., if there is a sequence of reactions from a complex y to another complex , then there must exist a sequence of reactions from to y.
- 4.
- The stoichiometric subspace for a CRN is defined asThe vector associated with a reaction is called a stoichiometric vector. The matrix whose column vectors are the stoichiometric vectors is called a stoichiometric matrix.
- 5.
- For , the stoichiometric compatibility class containing a is . In other words, the stoichiometric compatibility class containing a is the maximal set that can be reached by the deterministic system which starts from a.
- 6.
- The deficiency of a CRN is defined as , where , l, and s are the number of complexes, the number of linkage classes, and the dimension of the stoichiometric subspace, respectively.
- 7.
- The order of a reaction is . Reactions of orders one and two are called monomolecular and bimolecular reactions, respectively.
- 8.
- The ODE associated to a CRN iswhere is a rate function which indicates the rate of the reaction . In the mass-action case, this becomeswhere is the matrix whose columns are the source vectors , and k is the vector of constants of each reaction.
- 1.
- , (DFE)
- 2.
- (E).
1.7. Three Crucial Differences Between Mathematical Epidemiology and Chemical Reaction Network Models
1.8. First Fundamentals of CRNT: Complex Balancedness, Deficiency Theorems, and Toricity Conditions—CoxTcell.nb, CoxWegscheider.nb, CoxFeinberg.nb
- 1.
- has a “robust ratio” in each pair of complexes y and belonging to a common linkage class, i.e., the ratio takes the same value at every positive steady state . More precisely,where the “tree constants” can be computed via a graphical procedure called the matrix tree theorem—see, for example, [40].
- 2.
- admits a “complex-balanced” equilibrium, and all its equilibria are complex-balanced.
1.9. Some Recent Interactions Between CRN and ME Methods
- The idea behind the representation (1), see also Remark 1, was exploited for ME models in the recent paper [33]. An interesting result there is ([33], Thm 3.1), which may be informally stated as follows: Consider any epidemiological system in which there exists an “S→I infection reaction” with admissible rate , and an “I→…treatment reaction” with admissible rate . Then, the “symbolic Jacobian”, in which are not specified (but the sign of their derivatives is specified, via admissibility), may always have purely imaginary eigenvalues if are “rich” in the sense of [51,52] (for example, Michaelis–Menten).Briefly, all epidemic models admit “symbolic bifurcations”, provided their rate functions have enough parameters; it is only the restriction to mass action that may prevent the occurrence of Hopf bifurcations.Note that this result had been observed empirically in many particular three-compartment SIR-type models, but the fact that the number of compartments and the exact architecture of the model are irrelevant was not properly understood.
- A second CRN result exploited in [33] was the Inheritance of oscillation in chemical reaction networks of [53], which gives conditions for Hopf bifurcations to be inherited by models, given that they exist in a submodel where some parameters are 0. This allowed establishing the existence of Hopf bifurcations for a certain mass-action ME model, using their existence in a simpler case already studied by Hethcote and Van den Driesche [54]).
- 1.
- Transfers (monomolecular reactions);
- 2.
- Bimolecular auto-catalytic reactions of the type as encountered in SIR, etc;
- 3.
- Bimolecular auto-catalytic reactions of the type as encountered in SEIR.
1.10. Can CRN Software Solve ME Problems?
- The collaborative package CoNtRoL [55,56] https://reaction-networks.net/wiki/CoNtRol (accessed on 6 August 2015);
- The Mathematica packages ReactionKinetics [29], MathCRN https://gitlab.com/csb.ethz/MathCrn (accessed on 29 April 2016) and reaction-networks.m https://vcp.med.harvard.edu/software.html#crnt (accessed on 29 April 2016);
- Feinberg’s Chemical Reaction networks toolbox https://cbe.osu.edu/chemical-reaction-network-theory#toolbox (accessed on 18 September 2024);
- The Julia package Catalyst.jl [57];
- The Macaulay package ReactionNetworks.m2 https://macaulay2.com/doc/Macaulay2/share/doc/Macaulay2/ReactionNetworks/html/index.html (accessed on 18 September 2024);
- The Matlab package LEARN [31,32,58] https://github.com/malirdwi/LEARN (accessed on 18 September 2024);
- The Matlab packages TowardZ and CASTANET for network translation, a topic initiated by Johnston [48,49,59,60]), implemented by Hong et al. https://github.com/Mathbiomed/TOWARDZ (accessed on 18 September 2024) and https://github.com/Mathbiomed/CASTANET (accessed on 18 September 2024);
- The Python packages [61,62] and https://github.com/materialsproject/reaction-network (accessed on 18 September 2024).
1.11. Contents
2. A Revisit of Some Key Concepts in Mathematical Epidemiology: The Disease-Free Equilibrium, the Next Generation Matrix, the Basic Reproduction Number , and the Diekmann Kernel
2.1. An Example: The SAIR/SR/SEIR Epidemic Model: SAIRS.nb
- 1.
- We write the “infection” middle equations in the form , where to emphasize their factorization. Also, for the factor appearing in these equations, we emphasize a formSuch decompositions, not necessarily existing nor unique [13,17,20], are used in the computation of the next generation matrix (NGM)and of its spectral radius, the basic reproduction number .
- 2.
- The SAIR model is obtained when , and the classic SEIR model is obtained when furthermore .
2.2. The Next Generation Matrix Approach
- Write the infection equations (the middle ones in the Section 2.1) in the form
- Split M into the part of “new infections” F containing all the non-constant terms with positive sign [70], and the rest, denoted by , arriving thus toThe purpose of this is to replace the study of the spectrum of Jacobian M with that of the “next generation matrix” defined by
- Determine the spectral radius of K, the so called basic reproduction number .
2.3. SIR-PH-FA Models
- 1.
- represents the set of individuals susceptible to be infected (the beginning state).
- 2.
- models recovered individuals (the end state).
- 3.
- gives the rate at which recovered individuals lose immunity, and gives the rate at which individuals are vaccinated (immunized). These two transfers connect directly the beginning and end states (or classes).
- 4.
- The row vector represents the set of individuals in different disease states.
- 5.
- is the per individual death rate, and it equals also the global birth rate (this is due to the fact that this is a model for proportions).
- 6.
- A, which describes transitions between the disease classes, is a Markovian subgenerator matrix, (i.e., with negative diagonal elements dominating the sum of the positive off-diagonal ones). More precisely, a Markovian subgenerator matrix satisfies that each off-diagonal entry , and that the row-sums with at least one inequality being strict.
- 7.
- is a column vector giving the death rates caused by the epidemic in the disease compartments.
- 8.
- The matrix , which combines A and the birth and death rates by
- 9.
- B is an matrix. We will denote by the vector containing the sum of the entries in each row of B, namely, . Its components represent the total force of infection of the disease class i, and represents the total flux which must leave class . Finally, each entry , multiplied by , represents the force of infection from the disease class i onto class j, and our essential assumption below will be that , i.e., that all forces of infection are distributed among the infected classes conforming to the same probability vector .
2.4. Markovian Semi-Groups Associated to SIR-PH-FA Epidemic Models with One Susceptible Class and Next Generation Matrix of Rank One: Their “Age of Infection Diekmann Kernel”, and an Explicit Formula for Their Replacement Number
- 1.
- The solutions of the ODE system (18) satisfy also a “distributed delay SI system” of two scalar equationswherewith (it may be checked that this fits the formula on page 3 of [78] for SEIR when ). ( is called “age of infection/renewal kernel; see [18,23,78,79,80,81,82] for expositions of this concept.)
- 2.
- Define the basic replacement number via the integral representation (the Arino et al. [74] formula)Then, the basic reproduction number and basic replacement number satisfy
- They are quite tractable analytically due to the existence of a unique endemic point EE, for which([71], Prop. 2 and 3). This may further be elegantly expressed as
2.5. Explicit Computations for Two Examples of SIR-PH-FA Models: SAIRS.nb, SLIAR.nb
2.6. SIR-PH-FA Meets ACR: EnvZ.nb
- 1.
- The derivative of with respect to the infection variables iswhere the resident species are evaluated at the “disease-free state” (with ), i.e., (this is implemented in our script NGM).
- 2.
- The next step consists in attempting to factor the characteristic polynomial of K, and in removing “stable factors” (i.e., factors which may not have eigenvalues with a positive real part). It seems, at least for the ACR models satisfying the [87] conditions discussed in this section, that the characteristic polynomial of K factors more often than that of .In our current example, the 3rd degree characteristic polynomial of K is . After removing the factor u, the remaining second-degree polynomial has symmetric roots, the positive one beingFinally, the condition under which the stability of the boundary disease-free steady state is lost is precisely
3. Further Fundamentals of CRNT: The Euclidean FHJ Graph, Network Translation GMAKs, and ACR Results; The (4,5,3,2) MAK ([49], (1)): Tonello.nb
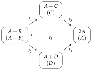
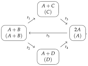
- It can be checked that , the deficiency is the CRN has the conservation , and that the cone of positive fluxes has dimension 2.
- Mathematica finds two fixed pointswhich suggests that the matrix tree theorem might be at work. The second solution under the extra constraint ,is positive if and only if . The NGM method yields , and the Jacobian at the EE reveals that it is always stable when it exists, i.e., when .
- We must type first the sources and products for the MAK of ([49], (1)) in the file TOWARDZ_for_given.m, which is provided in TowardZ for testing the illustrated examples from the paper (or others).
- The results to examine first are the solution, a 7 × 2 cell array object, and Index, a 7 × 5 cell array. They indicate the presence of seven distinct WR-ZD GMAK realizations. The source and product for the GMAK (46) may be found by typing Solution{7,:}. This corresponds to the solution provided in ([49] (1)), after a permutation of the reactions provided by Index {7,:} (which reveals that the source and product complex matrices displayed have the column order r4, r3, r2, r1, and r5).
3.1. Finding Weakly Reversible and Zero Deficiency (WR-ZD/) Representations of an ODE, Using TowardZ [35]
- 1.
- {"r” → "r” + "s”, "r” + "s” → "i” + "r”, "i” + "r” → "r”, "r” + "s” → 2 "r”, 2 "r” → "r” + "s”, "r” + "s” → "r”, "i” + "r” → 2 "r”, 2 "r” → "r"}
- 2.
- {"i” → "i” + "s”, "i” + "s” → 2 "i”, 2 "i” → "i”, "i” + "s” → "i” + "r”, "i” + "r” → "i” + "s”, "i” + "s” → "i”, 2 "i” → "i” + "r”, "i” + "r” → "i"}
- 3.
- {"s” → 2 "s”, 2 "s” → "i” + "s”, "i” + "s” → "s”, 2 "s” → "r” + "s”, "r” + "s” → 2 "s”, 2 "s” → "s”, "i” + "s” → "r” + "s”, "r” + "s” → "s"}
4. Discussion: Can (Generalized) Chemical Reaction Network Methods Help in Solving Mathematical Epidemiology Problems, and Vice Versa?
- The inheritance of Hopf bifurcations was applied to SIRnS models (i.e., cyclic epidemic models with one susceptible class, one infection class, and n recovered classes).
- The existence of bifurcations for models with rich rates has turned out useful for showing that all models which include as submodels a Capasso-type SIR (i.e., SIR models with admissible symbolic incidence function) admit Hopf bifurcations [33].
5. A Brief Tour of Some Relevant Facts from the Theory of “Continuous Time Pure Jump Markov Chains” (CTMC)
5.1. An Approximate Stochastic SIR Infection Process
5.2. A Review of the Times of Absorption of Finite-State Continuous-Time Markov Chains
- The survival function of is given bywhere is a column vector of 1’s.
- The density of iswhere is a column vector representing the direct absorption rates (via one transition).
- The “expected dwell times” in each state are given by the components of the matrix :
Author Contributions
Funding
Institutional Review Board Statement
Data Availability Statement
Acknowledgments
Conflicts of Interest
References
- Gunawardena, J. Chemical Reaction Network Theory for In-Silico Biologists. 2003. Available online: http://vcp.med.harvard.edu/papers/crnt.pdf (accessed on 20 June 2003).
- Haddad, W.M.; Chellaboina, V.; Hui, Q. Nonnegative and Compartmental Dynamical Systems; Princeton University Press: Princeton, NJ, USA, 2010. [Google Scholar]
- Pachter, L.; Sturmfels, B. Algebraic Statistics for Computational Biology; Cambridge University Press: Cambridge, MA, USA, 2005; Volume 13. [Google Scholar]
- Macauley, M.; Youngs, N. The case for algebraic biology: From research to education. Bull. Math. Biol. 2020, 82, 1–16. [Google Scholar] [CrossRef] [PubMed]
- Torres, A.; Feliu, E. Symbolic proof of bistability in reaction networks. SIAM J. Appl. Dyn. Syst. 2021, 20, 1–37. [Google Scholar] [CrossRef]
- Hárs, V.; Tóth, J. On the inverse problem of reaction kinetics. Qual. Theory Differ. Equ. 1981, 30, 363–379. [Google Scholar]
- Jones, W. Hippocrates Collected Works; Cambridge Harvard University Press: Cambridge, MA, USA, 1968. [Google Scholar]
- Bernoulli, D. Essai d’une nouvelle analyse de la mortalité cause par la petite vérole et des avantages de l’inoculation pour la prévenir. histoire de l’académie royale des sciences avec les mémoires de mathématique et de physique tirés des registres de cette académie. paris 1766 (année 1760). Hist. Actuar. Sci. 1766, 8, 1766. [Google Scholar]
- Ross, R. An application of the theory of probabilities to the study of a priori pathometry.—Part I. Proc. R. Soc. Lond. Ser. A Contain. Pap. Math. Phys. Character 1916, 92, 204–230. [Google Scholar]
- Kermack, W.O.; McKendrick, A.G. A contribution to the mathematical theory of epidemics. Proc. R. Soc. Lond. Ser. A Contain. Pap. Math. Phys. Character 1927, 115, 700–721. [Google Scholar]
- Bailey, N. The Mathematical Theory of Infectious Diseases and Its Applications; Charles Griffin & Company Ltd.: Bucks, UK, 1975. [Google Scholar]
- Dietz, K. Mathematical Models for Transmission and Control of Malaria; Churchill Livingstone: Edinburgh, UK, 1988. [Google Scholar]
- Diekmann, O.; Heesterbeek, J.A.P.; Metz, J.A. On the definition and the computation of the basic reproduction ratio R0 in models for infectious diseases in heterogeneous populations. J. Math. Biol. 1990, 28, 365–382. [Google Scholar] [CrossRef]
- Anderson, R.M.; May, R.M. Infectious Diseases of Humans; Oxford University Press: Oxford, UK, 1991; Volume 1. [Google Scholar]
- Hethcote, H.W. The mathematics of infectious diseases. S(aturate)AM Rev. 2000, 42, 599–653. [Google Scholar] [CrossRef]
- Diekmann, O.; Heesterbeek, J.A.P. Mathematical Epidemiology of Infectious Diseases: Model Building, Analysis and Interpretation; John Wiley & Sons: Hoboken, NJ, USA, 2000; Volume 5. [Google Scholar]
- Van den Driessche, P.; Watmough, J. Reproduction numbers and sub-threshold endemic equilibria for compartmental models of disease transmission. Math. Biosci. 2002, 180, 29–48. [Google Scholar] [CrossRef]
- Brauer, F. The Kermack–McKendrick epidemic model revisited. Math. Biosci. 2005, 198, 119–131. [Google Scholar] [CrossRef]
- Arino, J.; Brauer, F.; van den Driessche, P.; Watmough, J.; Wu, J. Simple models for containment of a pandemic. J. R. Soc. Interface 2006, 3, 453–457. [Google Scholar] [CrossRef] [PubMed]
- Van den Driessche, P.; Watmough, J. Further notes on the basic reproduction number. In Mathematical Epidemiology; Springer: Berlin/Heidelberg, Germany, 2008; pp. 159–178. [Google Scholar]
- Brauer, F.; van den Driessche, P.; Wu, J. Mathematical Epidemiology; Springer: Berlin/Heidelberg, Germany, 2008; p. 414. [Google Scholar] [CrossRef]
- Hethcote, H.W. Epidemiology models with variable population size. In Mathematical Understanding of Infectious Disease Dynamics; World Scientific: Singapore, 2009; pp. 63–89. [Google Scholar]
- Diekmann, O.; Heesterbeek, H.; Britton, T. Mathematical Tools for Understanding Infectious Disease Dynamics; Princeton University Press: Princeton, NJ, USA, 2013. [Google Scholar]
- Angeli, D. A tutorial on Chemical Reaction Networks dynamics. Eur. J. Control. 2009, 15, 649–657. [Google Scholar] [CrossRef]
- Yu, P.Y.; Craciun, G. Mathematical analysis of chemical reaction systems. Isr. J. Chem. 2018, 58, 733–741. [Google Scholar] [CrossRef]
- Cox, D.A. Lecture Guide. 2018. Available online: https://faculty.tcu.edu/gfriedman/cbms2018/LectureGuide.pdf (accessed on 4 June 2018).
- Horn, F.; Jackson, R. General mass action kinetics. Arch. Ration. Mech. Anal. 1972, 47, 81–116. [Google Scholar] [CrossRef]
- Feinberg, M. Chemical reaction network structure and the stability of complex isothermal reactors—I. The deficiency zero and deficiency one theorems. Chem. Eng. Sci. 1987, 42, 2229–2268. [Google Scholar] [CrossRef]
- Tóth, J.; Nagy, A.L.; Papp, D. Reaction Kinetics: Exercises, Programs and Theorems; Springer: Berlin/Heidelberg, Germany, 2018. [Google Scholar]
- Feinberg, M. Foundations of Chemical Reaction Network Theory; Springer: Berlin/Heidelberg, Germany, 2019. [Google Scholar]
- Ali Al-Radhawi, M.; Angeli, D.; Sontag, E.D. A computational framework for a Lyapunov-enabled analysis of biochemical reaction networks. PLoS Comput. Biol. 2020, 16, e1007681. [Google Scholar] [CrossRef]
- Al-Radhawi, M.A. Graphical characterizations of robust stability in biological interaction networks. Math. Control. Signals Syst. 2023, 35, 585–617. [Google Scholar] [CrossRef]
- Vassena, N.; Avram, F.; Adenane, R. Finding bifurcations in mathematical epidemiology via reaction network methods. arXiv 2024, arXiv:2405.14576. [Google Scholar]
- Craciun, G.; Jin, J.; Yu, P.Y. An algorithm for finding weakly reversible deficiency zero realizations of polynomial dynamical systems. arXiv 2022, arXiv:2205.14267. [Google Scholar] [CrossRef]
- Hong, H.; Hernandez, B.S.; Kim, J.; Kim, J.K. Computational translation framework identifies biochemical reaction networks with special topologies and their long-term dynamics. SIAM J. Appl. Math. 2023, 83, 1025–1048. [Google Scholar] [CrossRef]
- Horn, F.J. The dynamics of open reaction systems. In Mathematical Aspects of Chemical and Biochemical Problems and Quantum Chemistry; American Mathematical Society: Providence, RI, USA, 1974; Volume 8, pp. 125–137. [Google Scholar]
- Craciun, G.; Feinberg, M. Multiple equilibria in complex chemical reaction networks: I. The injectivity property. SIAM J. Appl. Math. 2005, 65, 1526–1546. [Google Scholar] [CrossRef]
- Craciun, G.; Feinberg, M. Multiple equilibria in complex chemical reaction networks: II. The species-reaction graph. SIAM J. Appl. Math. 2006, 66, 1321–1338. [Google Scholar] [CrossRef]
- Hong, H.; Kim, J.; Ali Al-Radhawi, M.; Sontag, E.D.; Kim, J.K. Derivation of stationary distributions of biochemical reaction networks via structure transformation. Commun. Biol. 2021, 4, 620. [Google Scholar] [CrossRef]
- Cox, D.A. Lecture Slides. 2018. Available online: https://faculty.tcu.edu/gfriedman/cbms2018/Lecture_slides.pdf (accessed on 4 June 2018).
- Gatermann, K.; Eiswirth, M.; Sensse, A. Toric ideals and graph theory to analyze Hopf bifurcations in mass-action systems. J. Symb. Comput. 2005, 40, 1361–1382. [Google Scholar] [CrossRef]
- Van der Schaft, A.; Rao, S.; Jayawardhana, B. Complex and detailed balancing of chemical reaction networks revisited. J. Math. Chem. 2015, 53, 1445–1458. [Google Scholar] [CrossRef][Green Version]
- Muller, S.; Regensburger, G. Generalized mass action systems: Complex balancing equilibria and sign vectors of the stoichiometric and kinetic-order subspaces. SIAM J. Appl. Math. 2012, 72, 1926–1947. [Google Scholar] [CrossRef]
- Craciun, G.; Dickenstein, A.; Shiu, A.; Sturmfels, B. Toric dynamical systems. J. Symb. Comput. 2009, 44, 1551–1565. [Google Scholar] [CrossRef]
- Anderson, D.F. A proof of the global attractor conjecture in the single linkage class case. SIAM J. Appl. Math. 2011, 71, 1487–1508. [Google Scholar] [CrossRef]
- Wegscheider, R. Über simultane Gleichgewichte und die Beziehungen zwischen Thermodynamik und Reaktionskinetik homogener Systeme. Z. Phys. Chem. 1902, 39, 257–303. [Google Scholar] [CrossRef]
- Anderson, D.F.; Craciun, G.; Kurtz, T.G. Product-form stationary distributions for deficiency zero chemical reaction networks. Bull. Math. Biol. 2010, 72, 1947–1970. [Google Scholar] [CrossRef]
- Johnston, M.D. Translated chemical reaction networks. Bull. Math. Biol. 2014, 76, 1081–1116. [Google Scholar] [CrossRef] [PubMed]
- Tonello, E.; Johnston, M.D. Network translation and steady-state properties of chemical reaction systems. Bull. Math. Biol. 2018, 80, 2306–2337. [Google Scholar] [CrossRef]
- Hoessly, L.; Wiuf, C.; Xia, P. Complex balanced distributions for chemical reaction networks. arXiv 2023, arXiv:2301.04091. [Google Scholar]
- Vassena, N. Symbolic hunt of instabilities and bifurcations in reaction networks. Discret. Contin. Dyn. Syst. B 2023. [Google Scholar] [CrossRef]
- Vassena, N.; Stadler, P.E. Unstable cores are the source of instability in chemical reaction networks. Proc. R. Soc. A 2024, 480, 20230694. [Google Scholar] [CrossRef]
- Banaji, M. Inheritance of oscillation in chemical reaction networks. Appl. Math. Comput. 2018, 325, 191–209. [Google Scholar] [CrossRef]
- Hethcote, H.W.; Stech, H.W.; Van Den Driessche, P. Nonlinear oscillations in epidemic models. SIAM J. Appl. Math. 1981, 40, 1–9. [Google Scholar] [CrossRef]
- Donnell, P.; Banaji, M.; Marginean, A.; Pantea, C. CoNtRol: An open source framework for the analysis of chemical reaction networks. Bioinformatics 2014, 30, 1633–1634. [Google Scholar] [CrossRef]
- Johnston, M.D.; Pantea, C.; Donnell, P. A computational approach to persistence, permanence, and endotacticity of biochemical reaction systems. J. Math. Biol. 2016, 72, 467–498. [Google Scholar] [CrossRef]
- Loman, T.E.; Ma, Y.; Ilin, V.; Gowda, S.; Korsbo, N.; Yewale, N.; Rackauckas, C.; Isaacson, S.A. Catalyst: Fast and flexible modeling of reaction networks. PLoS Comput. Biol. 2023, 19, 1–19. [Google Scholar] [CrossRef]
- Al-Radhawi, M.A.; Angeli, D. New approach to the stability of chemical reaction networks: Piecewise linear in rates Lyapunov functions. IEEE Trans. Autom. Control 2015, 61, 76–89. [Google Scholar] [CrossRef]
- Johnston, M.D.; Müller, S.; Pantea, C. A deficiency-based approach to parametrizing positive equilibria of biochemical reaction systems. Bull. Math. Biol. 2019, 81, 1143–1172. [Google Scholar] [CrossRef] [PubMed]
- Hernandez, B.S.; Lubenia, P.V.N.; Johnston, M.D.; Kim, J.K. A framework for deriving analytic long-term behavior of biochemical reaction networks. bioRxiv 2022. [Google Scholar] [CrossRef]
- Tonello, E. Graph Properties of Biological Interaction Networks. Ph.D. Thesis, University of Nottingham, Nottingham, UK, 2018. [Google Scholar]
- Tonello, E. CrnPy: A Python Library for the Analysis of Chemical Reaction Networks. 2016. Available online: https://github.com/etonello/crnpy (accessed on 20 September 2016).
- Bulhosa, L.C.; Oliveira, J.F. Vaccination in a two-strain model with cross-immunity and antibody-dependent enhancement. arXiv 2023, arXiv:2302.02263. [Google Scholar]
- Robinson, M.; Stilianakis, N.I. A model for the emergence of drug resistance in the presence of asymptomatic infections. Math. Biosci. 2013, 243, 163–177. [Google Scholar] [CrossRef]
- Ansumali, S.; Kaushal, S.; Kumar, A.; Prakash, M.K.; Vidyasagar, M. Modelling a pandemic with asymptomatic patients, impact of lockdown and herd immunity, with applications to SARS-CoV-2. Annu. Rev. Control. 2020, 50, 432–447. [Google Scholar] [CrossRef] [PubMed]
- Ottaviano, S.; Sensi, M.; Sottile, S. Global stability of SAIRS epidemic models. Nonlinear Anal. Real World Appl. 2022, 65, 103501. [Google Scholar] [CrossRef]
- Avram, F.; Adenane, R.; Halanay, A. New results and open questions for SIR-PH epidemic models with linear birth rate, waning immunity, vaccination, and disease and vaccination fatalities. Symmetry 2022, 14, 995. [Google Scholar] [CrossRef]
- Li, M.Y.; Graef, J.R.; Wang, L.; Karsai, J. Global dynamics of a SEIR model with varying total population size. Math. Biosci. 1999, 160, 191–213. [Google Scholar] [CrossRef] [PubMed]
- Avram, F.; Adenane, R.; Bianchin, G.; Halanay, A. Stability Analysis of an Eight Parameter SIR-Type Model Including Loss of Immunity, and Disease and Vaccination Fatalities. Mathematics 2022, 10, 402. [Google Scholar] [CrossRef]
- Avram, F.; Adenane, R.; Basnarkov, L.; Johnston, M.D. Algorithmic Approach for a Unique Definition of the Next-Generation Matrix. Mathematics 2023, 12, 27. [Google Scholar] [CrossRef]
- Avram, F.; Adenane, R.; Basnarkov, L.; Bianchin, G.; Goreac, D.; Halanay, A. An Age of Infection Kernel, an R Formula, and Further Results for Arino-Brauer A, B Matrix Epidemic Models with Varying Populations, Waning Immunity, and Disease and Vaccination Fatalities. Mathematics 2023, 11, 1307. [Google Scholar] [CrossRef]
- Avram, F.; Adenane, R.; Goreac, D.; Halanay, A. Does mathematical epidemiology have general laws, besides the DFE stability theorem? Monogr. Mat. Garcia Gald. 2024, 43, 11–20. [Google Scholar]
- Riaño, G. Epidemic Models with Random Infectious Period. medRxiv 2020. [Google Scholar] [CrossRef]
- Arino, J.; Brauer, F.; van den Driessche, P.; Watmough, J.; Wu, J. A final size relation for epidemic models. Math. Biosci. Eng. 2007, 4, 159. [Google Scholar]
- Plemmons, R.J. M-matrix characterizations. I—nonsingular M-matrices. Linear Algebra Its Appl. 1977, 18, 175–188. [Google Scholar] [CrossRef]
- Avram, F.; Adenane, R.; Basnarkov, L.; Bianchin, G.; Goreac, D.; Halanay, A. On matrix-SIR Arino models with linear birth rate, loss of immunity, disease and vaccination fatalities, and their approximations. arXiv 2021, arXiv:2112.03436. [Google Scholar]
- Avram, F.; Adenane, R.; Ketcheson, D.I. A review of matrix SIR Arino epidemic models. Mathematics 2021, 9, 1513. [Google Scholar] [CrossRef]
- Breda, D.; Diekmann, O.; De Graaf, W.; Pugliese, A.; Vermiglio, R. On the formulation of epidemic models (an appraisal of Kermack and McKendrick). J. Biol. Dyn. 2012, 6, 103–117. [Google Scholar] [CrossRef]
- Heesterbeek, J.; Dietz, K. The concept of Ro in epidemic theory. Stat. Neerl. 1996, 50, 89–110. [Google Scholar] [CrossRef]
- Champredon, D.; Dushoff, J.; Earn, D.J. Equivalence of the Erlang-distributed SEIR epidemic model and the renewal equation. SIAM J. Appl. Math. 2018, 78, 3258–3278. [Google Scholar] [CrossRef]
- Diekmann, O.; Gyllenberg, M.; Metz, J. Finite dimensional state representation of linear and nonlinear delay systems. J. Dyn. Differ. Equ. 2018, 30, 1439–1467. [Google Scholar] [CrossRef]
- Diekmann, O.; Inaba, H. A systematic procedure for incorporating separable static heterogeneity into compartmental epidemic models. arXiv 2022, arXiv:2207.02339. [Google Scholar] [CrossRef] [PubMed]
- Diekmann, O.; Heesterbeek, J.; Roberts, M.G. The construction of next-generation matrices for compartmental epidemic models. J. R. Soc. Interface 2010, 7, 873–885. [Google Scholar] [CrossRef]
- Yang, C.K.; Brauer, F. Calculation of R_0 for age-of-infection models. Math. Biosci. Eng. 2008, 5, 585. [Google Scholar]
- Arino, J.; Portet, S. A simple model for COVID-19. Infect. Dis. Model. 2020, 5, 309–315. [Google Scholar] [CrossRef]
- Avram, F.; Adenane, R.; Basnarkov, L. Some Probabilistic Interpretations Related to the Next-Generation Matrix Theory: A Review with Examples. Mathematics 2024, 12, 2425. [Google Scholar] [CrossRef]
- Shinar, G.; Feinberg, M. Structural sources of robustness in biochemical reaction networks. Science 2010, 327, 1389–1391. [Google Scholar] [CrossRef]
- Puente, L.D.G.; Gross, E.; Harrington, H.A.; Johnston, M.; Meshkat, N.; Millán, M.P.; Shiu, A. Absolute concentration robustness: Algebra and geometry. arXiv 2023, arXiv:2401.00078. [Google Scholar]
- Johnston, M.D.; Burton, E. Computing weakly reversible deficiency zero network translations using elementary flux modes. Bull. Math. Biol. 2019, 81, 1613–1644. [Google Scholar] [CrossRef]
- Clarke, B.L.; Jiang, W. Method for deriving Hopf and saddle-node bifurcation hypersurfaces and application to a model of the Belousov–Zhabotinskii system. J. Chem. Phys. 1993, 99, 4464–4478. [Google Scholar] [CrossRef]
- Nill, F. Endemic oscillations for SARS-COV-2 Omicron—A SIRS model analysis. Chaos Solitons Fractals 2023, 173, 113678. [Google Scholar] [CrossRef] [PubMed]
- Li, M.Y.; Muldowney, J.S. Global stability for the SEIR model in epidemiology. Math. Biosci. 1995, 125, 155–164. [Google Scholar] [CrossRef] [PubMed]
- Li, M.Y.; Muldowney, J.S.; Van Den Driessche, P. Global, stability of seirs models in epidemiology. Can. Appl. Math. Q. 1999, 7, 409–425. [Google Scholar] [CrossRef] [PubMed]
- Sun, C.; Hsieh, Y.H. Global analysis of an SEIR model with varying population size and vaccination. Appl. Math. Model. 2010, 34, 2685–2697. [Google Scholar] [CrossRef]
- Lu, G.; Lu, Z. Global asymptotic stability for the SEIRS models with varying total population size. Math. Biosci. 2018, 296, 17–25. [Google Scholar] [CrossRef]
- Weiss, E.; Margaliot, M. A generalization of linear positive systems with applications to nonlinear systems: Invariant sets and the Poincaré–Bendixson property. Automatica 2021, 123, 109358. [Google Scholar] [CrossRef]
- Wu, C.; Kanevskiy, I.; Margaliot, M. k-contraction: Theory and applications. Automatica 2022, 136, 110048. [Google Scholar] [CrossRef]
- Al-Radhawi, M.A.; Angeli, D.; Sontag, E. On structural contraction of biological interaction networks. arXiv 2023, arXiv:2307.13678. [Google Scholar]
- Katz, R.; Giordano, G.; Margaliot, M. Existence of attracting periodic orbits in 3-dimensional strongly 2-cooperative systems. arXiv 2024, arXiv:2407.00461. [Google Scholar]
- Duvall, A.; Al-Radhawi, M.A.; Jatkar, D.D.; Sontag, E. Interplay between Contractivity and Monotonicity for Reaction Networks. arXiv 2024, arXiv:2404.18734. [Google Scholar]
- Blanchini, F.; Franco, E.; Giordano, G. A structural classification of candidate oscillatory and multistationary biochemical systems. Bull. Math. Biol. 2014, 76, 2542–2569. [Google Scholar] [CrossRef] [PubMed]
- Blanchini, F.; Giordano, G. Structural stability of biochemical networks: Quadratic vs. polyhedral Lyapunov functions. IFAC-PapersOnLine 2015, 48, 278–283. [Google Scholar] [CrossRef]
- Giordano, G.; Cuba Samaniego, C.; Franco, E.; Blanchini, F. Computing the structural influence matrix for biological systems. J. Math. Biol. 2016, 72, 1927–1958. [Google Scholar] [CrossRef]
- Giordano, G. Structural Analysis and Control of Dynamical Networks. Ph.D. Thesis, Università degli Studi di Udine, Udine, Italy, 2016. Available online: https://giuliagiordano.dii.unitn.it/docs/papers/Theses/GiuliaGiordano_PhDThesis.pdf (accessed on 2 March 2016).
- Blanchini, F.; Chesi, G.; Colaneri, P.; Giordano, G. Checking structural stability of BDC-decomposable systems via convex optimisation. IEEE Control Syst. Lett. 2019, 4, 205–210. [Google Scholar] [CrossRef]
- Blanchini, F.; Giordano, G. BDC-decomposition for global influence analysis. IEEE Control Syst. Lett. 2018, 3, 260–265. [Google Scholar] [CrossRef]
- Blanchini, F.; Giordano, G. Piecewise-linear Lyapunov functions for structural stability of biochemical networks. Automatica 2014, 50, 2482–2493. [Google Scholar] [CrossRef]
- Al-Radhawi, M.A.; Angeli, D. Robust Lyapunov functions for reaction networks: An uncertain system framework. arXiv 2015, arXiv:1509.02086. [Google Scholar]
- Angeli, D.; Al-Radhawi, M.A.; Sontag, E.D. A robust Lyapunov criterion for nonoscillatory behaviors in biological interaction networks. IEEE Trans. Autom. Control 2021, 67, 3305–3320. [Google Scholar] [CrossRef]
- Ali, M. New Approach to the Stability and Control of Reaction Networks; Imperial College: London, UK, 2016. [Google Scholar]
- Blanchini, F.; Hana, E.S.; Giordano, G.; Sontag, E.D. Control-theoretic methods for biological networks. In Proceedings of the 2018 IEEE Conference on Decision and Control (CDC), Miami, FL, USA, 17–19 December 2018; pp. 466–483. [Google Scholar]
- Griffiths, D. Multivariate birth-and-death processes as approximations to epidemic processes. J. Appl. Probab. 1973, 10, 15–26. [Google Scholar] [CrossRef]
- Dawson, D.A. Introductory lectures on stochastic population systems. arXiv 2017, arXiv:1705.03781. [Google Scholar]
- Latouche, G.; Ramaswami, V. Introduction to Matrix Analytic Methods in Stochastic Modeling; Society for Industrial and Applied Mathematics (SIAM): Philadelphia, PA, USA, 1999. [Google Scholar] [CrossRef]
- Hurtado, P.J.; Kirosingh, A.S. Generalizations of the ‘Linear Chain Trick’: Incorporating more flexible dwell time distributions into mean field ODE models. J. Math. Biol. 2019, 79, 1831–1883. [Google Scholar] [CrossRef] [PubMed]
- Hurtado, P.J.; Richards, C. Building mean field ODE models using the generalized linear chain trick & Markov chain theory. J. Biol. Dyn. 2021, 15 (Suppl.1), S248–S272. [Google Scholar] [PubMed]






Disclaimer/Publisher’s Note: The statements, opinions and data contained in all publications are solely those of the individual author(s) and contributor(s) and not of MDPI and/or the editor(s). MDPI and/or the editor(s) disclaim responsibility for any injury to people or property resulting from any ideas, methods, instructions or products referred to in the content. |
© 2024 by the authors. Licensee MDPI, Basel, Switzerland. This article is an open access article distributed under the terms and conditions of the Creative Commons Attribution (CC BY) license (https://creativecommons.org/licenses/by/4.0/).
Share and Cite
Avram, F.; Adenane, R.; Neagu, M. Advancing Mathematical Epidemiology and Chemical Reaction Network Theory via Synergies Between Them. Entropy 2024, 26, 936. https://doi.org/10.3390/e26110936
Avram F, Adenane R, Neagu M. Advancing Mathematical Epidemiology and Chemical Reaction Network Theory via Synergies Between Them. Entropy. 2024; 26(11):936. https://doi.org/10.3390/e26110936
Chicago/Turabian StyleAvram, Florin, Rim Adenane, and Mircea Neagu. 2024. "Advancing Mathematical Epidemiology and Chemical Reaction Network Theory via Synergies Between Them" Entropy 26, no. 11: 936. https://doi.org/10.3390/e26110936
APA StyleAvram, F., Adenane, R., & Neagu, M. (2024). Advancing Mathematical Epidemiology and Chemical Reaction Network Theory via Synergies Between Them. Entropy, 26(11), 936. https://doi.org/10.3390/e26110936

